Using Microalgae to Convert Brewery Carbon Gas Emissions into Valuable Bioproducts
Abstract
1. Introduction
2. Materials and Methods
2.1. Bluestone Brewery and Test Site
2.2. Algal Species
2.3. Preparation of Photobioreactor and Raceway Systems
2.4. Sampling and Measurements
2.5. Harvesting Procedure and Post-Harvesting Analysis
2.6. Statistical Analysis
3. Results
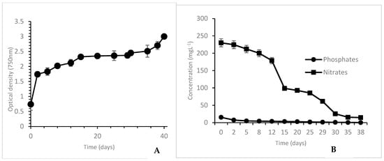
3.1. Growth and Nutrient Uptake Dynamics of Limnospira maxima
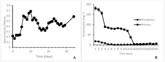
3.2. Growth and Nutrient Uptake Dynamics of Tetradesmus obliquus
3.3. Biochemical Compositions
4. Discussion
5. Conclusions
Author Contributions
Funding
Data Availability Statement
Acknowledgments
Conflicts of Interest
References
- For a Livable Climate: Net-Zero Commitments Must Be Backed by Credible Action UNEP Emissions Gap Report 2023. Available online: https://www.un.org/en/climatechange/net-zero-coalition (accessed on 29 May 2024).
- UK Government Report. Net Zero Strategy: Build Back Greener (Policy Paper), UK, 2021. Available online: https://www.gov.uk/government/publications/net-zero-strategy (accessed on 10 October 2024).
- Hudson Lindenberger Forbes. 10 December 2022. Available online: https://www.forbes.com/sites/hudsonlindenberger/2022/02/10/new-report-highlights-the-global-economic-impact-the-beer-industry-makes/?sh=6448b70c4241 (accessed on 10 October 2024).
- Su, H.; Wang, K.; Lian, J.; Wang, L.; He, Y.; Li, M.; Han, D.; Hu, Q. Advanced Treatment and Resource Recovery of Brewery Wastewater by Co-Cultivation of Filamentous Microalga Tribonema Aequale and Autochthonous Bacteria. J. Environ. Manag. 2023, 348, 119285. [Google Scholar] [CrossRef] [PubMed]
- Han, X.; Hu, X.; Yin, Q.; Li, S.; Song, C. Intensification of Brewery Wastewater Purification Integrated with CO2 Fixation via Microalgae Co-Cultivation. J. Environ. Chem. Eng. 2021, 9, 105710. [Google Scholar] [CrossRef]
- Kapoore, R.V.; Wood, E.E.; Llewellyn, C.A. Algae Biostimulants: A Critical Look at Microalgal Biostimulants for Sustainable Agricultural Practices. Biotechnol. Adv. 2021, 49, 107754. [Google Scholar] [CrossRef] [PubMed]
- Zhou, Y.; Liu, L.; Li, M.; Hu, C. Algal Biomass Valorisation to High-Value Chemicals and Bioproducts: Recent Advances, Opportunities and Challenges. Bioresour. Technol. 2022, 344, 126371. [Google Scholar] [CrossRef]
- AlFadhly, N.K.Z.; Alhelfi, N.; Altemimi, A.B.; Verma, D.K.; Cacciola, F. Tendencies Affecting the Growth and Cultivation of Genus Spirulina: An Investigative Review on Current Trends. Plants 2022, 11, 3063. [Google Scholar] [CrossRef]
- Tokuşoglu, Ö.; Üunal, M.K. Biomass Nutrient Profiles of Three Microalgae: Spirulina platensis, Chlorella vulgaris, and Isochrisis galbana. J. Food Sci. 2003, 68, 1144–1148. [Google Scholar] [CrossRef]
- Mandal, S.; Mallick, N. Microalga Scenedesmus Obliquus as a Potential Source for Biodiesel Production. Appl. Microbiol. Biotechnol. 2009, 84, 281–291. [Google Scholar] [CrossRef]
- Lan Chi, N.T.; Thu Hương, Đ.T.; Đạo, P.; Lapcik, V. Multi-Pollutants (Organic and Inorganic) Removal Potential of Scenedesmus Species on Municipal Sewage Water and Analyzed Their Phycoremediation Mechanisms. Environ. Res. 2023, 232, 116301. [Google Scholar] [CrossRef]
- Fernandes, F.; Silkina, A.; Gayo-Pelez, J.I.; Kapoore, R.V.; de la Broise, D.; Llewellyn, C.A. Microalgae Cultivation on Nutrient Rich Digestate: The Importance of Strain and Digestate Tailoring under PH Control. Appl. Sci. 2022, 12, 5429. [Google Scholar] [CrossRef]
- Silkina, A.; Ginnever, N.E.; Fernandes, F.; Fuentes-Grünewald, C. Large-Scale Waste Bio-Remediation Using Microalgae Cultivation as a Platform. Energies 2019, 12, 2772. [Google Scholar] [CrossRef]
- Benemann, J.R.; Oswald, W.J. Systems and Economic Analysis of Microalgae Ponds for Conversion of CO2 to Biomass; Final Report; California University: Berkeley, CA, USA; Department of Civil Engineering: Pittsburgh, PA, USA, 1996. [Google Scholar]
- Iglina, T.; Iglin, P.; Pashchenko, D. Industrial CO2 Capture by Algae: A Review and Recent Advances. Sustainability 2022, 14, 3801. [Google Scholar] [CrossRef]
- Mayers, J.J.; Flynn, K.J.; Shields, R.J. Rapid Determination of Bulk Microalgal Biochemical Composition by Fourier-Transform Infrared Spectroscopy. Bioresour. Technol. 2013, 148, 215–220. [Google Scholar] [CrossRef] [PubMed]
- Fernandes, F.; Silkina, A.; Fuentes-Grünewald, C.; Wood, E.E.; Ndovela, V.L.S.; Oatley-Radcliffe, D.L.; Lovitt, R.W.; Llewellyn, C.A. Valorising Nutrient-Rich Digestate: Dilution, Settlement and Membrane Filtration Processing for Optimisation as a Waste-Based Media for Microalgal Cultivation. Waste Manag. 2020, 118, 197–208. [Google Scholar] [CrossRef] [PubMed]
- Fuentes-Grünewald, C.; Bayliss, C.; Zanain, M.; Pooley, C.; Scolamacchia, M.; Silkina, A. Evaluation of Batch and Semi-Continuous Culture of Porphyridium Purpureum in a Photobioreactor in High Latitudes Using Fourier Transform Infrared Spectroscopy for Monitoring Biomass Composition and Metabolites Production. Bioresour. Technol. 2015, 189, 357–363. [Google Scholar] [CrossRef] [PubMed]
- Fuentes-Grünewald, C.; Ignacio Gayo-Peláez, J.; Ndovela, V.; Wood, E.; Vijay Kapoore, R.; Anne Llewellyn, C. Towards a Circular Economy: A Novel Microalgal Two-Step Growth Approach to Treat Excess Nutrients from Digestate and to Produce Biomass for Animal Feed. Bioresour. Technol. 2021, 320, 124349. [Google Scholar] [CrossRef]
- Kapoore, R.V.; Huete-Ortega, M.; Day, J.G.; Okurowska, K.; Slocombe, S.P.; Stanley, M.S.; Vaidyanathan, S. Effects of Cryopreservation on Viability and Functional Stability of an Industrially Relevant Alga. Sci. Rep. 2019, 9, 2093. [Google Scholar] [CrossRef]
- Kumari, P.; Shukla, S.P.; Rathi Bhuvaneswari, G.; Kumar, S.; Xavier, M.; Kumar, M. High Value Pigment Production and Carbon Sequestration through Wastewater Grown Spirulina (Arthrospira) Platensis: A Green Technology for Wastewater Utilization. Waste Manag. Bull. 2023, 1, 1–10. [Google Scholar] [CrossRef]
- Saran, S.; Puri, N.; Jasuja, N.D.; Kumar, M.; Sharma, G. Optimization, Purification and Characterization of Phycocyanin from Spirulina platensis International. Int. J. Appl. Pure Sci. Agric. 2016, 2, 15–21. [Google Scholar]
- Beer, S.; Eshel, A. Determining Phycoerythrin and Phycocyanin Concentrations in Aqueous Crude Extracts of Red Algae. Mar. Freshw. Res. 1985, 36, 785. [Google Scholar] [CrossRef]
- Gielen, D.; Boshell, F.; Saygin, D.; Bazilian, M.D.; Wagner, N.; Gorini, R. The Role of Renewable Energy in the Global Energy Transformation. Energy Strategy Rev. 2019, 24, 38–50. [Google Scholar] [CrossRef]
- ABB Motion. Improving Energy Efficiency in the Food and Beverage Industry; ABB Motion: Helsinki, Finland, 2021; Available online: https://www.energyefficiencymovement.com/wp-content/uploads/2023/01/ABB_EE_2021-10-WhitePaper_Food_and_beverage.pdf (accessed on 1 October 2024).
- Garcia, J.A.; Villen-Guzman, M.; Rodriguez-Maroto, J.M.; Paz-Garcia, J.M. Technical Analysis of CO2 Capture Pathways and Technologies. J. Environ. Chem. Eng. 2022, 10, 108470. [Google Scholar] [CrossRef]
- Brown, R.H. Biological Uptake of CO2. In Carbon Dioxide Chemistry; Elsevier: Amsterdam, The Netherlands, 1994; pp. 142–149. [Google Scholar]
- Kemper, J. Biomass and Carbon Dioxide Capture and Storage: A Review. Int. J. Greenh. Gas Control 2015, 40, 401–430. [Google Scholar] [CrossRef]
- Thiansathit, W.; Keener, T.C.; Khang, S.-J.; Ratpukdi, T.; Hovichitr, P. The Kinetics of Scenedesmus Obliquus Microalgae Growth Utilizing Carbon Dioxide Gas from Biogas. Biomass Bioenergy 2015, 76, 79–85. [Google Scholar] [CrossRef]
- Zhu, B.; Shen, H.; Li, Y.; Liu, Q.; Jin, G.; Han, J.; Zhao, Y.; Pan, K. Large-Scale Cultivation of Spirulina for Biological CO2 Mitigation in Open Raceway Ponds Using Purified CO2 From a Coal Chemical Flue Gas. Front. Bioeng. Biotechnol. 2020, 7, 441. [Google Scholar] [CrossRef]
- Karlson, B.; Andersen, P.; Arneborg, L.; Cembella, A.; Eikrem, W.; John, U.; West, J.J.; Klemm, K.; Kobos, J.; Lehtinen, S.; et al. Harmful Algal Blooms and Their Effects in Coastal Seas of Northern Europe. Harmful Algae 2021, 102, 101989. [Google Scholar] [CrossRef]
- Coelho, R.S.; Vidotti, A.D.; Reis, É.M.; Franco, T.T. High Cell Density Cultures of Microalgae under Fed-Batch and Continuous Growth. Chem. Eng. Trans. 2014, 38, 313–318. [Google Scholar]
- Ho, S.-H.; Chen, Y.-D.; Chang, C.-Y.; Lai, Y.-Y.; Chen, C.-Y.; Kondo, A.; Ren, N.-Q.; Chang, J.-S. Feasibility of CO2 Mitigation and Carbohydrate Production by Microalga Scenedesmus Obliquus CNW-N Used for Bioethanol Fermentation under Outdoor Conditions: Effects of Seasonal Changes. Biotechnol. Biofuels 2017, 10, 27. [Google Scholar] [CrossRef]
- Hodaifa, G.; Sánchez, S.; Martínez, M.E.; Órpez, R. Biomass Production of Scenedesmus Obliquus from Mixtures of Urban and Olive-Oil Mill Wastewaters Used as Culture Medium. Appl. Energy 2013, 104, 345–352. [Google Scholar] [CrossRef]
- Khodadadianzaghmari, F.; Jahadi, M.; Goli, M. Biochemical Profile of Scenedesmus Isolates, with a Main Focus on the Fatty Acid Profile. Food Sci. Nutr. 2024, 12, 5922–5931. [Google Scholar] [CrossRef]
- Saeid, A.; Chojnacka, K.; Korczyński, M.; Korniewicz, D.; Dobrzański, Z. Biomass of Spirulina Maxima Enriched by Biosorption Process as a New Feed Supplement for Swine. J. Appl. Phycol. 2013, 25, 667–675. [Google Scholar] [CrossRef]
- Ahmad, A.M.R.; Intikhab, A.; Zafar, S.; Farooq, U.; Shah, H.B.U.; Akram, S.; Abid, J.; Parveen, Z.; Iqbal, S. Spirulina, an FDA-Approved Functional Food: Worth the Hype? Cell. Mol. Biol. 2023, 69, 137–144. [Google Scholar] [CrossRef] [PubMed]
- Bitam, A.; Aissaoui, O. Spirulina platensis, Oxidative Stress, and Diabetes. In Diabetes; Elsevier: Amsterdam, The Netherlands, 2020; pp. 325–331. [Google Scholar]
- Rosero-Chasoy, G.; Rodríguez-Jasso, R.M.; Aguilar, C.N.; Buitrón, G.; Chairez, I.; Ruiz, H.A. Growth Kinetics and Quantification of Carbohydrate, Protein, Lipids, and Chlorophyll of Spirulina platensis under Aqueous Conditions Using Different Carbon and Nitrogen Sources. Bioresour. Technol. 2022, 346, 126456. [Google Scholar] [CrossRef] [PubMed]
- White, K.; Hardisty, D.J.; Habib, R. The Elusive Green Consumer. Harv. Bus. Rev. 2019, 11, 124–133. [Google Scholar]
- Ashraf, A.; Ramamurthy, R.; Rene, E.R. Wastewater Treatment and Resource Recovery Technologies in the Brewery Industry: Current Trends and Emerging Practices. Sustain. Energy Technol. Assess. 2021, 47, 101432. [Google Scholar] [CrossRef]
- Amenorfenyo, D.K.; Huang, X.; Zhang, Y.; Zeng, Q.; Zhang, N.; Ren, J.; Huang, Q. Microalgae Brewery Wastewater Treatment: Potentials, Benefits and the Challenges. Int. J. Environ. Res. Public Health 2019, 16, 1910. [Google Scholar] [CrossRef]
- He, Y.; Lian, J.; Wang, L.; Su, H.; Tan, L.; Xu, Q.; Wang, H.; Li, Y.; Li, M.; Han, D.; et al. Enhanced Brewery Wastewater Purification and Microalgal Production through Algal-Bacterial Synergy. J. Clean. Prod. 2022, 376, 134361. [Google Scholar] [CrossRef]







| Cultivation | Maximum Growth Rate (d−1) | Volumetric Productivity (g L−1 day−1) | Total Biomass Harvest per 300 Days (kg) | Total CO2 Removal per 300 Days (kg) | Total Protein per 300 Days (kg) | Total Phycocyanin per 300 Days (kg) |
|---|---|---|---|---|---|---|
| Limnospira maxima | ||||||
| 400 L PBR | 0.48 | 0.8 | 96 | 211.2 | 46 | 6.3 |
| 1000 L RW | 0.3 | 0.52 | 156 | 343.2 | 84.2 | 10.3 |
| Tetradesmus obliquus | ||||||
| 400 L PBR | 0.43 | 0.48 | 57.6 | 126.72 | 21.8 | n/a |
| 1000 L RW | 0.28 | 0.32 | 96 | 211.2 | 31.6 | n/a |
| PBR | RW | |
| COST (GBP per year) | ||
| Hardware (incl. polytunnel) | 925 | 325 |
| Operation (electricity, consumables, transportation, downstream processing) | 1100 | 900 |
| Total Cost | 2025 | 1225 |
| BENEFIT (GBP per year) | ||
| CO2 removal 1 | 12.25 | 19.92 |
| Biomass (protein) 2 | 57.5 | 105.3 |
| High-value product (Phycocyanin) 3 | 1147 | 1874 |
| Total Benefit | 1217 | 1999 |
Disclaimer/Publisher’s Note: The statements, opinions and data contained in all publications are solely those of the individual author(s) and contributor(s) and not of MDPI and/or the editor(s). MDPI and/or the editor(s) disclaim responsibility for any injury to people or property resulting from any ideas, methods, instructions or products referred to in the content. |
© 2024 by the authors. Licensee MDPI, Basel, Switzerland. This article is an open access article distributed under the terms and conditions of the Creative Commons Attribution (CC BY) license (https://creativecommons.org/licenses/by/4.0/).
Share and Cite
Silkina, A.; Emran, M.A.; Turner, S.; Tang, K.W. Using Microalgae to Convert Brewery Carbon Gas Emissions into Valuable Bioproducts. Energies 2024, 17, 6125. https://doi.org/10.3390/en17236125
Silkina A, Emran MA, Turner S, Tang KW. Using Microalgae to Convert Brewery Carbon Gas Emissions into Valuable Bioproducts. Energies. 2024; 17(23):6125. https://doi.org/10.3390/en17236125
Chicago/Turabian StyleSilkina, Alla, Mohamed A. Emran, Simon Turner, and Kam W. Tang. 2024. "Using Microalgae to Convert Brewery Carbon Gas Emissions into Valuable Bioproducts" Energies 17, no. 23: 6125. https://doi.org/10.3390/en17236125
APA StyleSilkina, A., Emran, M. A., Turner, S., & Tang, K. W. (2024). Using Microalgae to Convert Brewery Carbon Gas Emissions into Valuable Bioproducts. Energies, 17(23), 6125. https://doi.org/10.3390/en17236125

