Abstract
The biogas and biomethane sectors are crucial for the European Union’s energy transition. One strategy for achieving the EU’s biogas and biomethane targets while reducing the use of agricultural land for energy feedstock production is to use alternative biomass streams. Such a stream includes agricultural residues and by-products. A good example is crop residues after harvesting corn for grain, which are available in large quantities. Due to the fact that they are lignocellulosic biomasses, they require pretreatment. The purpose of this study was to determine the effect of ensiling enhancers on the methane yield of corn stover silages. Corn stover, which was harvested using the same technology, was ensiled in the first variant with an ensiling enhancer preparation based on bacteria of the Lactobacillus plantarum strain (DSM 3676 and DSM 3677) and two strains of propionic acid bacteria (DSM 9676 and DSM 9677), in the second variant with a formulation whose active ingredients were sodium benzoate, propionic acid, and sodium propionite, and in the third with a formulation based on lactic acid bacteria of the strain Lactobacillus plantarum and Lactobacillus Buchneri. The fourth variant was the control; that is, the material was ensiled naturally without the ensiling enhancer preparation. The use of the ensiling enhancer, based on lactic acid bacteria of the Lactobacillus plantarum and Lactobacillus Buchneri strains, reduced carbon dioxide emissions per 1 GJ of silage energy potential in the biogas production process. Specifically, the unique contribution of this research lies in demonstrating the role of ensiling enhancers in improving methane yield and reducing carbon dioxide emissions.
1. Introduction
In recent years, alternative energy production technologies have been implemented around the world, thus cutting out dependence on fossil fuels. This includes the use of solar and wind energy [] for both power generation and district heating [,]. Such a strategy is motivated by the need to reduce anthropogenic greenhouse gas (GHG) emissions. A consequence of these activities is the creation of technologies that link economic sectors that previously did not work together []. An example of such a combination is the European Union’s promotion in the Second Energy Directive [] of the production of biofuels from agricultural by-products and residues, or so-called second-generation (2G) biofuels. This applies in particular to biogas production technology, which is crucial for the sustainable use of agricultural biomass as a renewable energy source [] and enables a reduction in greenhouse gas emissions. The residue from the methane fermentation process can be used as a valuable and safe fertilizer in agriculture []. The effect of such a procedure is to reduce the use of mineral fertilizers in crop production, which also reduces greenhouse gas emissions [,]. One strategy for achieving the EU’s biogas and biomethane targets while reducing the use of agricultural land for energy feedstock production is to use alternative biomass streams [].
An important biomass by-product of agricultural production is crop residue after harvesting corn for grain [,]. Corn (Zea mays) is the most widely grown crop in the world []. In the last decade, there has been a 40% increase in corn grain production worldwide []. According to FAOSTAT data, current global maize grain production amounts to over 1.2 billion tons. Crop residues (stalks, leaves, cover leaves, and cob cores) obtained after harvesting corn grain account for 47 to 50% of the dry matter of the total corn crop [,,]. For these reasons, they are widely available and found in large quantities locally [,] and globally [,,,]. It is estimated that more than 1 billion tons of cucurbit straw are available worldwide each year.
Corn stover is a relatively difficult substrate for biogas production because it contains 50–70% structural carbohydrates such as lignin, cellulose, and hemicellulose, which reduce the efficiency of the methane fermentation process []. Therefore, to increase the conversion efficiency of corn stover in the methane fermentation process, pretreatment should be carried out [,]. However, physical and chemical pretreatment methods for lignocellulosic biomass are expensive and energy-intensive []; in addition, they increase greenhouse gas emissions. Therefore, it was assumed that the ensiling of corn stover could be an advantageous pretreatment method.
Silage preserves the energy potential of plant material and is commonly used as a biochemical pretreatment of animal feed [,]. Lactic acid bacteria (LAB) are known to be used as an additive to improve the ensiling process and digestibility of rice straw silages [] and grass hay and corn silages []. Most studies conducted on the use of LAB inoculants have focused on improving the ensiling process, reducing dry matter loss, and limiting the growth of Clostridium bacteria [,]. In contrast, there is a lack of research results in the literature showing the effect of using ensiling enhancers on the methane yield of corn stover silage during the methane fermentation process. Furthermore, the development of advanced analytical methods, such as those presented by Adamski et al. [] for determining the concentration of propionic acid, can support monitoring and optimizing fermentation processes, thereby enhancing biogas production efficiency. Therefore, the purpose of this study was to determine the effect of ensiling enhancers on the methane yield of corn straw silage and carbon dioxide emissions per 1 GJ of silage energy potential. The present study also hypothesized and verified that the use of corn straw ensiling aids reduces carbon dioxide emissions per 1 GJ of silage energy potential.
2. Materials and Methods
2.1. Corn Stover
The raw material used for silage production was post-harvest residues of grain corn of the Ambrosini variety of KWS, FAO 220, stay green type. Pre-harvest plant density was 94.8 thousand plants/ha. The corn yield structure was as follows: 61% cobs, 24% stalks, 15% leaves, and 8% cob cover leaves. Grain yield with 36% moisture content was 12 Mg/ha. Harvested biomass contained 33% dry matter. The average yield of corn stover was 36.1 Mg/ha FM, which accounted for 11.9 Mg/ha TS.
2.2. Harvest and Ensilage Methods
The study of corn stover harvesting was conducted at BOVINAS Seed and Agricultural Farm Ltd. (pol. Gospodarstwie Nasienno-Rolnym BOVINAS Sp. z o.o., Chodów, Poland) in Chodów (52°13′30.4″ N 19°02′10.0″ E) on a field of 76.3 hectares. A block diagram of the harvesting technology is shown in Figure 1. Corn grain was harvested with a Claas Lexion 580 (Claas, Harsewinkel, Germany) ombine harvester with a Dominoni SL 968 (Dominoni S.r.l., Camisano, Italy) harvesting unit, which peeled the cobs but did not shred the stalks.

Figure 1.
Flowchart of corn stover harvesting and ensiling technology.
Corn stover was harvested with a Claas Jaguar 830 (Claas, Harsewinkel, Germany) field forage harvester equipped with a 6-row adapter (M 6) for harvesting whole corn plants. The theoretical cutting length was 20 mm. Harvested and shredded biomass was transported with three sets consisting of Ursus 1624 tractors and Fortschritt T-088 (Fortschritt Landmachinen GmbH, Neustadt, Germany) volume trailers. The straw was ensiled in a flexible silo with an Annaburger G7000 (ANNABURGER Nutzfahrzeug GmbH, Annaburg, Germany) silo press.
The advantage of the corn stover harvesting technology used was the minimization of mineral impurities at the level of 1.6%, while the disadvantage was the high harvest losses, which amounted to 49.7%. As a result, 18.1 Mg FM was harvested from 1 ha, which was 6.0 Mg/ha TS of corn stover.
Corn residue was ensiled in a flexible silo using four methods:
- Variant 1 (CSS1)—with an ensiling enhancer containing Lactobacillus plantarum (DSM 3676 and DSM 3677) and two strains of propionic acid bacteria (DSM 9676 and DSM 9677). The preparation was KOFASIL LIFE (ADDCON GmbH, Bitterfeld-Wolfen, Germany) at a dose of 2 L/Mg. The dose was determined from the product label (2 L prepared solution per 1 Mg, applied to achieve a final concentration of 400,000,400,000 bacteria/g silage).
- Variant 2 (CSS2)—with an ensiling enhancer in which the active ingredients were sodium benzoate, propionic acid, and sodium propionite at a dose of 5 L/Mg. The preparation was KOFA GRAIN pH5 (ADDCON GmbH). The dose was determined from the product label.
- Variant 3 (CSS3)—with an ensiling enhancer containing lactic acid bacteria of the Lactobacillus plantarum strain and Lactobacillus Buchneri at a dose of 0.2 L/Mg. The preparation was PIONEER® 11CH4 (PIONEER Hi-Bred Northern Europe Sales Division GmbH, Buxtehude, Germany). The lactic acid bacteria product enzyme, ferulae esterase, which promotes decomposition of lignocellulosic compounds, was applied to achieve a final concentration of 1.1 × 105 CFU g−1 raw material.
- Variant 4 (CSS4)—control, with no ensiling enhancer.
2.3. Chemical Analysis
After eight weeks of ensiling corn stover, samples were taken from each variant for analysis of physical and chemical parameters of silage. Samples for analysis were taken in accordance with the PN-EN ISO 6497:2005 standard []. Silage quality analyses were carried out at the Laboratory of the Department of Animal Nutrition of the Poznan University of Life Sciences. Laboratory analyses of the samples included the following:
- Basic chemical analysis (content of dry matter, crude ash, total protein, and crude fiber);
- Analysis of volatile fatty acid content;
- pH determination.
The dry matter content was determined using the dryer-weight method in accordance with PN-ISO 6496:2002 standard []. The crude ash content of silage was determined using the muffle furnace combustion method at 550 °C. Total protein was determined by measuring the amount of nitrogen in corn stover silages using the Kjeldahl method with a Kjel-Foss Automatic 16210 analyzer (PN-EN ISO 5983-1:2006/AC:2009P standard []). Volatile fatty acids—lactic acid, acetic acid, and butyric acid—were determined via liquid chromatography using a Waters 2690 chromatograph (Waters Chromatography Europe B.V., Etten-Leur, The Netherlands) with a Waters 2487 (Waters Chromatography Europe B.V., Etten-Leur, The Netherlands) absorbance detector. The pH value of the silages was determined according to hydrogen ion concentration using a WTW ph 730 InoLabo pH meter (WTW a Xylem brand, Burlington, VT, USA) coupled electrode. Crude fiber content was determined via indirect filtration on a Tecator Fiber System M1020 Hot Extractor (Gemini B.V., Apeldoorn, The Netherlands).
2.4. Laboratory Investigation Methane Yield
The study of methane yields from corn stover ensiled using four methods was carried out at the Ecotechnology Laboratory of the Department of Biosystems Engineering at the University of Life Sciences in Poznań, in accordance with DIN 38 414-S8. The experiment was conducted on a test stand equipped with 21 biofermenters []. The glass chambers of the biofermenters were placed in a water bath at a constant temperature of 39 °C, reflecting the process conditions in the biogas plant. Biogas produced in the separate fermenters was collected in cylindrical equalization tanks filled with neutral liquid.
The volume of biogas produced was monitored every 24 h to the nearest 0.01 dm3. The fermentation mixture consisted of 900 g of inoculum containing methanogenic bacteria and 100 g of corn stover silage. The methanogenic inoculum came from the digester of the biogas plant, where the main substrates were corn silage and slurry. The substrate samples were tested in 3 repetitions.
The composition of biogas was determined when its production was at least 1 dm3, i.e., once a day at the beginning of the experiment and every 3 days after the process slowed down. The concentrations of methane, carbon dioxide, ammonia, oxygen, and hydrogen sulfide in the produced biogas were measured using infrared and electrochemical sensors, operating linearly. Type Mg-72 and Mg-73 heads from Alter S.A. were used to measure gas concentrations [].
The detection range of the gas sensors was, respectively, 0–100% CH4, 0–100% CO2, 0–25% O2, 0–2000 ppm H2S, and 0–1000 ppm NH3. Biogas and methane production values were calculated in an Excel spreadsheet, where a graph was generated to assess the correctness of the process. The gas monitoring system was scaled up once a week using calibration gases of composition: 65% CH4, 35% CO2, 500 ppm H2S, and 100 ppm NH3, supplied by Messer. Atmospheric air was used to calibrate the O2 sensors.
2.5. Identification of Resource Consumption
Determination of the energy expenditure incurred in harvesting corn stover for biogas production was carried out based on the results of machine tests under operational conditions. For this purpose, it was necessary to determine the operational efficiency of the machines and fuel consumption.
The operational characteristics of the tested machines and equipment for harvesting corn straw were made in accordance with the standards BN-77/9195-02—methods of operational research and BN-76/9195-01—agricultural machines—division of working time, on the basis of chronometry and the amount of work performed. Chronometers were used during three 8 h work shifts. Working time was measured to the nearest 1 s for activities lasting less than 20 min. The time of activities lasting more than 20 min was recorded with an accuracy of 1 min. Based on the collected data, the operating efficiency of the machines and equipment was calculated. The fuel consumption of tractors and machinery was determined using the full tank method after each working shift by filling the tank.
In the calculation of energy input streams, the weight of machines, operating efficiency, fuel consumption, and use of machines during the duration were taken into account (Table 1). Also included was the energy input used for producing a flexible silo and the energy value of ensiling aid formulations.

Table 1.
Performance parameters of machines and tractors used for harvesting corn stover.
2.6. Energy Analysis
In order to determine the total CO2 emissions per 1 GJ of energy produced from corn stover silage, an analysis of the material and energy inputs incurred in its production was carried out, and then the cumulative energy intensity of the technology was determined. The method of cumulative energy intensity involves examining material and energy inputs separately from the prices of biomass inputs and outputs. Using this method, it is possible to compare different production processes over a long period of time without having to painstakingly update ever-changing market prices, and the results of the analyses can be one of the criteria for selecting the optimal silage for energy purposes.
Energy inputs for harvesting and ensiling corn stover harvested from 1 hectare were calculated as the quotient of the sum of all energy fluxes related to the dry weight of the straw [,]:
where the following apply:
- —cumulative energy intensity of corn stover harvesting and ensiling [MJ/Mg TS];
- —cumulative energy inputs of diesel [MJ/ha];
- —cumulative energy inputs of tractors and machinery [MJ/ha];
- —cumulative energy inputs of auxiliary materials [MJ/ha];
- —cumulative energy inputs of human labor [MJ/ha];
- —dry weight of straw harvested from 1 ha [Mg TS/ha].
The cumulative energy intensity of a given tractor or machine used for harvesting and ensiling corn stover was calculated using the following relationship [,]:
where the following apply:
- —cumulative energy intensity of tractors and machines used for harvesting corn straw [MJ/ha];
- —unit index of cumulative energy intensity of tractors and machines [MJ/kg] or the equivalent of cumulative energy intensity of a given tractor or machine [MJ/kg];
- —weight of the machine [kg];
- —normative number of operating hours of the machine in the time period [h];
- —operational efficiency [ha/h].
Unit cumulative energy intensity ratios for each input stream were adopted according to the values in Table 2.
The energy value of corn stover silage was calculated based on the results obtained during laboratory methane fermentation tests. The methane energy efficiency index was assumed to be 9.17 KWh/Nm3, while the efficiency of the cogeneration unit was 41% for electricity and 45% for heat. The cogeneration unit operates for 8000 h per year [,]. The amount of energy produced from 1 Mg TS of corn straw silage was calculated using the following relationship []:
where the following apply:
- —energy value of corn stover silage [GJ/Mg TS];
- —methane yield of corn stover silage [Nm3/Mg TS];
- —energy value of methane [kWh/Nm3];
- —efficiency of heat cogeneration [%];
- —efficiency of electrical cogeneration [%].
The energy efficiency of harvesting and ensiling corn stover using different methods was evaluated using two indicators [,]:
However, the energy efficiency indicators do not represent the environmental risks associated with the energy inputs for harvesting and ensiling corn stover. Therefore, based on the data in Table 2, the CO2 equivalent of each energy stream expressed in kgCO2/Mg TS of harvested and ensiled corn stover was calculated as follows:
where the following apply:
- —emission rate of kg of CO2 per 1 Mg TS of harvested corn stover;
- —total CO2 emissions from energy inputs for harvesting and ensiling 1 Mg TS [kgCO2/Mg];
- —amount of the energy stream.
The total CO2 emissions per 1 GJ of energy produced from corn stover silage were calculated as the quotient of CO2 emissions per Mg TS and the energy value of 1 Mg of corn stover silage:
where the following apply:
- —total CO2 emissions per 1 GJ of energy produced from corn stover silage;
- —emission rate of kg CO2 per 1 Mg TS of corn stover silage;
- —energy value of corn stover silage [GJ/Mg TS].

Table 2.
Energy input equivalents and CO2 emissions.
Table 2.
Energy input equivalents and CO2 emissions.
Input [Unit] | Energy Equivalent [MJ/Unit] | Reference | Emission Factor [kgCO2 e/MJ] | Reference |
---|---|---|---|---|
Machinery [kg] | 62.7 | [,,,] | 0.072 | [,] |
Diesel [L] | 56.3 | [,,,] | 0.09 | [,] |
Human labor [h] | 1.96 | [,,,] | 0.36 | [,] |
Liquid chemical [L] | 102 | [] | 0.25 | [,] |
Flexi silo [kg] | 90 | [] | 0.25 | [] |
2.7. Statistical Analysis
Statistical analysis of the laboratory results was performed using STATISTICA 13. Calculations included conducting a one-way ANOVA and analysis of variance and Tukey’s HSD test for ensiling p = 0.05.
Pearson (r) correlations between the variables were also calculated. The strength of the correlation was described using the ranges suggested by [] for the absolute value of r: 0.00–0.19, very weak; 0.20–0.39, weak; 0.40–0.59, moderate; 0.60–0.79, strong; 0.80–1.0, very strong.
3. Results
3.1. Physical and Chemical Properties of Silages
Laboratory testing of the methane yield of corn stover silages was preceded by an evaluation of their physical and chemical properties (Table 3). The dry matter content of the CSS1 silage was 28.0%, and statistical analysis showed that it was significantly lower compared to the other silages. CSS4 silage, from naturally ensiled corn stover, had the highest ash content, at 1.8%. In terms of protein content, CSS2 and CSS3 silages were found to form a homogeneous group. In contrast, silage CSS4 contained the most protein, at 1.7%.

Table 3.
Physical and chemical parameters of corn stover silage depending on ensiling method.
ANOVA analysis showed that the crude fiber content of the silages tested varied. CSS4 silage contained the most, 12.7% crude fiber, while CSS3 silage contained the least, 11.1% (Table 3). In comparison, the crude fiber content of whole-crop corn silages is higher compared to the results obtained at 18–30% []. The crude fiber content of silage dry matter is an indicator of the vegetative stage of the plant at harvest. A late corn harvest produces a lower content of crude fiber. This is related to the formation of cobs at the end of vegetation, the main component of which is starch. This explains the lower crude fiber content of ensiled corn stover.
The basis for evaluating the quality of fermentation in silage is the fermentation acid profile, which includes the pH value and the percentage of organic fatty acids []. Regarding the pH value and the percentage of organic fatty acids, no ANOVA statistical analysis was carried out because it was not possible to calculate the mean square for the error. This was due to the very high reproducibility of the test results.
The pH values of CSS1 and CSS2 silages were 4.04 and 4.07, respectively, while those of CSS3 and CSS4 silages were 3.99 and 3.95. The recommended pH value in whole-crop corn silages is in the range of 3.7–4.0% [,]. The pH of silage depends on the concentration of lactic acid and the buffering capacity of the raw material. Lactic acid secreted during ensiling by lactic acid bacteria is found in the highest concentration and has the strongest acidifying properties (pKa of 3.86), 10–12 times higher than propionic and acetic acids [,].
The results of the organic acid content analyses indicate that the CSS2 silage contained 1.3% TS of lactic acid, and the other silages analyzed contained 1.1% each. The acetic acid content of the silages tested ranged from 0.4 to 0.7% TS of this acid. The silages also contained butyric acid, which ranged from 0.1 to 0.3% TS (Table 4). Based on the results of the analyses, it can be concluded that the proportion of lactic acid in the silages influenced the pH value, which was within the optimal range. However, only a moderate correlation (r = 0.56) was found between the lactic acid content and pH value (Table 4).

Table 4.
Average pH and organic acid content depending on ensiling method.
Kleinschmit and Kung [] report that silages inoculated with Lactobacillus buchneri have a pH that is 0.1–0.2 higher compared to silages prepared naturally. This is due to the moderate conversion of lactic acid to acetic acid []. This may explain why CCS4 silage had the lowest pH value.
Guo et al. [] presented data on the content of butyric and acetic acids in silages made from corn stover with an initial dry matter content of 30.6%. According to the authors, corn stover silage without ensiling aids (ensiled naturally) contained 0.7% TS of lactic acid and 0.2% TS of acetic acid after 45 days. In contrast, silage inoculated with Lactobacillus plantarum bacteria contained 0.77% TS of lactic acid and 0.05% TS of acetic acid. According to this study, corn stover silages inoculated with Enterococcus mundtii and Enterococcus faecalis bacteria contained 0.71 and 0.74% TS of lactic acid and 0.06 and 0.05% TS of acetic acid, respectively. These values are lower compared to the values obtained in the study conducted.
3.2. Biogas and Methane Yield
Biogas is a mixture of gases. The components of biogas can be divided into flammable and non-flammable. The main flammable components of biogas are methane (CH4) and hydrogen (H2). In contrast, non-flammable components include carbon dioxide (CO2) and nitrogen (N2) [,].
The cumulative biogas yields for the tested corn stover silages are shown in Table 5. An ANOVA analysis of variance indicated that the use of different ensiling formulations significantly affected the biogas yields of the tested silages. The cumulative biogas yields of CSS1 and CSS3 silages were not significantly different and were 453.9 and 441.8 Nm3/Mg TS, respectively. In contrast, the biogas yields of CSS2 and CSS4 silages were 365.1 and 352.0 Nm3/Mg TS. Based on this, it can be concluded that the use of lactic acid bacteria for corn stover ensiling increases biogas yields (Table 5). The obtained biogas yield results are comparable with those presented in the literature [,]. However, other authors, when characterizing the research material, were limited only to the dry matter and dry organic matter contents of corn straw silage [,,].

Table 5.
Methane yield in biogas process of the maize stover silage (depending on the silage method).
The percentage of methane in the biogas ranged from 49.9 to 52.1%, depending on the corn stover ensiling method. An analysis of variance ANOVA indicated no significant differences between the percentage methane content of biogas obtained from the silages tested (α = 0.05)%. Cieslin et al. [] conducted tests on biogas yields from corn stover silage under mesophilic and thermophilic conditions. In both experiments, they obtained about 51% methane in biogas. In comparison, Veluchamy et al. [,] reported that the percentage of methane in biogas produced from whole-crop corn silage ranges from 58 to 63%. In general, the methane content of biogas is 40–70%, depending on the substrate [,]. As the percentage of methane content increases, the energy value of biogas increases [].
The cumulative methane production from the fermentation process of corn stover silage, depending on the ensiling method, is shown in Figure 2. The fermentation process of corn straw silage proceeded smoothly.

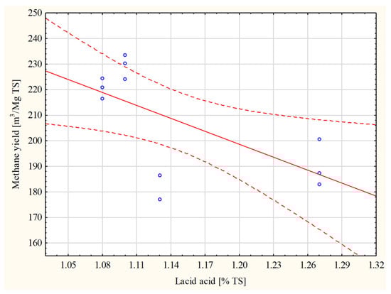
Figure 2.
Correlation between methane yield and lactic acid content (r = −0.65). The solid line represents the correlation between methane yield and lactic acid content, while the dashed lines indicate the confidence interval/prediction interval. The blue circles denote the experimental data points.
The highest methane yield of 229.3 Nm3/Mg TS was obtained from the CSS3 silage. However, an analysis of variance showed that the methane yield from CSS3 silage was not statistically significantly higher than the methane yield from CSS1 silage, which was 220.6 Nm3/Mg TS. ANOVA analysis also showed that in terms of methane yield, CSS2 and CSS4 silages were a homogeneous group. Their yields were 190.4 and 181.9 Nm3/Mg TS, respectively (Table 5). Cieślik et al. [] obtained higher methane yields, 285 Nm3/Mg TS in a mesophilic fermentation and 312 Nm3/Mg TS in a thermophilic fermentation. Both experiments were conducted in accordance with DIN 38 414-S8, as was the research presented in this article. Menardo et al. [] reported that methane yields from fresh (unensiled) corn straw fractions range from 206.6 to 307.0 Nm3/Mg VS. The experiment was conducted in accordance with the VDI 4630 standard.
The hydraulic retention time (HRT) is a parameter that determines how long (in days) the fed substrate remains in the digester. Each substrate is characterized by its own optimal activity time. The substrate consists of simpler organic substances, and the faster it decomposes, the shorter the HRT. In the laboratory tests conducted, the HRT was 25 for each of the silages analyzed.
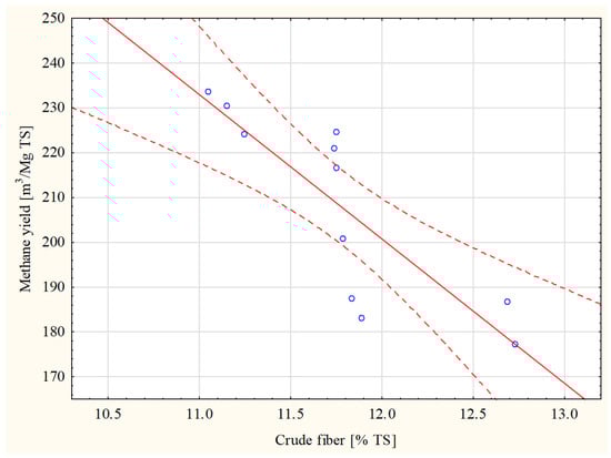
The results of laboratory tests of physical and chemical properties and methane yields of corn stover silages were subjected to Pearson correlation analysis. Detailed results of taj analysis are summarized in Table 6. Based on the analysis, a strong negative correlation (r = −065) was found between lactic acid content and biogas yield (Figure 2). Also, an increase in the crude fiber content of corn straw silage reduces methane yield. This is confirmed by a very strong negative correlation (r = −0.83) (Figure 3). A very strong correlation of r = −0.83 was found between the ensiling method and methane yield.

Table 6.
Pearson’s correlation coefficient between ensiling method, methane yield, and properties of corn stover silage. Correlations are significant at p < 0.05.

Figure 3.
Correlation between methane yield and crude fiber (r= −0.83). The solid line represents the correlation between methane yield and lactic acid content, while the dashed lines indicate the confidence interval/prediction interval. The blue circles denote the experimental data points.
Methane yield as a function of lactic acid content in corn stover silage (r = −0.65).
Pearson’s analysis also showed a very strong correlation (r = 0.79) between the ensiling method and the dry matter content and a strong correlation (r = 0.76) between the ensiling method and the ash content. The ash content was also strongly correlated (r = 0.61) with the methane yield (Table 6).
3.3. Energy and Emission
Analyzing the energy inputs incurred in obtaining biomass for renewable energy production is a very important step in creating optimal energy policies. More efficient use of energy inputs for biomass harvesting will result in lower greenhouse gas emissions and a smaller environmental footprint [,].
In order to calculate the actual energy inputs for harvesting and ensiling corn stover using various methods, all streams of cumulative energy inputs were considered. These included the cumulative energy of machinery and tractors, the energy of human labor, the energy of ensiling aids, and the flexible silo (film). Since the corn straw in the experiment was harvested with a single technology, the amount of energy from each stream is the same test. The energy intensity of ensiling aids varies. In the case of CSS4 silage produced naturally (without ensiling aid), there was no energy input for the preparation. The lowest energy input of 3.4 MJ/Mg TS per ensiling preparation was found for CSS3 silage. This was due to the application rate of 0.2 L/Mg corn stover. In comparison, 5 L/Mg of ensiling aid was used to produce CSS2 silage (Table 7). CSS1 silage was produced with the application of 2 L/Mg of a lactic acid bacteria-based formulation, which was associated with an energy input of 34.1 MJ/Mg TS (Table 7).

Table 7.
Energy input streams for harvesting and ensiling corn stover in different ways.
The total energy input for corn stover silage production ranged from 1009.9 to 1095.1 MJ/Mg TS, depending on the ensiling method (Table 7).
In this paper, it is assumed that the energy value of silage will be evaluated using the rate of energy generated during the cogeneration of methane obtained from silage. The adopted indicator is the sum of electricity and heat obtained from cogeneration.
According to the assumptions made in the methodology, it was calculated that 1 Mg TS of naturally ensiled corn stover (CSS4) yielded the least energy, 5.2 GJ. The highest energy value, at 6.5 GJ/Mg TS, was from CSS3 silage produced with the addition of a preparation based on lactic acid bacteria of the Lactobacillus plantarum and Lactobacillus Buchneri strains. The energy value of CSS2 silage was 6.2 GJ/Mg TS (Table 8).

Table 8.
Energetic value of corn stover fraction.
Based on the calculations, the carbon dioxide equivalent of IGHG production of corn stover silage via different methods was determined. The highest CO2 equivalent, amounting to 145.2 kg CO2/Mg TS, was observed for the production of corn stover silage with a propionic acid-based ensiling aid (CSS2). In contrast, the lowest equivalent of 123.9 kgCO2/Mg TS was found for natural silage production (CSS4) (Table 9).

Table 9.
CO2 emissions from corn stover silage production.
According to the methodology established in the article, the IGHG carbon equivalent index was related to the total energy value of silage. In this way, the total carbon dioxide emissions per 1 GJ of energy potential of corn stover ensiled in different ways were determined.
Based on analysis of the results, it was found that the lowest carbon dioxide emissions of 19.2 kg CO2/GJ of energy were obtained from CSS3 silage. The highest total emission of 26 kg CO2/GJ was found for CSS2 silage.
4. Conclusions
Based on the results of these investigations, the following main conclusions were drawn:
- The results of this study underscore the potential of corn stover silage as a sustainable, low-carbon energy source for biogas production.
- This study confirms that ensiling can serve as a cost-effective pretreatment strategy for lignocellulosic biomass, mitigating the need for more energy- and emission-intensive methods. The use of specific ensiling enhancers, particularly those incorporating lactic acid bacteria, optimized the energy balance by achieving a high energy output relative to 6:1 to input while simultaneously minimizing carbon dioxide emissions by 20% per gigajoule of energy produced.
- The ensiling process, especially with the use of lactic acid bacteria strains such as Lactobacillus plantarum and Lactobacillus Buchneri (Pioneer 11CH4), proved effective in enhancing methane yield by 47.4 Nm3/Mg TS and reducing greenhouse gas emissions by 4.8 kg CO2/GJ during the biogas production process.
- This research highlights the variation in the efficacy of different ensiling formulations, revealing that not all enhancers yield comparable benefits in terms of silage quality and methane generation. For example, the silage prepared using propionic acid-based formulations resulted in higher CO2 emissions by 11%, underscoring the need for careful selection of enhancers based on desired outcomes.
- Advancing the ensiling technology for agricultural residues, such as corn stover, offers a promising avenue for enhancing the energy yield and environmental sustainability of biogas production. Future research should focus on optimizing bacterial strains and other bio-enzymatic approaches to further enhance methane production efficiency while reducing emissions.
Author Contributions
Conceptualization, J.P. and D.W.; methodology, J.P. and D.W.; software, D.W. and T.G.; validation, J.P., D.W. and T.G.; formal analysis, D.W.; investigation, D.W.; resources, J.P. and D.W.; writing—original draft preparation, D.W. and J.P.; writing—review and editing, T.G. and D.W.; visualization, D.W.; supervision, J.P.; project administration, J.P.; funding acquisition, T.G. All authors have read and agreed to the published version of the manuscript.
Funding
This research was funded by the Ministry of Science and Higher Education of the Republic of Poland, grant number N313 270938.
Data Availability Statement
The data presented in this study are available upon request from the corresponding author.
Conflicts of Interest
The authors declare no conflicts of interest.
References
- Talarek, K.; Knitter-Piątkowska, A.; Garbowski, T. Wind Parks in Poland—New Challenges and Perspectives. Energies 2022, 15, 7004. [Google Scholar] [CrossRef]
- Talarek, K.; Garbowski, T. RES as the future of district heating. Przegląd Bud. 2023, 94, 66–75. [Google Scholar] [CrossRef]
- Talarek, K.; Knitter-Piątkowska, A.; Garbowski, T. Challenges for district heating in Poland. Discov. Energy 2023, 3, 5. [Google Scholar] [CrossRef]
- Buchspies, B.; Kaltschmitt, M.; Neuling, U. Potential changes in GHG emissions arising from the introduction of biorefineries combining biofuel and electrofuel production within the European Union—A location specific assessment. Renew. Sustain. Energy Rev. 2020, 134, 110395. [Google Scholar] [CrossRef]
- European Parliament and Council. Directive (EU) 2018/2001 of the European Parliament and of the Council of 11 December 2018 on the Promotion of the Use of Energy from Renewable Sources; European Parliament and Council: Dublin, Ireland, 2018. [Google Scholar]
- Amon, T.; Amon, B.; Kryvoruchko, V.; Machmüller, A.; Hopfner-Sixt, K.; Bodiroza, V.; Hrbek, R.; Friedel, J.; Pötsch, E.; Wagentristl, H.; et al. Methane production through anaerobic digestion of various energy crops grown in sustainable crop rotations. Bioresour. Technol. 2007, 98, 3204–3212. [Google Scholar] [CrossRef]
- Czekała, W.; Lewicki, A.; Pochwatka, P.; Czekała, A.; Wojcieszak, D.; Jóźwiakowski, K.; Waliszewska, A. Digestate management in Polish farms as an element of the nutrient cycle. J. Clean. Prod. 2020, 242, 118454. [Google Scholar] [CrossRef]
- Davis, K.F.; Rulli, M.C.; Seveso, A.; D’Odorico, P. Increased food production and reduced water use through optimized crop distribution. Nat. Geosci. 2017, 10, 919–924. [Google Scholar] [CrossRef]
- Tang, Y.H.; Luan, X.B.; Sun, J.X.; Zhao, J.F.; Yin, Y.L.; Wang, Y.B.; Sun, S.K. Impact assessment of climate change and human activities on GHG emissions and agricultural water use. Agric. For. Meteorol. 2021, 296, 108218. [Google Scholar] [CrossRef]
- Ravi, R.; de Souza, M.F.; Adriaens, A.; Vingerhoets, R.; Luo, H.; Van Dael, M.; Meers, E. Exploring the environmental consequences of roadside grass as a biogas feedstock in Northwest Europe. J. Environ. Manag. 2023, 344, 118538. [Google Scholar] [CrossRef]
- Menardo, S.; Airoldi, G.; Cacciatore, V.; Balsari, P. Potential biogas and methane yield of maize stover fractions and evaluation of some possible stover harvest chains. Biosyst. Eng. 2015, 129, 352–359. [Google Scholar] [CrossRef]
- Guo, G.; Shen, C.; Liu, Q.; Zhang, S.L.; Shao, T.; Wang, C.; Wang, Y.X.; Xu, Q.F.; Huo, W.J. The effect of lactic acid bacteria inoculums on in vitro rumen fermentation, methane production, ruminal cellulolytic bacteria populations, and cellulase activities of corn stover silage. J. Integr. Agric. 2020, 19, 838–847. [Google Scholar] [CrossRef]
- Takada, M.; Niu, R.; Minami, E.; Saka, S. Characterization of three tissue fractions in corn (Zea mays) cob. Biomass Bioenergy 2018, 115, 130–135. [Google Scholar] [CrossRef]
- USDA. World Agricultural Supply and Demand Estimates; Wiley: Hoboken, NJ, USA, 2019.
- Zych, D. The Viability of Corn Cobs as a Bioenergy Feedstock; West Central Research and Outreach Center: Morris, MN, USA, 2008. [Google Scholar]
- Sokhansanj, S.; Mani, S.; Tagore, S.; Turhollow, A.F. Techno-economic analysis of using corn stover to supply heat and power to a corn ethanol plant—Part 1: Cost of feedstock supply logistics. Biomass Bioenergy 2010, 34, 75–81. [Google Scholar] [CrossRef]
- Wojcieszak, D.; Przybył, J.; Myczko, R.; Myczko, A. Technological and energetic evaluation of maize stover silage for methane production on technical scale. Energy 2018, 151, 903–912. [Google Scholar] [CrossRef]
- Huang, W.B.; Wachemo, A.C.; Yuan, H.R.; Li, X.J. Modification of corn stover for improving biodegradability and anaerobic digestion performance by Ceriporiopsis subvermispora. Bioresour. Technol. 2019, 283, 76–85. [Google Scholar] [CrossRef]
- Anshar, M.; Ani, F.N.; Kader, A.S.; Makhrani. Electrical energy potential of corn cob as alternative energy source for power plant in Indonesia. Adv. Sci. Lett. 2017, 23, 4184–4187. [Google Scholar] [CrossRef]
- Mazurkiewicz, J.; Marczuk, A.; Pochwatka, P.; Kujawa, S. Maize straw as a valuable energetic material for biogas plant feeding. Materials 2019, 12, 3848. [Google Scholar] [CrossRef]
- Czajkowski, Ł.; Wojcieszak, D.; Olek, W.; Przybył, J. Thermal properties of fractions of corn stover. Constr. Build. Mater. 2019, 210, 709–712. [Google Scholar] [CrossRef]
- Li, J.; Zhang, R.; Siddhu, M.A.H.; He, Y.; Wang, W.; Li, Y.; Chen, C.; Liu, G. Enhancing methane production of corn stover through a novel way: Sequent pretreatment of potassium hydroxide and steam explosion. Bioresour. Technol. 2015, 181, 345–350. [Google Scholar] [CrossRef]
- Sapci, Z.; Morken, J.; Linjordet, R. An investigation of the enhancement of biogas yields from lignocellulosic material using two pretreatment methods: Microwave irradiation and steam explosion. Bioresources 2013, 8, 1976–1985. [Google Scholar] [CrossRef]
- Croce, S.; Wei, Q.; D’Imporzano, G.; Dong, R.; Adani, F. Anaerobic digestion of straw and corn stover: The effect of biological process optimization and pre-treatment on total bio-methane yield and energy performance. Biotechnol. Adv. 2016, 34, 1289–1304. [Google Scholar] [CrossRef]
- Cao, Y.; Takahashi, T.; Horiguchi, K.I.; Yoshida, N.; Cai, Y. Methane emissions from sheep fed fermented or non-fermented total mixed ration containing whole-crop rice and rice bran. Anim. Feed. Sci. Technol. 2010, 157, 72–78. [Google Scholar] [CrossRef]
- Chen, J.; Stokes, M.R.; Wallace, C.R. Wallace Effects of enzyme-inoculant systems on preservation and nutritive value of haycrop and corn silages. J. Dairy Sci. 1994, 77, 501–512. [Google Scholar] [CrossRef] [PubMed]
- Cai, Y. Identification and characterization of Enterococcus species isolated from forage crops and their influence on silage fermentation. J. Dairy Sci. 1999, 82, 2466–2471. [Google Scholar] [CrossRef] [PubMed]
- Buxton, D.R.; Muck, R.E. Silage Science and Technology; American Society of Agronomy, Inc.: Madison, WI, USA, 2003. [Google Scholar]
- Adamski, M.; Czechlowski, M.; Durczak, K.; Garbowski, T. Determination of the concentration of propionic acid in an aqueous solution by POD-GP model and spectroscopy. Energies 2021, 14, 8288. [Google Scholar] [CrossRef]
- PN-EN ISO 6497:2005; Animal Feeding Stuffs. European Committee for Standardization: Brussels, Belgium, 2005.
- PN-ISO 6496:2002; Feeds – Determination of Moisture and Other Volatile Matter Content. Polish Committee for Standardization: Warsaw, Poland, 2002.
- PN-EN ISO 5983-1:2006/AC:2009P; Feeds—Determination of Nitrogen Content and Calculation of Crude Protein Content—Part 1: Kjeldahl Method. Polish Committee for Standardization: Warsaw, Poland, 2009.
- Dach, J.; Boniecki, P.; Przybył, J.; Janczak, D.; Lewicki, A.; Czekała, W.; Witaszek, K.; Carmona, P.C.R.; Cieślik, M. Energetic efficiency analysis of the agricultural biogas plant in 250kWe experimental installation. Energy 2014, 69, 34–38. [Google Scholar] [CrossRef]
- Wolna-Maruwka, A.; Dach, J. Effect of type and proportion of different structure-creating additions on the inactivation rate of pathogenic bacteria in sewage sludge composting in a cybernetic bioreactor. Arch. Environ. Prot. 2009, 35, 87–100. [Google Scholar]
- Ozkan, B.; Kurklu, A.; Akcaoz, H. An input-output energy analysis in greenhouse vegetable production: A case study for Antalya region of Turkey. Biomass Bioenergy 2004, 26, 89–95. [Google Scholar] [CrossRef]
- Houshyar, E.; Zareifard, H.R.; Grundmann, P.; Smith, P. Determining efficiency of energy input for silage corn production: An econometric approach. Energy 2015, 93, 2166–2174. [Google Scholar] [CrossRef]
- Wojcieszak, D.; Przybył, J.; Ratajczak, I.; Goliński, P.; Janczak, D.; Waśkiewicz, A.; Szentner, K.; Woźniak, M. Chemical composition of maize stover fraction versus methane yield and energy value in fermentation process. Energy 2020, 198, 117258. [Google Scholar] [CrossRef]
- Mani, I.; Kumar, P.; Panwar, J.S.; Kant, K. Variation in energy consumption in production of wheat-maize with varying altitudes in hilly regions of Himachal Pradesh, India. Energy 2007, 32, 2336–2339. [Google Scholar] [CrossRef]
- Heidari, M.D.; Omid, M. Energy use patterns and econometric models of major greenhouse vegetable productions in Iran. Energy 2011, 36, 220–225. [Google Scholar] [CrossRef]
- Zangeneh, M.; Omid, M.; Akram, A. A comparative study on energy use and cost analysis of potato production under different farming technologies in Hamadan province of Iran. Energy 2010, 35, 2927–2933. [Google Scholar] [CrossRef]
- Yilmaz, I.; Akcaoz, H.; Ozkan, B. An analysis of energy use and input costs for cotton production in Turkey. Renew. Energy 2005, 30, 145–155. [Google Scholar] [CrossRef]
- Dyer, J.A.; Kulshreshtha, S.N.; McConkey, B.G.; Desjardins, R.L. An assessment of fossil fuel energy use and CO2 emissions from farm field operations using a regional level crop and land use database for Canada. Energy 2010, 35, 2261–2269. [Google Scholar] [CrossRef]
- Nguyen, T.L.T.; Hermansen, J.E.; Mogensen, L. Environmental costs of meat production: The case of typical EU pork production. J. Clean. Prod. 2012, 28, 168–176. [Google Scholar] [CrossRef]
- Chen, G.; Li, J.; Sun, Y.; Wang, Z.; Leeke, G.A.; Moretti, C.; Cheng, Z.; Wang, Y.; Li, N.; Mu, L.; et al. Replacing Traditional Plastics with Biodegradable Plastics: Impact on Carbon Emissions. Engineering 2023, 32, 152–162. [Google Scholar] [CrossRef]
- Wuensch, K.L.; Evans, J.D. Straightforward Statistics for the Behavioral Sciences. J. Am. Stat. Assoc. 1996, 91, 1750–1751. [Google Scholar] [CrossRef]
- Tharangani, R.M.H.; Yakun, C.; Zhao, L.S.; Ma, L.; Liu, H.L.; Su, S.L.; Shan, L.; Yang, Z.N.; Kononoff, P.J.; Weiss, W.P.; et al. Corn silage quality index: An index combining milk yield, silage nutritional and fermentation parameters. Anim. Feed. Sci. Technol. 2021, 273, 114817. [Google Scholar] [CrossRef]
- Kung, L.; Shaver, R.D.; Grant, R.J.; Schmidt, R.J. Silage review: Interpretation of chemical, microbial, and organoleptic components of silages. J. Dairy Sci. 2018, 101, 4020–4033. [Google Scholar] [CrossRef]
- Kung, L.; Shave, R. Interpretation and use of silage fermentation analysis reports. Focus Forage 2001, 3, 1–5. [Google Scholar]
- Kleinschmit, D.H.; Kung, L. A meta-analysis of the effects of Lactobacillus buchneri on the fermentation and aerobic stability of corn and grass and small-grain silages. J. Dairy Sci. 2006, 89, 4005–4013. [Google Scholar] [CrossRef] [PubMed]
- Oude Elferink, S.J.W.H.; Krooneman, E.J.; Gottschal, J.C.; Spoelstra, S.F.; Faber, F.; Driehuis, F. Anaerobic conversion of lactic acid to acetic acid and 1,2-propanediol by Lactobacillus buchneri. Appl. Environ. Microbiol. 2001, 67, 125–132. [Google Scholar] [CrossRef]
- Sutaryo, S.; Ward, A.J.; Møller, H.B. Thermophilic anaerobic co-digestion of separated solids from acidified dairy cow manure. Bioresour. Technol. 2012, 114, 195–200. [Google Scholar] [CrossRef] [PubMed]
- Qian, Y.; Sun, S.; Ju, D.; Shan, X.; Lu, X. Review of the state-of-the-art of biogas combustion mechanisms and applications in internal combustion engines. Renew. Sustain. Energy Rev. 2017, 69, 50–58. [Google Scholar] [CrossRef]
- Cieślik, M.; Dach, J.; Lewicki, A.; Smurzyńska, A.; Janczak, D.; Pawlicka-Kaczorowska, J.; Boniecki, P.; Cyplik, P.; Czekała, W.; Jóźwiakowski, K. Methane fermentation of the maize straw silage under meso- and thermophilic conditions. Energy 2016, 115, 1495–1502. [Google Scholar] [CrossRef]
- Xiong, S.; Zhang, Y.; Zhuo, Y.; Lestander, T.; Geladi, P. Variations in fuel characteristics of corn (Zea mays) stovers: General spatial patterns and relationships to soil properties. Renew. Energy 2010, 35, 1185–1191. [Google Scholar] [CrossRef]
- Veluchamy, C.; Gilroyed, B.H.; Kalamdhad, A.S. Process performance and biogas production optimizing of mesophilic plug flow anaerobic digestion of corn silage. Fuel 2019, 253, 1097–1103. [Google Scholar] [CrossRef]
- Veluchamy, C.; Kalamdhad, A.S.; Gilroyed, B.H. Evaluating and modelling of plug flow reactor digesting lignocellulosic corn silage. Fuel 2021, 287, 119498. [Google Scholar] [CrossRef]
- Rotunno, P.; Lanzini, A.; Leone, P. Energy and economic analysis of a water scrubbing based biogas upgrading process for biomethane injection into the gas grid or use as transportation fuel. Renew. Energy 2017, 102, 417–432. [Google Scholar] [CrossRef]
- Omar, B.; El-Gammal, M.; Abou-Shanab, R.; Fotidis, I.A.; Angelidaki, I.; Zhang, Y. Biogas upgrading and biochemical production from gas fermentation: Impact of microbial community and gas composition. Bioresour. Technol. 2019, 286, 121413. [Google Scholar] [CrossRef] [PubMed]
- Abdeen, F.R.H.; Mel, M.; Jami, M.S.; Ihsan, S.I.; Ismail, A.F. A review of chemical absorption of carbon dioxide for biogas upgrading. Chin. J. Chem. Eng. 2016, 24, 693–702. [Google Scholar] [CrossRef]
- Gasparatos, A. Resource consumption in Japanese agriculture and its link to food security. Energy Policy 2011, 39, 1011–1112. [Google Scholar] [CrossRef]
- Wang, X.; Shen, J.; Zhang, W. Emergy evaluation of agricultural sustainability of Northwest China before and after the grain-for-green policy. Energy Policy 2014, 67, 508–516. [Google Scholar] [CrossRef]
Disclaimer/Publisher’s Note: The statements, opinions and data contained in all publications are solely those of the individual author(s) and contributor(s) and not of MDPI and/or the editor(s). MDPI and/or the editor(s) disclaim responsibility for any injury to people or property resulting from any ideas, methods, instructions or products referred to in the content. |
© 2024 by the authors. Licensee MDPI, Basel, Switzerland. This article is an open access article distributed under the terms and conditions of the Creative Commons Attribution (CC BY) license (https://creativecommons.org/licenses/by/4.0/).