Abstract
To enhance the peak-shaving capability of a boiler, a mathematical model of hydrodynamic and wall temperature characteristics for the water-cooled wall of a 1000 MW boiler was established. Utilizing the component pressure method, the mass flow distribution, outlet working fluid temperature, pressure loss, and wall temperature distribution characteristics of the water-cooled walls at 30% of the boiler’s maximum continuous rating (BMCR) were calculated and analyzed. The findings suggest that, under the operation at 30% BMCR load, there is a substantial equilibrium in the flow distribution across the quartet of walls that constitute the water-cooled wall assembly. The maximum mass flow rate deviations in the helical and vertical sections are 1.95% and 3.47%, respectively, showing small flow deviations and reasonable distribution. The temperature deviation in the helical section is 0.3 °C, reflecting the characteristic low thermal deviation in helical tubes. While the temperature deviation at the outlet of the vertical section is higher, it remains within safe limits. The pressure loss across the water-cooled wall system amounts to 0.4 MPa. The peak wall temperature reaches 337.5 °C, remaining within the material’s permissible safety limits. Through an in-depth performance analysis, the hydrodynamic operational safety under 30% BMCR deep peak-shaving load is ensured.
1. Introduction
Recently, with the swift advancement of renewable energy, effectively integrating these energy sources has become a significant challenge for power systems [1,2,3,4]. Particularly in China, thermal power continues to dominate the energy mix [5]. Achieving the goals of carbon peaking and carbon neutrality as part of the energy transition [6] makes advanced deep peak-shaving technologies in coal-fired power plants specifically critical [7,8,9,10]. This technology facilitates the stable operation of coal-fired power units at reduced load capacities, thereby enabling the electrical grid to integrate a higher proportion of renewable energy sources while concurrently ensuring grid stability [11,12,13].
Supercritical and ultra-supercritical boilers, as core equipment in modern thermal power generation, have hydrodynamic characteristics and combustion efficiency that directly affect the operational safety and economic performance of the entire power plant [14,15,16,17]. During low-load operations, a water-cooled wall bears the full process from subcooled to superheated states of the working fluid, ensuring that the wall temperature remains within the permissible range for metal materials, which is crucial for the safe operation of the boiler [18,19,20].
Previous studies [21,22,23] indicate that when supercritical units operate under deep load-following conditions, their load response speed is slow, and coal consumption per unit of electricity significantly increases. Additionally, the water-cooled walls of the boiler face several challenges in flow stability and thermal deviation during the deep peaking phase. When the boiler load is reduced to 30% BMCR or less, the filling degree of flue gas in the furnace is pretty low. Therefore, the high-temperature area and flame are easy to move toward some walls [24]. This could lead to hydrodynamic instability, which in turn may result in overheating and damage of tubes [25,26]. Simultaneously, due to the unchanged structure of the water-cooled wall tubes and the significant reduction in working fluid flow, the mass flow within each tube decreases, leading to reduced velocity. As a result, the tubes are not effectively cooled. Therefore, both the flue gas side and the working fluid side contribute to the hydrodynamic safety issues. Ensuring uniform distribution of the working fluid flow within the water-cooled walls under low-load conditions and predicting the temperature thresholds of metal tube walls have become critical challenges faced by supercritical units operating flexibly [27]. Consequently, an exhaustive investigation of the hydrodynamic characteristics and wall temperature distribution under low-load operating conditions of a boiler is of significant importance for ensuring the safe operation of the unit at low loads and improving energy utilization efficiency.
Recently, numerous researchers [23,24,28,29,30,31] have conducted investigations into the hydrodynamic characteristics of boilers under low loads. Zhu et al. [29] designed an orifice situated at the 50% threshold of a boiler’s maximum continuous rating (BMCR), with the intention of enhancing the hydrodynamic performance of the water-cooled walls within an ultra-supercritical pressure boiler. The implemented design was found to facilitate consistent heat transfer efficacy across a spectrum of boiler-loading scenarios, concurrently guaranteeing the integrity of the water-cooled wall’s metallic temperature for safe operational parameters. Wan et al. [30] investigated the hydrodynamic characteristics of the water-cooled walls in a 1000 MW ultra-supercritical boiler under 30% and 75% BMCR loads, finding that flow distribution was influenced by pipeline length and the horizontal non-uniformity of heat flux. Furthermore, the study showed that the outlet steam temperature exhibited an inverse relationship with flow rate. Zhou et al. [31] explored the hydrodynamic behavior of a supercritical boiler at 30% BMCR load. When subjected to a 1.2 times heat flux disturbance, the flow pulsation within the furnace eventually stabilized, indicating that no flow instability occurs when operating at low loads. Chen et al. [23] studied the hydrodynamic characteristics of the water-cooled wall system within a 600 MW supercritical boiler under 60%, 80%, and 100% BMCR loads. Their findings indicated that at 80% BMCR load, water temperature approached the boundary of the high-specific-heat-capacity region, suggesting a risk of heat transfer deterioration. This condition requires careful monitoring to prevent overheating of the water-cooled wall tubes.
However, previous studies [23,24,28,29,32] have mostly focused on conditions above 30% BMCR load, with limited research on the hydrodynamic characteristics at 30% BMCR load. Therefore, this study not only examines the mass flow distribution and pressure loss behavior of the water-cooled wall at 30% BMCR load but also delves into the correlation between wall temperature variation and the material’s safe operating limits.
Additionally, the hydrodynamic calculation model formulated in this study treats the water-cooled wall flow network as an interconnected system of flow channels, pressure junctions, and connecting conduits. A series of pressure equations for each component is established based on the principles of mass conservation, momentum conservation, and energy conservation, and the fundamental equations of fluid mechanics. The newly developed hydrodynamic calculation model was demonstrated by our group to be both accurate and feasible. Using this model allows for flexible and efficient solutions to hydrodynamic problems [16,33,34,35].
This study investigates a 1000 MW supercritical boiler by developing a mathematical model to analyze the hydrodynamic behavior and wall temperature distribution in its water-cooled walls. The model evaluates the hydrodynamic behavior and wall temperature safety at 30% BMCR load. The findings could provide a reference for optimizing the operation and peak-shaving capabilities of supercritical/ultra-supercritical boilers.
2. Mathematical Model
2.1. Hydrodynamic Calculation Method
Figure 1 outlines the calculation process used to determine the boiler’s hydrodynamic characteristics in this study. The water-cooled wall flow network system can be viewed as consisting of flow paths, pressure nodes, and interconnecting pipelines. Adhering to the tenets of the conservation of mass, momentum, and energy, a suite of pressure equations is formulated for each constituent element [16,33,34,35]. By formulating and solving the nonlinear pressure loss balance equations, the branch flow rates are calculated utilizing the obtained partial pressures. The iterative calculation continues until the solution meets the predetermined accuracy requirements, ultimately yielding the pressure loss, flow distribution, working fluid outlet temperature, and wall temperature distribution along the furnace height.
Figure 1.
Flow chart for hydrodynamic calculations.
2.2. Analysis of Pressure Equation
In order to uphold the principle of mass conservation, it is imperative that the mass flow rate influx into each component is equivalent to the mass flow rate efflux from that component. The inflow and outflow situation of the target component is displayed in Figure 2, where and (kg s−1) represent the mass flow rates of the two branches flowing into component 0, and (kg s−1) represent the mass flow rates of the two branches flowing out of component 0, and (kg s−1) denotes the water flow source term in the specified component 0.
Figure 2.
Mass conservation diagram of component 0.
Assuming that a target component possesses m entrances and n exits, the mass conservation equation can be formulated as
where (kg s−1) represents the mass flow rate of the i-th stream entering the target component, while (kg s−1) represents the mass flow rate of the j-th stream leaving the target component.
The equation for determining the pressure loss during fluid flow through a tube is given by
where (kg2 s−2) denotes the pressure losses in the tube due to local effects, friction, and acceleration. The gravity pressure loss is separately mentioned here because the first three types of pressure losses are all proportional to (kg2 s−2), while the gravity pressure loss can be considered as a constant for mass flow rate (kg s−1). is the coefficient of in resistance calculation, which is similar to resistance in an electrical circuit.
(kg s−1) is defined as the value superior to (kg s−1), where represents the flow rate to be solved at the current level, and the pressure loss–flow relationship equation can be obtained using
The substitution of Equation (3) into the mass flow balance Equation (1), considering the upward flow of the working fluid, yields the following result.
Taking into account the pressure loss across the target element, with the inlet pressure serving as a reference point, the following expression is obtained.
where denotes the pressure loss due to the fluid flow between the intake of component I and the designated target component (Pa), indicates the pressure at the inlet of component I (Pa), refers to the pressure loss generated internally within component I (Pa), and represents the pressure at the intake of the target component (Pa). The nomenclature for the determinants involved in the computation of pressure loss at the outlet of the component is analogous to that of the inlet.
Combining Equations (4)–(6), the pressure equation can be obtained as
where the symbol before (kg s−1) is ‘-−’, indicating that this flow is exiting the component. If represents the flow entering the component, the symbol before should be ‘+’.
2.3. Heat Transfer Calculation Model
Moreover, the heat transfer coefficient is of paramount importance for the efficacy of water-cooled walls. Corroborated by empirical research into the thermal exchange properties of helical and vertical conduits, precise correlations pertaining to the heat transfer coefficient were meticulously formulated.
For vertical tubes, the convective heat transfer coefficient of the fluid contained within the lumen is determined in accordance with the subsequent formula [36].
In the lower-enthalpy zone,
In the higher-enthalpy zone,
where is the Reynolds number that is calculated based on the temperature of the inner tube wall, is enthalpy of the fluid at the tube wall surface (J kg–1), is enthalpy of bulk fluid (J kg–1), is metal temperature corresponding to the outer tube wall (°C), is fluid temperature (°C), is dynamic viscosity that is determined by the temperature at the inner tube wall (N s m–2), is thermal conductivity of the tube (W m–1 K–1), is average density of fluid (kg m–3), and is density with the inner tube wall temperature being a key parameter (kg m–3).
For helical tubes, the heat transfer coefficient pertaining to the fluid contained within the lumen is determined by means of the subsequent formula [37].
where is the Reynolds number that is calculated based on the temperature of the inner tube wall, is the average Prandtl number that is calculated using the inner wall temperature as the reference temperature, is average density of fluid (kg m–3), and is density with the inner tube wall temperature being a key parameter (kg m–3).
2.4. Wall Temperature Calculation Model
When the boiler functions at low load, the flame distribution is uneven, resulting in significant differences in flue gas temperature, velocity, and combustion products. Additionally, the differences in the structure of the heating surfaces and the degree of ash deposition lead to uneven heat intensity distribution within the furnace.
As per the requirements of Russian Standard 98 [38] for thermal calculation, by introducing the concept of the heat split coefficient, the temperature of the tube wall subjected to non-uniform heating can be ascertained through derivation.
where is the mean temperature between the inner and outer walls, i.e., the calculated wall temperature (°C); is the average temperature of the medium in the evaluated section component (°C); is the wall thickness of the tube (m); is the ratio of the tube’s outer to inner diameter, given by structural dimensions, ; is the heat split coefficient; is the maximum unit heat absorption of the deviation tube at the calculated section (calculated at the outer wall surface) (kW m−2); is the thermal conductivity of the tube wall metal (W m−1 K−1); and is the rate of heat transfer from the wall surface to the heated medium (W m−2 K−1).
It is readily ascertainable from the formula for calculating wall temperatures that the thermal state of the heating surface is contingent upon an array of factors, including but not limited to the conditions of heat load, the temperature of the medium undergoing heating, the heat transfer properties between the medium and the wall, the thermal conductivity of the material, and the geometric configuration.
2.5. Calculation Loop Division
The spiral section structure at the lower part of the water-cooled wall improves the uneven heat absorption. It is crucial to consider the distribution of heat flux density in the vertical direction. In the horizontal direction, the spiral segment is divided at the inlet header at the inflection point, aligning the flow pattern of the working medium with actual conditions. The vertical section is divided into five segments, and the circumferential direction is equally divided along the wall surface, with calculation results corresponding to each divided segment. The division method for the water-cooled wall is shown in Figure 3.
Figure 3.
Structure division of water-cooled wall.
The spiral section is divided into 144 tube blocks. When the entire spiral section is flattened, it is segmented laterally at the water-cooled wall surface located at the inflection point of the cold ash hopper, dividing it into four major blocks. In the vertical direction, based on thermodynamic properties and sensor arrangements, it is divided into eight height segments. The vertical section is divided into 104 tube blocks, with the height direction evenly divided into five height segments and the width direction equally divided into five tube bundles on the left wall, ten tube bundles on the front wall, and five tube bundles on the right wall. In the vertical section of the rear wall, the middle header to the turn angle is treated as an average.
3. Case Study
The boiler of a certain power plant is a 1000 MW ultra-supercritical, spiral furnace, single-reheat, balanced ventilation, dry ash extraction, all-steel-framed, outdoor-arranged π-type opposed firing boiler. The furnace depth of the boiler is 15,728.7 mm, the width is 33,128.7 mm, and the total height is 64,500 mm, spanning from the central axis of the lower header of the anterior water-cooled wall to the central axis of the furnace ceiling tube. The primary design specifications of the boiler are delineated in Table 1.
Table 1.
The main design parameters of the boiler.
The operational and combustion parameters of the boiler are inherently intricate, encompassing a complex array of factors such as fluid dynamics, heat transfer mechanisms, chemical reactions, and the interplay amongst these variables. The models employed in this study are reported in Table 2. These models have been tested by many scholars and have been proven to be applicable to the combustion simulation of coal-fired boilers.
Table 2.
Models employed in numerical simulation.
The boundary conditions for the numerical simulation at 30% BMCR load are listed in Table 3.
Table 3.
Basic working condition setting parameters.
ICEM is applied for grid generation. To improve the connectivity within the boiler, the entire boiler is selected as a single unit for grid generation. The burner area, furnace area, heat exchanger area, and ash hopper area have complex structures and high turbulence intensity, so these regions are mesh-encrypted to adapt to their complex physicochemical processes. For the burner area, considering the presence of many small-scale structures, the grid size is reduced to achieve grid refinement and minimize computational errors, thereby improving grid quality and computational accuracy. The grid model is presented in Figure 4.
Figure 4.
The grid model.
To balance computational speed and accuracy, this study sets up three grid systems with different grid counts, namely 1.56, 2.03, and 3.13 million. The increase in grid count is achieved by refining the grids in areas such as the burner based on the previous grid system.
In the course of executing grid independence assessments, the mean cross-sectional temperature gradient across the furnace’s vertical axis is adopted as a critical metric. Figure 5 illustrates the comparative distribution of this average cross-sectional temperature profile along the furnace height for three distinct grid configurations, all under uniform operational parameters. The swirling air from the secondary air nozzle within the burner yields a diminished temperature gradient at the core of the burner layer. It is readily observable that the temperature distribution across the vertical axis of the furnace is generally consistent across all three grid systems, with the temperature profiles of the 2.03 and 3.13 million models showing greater similarity. The 2.03-million-grid system can ensure good computational accuracy while reducing computational costs. All numerical simulation studies in this study are conducted on this grid system.
Figure 5.
Grid independence test.
4. Results and Discussion
4.1. Model Verification
To validate the reliability of the numerical simulation outcomes and the hydrodynamic calculation model under low-load conditions, this study conducted a comparative analysis between the field measurements or thermodynamic calculations at 100% BMCR and 30% BMCR conditions and the model results. The validation results of the numerical model are presented in Table 4. The table illustrates that the relative discrepancy between the numerical simulation outcomes and the empirical or thermodynamic computational values for the boiler remains within a 3% threshold. Considering the actual industrial production scale, the selected numerical model can be considered reliable.
Table 4.
Comparison of simulation values and measured or thermal calculation values under 100% BMCR.
Table 5 presents a comparison between the measured values and calculated values at various measurement points of the water-cooled wall system under 30% BMCR load. Observing the table, it can be noted that the calculated values for the overall heat absorption and pressure loss of the water-cooled wall system show good consistency with the measured data. This indicates that the adopted calculation model can accurately assess the hydrodynamic characteristics of the water-cooled wall system under low-load conditions.
Table 5.
Comparison between calculated values and measured values at 30% BMCR.
4.2. The 30% BMCR Load Hydrodynamic Characteristics
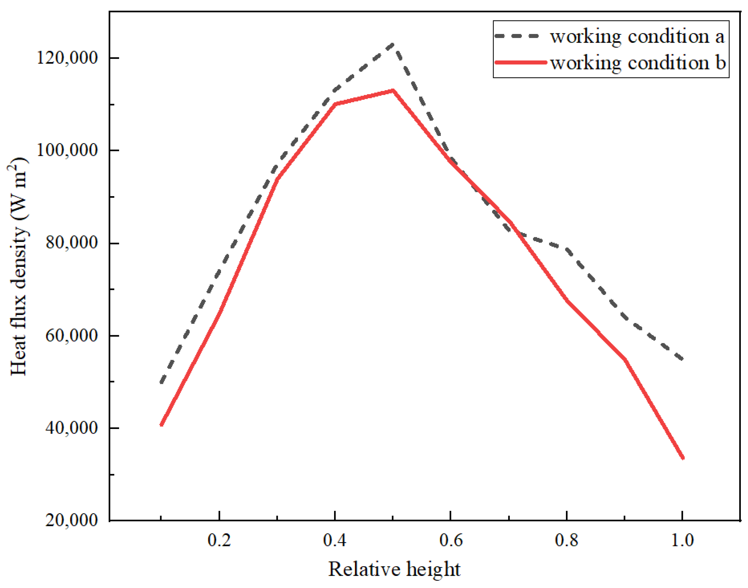
The distribution of the average heat flux density along the furnace height direction of the boiler’s four walls under the 30% BMCR load obtained from the numerical simulation is illustrated in Figure 6, including two working conditions. It is evident that the highest heat flux density for both scenarios is concentrated in the central region of the furnace. Specifically, under condition b, the thermal load in the central region of the furnace varies more smoothly along the furnace height. This is due to the gas flow within the furnace chamber being well filled and evenly distributed in velocity, which contributes to the expansion of the high-temperature zone at its center.
Figure 6.
The distribution of average heat flux density along the height of the furnace across the four walls of the boiler under 30% BMCR load.
Figure 7 clarifies the mass flow distribution circuit under the 30% BMCR load. The maximum mass flow rates of the helical tube section and the vertical tube section are 0.746 and 0.147 kg s−1, respectively. The imbalance in water-cooled wall loop flow primarily stems from several key factors. Firstly, heat absorption deviation is a significant contributor, resulting in uneven heat absorption across water-cooled wall tubes at different locations during the heat exchange process. Secondly, the arrangement of introduced tubes also impacts flow distribution, as different arrangement strategies lead to variations in fluid flow within the pipelines [39]. Additionally, differences in the lengths of water-cooled wall tubes themselves are also a significant factor contributing to flow imbalance.
Figure 7.
Mass flow rate distribution of water-cooled wall under 30% BMCR load.
For helical tube loops, due to their design characteristics, the vertical height difference between each tube is essentially the same, indicating a relatively minor influence of gravity on fluid pressure loss. Simultaneously, these tubes are uniformly arranged around the furnace in a helical ascent manner, ensuring uniform heating surface. However, in this structure, even with uniform heating, significant flow resistance is induced due to factors such as the positions of burner nozzles and separated over-fire air (SOFA) nozzles, leading to a reduction in mass flow of the working fluid. Simultaneously, the uneven distribution of flow among the various circuits in the lower furnace is primarily attributed to minor differences in circuit lengths. In circuits with longer lengths, the increased frictional resistance leads to a corresponding reduction in the mass flow rate of the working medium.
For the vertical tube sections, the distribution of flow in each tube loop is not solely determined by tube length. In fact, the total heat absorption within the tube is also a crucial factor. By observing Figure 7, it can be observed that the mass flow rates at the front, right, and left walls are relatively close, indicating a relatively balanced flow distribution. Nonetheless, the mass flow rate at the rear wall is comparatively diminished, and this differs from the results obtained by Zhou et al. [30], where the mass flow rate on the rear wall is overall greater than that on the other walls. This is primarily due to the complexity of the boiler rear wall design investigated in this study, along with the significant influence of the arch nose. Due to the presence of the arch nose, the heat absorption at the rear wall is lower, which in turn results in a drop in gas content within the tube, and thereby an increase in the working fluid’s density. As a result of this density increase, the hydrostatic head also increases, ultimately leading to a reduction in flow within the loop [40]. Therefore, it can be concluded that the primary reason for the relatively small mass flow rate at the rear wall is the deviation in heat absorption.
Figure 8 illuminates the outlet temperature of the working fluid in the helical and vertical sections under the 30% BMCR load. At this point, the dryness of the working fluid at the effluent of the water-cooled wall boundary remains below 1, indicating that it is not superheated steam. From Figure 8, it can be observed that the helical section manifests the minimum outlet steam temperature at 323.5 °C, while the maximum recorded temperature at the outlet is 323.8 °C. The temperature deviation is 0.3 °C, which is consistent with the characteristic of small thermal deviation in helical tubes [22]. This is precisely the advantage of the spiral tube water-cooled wall. As the spiral tubes ascend in a helical manner, they uniformly encircle the four walls of the furnace, passing through both regions of high thermal load and regions of low thermal load. Consequently, over the entire length, the heat absorption deviation among the spiral tubes is minimal.
Figure 8.
The outlet temperature of the working fluid in the water-cooled wall under 30% BMCR load.
The outlet steam temperature deviation in the vertical section is relatively large. The maximum outlet steam temperature is invariably recorded at the rear wall, whereas the front wall consistently manifests the minimum outlet steam temperature. Moreover, the distribution of outlet steam temperatures on the lateral walls, both to the left and right, exhibits a comparable pattern, whereas the rear wall exhibits outlet steam temperatures that surpass those on the front wall. This discrepancy is attributed to variations in flow rates resulting from differing flow cross-sections between the front and rear walls. At the same time, under the 30% BMCR low-load condition, the fluid flow within the water-cooled walls is affected. As illustrated in Figure 7, the mass flow rate at the rear wall is lower, resulting in poorer heat transfer efficiency, which in turn leads to a higher outlet steam temperature at the rear wall.
Table 6 delineates the computed pressure loss metrics within the water-cooled wall system under 30% BMCR operating conditions. The cumulative pressure loss across the water-cooled wall spans from the inlet header to the steam–water separator. The pressure loss in the helical coil covers the section from the inlet header to the intermediate header, while the pressure loss in the vertical tube panel occurs between the intermediate header and the furnace top outlet header. The computational outcomes reveal that the deployment of helical tube coils within the water-cooled wall of the lower furnace, coupled with the increased length of the helical tubes and the augmented flow rate of the operating fluid, predominantly contributes to the concentration of system pressure loss within the helical tube coil segment [41]. The diminished flow velocity of the working fluid within the vertical conduits, coupled with their relatively reduced length, results in a significantly smaller proportion of pressure loss attributed to these conduits within the context of the overall pressure loss in the water-cooled wall system.
Table 6.
Calculated value of pressure loss of water-cooled wall system.
4.3. Wall Temperature Characteristics
Figure 9 demonstrates the circumferential wall temperature distribution along the vertical segment of the water-cooled wall. The high-temperature section appears near the centerline of each wall, with the highest wall temperature occurring on the front side wall. Due to the proximity of the wall centerlines to the heat radiation sources in the furnace, and the deflection and recirculation of the gas flow, the regions near the centerlines of each wall may experience stronger heat radiation, resulting in higher temperatures compared to the surrounding areas. The wall temperature distribution across the boiler’s front wall, left wall, and right wall demonstrates a relative homogeneity, whereas the temperature of the rear wall exhibits less fluctuation compared to the other walls. This is due to the smaller heating region of the rear wall’s water-cooled wall and the presence of suspension tubes, resulting in more uniform heat distribution. Moreover, the heat load on the rear wall’s water-cooled wall is relatively low, and due to the reduced flame radiation it receives, the temperature fluctuations are smaller. Additionally, since the rear wall is typically located at the back of the boiler, it experiences less disturbance from the gas flow, and the slower flame propagation results in a more uniform distribution of heat load on the rear wall.
Figure 9.
The circumferential wall temperature distribution of the vertical section.
Figure 10 illustrates the distribution of wall temperatures along the vertical axis of the furnace. Due to the increase in heat flux density, the wall temperature rises rapidly. Then, with the decrease in heat flux along the height of the furnace, the wall temperature shows a decreasing trend as a whole. Additionally, as the working medium traverses into the biphasic zone, the fluid’s heat transfer coefficient increases substantially, leading to an overall reduction in wall temperature, with the maximum reaching 337.5 °C. The temperature remains within the permissible limit, allowing the boiler to operate safely. Furthermore, under the low-load operation at 30% BMCR, to ensure stable combustion within the furnace, typically only the lower burners are activated, thereby concentrating the heat primarily in the lower furnace region.
Figure 10.
The distribution of wall temperature along the height of the furnace.
5. Conclusions
In this study, an analysis is conducted on the hydrodynamic performance and wall temperature of the water-cooled wall within a 1000 MW supercritical boiler under low-load conditions. Moreover, computations are performed to ascertain the mass flow distribution, the temperature of the effluent working fluid at the outlet, the pressure drop, and the wall temperature at a load corresponding to 30% BMCR. The conclusions can be described as follows:
- (1)
- The comparison of the measured values of parameters such as the inlet header pressure of the water-cooled walls under 30% BMCR conditions with the calculated values demonstrates the correctness and reliability of the hydrodynamic calculation model established in this study.
- (2)
- At 30% BMCR load, the flow distribution across the quartet of walls within the water-cooled wall is basically balanced. The flow distribution characteristics of the helical section and the vertical section are similar, with the maximum mass flow rates of 0.746 and 0.147 kg s−1, respectively, and the maximum mass flow deviations of 1.95% and 3.47%, respectively, indicating small flow deviations and reasonable distribution. The flow deviation in the helical section is mainly influenced by uneven tube length, while the flow deviation in the vertical section is primarily affected by differences in heat load.
- (3)
- At 30% BMCR load, the lowest outlet steam temperature of the uniformly heated helical section is 323.5 °C, and the highest outlet steam temperature is 323.8 °C, with a temperature deviation of 0.3 °C, which is consistent with the characteristic of low thermal deviation in helical tubes. The heat absorption deviation causes a larger temperature deviation at the outlet of the vertical section. However, it remains within the safe range.
- (4)
- At 30% BMCR load, the comprehensive pressure loss across the system amounts to 0.4 MPa, while the peak wall temperature recorded on the water-cooled wall reaches 337.5 °C. The tube wall temperature remains within the material’s allowable safety limits, with no degradation in heat transfer observed, indicating that the water-cooled wall design is both achievable and effective.
A mathematical model of hydrodynamic and wall temperature characteristics is established in this study, which is employed to analyze and evaluate the hydrodynamics and wall temperature safety of supercritical boiler water-cooled walls under 30% BMCR ultra-low-load conditions. Valuable insights for the safe operation and optimization of peak-shaving capabilities of similar units can be provided by this study. However, several details of the model still need to be optimized. In the division of the water-cooled wall structure, the vertical section of the rear wall was treated as an average. While this approach is generally considered reasonable, it may introduce some impact on the calculation results. Therefore, in future research, an attempt will be made to refine the tube sections here to assess the impact of this averaging operation on the accuracy of the results.
Author Contributions
Conceptualization, P.C. and X.Z.; methodology, P.C. and X.Z.; validation, X.L.; visualization, J.L.; formal analysis, X.L.; investigation, P.C. and L.D.; resources, X.Z.; data curation, P.C.; writing—original draft preparation, P.C.; writing—review and editing, X.Z. and J.L.; visualization, J.L.; supervision, J.L.; project administration, L.D. All authors have read and agreed to the published version of the manuscript.
Funding
This research was funded by the Guangdong Administration for Market Regulation Science and Technology Project grant number 2014CT12.
Data Availability Statement
The data presented in this study are available on request from the corresponding author. The data are not publicly available due to privacy.
Conflicts of Interest
Authors P.C., X.Z. and J.L. were employed by the company Shanghai Power Equipment Research Institute. The remaining authors declare that the research was conducted in the absence of any commercial or financial relationships that could be construed as a potential conflict of interest.
Nomenclature
| mass flow rate (kg s−1) | |
| mass flow rate of the i-th stream entering the target component (kg s−1) | |
| mass flow rate of the j-th stream leaving the target component (kg s−1) | |
| water flow source term in the specified component (kg s−1) | |
| mass flow rate of the previous level for the same branch flow (kg s−1) | |
| mass flow rate of the previous level of the i-th inlet branch of the component (kg s−1) | |
| mass flow rate of the previous level of the j-th outlet branch of the component (kg s−1) | |
| mass flow rate of the previous level of the I-th branch of the component (kg s−1) | |
| mass flow rate of the previous level of the I-th outlet branch of the component (kg s−1) | |
| mass flow rate of the previous level of the I-th inlet branch of the component (kg s−1) | |
| gravitational acceleration (m s-²) | |
| length of the tube segment (m) | |
| enthalpy of bulk fluid (J kg−1) | |
| enthalpy of the fluid at the tube wall surface (J kg−1) | |
| number of branches where the working fluid enters component 0 | |
| number of branches where the working fluid flows out of component 0 | |
| Nusselt number | |
| pressure at the inlet of the target component (Pa) | |
| pressure loss is due to the working fluid flow between the component inlet and the target component inlet (Pa) | |
| pressure loss is due to the working fluid flow between the component outlet and the target component outlet (Pa) | |
| pressure at the inlet of the component (Pa) | |
| pressure at the outlet of the component (Pa) | |
| pressure loss generated internally within the component (Pa) | |
| pressure loss of the target component (Pa) | |
| pressure of the I-th branch of the component (Pa) | |
| pressure loss of component 0 (Pa) | |
| pressure loss of the I-th branch of the component (Pa) | |
| average Prandtl number is calculated using the inner wall temperature as the reference temperature | |
| pressure of the I-th branch of component 0 (Pa) | |
| ratio of the tube’s outer to inner diameter (kW m−2) | |
| resistance coefficient | |
| resistance coefficient at the I-th branch of the component | |
| resistance coefficient of the I-th outlet branch of the component | |
| resistance coefficient of the I-th inlet branch of the component | |
| resistance coefficient at the inlet of the component | |
| resistance coefficient at the outlet of the component | |
| Reynolds number is calculated based on the temperature of the inner tube wall | |
| mean temperature between the inner and outer walls (°C) | |
| fluid temperature (°C) | |
| metal temperature corresponds to the outer tube wall (°C) | |
| average temperature of the medium in the evaluated section component (°C) | |
| Greek Symbols | |
| rate of heat transfer from the wall surface to the heated medium (W m−2 K−1) | |
| ratio of the tube’s outer to inner diameter | |
| wall thickness of the tube (m) | |
| heat split coefficient | |
| thermal conductivity of the tube wall metal (W m−1 K−1) | |
| average density of fluid (kg m−3) | |
| density with the inner tube wall temperature being a key parameter (kg m−3) | |
| thermal conductivity of the tube (W m−1 K−1) | |
| dynamic viscosity is determined by the temperature at the inner tube wall (N s m−2) | |
| Abbreviations | |
| BMCR | boiler maximum continuous rating |
| OFA | over-fire air |
References
- Luo, G.; Zhang, X.; Liu, S.; Dan, E.; Guo, Y. Demand for flexibility improvement of thermal power units and accommodation of wind power under the situation of high-proportion renewable integration—taking North Hebei as an example. Environ. Sci. Pollut. Res. 2019, 26, 7033–7047. [Google Scholar] [CrossRef] [PubMed]
- Wang, Y.; Zhao, M.; Chang, J.; Wang, X.; Tian, Y. Study on the combined operation of a hydro-thermal-wind hybrid power system based on hydro-wind power compensating principles. Energy Convers. Manag. 2019, 194, 94–111. [Google Scholar] [CrossRef]
- Wang, P.; Hu, B.; Tai, N.; Zhao, L.; Vafai, K. Peak shaving auxiliary service analysis for the photovoltaic and concentrating solar power hybrid system under the planning-dispatch optimization framework. Energy Convers. Manag. 2023, 295, 117609. [Google Scholar] [CrossRef]
- Spiru, P. Assessment of renewable energy generated by a hybrid system based on wind, hydro, solar, and biomass sources for decarbonizing the energy sector and achieving a sustainable energy transition. Energy Rep. 2023, 9, 167–174. [Google Scholar] [CrossRef]
- Xu, G.Q.; Feng, S.W. Spatial-temporal Evolution Characteristics of Carbon Emissions from Energy Consumption in China’s Thermal Power Industry. Ecol. Econ. 2024, 40, 30–38. (In Chinese) [Google Scholar]
- Xi Jinping delivered an important speech at the general debate of the 75th session of the United Nations General Assembly. 2020. (In Chinese)
- Jin, W.; Si, F.; Cao, Y.; Yu, C.; Wang, J. Numerical research on ammonia-coal co-firing in a 1050 MW coal-fired utility boiler under ultra-low load: Effects of ammonia ratio and air staging condition. Appl. Therm. Eng. 2023, 233, 121100. [Google Scholar] [CrossRef]
- Jin, W.; Si, F.; Kheirkhah, S.; Yu, C.; Li, H.; Wang, Y.o. Numerical study on the effects of primary air ratio on ultra-low-load combustion characteristics of a 1050 MW coal-fired boiler considering high-temperature corrosion. Appl. Therm. Eng. 2023, 221, 119811. [Google Scholar] [CrossRef]
- Ma, D.; Zhang, S.; He, X.; Ding, X.; Li, W.; Liu, P. Combustion stability and NOx emission characteristics of three combustion modes of pulverized coal boilers under low or ultra-low loads. Appl. Energy 2024, 353, 121998. [Google Scholar] [CrossRef]
- Wang, H.; Jin, H.; Yang, Z.; Deng, S.; Wu, X.; An, J.; Sheng, R.; Ti, S. CFD modeling of flow, combustion and NOx emission in a wall-fired boiler at different low-load operating conditions. Appl. Therm. Eng. 2024, 236, 121824. [Google Scholar] [CrossRef]
- Wang, W.; Gong, J. New relaxation function and age-adjusted effective modulus expressions for creep analysis of concrete structures. Eng. Struct. 2019, 188, 1–10. [Google Scholar] [CrossRef]
- Qiu, S.; Song, R.; Wang, Z.; Du, Z.; Zhan, Y. Research and application of AGC whole process automatic control for thermal power units under low load deep peak shaving conditions. In Proceedings of the 2022 IEEE 10th Joint International Information Technology and Artificial Intelligence Conference (ITAIC), Chongqing, China, 17–19 June 2022; pp. 484–488. [Google Scholar]
- Jian, L.; Jianguo, X.; Jialin, T.; Hongkun, L. Study on Ultra-low Load Stable Combustion Technology of Boiler in Deep Peak Shaving. Zhejiang Electr. Power 2018, 37, 62–66. [Google Scholar]
- Wang, X.; Yang, C.; Zhang, Z. Online Tracking Simulation System of a 660 MW Ultra-Supercritical Circulating Fluidized Bed Boiler. J. Therm. Sci. 2023, 32, 1819–1831. [Google Scholar] [CrossRef]
- Lichota, J. Modeling of supercritical boiler by neural network. Rynek Energii 2023, 167, 64–69. [Google Scholar]
- Zhang, W.; Wang, H.; Yan, K.; Zhou, T.; Wang, C.a.; Chen, K.; Che, D. Mathematical modeling and thermal-hydrodynamic analysis of vertical water wall in a SCFB boiler with annular furnace. Appl. Therm. Eng. 2016, 102, 742–748. [Google Scholar] [CrossRef]
- Tucakovic, D.R.; Stevanovic, V.D.; Zivanovic, T.; Jovovic, A.; Ivanovic, V.B. Thermal-hydraulic analysis of a steam boiler with rifled evaporating tubes. Appl. Therm. Eng. 2007, 27, 509–519. [Google Scholar] [CrossRef]
- Dev Choudhury, S.; Khan, W.N.; Lyu, Z.; Li, L. Failure analysis of blowholes in welded boiler water walls. Eng. Fail. Anal. 2023, 153, 107560. [Google Scholar] [CrossRef]
- Liu, T.; Wang, Y.; Zou, L.; Bai, Y.; Shen, T.; Wei, Y.; Li, F.; Zhao, Q. Numerical investigation of stable combustion at ultra-low load for a 350 MW wall tangentially fired pulverized-coal boiler: Effect of burner adjustments and methane co-firing. Appl. Therm. Eng. 2024, 246, 122980. [Google Scholar] [CrossRef]
- Yang, C.; Zhang, T.; Sun, L.; Huang, S.; Zhang, Z. Piecewise affine model identification and predictive control for ultra-supercritical circulating fluidized bed boiler unit. Comput. Chem. Eng. 2023, 174, 108257. [Google Scholar] [CrossRef]
- Nie, X.; Zhou, K.; Liu, H.; Zhang, G.; Luo, H.; Nu, N. Hydrodynamic Analysis and Metal Temperature Calculation for the Water Wall of a 660MW Supercritical Boiler at Severe Peak Load Regulation. In Proceedings of the 2019 IEEE 2nd International Conference on Power and Energy Applications (ICPEA), Singapore, 27–30 April 2019; pp. 188–196. [Google Scholar]
- Wang, W.; Zhao, P.; Chen, G.; Bi, Q.; Gu, H. Hydrodynamic characteristics of vertical water-wall in ultra-supercritical pressure boiler. Huagong Xuebao/CIESC J. 2013, 64, 3213–3219. [Google Scholar]
- Chen, Y.; Lu, X.; Zhang, W.; Wang, Q.; Chen, S.; Fan, X.; Li, J. An experimental study on the hydrodynamic performance of the water-wall system of a 600 MW supercritical CFB boiler. Appl. Therm. Eng. 2018, 141, 280–287. [Google Scholar] [CrossRef]
- Chang, J.; Zhou, Z.; Ma, X.; Liu, J. Computational investigation of hydrodynamics, coal combustion and NOx emissions in a tangentially fired pulverized coal boiler at various loads. Particuology 2022, 65, 105–116. [Google Scholar] [CrossRef]
- Guo, X.; Xia, L.; Zhao, G.; Wei, G.; Wang, Y.; Yin, Y.; Guo, J.; Ren, X. Steam Temperature Characteristics in Boiler Water Wall Tubes Based on Furnace CFD and Hydrodynamic Coupling Model. Energies 2022, 15, 4745. [Google Scholar] [CrossRef]
- Li, X.; Zeng, L.; Zhang, N.; Chen, Z.; Li, Z.; Qin, Y. Effects of the air-staging degree on performances of a supercritical down-fired boiler at low loads: Air/particle flow, combustion, water wall temperature, energy conversion and NOx emissions. Fuel 2022, 308, 121896. [Google Scholar] [CrossRef]
- Ma, R.; Zhao, W.; Han, B. Cause Analysis of Water Wall overtemperature of a 660 MW Ultra-supercritical Unit Boiler. Qinghai Electr. Power 2017, 4, 63–65. (In Chinese) [Google Scholar]
- Chang, J.; Wang, X.; Zhou, Z.; Chen, H.; Niu, Y. CFD modeling of hydrodynamics, combustion and NOx emission in a tangentially fired pulverized-coal boiler at low load operating conditions. Adv. Powder Technol. 2021, 32, 290–303. [Google Scholar] [CrossRef]
- Zhu, X.; Wang, W.; Xu, W. A study of the hydrodynamic characteristics of a vertical water wall in a 2953t/h ultra-supercritical pressure boiler. Int. J. Heat Mass Transf. 2015, 86, 404–414. [Google Scholar] [CrossRef]
- Wan, L.; Yang, D.; Zhou, X.; Dong, L.; Li, J. Thermal-hydraulic calculation and analysis on evaporator system of a 1000 MW ultra-supercritical pulverized combustion boiler with double reheat. J. Therm. Sci. 2021, 30, 807–816. [Google Scholar] [CrossRef]
- Zhou, K.; He, M.Q.; Niu, T.T. Study on hydrodynamic characteristics of supercritical 660 MW lignite boiler with deep peak load. Therm. Power Gener. 2022, 51, 88–95. (In Chinese) [Google Scholar]
- Liu, H.; Wang, Y.; Zhang, W.; Wang, H.; Deng, L.; Che, D. Coupled modeling of combustion and hydrodynamics for a 1000 MW double-reheat tower-type boiler. Fuel 2019, 255, 115722. [Google Scholar] [CrossRef]
- Liu, H.; Zhang, W.; Wang, H.; Zhang, Y.; Deng, L.; Che, D. Coupled combustion and hydrodynamics simulation of a 1000MW double-reheat boiler with different FGR positions. Fuel 2020, 261. [Google Scholar]
- Wang, H.; Che, D. Positive Flow Response Characteristic in Vertical Tube Furnace of Supercritical Once-Through Boiler. J. Therm. Sci. Eng. Appl. 2014, 6, 031002. [Google Scholar] [CrossRef]
- Zhang, W.; Yan, K.; Wang, H.; Che, D. Research on Thermal hydrodynamic Performance of Water Wall Pipes for Ultra-supercritical Double Reheat Once-through Boiler. J. Eng. Therm. Energy Power 2016, 31, 75–80. [Google Scholar]
- Wang, W.; Liang, Z.; Wan, L.; Liu, D.; Yang, D. Experimental investigation on heat transfer characteristics of smooth water wall tube of an ultra-supercritical CFB boiler. ASME Int. Mech. Eng. Congr. Expo. 2018. [Google Scholar]
- Wang, S.; Yang, D.; Zhao, Y.; Qu, M. Heat transfer characteristics of spiral water wall tube in a 1000 MW ultra-supercritical boiler with wide operating load mode. Appl. Therm. Eng. 2018, 130, 501–514. [Google Scholar] [CrossRef]
- Gurvich, A.M.; Kuzneshov, N.V. Standard method for thermal calculation of boiler units. 1963. (In Chinese) [Google Scholar]
- Ni, X.B.; Zhou, K.Y.; Xu, Q.L. Hydrodynamic Calculation and Safe Evaporation for the Water Wall in a Supercritical Boiler 30% BMCR. POWER EQUIPMENT 2021, 35, 149–156. (In Chinese) [Google Scholar]
- Ge, X.L.; Zhang, Z.X.; Fan, H.J. Study on the influence of thermal deviation and flow deviation on the water-cooled wall temperature of 1000 MW ultra-supercritical boiler. Proc. CSEE 2018, 38, 2348–2357. (In Chinese) [Google Scholar]
- Pang, L.P.; Yuan, H.; Qiu, W.S. Hydrodynamic characteristics during peaking operation in utility boiler. Chem. Ind. Eng. Prog. 2023, 42, 1708–1718. (In Chinese) [Google Scholar]
Disclaimer/Publisher’s Note: The statements, opinions and data contained in all publications are solely those of the individual author(s) and contributor(s) and not of MDPI and/or the editor(s). MDPI and/or the editor(s) disclaim responsibility for any injury to people or property resulting from any ideas, methods, instructions or products referred to in the content. |
© 2024 by the authors. Licensee MDPI, Basel, Switzerland. This article is an open access article distributed under the terms and conditions of the Creative Commons Attribution (CC BY) license (https://creativecommons.org/licenses/by/4.0/).









