You are currently on the new version of our website. Access the old version .
EnergiesEnergies
  • Article
  • Open Access

12 November 2024

Intelligent Control of an Experimental Small-Scale Wind Turbine

,
,
and
1
CONAHCYT—Tecnológico Nacional de México—Centro Nacional de Investigación y Desarrollo Tecnológico, Cuernavaca 62490, Morelos, Mexico
2
Instituto Nacional de Electricidad y Energías Limpias, Cuernavaca 62490, Morelos, Mexico
3
Sonora Institute of Technology—Electric and Electronic Department, Obregon 85000, Sonora, Mexico
*
Author to whom correspondence should be addressed.
This article belongs to the Section A3: Wind, Wave and Tidal Energy

Abstract

Nowadays, wind turbines are one of the most popular devices for producing clean and renewable electric energy. The rotor blades catch the wind’s kinetic energy to produce rotational energy from the turbine and electric energy from the generator. In small-scale wind turbines, there are several methods to operate the blades to obtain the desired speed of rotation and power outputs. These methods include passive stall, active stall, and pitch control. Pitch control sets the angular position of the blades to face the wind to achieve a predefined relationship between turbine speed or power and wind velocity. Typically, conventional Proportional Integral (PI) controllers are used to set the angular position of the rotor blades or pitch angle. Nevertheless, the quality of speed or power regulation may vary substantially. This study introduces a rotor speed controller for a pitch-controlled small-scale wind turbine prototype based on fuzzy logic concepts. The basics of fuzzy systems required to implement this kind of controller are presented in detail to counteract the lack of such material in the technical literature. The knowledge base of the fuzzy speed controller is composed of Takagi–Sugeno–Kang (TSK) fuzzy inference rules that implement a dedicated PI controller for any desired interval of wind velocities. Each wind velocity interval is defined with a fuzzy set. Simulation experiments show that the TSK fuzzy PI speed controller can outperform the conventional PI controller in the speed and accuracy of response, stability, and robustness over the whole range of operation of the wind turbine prototype.

1. Introduction

Wind turbine generators (WTGs) constitute a suitable technology to produce electric energy from the wind, a widely abundant and renewable resource on Earth. Essentially, WTGs are machines that first convert the wind’s kinetic energy into rotational mechanical energy through the wind turbine. Then, the electric generator converts that mechanical energy into electrical energy 91]. Installing large wind farms with bigger WTGs daily is a significant trend to supply clean and renewable energy worldwide to provide an extra 350 GW to achieve the global Net Zero 2030 climate objectives [1,2]. Nevertheless, it has been shown that installing large-scale wind farms might lead to significant weather changes [3]. Hence, there is a need to effectively use wind energy without negatively affecting the environment. In this regard, the best option is to use decentralized small-scale WTGs to produce about 10 kW, which is enough for most households. Therefore, it is a plus to understand the characteristics of small-scale WTGs (SS-WTGs).
WTGs can be roughly classified in terms of their power rating. Large-scale WTGs produce between 1 and 3 MW or more, medium-scale WTGs have power outputs from 100 kW to 1 MW, and small-scale WTGs range from 0.004 kW to 100 kW. Furthermore, SS-WTGs can be classified in micro from 0.004 to 0.25 kW, mini from 0.25 to 1.4 kW, household from 1.4 to 16 kW, and commercial from 25 to 100 kW [4,5,6]. Additionally, WTGs are classified according to the direction of their axis of rotation [7]:
(a)
Vertical-axis WTGs have the rotor axis in the vertical direction. These turbines catch the wind in any direction it comes and do not need any orientation mechanism. The electric generator lies on the ground, reducing the cost of supporting structures and maintenance labor. The efficiency of these turbines can surpass 70%. For principal vertical axes, WTGs use Darreius or Savonius wind turbines.
(b)
Horizontal-axis WTGs have the rotor axis in the horizontal direction. Their performance depends on wind direction and requires an orientation mechanism for the blades to face the incoming wind. Rotors can have from two to more than a dozen blades. The electric generator must be suspended at the turbine height. The ideal efficiency of these WTGs is between 50% and 60%.
The most common small-scale wind energy conversion systems are horizontal-axis SS-WTGs with a three-blade rotor, direct transmission shaft, and an electric generator, which can be an induction generator (IG) or a permanent magnet synchronous generator (PMSG) [8]. Additionally, since wind speed varies continuously, the frequency of electric energy may vary widely and needs to be conditioned for constant frequency and voltage outputs using a power electronic converter to feed conventional AC loads or for interconnection to a power grid [9].
In recent years, grid-interconnected SS-WTG technology, with a generating capacity of up to 100 kW, has been utilized in corporations, factories, farmhouses, and households as clean and cheap power distributed systems [10]. In [11], the feasibility of deploying small-scale wind power technology, in a range of 5 to 10 kW, is analyzed to provide cheaper and cleaner energy in the residential sector. The energy produced by SS-WTGs can be estimated from its power curve, which is provided by the manufacturer, and the wind speed distribution at the site of interest. Then, the potential of SS-WTG technology to supply some, all, or more of the load demand of residential consumers and the possibility of reducing electricity costs can be evaluated [12]. Hence, SS-WTGs are a reliable energy source when adequately sized and used at optimum conditions. In addition, SS-WTGs can generate enough energy to compensate, from a few months to a few years, for the carbon footprint emitted during their production, installation, and operation [13].
Significant research and development interest in horizontal-axis SS-WTGs has focused on how their performance depends on the turbine’s physical characteristics [14]. Nevertheless, ensuring optimal power output, long structural life, low maintenance costs, and efficient performance is the responsibility of the control systems [15].

1.1. SS-WTG Control Systems

Control systems allow SS-WTGs to have the functionality depicted in Figure 1, where there are four regions of operation with different requirements for the control system. In Region I, the wind turbine does not operate due to the low wind speeds. With low and medium wind speeds in Region II, the main operation objective is to generate the maximum possible power. In Region III, with high wind speed, the operation objective is to stabilize the rotating speed of the turbine rotor at the rated speed (constant speed control), avoiding rotor over-speeding, and the power being produced is kept as constant as possible (constant power control).
Figure 1. Typical desired functionality for wind turbine generators.

1.1.1. Control Strategies for Region II

In Region II, SS-WTG controls intend to capture the most kinetic energy from the wind to produce the maximum rotational kinetic energy and the largest electric energy output. With this aim, maximum power point tracking (MPPT) strategies track specific speeds to extract maximum power in variable speed operation at low and medium wind speeds. In basic MPPT control schemes, the converter duty cycle is manipulated to modify the generator’s electromagnetic torque and the WTG’s rotational speed.
In the literature, several techniques have been used to implement MPPT control strategies, such as gradient approximation [16], artificial neural networks [17], fuzzy logic [18], particle swarm optimization [19], ant colony optimization [20], and perturb and observe (PO) [21].
In [22], the MPPT strategy for a performance improvement in an SS-WTG with PMSG and an electronic converter is introduced and modeled in Matlab-Simulink. The MPPT strategy is based on the extended perturb and observe (PO) method and can improve the speed of the turbine without oscillation. The overall SS-WTG had a 136% maximum increase in system output power at 200 W and wind speed of 6.5 m/s, while average increments in power output were 50.77%. The results of this study proved that PO-MPPT successfully improved the performance of SS-WTG.
The authors of [23] reported multiple MPPT control strategies, such as sensorless nonlinear controllers, sensorless mechanical systems, intelligent maximum power point (MPP) trackers, MPPT-driven torque components, observer-based MPP trackers, MPPT metaheuristic approaches, and many others. Each strategy has its characteristics regarding computational complexity, tracking speed, accuracy, and number of sensors used.

1.1.2. Control Strategies for Region III

In Region III, the high wind speeds may cause significant rotational speeds and torques. In these conditions, the loads and stress on the mechanical components can be very demanding, producing physical damage or even ripping apart the WTG. Hence, SS-WTG controls aim to limit the power output, which can be achieved by restricting the rotational speed and torque. Such variables can be limited for the wind turbine with stall or pitch control systems. Roughly speaking, the stall control strategies face the blades opposing the wind direction so that the angle of attack is beyond the stall point where sustained turbulence is created on the surface of the blades that is not facing the wind. Stall control includes passive stall and active stall control strategies. Conversely, the pitch control strategies turn the blades away from the wind to reduce the lift force on the turbine blades and let the wind go through the rotor plane.
Passive Stall Control
Wind turbines with passive stall control have aerodynamically designed blades that create turbulence to reduce the blades’ lift force, limiting the turbine’s power.
Passive stall control’s main advantages are its low cost and simplicity, as it does not require additional mechanisms. However, due to the limited control process, the WT is susceptible to torque spikes and power fluctuations. When the passive stall control is used, the WT′s output power, as the wind speed increases, slightly surpasses the rated limit and then decreases, reaching the nominal power until the wind speed equals the cut-out speed. This behavior guarantees that the wind generator does not suffer overloading. Passive stall control is used in fixed-speed WT systems to limit the WT′s rated power in high-wind-speed conditions. Therefore, poor power regulation is needed due to the constrained operating conditions.
Active Stall Control
Wind turbines with active stall control have mechanisms to adjust the blades’ angle of attack to cause deeper stalls to limit the power produced by the turbine. Compared to passive stalling, the control system provides more precise regulation of the turbine power output. It avoids overshooting the turbine’s rated power at the beginning of wind gusts. The major advantage of active stall over passive stall is that power can be regulated almost exactly at rated power over all high wind speeds without the drop at cut-off speed.
Pitch Control
Wind turbines with pitch control systems have mechanisms to modify the pitch angle of the turbine blades to decrease rotational speed and torque as required to limit power output at the rated value with great accuracy. Both active stall control and pitch control strategies consider rotating the wind turbine blades. Nevertheless, pitch control turns the blade away from the wind to reduce the lift force on the turbine blades, whereas active stall control turns the turbine blades into the wind.
Both control strategies usually use electronic sensors, digital processing units, and an electronic or hydraulic actuator. The output power is measured several times per second, a control algorithm is executed, and the electronic control signal is issued to turn the rotor blades to the optimal angle of attack to catch the right amount of wind energy.

1.2. Main Types of Control

There are many types of controllers to optimize performance, manage power generation, and protect the turbine from damage. The choice of the controller depends on different factors, such as system complexity, desired objectives, and wind conditions. Table 1 shows some of the main attractive techniques for designing wind turbine controllers [24,25]. Thus, fuzzy logic, neural networks, and genetic algorithm-based controllers are the most suitable for highly nonlinear systems. However, neural networks and genetic algorithm-based controllers are more challenging to implement, given the difficulty of finding data and the computational cost. In this work, we propose a hybrid controller, which combines fuzzy logic with PI techniques.
Table 1. Some of the main techniques used in wind turbine controllers.

1.3. Pitch Control Using Fuzzy Logic

Control of SS-WTGs is commonly carried out with MPPT control techniques for low and medium wind speeds and switched to electrical stall control techniques for high wind speeds. At low and medium wind speeds, the MPPT control extracts the maximum amount of energy from the wind, but this is not viable in high-wind-speed conditions, where the SS-WTG must be protected against physical damage caused by over-speed, for which the control scheme is commonly switched to a stall control scheme [23].
Conversely, in medium- and large-scale WTGs, pitch control is preferred to achieve the desired profile of power production at low, medium, and high wind speeds by manipulating the angle of attack of the rotor blades in terms of the wind speed to catch the required amount of kinetic energy from the incoming wind [26].
In a pitch control scheme, the WTG operates at fixed pitch at low and medium wind speeds. Usually, this corresponds to placing the blades at 0° to maximize the area impacted by the wind and the lift forces to generate the largest torque and maximum power. Once the rated power output is reached at the rated wind speed, the pitch control increases the pitch angle with the increase in wind speed to let go of enough wind energy to keep the power output at the rated value. Since wind speed varies continuously, the pitch angle will vary for wind speeds above the rated value. Hence, pitch control schemes produce maximum power at low and medium wind speeds and keep power production at the rated value at high wind speeds.
Regarding the control of the angular position of the rotor blades, most common pitch control strategies use conventional proportional–integral (PI) or proportional–integral–derivative (PID) controllers. References [27,28] present the design of PI controllers, contribute methods to calculate the PI gains, and report good simulation results. However, tuning methods depend on the accuracy of the turbine models. Ref. [29] proposes a PID control to limit the aerodynamic power caught by the rotor at high wind speeds. This approach performs poorly in other operation regions because it is based on linearization. Pitch control schemes based on conventional PI or PID control algorithms are conveniently simple and intuitive [30]; nevertheless, they are seriously challenged by the nonlinear dynamics of WTGs. Such nonlinear dynamics can be tackled using an adequately designed gain scheduling strategy; nonetheless, this requires an accurate model of the WTG to be controlled [31].
Recently, fuzzy logic controllers have been developed for variable pitch control of WTGs due to their suitability for dealing with nonlinear dynamics [32]. Furthermore, the design of fuzzy logic controllers does not need a detailed mathematical model of the WTG, and parameter tuning can be more easily performed based on knowledge of WTG operation [33].
Concerning fuzzy pitch control, there are various interesting fuzzy PID control implementations. Simulation results for power output regulation with pitch variation in a fuzzy PID controller are presented in Ref. [34], which finds an increase in the system’s response speed. Ref. [35] presents the elaboration and simulation of a fuzzy PID, and comparisons with fuzzy control and PID control are performed, finding that the fuzzy PID controller has softer and better tracking. Ref. [36] introduces a fuzzy logic controller using the rotor speed and output power as inputs and the pitch angle reference as output. They performed simulations and used a motor generator test bed to test the controller. They found that the aerodynamic power is almost kept within nominal values without fluctuations in the output power.

1.4. State of the Art

Unfortunately, pitch control mechanisms are too complex and not economically viable for SS-WTGs. Nonetheless, efforts have been made to demonstrate the technical feasibility of this approach.
A control system for a pitch-controlled variable speed wind turbine is presented and studied in Ref. [37]. One of the leading control system challenges is to limit the WT′s aerodynamic power to the nominal power when high wind speeds are attained. Under turbulent wind conditions, power control increases in difficulty due to the significant variations in wind speed. A control system based on fuzzy logic was developed for a 60 kW mini wind turbine. An aeroelastic model of the wind turbine was designed to simulate the turbine behavior in different regimes of wind turbulence. Simulations of the fuzzy logic control system and a classical PID control system compared their performance concerning turbine speed and power production.
In [38], the authors developed a fuzzy logic yaw control system for small wind turbine generators. The control system used innate knowledge of the wind turbine and a set of rules based on the operator’s knowhow. A 20 kW wind turbine with a PMSG model was simulated in MATLAB/Simulink to evaluate the performance of the yaw control system in the power generation. Simulation results were obtained under various wind conditions to show the effectiveness of their control method.
In [39], the authors developed the model of a highly nonlinear wind energy conversion system (WECS) with an Induction Generator (IG). They presented a novel nonlinear control strategy using fuzzy logic to control its power generation. An adaptive fuzzy power controller was used to solve the challenge. A simulation analysis was carried out to validate the proposed fuzzy approach for power control.
Table 2 includes some representative references of passive stall control, active stall control, pitch control and fuzzy pitch control, which illustrate the state of the art of controls for wind turbines in Region III.
Table 2. Wind turbine control methods/strategies/schemes.
As described above, PI controllers are widely used in the control system of SSWTGs due to their simplicity and cost-effectiveness. However, they have several limitations that affect the performance of the turbine. For instance, SSWTGs exhibit nonlinear behaviors due to variable wind speeds, aerodynamic forces, and mechanical dynamics, whereas PI controllers are linear controllers that may find difficulty handling nonlinear systems. The fixed parameters of these controllers are optimized for specific operating conditions; hence, under different wind conditions, the controller’s performance may not be the best. Furthermore, SSWTGs are subjected to rapid wind fluctuations and turbulence, which may cause the PI controller not to respond quickly. Moreover, as seen before, SSWTG′s control involves multiple operating conditions depending on the region given by the power curve, such as maximizing power output, minimizing mechanical stress, and ensuring stability, for which PI controllers may be limited. These drawbacks may lead to suboptimal power capture, poor load management, and a decrease in the efficiency and stability of wind power generation [23].
Many PI drawbacks can be overcome by designing a speed controller based on fuzzy logic, in which each knowledge rule specifies a specific PI-like controller assigned for each wind speed interval. In particular, the Takagi–Sugeno–Kang fuzzy rules are a set of IF-THEN statements used to store human operators’ knowhow about a process. Thus, this rule-based logic is used to control actions dynamically based on the different states of the turbine, wind speed, rotor speed, and power output, allowing for more effective regulation across various operating conditions. This study introduces a new type of fuzzy PI speed controller for a WWWTG: a TSK fuzzy PI speed controller. The controller uses fuzzy logic to make decisions based on rules that consider various operating conditions and handle the nonlinear behaviors of SSWTGs. The proposed controller presents better adaptability to changing conditions due to its rule-based structure, which dynamically adjusts its control actions based on changes in wind conditions, rotor speed, or load, providing more effective control over a wide range of operating scenarios. Moreover, the controller can provide faster and more accurate responses to rapid changes in wind speed by applying different control rules based on the magnitude and rate of change in the wind speed. Also, since this controller uses a set of predefined rules rather than fixed proportional and integral gains, the complexity associated with tuning is reduced. Last but not least, the TSK fuzzy PI speed controller is more stable and robust than a conventional PI controller in all operating regions of the SSWTG. These advantages translate into improved efficiency and stability in wind power generation. As the state of the art shows, work has already been carried out on proposals for fuzzy logic speed control systems; however, in this new approach, the proposed TSK fuzzy PI speed controller uses wind speed as an input variable. Thus, by assigning linguistic values to the wind speed, the TSK fuzzy rules offer a mechanism to identify the operating zones of the turbine and choose the best PI algorithm that better suits that operation region. This new control mechanism is validated with experiments performed in simulations modeling an experimental small-scale wind turbine.
It is worth addressing that most studies introducing control systems based on fuzzy logic describe the underlying fuzzy system superficially, lacking the necessary detail to reproduce the fuzzy controller to make comparisons against any other controllers in simulation experiments to have a clear idea of the true performance and possibly to program it for real-time evaluation. In this study, the whole explanation of the fuzzy inference systems as required for the design of the proposed fuzzy controller is presented from scratch. It explains the nuts and bolts of fuzzy logic and inference systems, as needed to design and build fuzzy controllers. This makes the paper self-contained and valuable as a do-it-yourself (DIY) reference to develop Mamdani, TSK, and PID-like fuzzy controllers. These concepts are used later in the paper to build the PI-like TSK fuzzy pitch controller for small-scale wind turbines, which can be fully replicated in a platform such as Matlab/Simulink.
This work is organized as follows: Section 2 presents the basic theory of fuzzy logic, the control requirements of the SSWTG, and a detailed description of the construction of the proposed TSK fuzzy PI speed controller. Section 3 shows the results obtained by modeling and simulating the experimental setup. Finally, Section 4 discusses the results of the previous section and compares them with the performance of other controllers.

2. Materials and Methods

As shown in Table 1, a fuzzy logic controller is one of the most promising options for controlling SSWTGs [24,25]. A fuzzy set was introduced in response to the need to create a mathematical tool to describe human knowledge differently than probability distributions [68]. In the next decade, the body of fuzzy logic was built, incorporating the concepts, algorithms, and programs of fuzzy variables, fuzzy propositions, fuzzy relationships, fuzzy knowledge rules, fuzzy rule bases or knowledge bases, fuzzy inference, and fuzzy systems [69]. In the field of automatic control, the first controller based on fuzzy rules was developed for a steam generator [70]. Later, a fuzzy control system was created in 1987 for the Sendai subway in Japan. Fuzzy controllers have been developed for complex, nonlinear systems such as the human body’s heart rate and blood pressure [71].
In Section 2.1 and Section 2.2, the basic theory of fuzzy logic is presented in the way required to build fuzzy systems for control. In Section 2.3, the control requirements of an SSWTG are presented. Finally, Section 2.4 introduces the development of a fuzzy PI speed controller based on a TSK fuzzy inference system.

2.1. Fuzzy Sets and Knowledge Representation

2.1.1. Fuzzy Sets and Fuzzy Set Operations

A classical set is a group of objects with a common property. These sets can be represented by enumerating their elements A = { x 1 ,   x 2 ,   ,   x 3 } , defining a property, A = { x X | x   h a s   p r o p e r t y   P } or with a membership function μ A x : X { 0 , 1 } of the form:
μ A x = 1 ,                     if   x   is   a   member   of   A ,   0 ,         if   x   is   not   a   member   of   A .
Figure 2a shows a membership function defined to represent the classical set ‘high temperature’.
Figure 2. Membership functions for ‘High Temperature’: (a) classical set and (b) fuzzy set.
Then, a fuzzy set is best characterized by a membership function: μ A x : X [ 0 , 1 ] that assigns a degree of membership 1 if it fully belongs, (0,1) if it partially belongs or 0 if it doesn’t belong, to all the elements in the universe (of discourse) of the independent variable:
μ A x = 1                 x   is   a   full   member   of   A 0 , 1       x   is   a   partial   member   of   A 0                   x   is   not   a   member   of   A
Figure 2b shows a membership function representing the fuzzy set ‘high temperature’.
Let A and B be two fuzzy sets with membership functions μ A and μ B , respectively. The complement of A is the set A ¯ , such that μ A ¯ x = 1 μ A ( x ) as exemplified in Figure 3a. The union of A and B is the set A B , such that μ A B ( x ) = m a x ( μ A x , μ B ( x ) ) , known as the basic or Zadeh’s definition and shown in Figure 3b. Another helpful definition of a fuzzy union is the algebraic sum: μ A B x = μ A x + μ B x μ A x μ B ( x ) ) . The intersection of A and B is the set A B , such that μ A B ( x ) = m i n ( μ A x , μ B ( x ) ) , known as the basic or Zadeh’s definition and shown in Figure 3c. Another helpful definition of a fuzzy intersection is the algebraic product μ A B ( x ) = μ A ( x ) μ B ( x ) .
Figure 3. Basic operations with fuzzy sets. (a) The fuzzy complement of A is given by the highlighted curve; (b) The fuzzy union of A and B is given by the highlighted curve; and (c) The fuzzy intersection of A and B is given by the highlighted curve.

2.1.2. Fuzzy Variables and Fuzzy Propositions

In natural language, linguistic variables generally take linguistic values like words or adjectives. For instance, the linguistic variable temperature can take the linguistic values low, medium, and high. Linguistic values can be represented with fuzzy sets: low = L = μ L ( t ) , medium = M = μ M ( t ) , and high, H = μ H ( t ) , as shown in Figure 4.
Figure 4. Linguistic values L, M, and H of linguistic variable “temperature”.
A fuzzy proposition is a natural language statement describing a state or condition using fuzzy variables and values. A fuzzy proposition is considered atomic when it uses one fuzzy variable and one fuzzy set, such as t is L, where t is a linguistic variable, and L is a linguistic value represented by a fuzzy set in the domain of t.
A compound fuzzy proposition is a statement composed of two or more atomic fuzzy propositions using the “and”, “or” or “not” logic connectives, such as t is M and h is H, where t and h are linguistic variables. M and H are linguistic values represented by fuzzy sets in the domain of t and h, respectively. Compound fuzzy propositions can be interpreted as relationships among fuzzy sets and, consequently, can be represented by the resulting fuzzy set. The compound fuzzy proposition t is M and h is H can be construed as the fuzzy relationship M H with the membership function:
μ M L ( t , h ) = min ( μ M ( t ) , μ H ( h ) )

2.1.3. Fuzzy Rules and Knowledge Bases

Inference rules, knowledge rules, or fuzzy rules are conditional statements of the form:
I F   [ a n t e c e d e n t ] ,   T H E N   [ c o n s e q u e n t ]
In general, the antecedent is a compound fuzzy proposition of N fuzzy variables, while the consequent can be a fuzzy proposition of one fuzzy variable, for the so-called Mamdani rules, or a function of the numeric variables corresponding to the fuzzy variables in the antecedent, for the so-called TSK rules:
Mamdani : I F   x 1   is   X 1   and   x 2   is   X 2   and     and   x N   is   X N ,   T H E N   y   is   Y
TSK : I F   x 1   is   X 1   and   x 2   is   X 2   and     and   x N   is   X N ,   T H E N   y = f ( x 1   ,   x 2   ,     ,   x N )  
where x1, x2, …, xN are the fuzzy variables in the antecedent with linguistic values X1, X2, …, XN, respectively, and y is the fuzzy variable in the consequent with linguistic value Y or f that is a real function of the numeric variables x1, x2, …, xN.
An inference rule can be interpreted as the logical implication, a   c , that is, as the intersection between the fuzzy set that represents the antecedent and that of the consequent, a     c , and can be represented by the resulting fuzzy set μ R ( x   , y ) = μ a c ( x   , y ) . The most common fuzzy implications are as follows:
Mamdani : μ R ( x 1 , x 2 , , x N , y ) = min ( μ a ( x 1 , x 2 , , x N ) , μ c ( y ) )
TSK : μ R ( x 1 , x 2 , , x N , y ) = μ a ( x 1 , x 2 , , x N )   μ c ( y )
A knowledge base consists of a set of fuzzy inference rules whose antecedents are compound fuzzy propositions of the same input fuzzy variables. The consequents are simple fuzzy propositions of the output fuzzy variable or a function of the numeric input variables. A knowledge base is said to be complete when there is at least a rule for any of the input variables. Also, a knowledge base is considered consistent when the antecedent propositions of all rules differ despite knowledge rules that can have the same consequence.
A base of fuzzy inference rules (knowledge base) can be interpreted as a fuzzy relationship among the fuzzy sets representing each inference rule. Thus, the knowledge base can be represented by the resulting fuzzy set. The Mamdani combination considers inference rules as independent conditional statements that have a particular impact on the total inference. Thus, the knowledge rule is given by the union of all rules:
R B = r = 1 M R r
The membership function of the knowledge base is given by:
μ R B ( x 1 , x 2 , , x N , y ) = μ R 1 ( x 1 , x 2 , , x N , y ) μ R 2 ( x 1 , x 2 , , x N , y )     μ R M ( x 1 , x 2 , , x N , y ) = r = 1 M μ R r ( x 1 , x 2 , , x N , y )

2.2. Approximate Reasoning and Fuzzy Systems

2.2.1. Fuzzy Interference or Approximate Reasoning

In classical logic, precise reasoning obtains precise conclusions (precise propositions) from precise premises (precise propositions). Precise propositions can be either true (1) or false (0). In fuzzy logic, approximate reasoning obtains approximate conclusions (fuzzy propositions) from approximate premises (fuzzy propositions). Fuzzy propositions have a valid value between 0 and 1, inclusive. The most used form of syllogism considers a first premise, a fuzzy proposition representing a fact, and a second premise, a knowledge base with one or more fuzzy rules. It obtains the conclusion, which is a fuzzy proposition that represents the consequence:
Premise 1:x is X (Fact).
Premise 2:If x is X, then y is Y(Rule)
Conclusion:y is Y (Consequence)
This can be intuitively interpreted as the closer X is to X, the closer Y will be to Y. The conclusion is obtained through the mechanism of fuzzy inference:
Fact: μ X ( x )
Rule: μ R ( x   , y ) = μ X Y ( x   , y ) = μ X ( x ) μ Y ( y )
Fuzzy inference mechanism:
Extension: μ e x t X ( x , y )
Intersection: μ X R ( x , y ) = μ e x t X ( x , y ) μ R ( x , y )
Projection: p r o y y ( μ X R ( x , y ) ) = max x   { μ X ( x ) μ R ( x , y ) }
Conclusion: μ Y ( y ) = max x   { μ X ( x ) μ R ( x , y ) }
For simplicity, the conclusion of inference with a rule is written in terms of wr the weight or firing strength:
μ Y ( y ) = max x   { μ X ( x ) μ R ( x , y ) } = max x   { μ X ( x ) μ X ( x ) μ Y ( y ) } = max x   { μ X ( x ) μ X ( x ) } μ Y ( y ) = w r μ Y ( y )

2.2.2. Fuzzy Interference with Mamdani Rules

Consider the general case of a fuzzy inference system with N fuzzy inputs and a knowledge base with M Mamdani fuzzy rules.
X : x 1   is   X 1   and   x 2   is   X 2   and     and   x N   is   X N
R r : If   x 1   is   X r 1   and   x 2   is   X r 2   and     and   x N   is   X r N ,   then   y r   = i = 1 N ( k r i x i ) + k r 0 for r = 1 ,   2 ,   ,   M
C : y   = ( w 1 y 1 + w 2 y 2 + + w M y M ) / ( w 1 + w 2 + + w M ) = r = 1 M w r y r / r = 1 M w r
The input proposition is a compound fuzzy proposition given by the intersection of N atomic propositions:
X = i = 1 N X i
Mamdani combination interprets rules as independent conditional statements, so the knowledge base is the union of all M rules in the base:
R B = r = 1 M R r
In general, the total conclusion is obtained through the composition of the input facts X and the knowledge base R B :
Y = X R B
For each rule, the firing strength is given by:
w r = = w r x 1   w r x 2     w r x N = i = 1 N w r x i = max x 1 { μ X 1 ( x 1 ) μ X r 1 ( x 1 ) } max x 2 { μ X 2 ( x 2 ) μ X r 2 ( x 2 ) }     max x N { μ X N ( x N ) μ X r N ( x N ) } = i = 1 N max x i { μ X i ( x i ) μ X r i ( x i ) }
where the partial conclusions are: μ Y r ( y ) = w r μ Y r ( y ) . Thus, the total conclusion is the union of all partial conclusions, μ Y ( y ) = r = 1 M μ Y r ( y ) , as shown in Figure 5.
Figure 5. Fuzzy inference with Mamdani rules.

2.2.3. Fuzzy Inference with TSK-Type Rules

Consider the general case of a fuzzy inference system with N fuzzy inputs and a knowledge base with M TSK fuzzy rules.
X : x 1   is   X 1   and   x 2   is   X 2   and     and   x N   is   X N
R r : If   x 1   is   X r 1   and   x 2   is   X r 2   and     and   x N   is   X r N ,   then   y r   = i = 1 N ( k r i x i ) + k r 0 for r = 1 ,   2 ,   ,   M
C : y   = ( w 1 y 1 + w 2 y 2 + + w M y M ) / ( w 1 + w 2 + + w M ) = r = 1 M w r y r / r = 1 M w r
where x i for i = 1 ,   2 ,   ,   N and r = 1 ,   2 ,   ,   M is fuzzy variables with specific fuzzy values X i representing the specific numerical values x i ; X r i is the fuzzy sets of the propositions in the rule antecedents; y r is the output values of partial conclusions; k r i and k r 0 are the coefficients of the linear functions in the consequents; y is the output value of total conclusion; and w r is the firing strengths of rules in the knowledge base.
To calculate the firing strength of each rule, first, the weight for each input fuzzy variable in every rule is computed using the min operator for intersection:
w r i = max x i { μ X i ( x i ) μ X r i ( x i ) } = max x i { min ( μ X i ( x i ) , μ X r i ( x i ) ) } = μ X r i ( x i ) for   i = 1 ,   2 ,   ,   N   and   r = 1 ,   2 ,   ,   M
Then, the firing strength for each rule is given by:
w r = min ( w r 1 , w r 2 , , w r N ) = min ( μ X r 1 ( x 1 ) ,   μ X r 2 ( x 2 ) ,   , μ X r N ( x N )   ) for   r = 1 ,   2 ,   ,   M .
The inference with TSK fuzzy rules is shown in Figure 6.
Figure 6. Fuzzy inference with TSK rules.

2.2.4. Fuzzy Inference with Fuzzification and Defuzzification

Developing control systems with fuzzy inference systems requires the capacity to use inputs and outputs as real numerical variables. With this purpose, two conversion stages are added to fuzzy inference systems: (a) fuzzification to convert inputs from numeric to linguistic, and (b) defuzzification to convert outputs from linguistic to numeric. In general, fuzzy inference systems with fuzzification and defuzzification are simply called fuzzy systems, and fuzzy systems for control are named fuzzy control systems or fuzzy controllers. The basic structure of a fuzzy controller is shown in Figure 7.
Figure 7. Fuzzy system for control.
The fuzzification stage consists of converting a specific numerical value, x′, of a real numerical variable, x, into a fuzzy set X′, as depicted in Figure 8, resulting in an input to the fuzzy inference system.
Figure 8. Fuzzification stage.
There are some desired characteristics for fuzzification: (a) the resulting fuzzy system must have a high degree of membership at the specific numerical value x′, (b) fuzzification must contribute to reducing noise in signal x, and (c) fuzzification must contribute to simplifying the fuzzy inference. The most common fuzzification stages provide singleton, Gaussian, and triangular fuzzy sets, as shown in Figure 9.
Figure 9. Most common fuzzy sets are provided by fuzzification.
The singleton, Gaussian, and triangular fuzzification sets have the highest possible degree of membership in x , that is μ X ( x ) = 1 . Singleton fuzzification greatly simplifies fuzzy inference for any type of membership function in the inference rules. Gaussian and triangular fuzzification simplify inference when the membership functions in the rules of inference are Gaussian or triangular, respectively, and can suppress noise in the input variable, not so with singleton fuzzification.
The defuzzification process consists of converting a fuzzy set Y′ into a specific numerical value, y , of a real numerical variable y , as shown in Figure 10. The fuzzy set Y′ is the total output conclusion of a fuzzy inference system that was obtained through the union of the fuzzy sets of the partial findings.
Figure 10. Defuzzification stage.
There are several desired characteristics for defuzzification: (a) the specific numerical value y must intuitively represent the fuzzy set Y′, (b) calculation of the specific numerical value y must be computationally simple, as required for control systems that must operate in real time, (c) a small change in fuzzy set Y′ must not result in a significant change in the specific numerical value y . The most common defuzzification methods include the center of gravity and the weighted average methods.
The center of gravity defuzzification calculates the specific numerical value y as the center of the area determined by the membership function of the fuzzy set Y′, as shown in Figure 11. Although the notion of the center of gravity is very intuitive, calculating it can be very difficult or computationally intensive.
Figure 11. Defuzzification by the center of gravity method.
Weighted average defuzzification calculates the specific numerical value y as the average of the centers of all partial fuzzy sets that compose the fuzzy set Y′, as shown in Figure 12. This method is the most used in control systems because it is intuitive, computationally simple, and varies smoothly.
Figure 12. Defuzzification by the weighted average method.

2.3. Small-Scale Wind Turbine Model

A wind turbine generator transforms the wind’s kinetic energy into electrical energy. Different types of wind turbines have been developed to maximize the turbine power output, efficiency, reliability, and availability while minimizing manufacturing, operation, and maintenance costs. Classifications of wind turbines can be carried out based on the type of electrical generator, turbine capacity, flow trajectory of wind, wind turbine type of rotor, etc. [72]. Currently, the horizontal-axis generators are the most commercial, in which the rotor blades’ rotation axis is parallel to the base floor and continuously aligned, such that the blades face the incoming wind flow.

2.3.1. Horizontal-Axis Wind Turbine Generators

A horizontal-axis wind turbine generator diagram is shown in Figure 13. The major constituents include the rotor blades (1), the blade pitch positioning system (3), the hub (4), the electrical generator (12), the electric subsystem cabinet, including protections and switchgear (13), the nacelle positioning system (18), and the power transformer to connect to the grid (14).
Figure 13. Major components of a horizontal-axis wind turbine generator.
An important component, inside the nacelle, is the control system. This component is in charge of changing the orientation of the nacelle so that it faces the incoming wind and modifying the pitch of the blades so that they capture the correct amount of kinetic energy from the wind. Moreover, this component also controls the electric generator and the power electronic converters.

2.3.2. Small-Scale Pitch-Controlled Wind Turbine

This study deals with the development of advanced controls for low-power wind turbine generators. At this time, the small-scale horizontal-axis pitch-controlled three-blade 1 kW wind turbine is shown in Figure 14 [73]. Small-scale wind turbines operate at low wind speeds with a relatively high nominal rotating speed of the turbine axis. In this case, the rotating speed is about 400 rpm [74]. Then, the tip speed ratio (TSR), namely the ratio of the rotating blade speed to the wind speed, is about 4, in contrast to 7–8, which corresponds to large-scale wind turbine generators [75].
Figure 14. Small-scale pitch-controlled wind turbine prototype at INEEL wind tunnel laboratory.
For control design purposes, a small-scale pitch-controlled wind turbine model can be obtained, considering the energy conversion process from wind kinetic energy to rotational mechanical energy, which includes pitch servo dynamics, blade aerodynamics, and rotor speed dynamics.

2.3.3. Pitch Servo Dynamics

The blade pitch positioning system consists of three electric servomotors that can adjust the angle of attack of each blade individually. Simplifying, a linear second-order system can describe the closed-loop dynamics of the electric pitch servomotors moving the rotor blades.
β ( s ) β r ( s ) = K s 2 + α 1 s + α 0
where β(s) is the blade pitch angle, βr(s) is the desired blade pitch angle or pitch angle reference, K is an amplifying gain, α1, and α2 are constants that define the natural frequency and damping coefficient of the pitch servo.

2.3.4. Blade Aerodynamics

The mechanical power produced by a wind turbine can be determined from the kinetic energy of the mass of air moving at a definite velocity across the area swept by the rotor blades:
P = 1 2 ρ π r 2 v w 3 C p ( λ , β ) ,
where P is the useful power captured from the wind by the turbine, ρ is the air density, r is the radius of the circular area swept by the rotor blades, vw is the wind velocity, Cp(λ,β) is the power coefficient, β is the pitch angle, and λ is the rate of the tangential speed at the tip of the blade divided by the wind velocity or tip speed ratio for short:
λ = ω t r v w ,
where ωt is the turbine rotation speed. The power coefficient, Cp(λ,β), accounts for the aerodynamic losses of wind energy through the rotor blades [76]:
C p ( λ , β ) = c 1 ( c 2 λ i c 3 β c 4 ) e ( c 5 λ i ) + c 6 ,
This relationship was re-parameterized to provide the highest efficiency, Cpmax, with pitch angle β = 0° and tip speed ratio λ = 4, as expected for small-scale pitch-controlled wind turbines. Figure 15 shows the resulting family of Cp curves for different values for the pitch angle, from β = 0° to β = 32°. As the pitch angle β increases, the Cp curve becomes smaller. Also, for each curve, there is a λopt such that Cp is the highest, Cpmax.
Figure 15. Cp curves in terms of λ and β for a small wind turbine.

2.3.5. Rotor Speed Dynamics

The rotation speed dynamics of the wind turbine can be described by a first-order equation of motion, whose open-loop transfer function is:
ω ( s ) T a ( s ) = 1 J r s + K f ,
where ωt is the rotor speed, Jr is the rotor inertia, Kf is the friction coefficient of the support bearings, and Ta is the aerodynamic torque exercised by the blades on the rotor.
Therefore, a relatively simple nonlinear model of the small-scale pitch-controlled wind turbine can be easily defined and programmed for simulation using Equations (18)–(22).

2.3.6. Operation of SSWT via Pitch Control

The global operation objective for a wind turbine generator is to achieve a presumed power curve like the one already presented in Figure 1. This power curve is particular to each wind turbine generator. It is provided by the manufacturer, following standard IEC-61400 [77].
The most used strategy to achieve the desired power production profile is to manipulate the pitch angle of the rotor blades. Consequently, there are different pitch control requirements at the various regions of the power curve. For instance, the wind speed in Region I is so small that the turbine does not rotate, so the pitch control is off. In Region II, the wind turbine rotates and accelerates as the wind speed increases, generating power. The blades are fixed at position cero, and the pitch control is maintained, capturing the maximum wind kinetic energy and obtaining the maximum mechanical energy up to the nominal power at the highest wind speed in this region. The wind speed and its kinetic energy are enough to generate more than nominal power in Region III. However, the pitch control is turned on to spin the blades at positions, such that the wind circulates through without generating any extra mechanical energy in the turbine. The control pitch constantly adjusts the blade pitch to maintain constant rotor speed so that the mechanical power output is kept constant, too. Finally, in Region IV, wind speeds are so high that they could produce aerodynamic loads that can damage or even destroy the wind turbine. In this regime, the wind turbine stops operating by placing the blades in a wide-open or flag position, and the pitch control is turned off.

2.4. Fuzzy Speed Controller for SSWT

Electric power regulation in a wind turbine generator is equivalent to mechanical power regulation in the wind turbine. Nevertheless, mechanical power regulation is performed to regulate the rotor speed since they are not independent variables, and measuring rotating speed is far easier than mechanical power. Afterward, the regulation of electric power can be applied with electric power measurements, which are easy to obtain for the whole wind turbine generator. So, the wind turbine’s power or speed regulation can be attained by manipulating the angular position of the rotor blades with the blade pitch servomotors and feeding back the rotor speed measurement, as shown in Figure 16.
Figure 16. Basic wind turbine speed control.

2.4.1. Conventional PID Controller

Currently, the most common control strategy to achieve the desired profile of power production is to use conventional PI or PID controllers to vary the angle of attack of the rotor blades to capture the required amount of kinetic energy from the incoming wind [78]. The conventional PID control algorithm is:
u ( t ) = u ( 0 ) + K p e ( t ) + K i 0 t e ( ρ ) d ρ + K d d e ( t ) d t
where e(t) and u(t) are the error and the control signals, respectively, and K p , K i , and K d are the proportional, integral, and derivative gains, respectively. The conventional PID controller can be implemented as shown in Figure 17.
Figure 17. Structure of a conventional PID controller.
Likewise, the PI controller presents the same structure as the PID without including the integral term.

2.4.2. Fuzzy PID Controller

The structure of an equivalent fuzzy PID controller is shown in Figure 18. Inputs are the error signal e ( t ) = ω r e f ( t ) ω ( t ) , the integral of error y = e ( t ) d t and the time derivative of the error v = d e ( t ) / d t . The knowledge base has R TSK fuzzy inference rules of the form:
R r :   If   e   is   E r   and   y   is   Y r   and   v   is   V r   ,   then   u r = U r   for   r = 1 ,   2 ,   ,   R .
Figure 18. Structure of a fuzzy PID controller.
The design of a fuzzy PID controller with Mamdani rules is also involved. Instead, using TSK rules greatly simplify this task. This approach is preferred when designing the fuzzy speed controller for the SSWT in the following subsection.

2.4.3. TSK Fuzzy PI Controller

To build a TSK fuzzy PI controller to manage the rotation speed of the SSWT, consider a fuzzy system with three input signals, one output signal, and R TSK rules, as shown in Figure 19. Inputs are wind velocity, w(t), rotor speed error, e ( t ) = ω r e f ( t ) ω ( t ) , and integral of rotor speed error, y ( t ) = e ( t ) d t . The controller output signal, u(t), is the angular position reference to the blade servomechanism, βr(t). The knowledge base has R TSK fuzzy inference rules of the form:
R r :   If   w   is   W r   and   e   is   E r   and   y   is   Y r   ,     then   u r = k w r w + k p r e + k i r y + k o r   for   r = 1 ,   2 ,   ,   R ,
where r = 1, 2, …, R is the rule number. Variables w, e, and y are the fuzzy inputs with Nw, Ne, and Ny linguistic values, respectively, such that R = N w × N e × N y , the number of rules in a complete knowledge base. Variable ur is the output numerical value provided by the r-th rule. Fuzzy sets Wr, Er, and Yr are the linguistic values of fuzzy input variables in the r-th rule. Parameters kwr, kpr, kir, and kor are the coefficients of the output linear function of the r-th rule, in terms of the specific numerical values w , e and y of the input signals.
Figure 19. Structure of a TSK fuzzy PI controller.
Consider that the TSK fuzzy PI controller has the following characteristics: singleton fuzzification, Mamdani minimum implication, max union, min intersection, inference based on independent rules, and output combination (defuzzification) by weighted average.
For any arbitrary specific numerical values w , e and y of the input signals, singleton fuzzification yields the corresponding input fuzzy sets W , E , and Y with membership functions:
μ W ( w ) = { 1 0   if   w =   w   if   w w     μ E ( e ) = { 1 0   if   e = e   if   e e     μ Y ( y ) = { 1 0   if   y = y   if   y y  
Using the min operator, the intersection of singleton input fuzzy sets W , E and Y and fuzzy sets of linguistic values W r , E r , and Y r in the rule antecedent are:
w w r = max w { μ W ( w ) μ W r ( w ) } = max w { min ( μ W ( w ) , μ W r ( w ) ) } = μ W r ( w )
w e r = max e { μ E ( e ) μ E r ( e ) } = max e { min ( μ E ( e ) , μ E r ( e ) ) } = μ E r ( e )
w y r = max y { μ Y ( y ) μ Y r ( y ) } = max y { min ( μ Y ( y ) , μ Y r ( y ) ) } = μ Y r ( y * )
Then, the weight or firing strength of the r-th rule is determined with Mamdani minimum implication:
w r = min ( w w r , w e r , w y r ) = min ( μ W r ( w ) ,   μ E r ( e ) ,   μ Y r ( y ) )
Also, since the partial output provided by each rule is given by u r = k w r w + k p r e + k i r y + k o r , the output numerical value, or control signal, obtained by weighted average is:
u = r = 1 R w r u r r = 1 R w r = r = 1 R min ( μ W r ( w ) ,   μ E r ( e ) ,   μ Y r ( y ) ) u r r = 1 R min ( μ W r ( w ) ,   μ E r ( e ) ,   μ Y r ( y ) )

2.4.4. Linguistic Values of Inputs

The importance of considering wind speed as an input variable lies in the fact that the point of operation of the turbine is referred to, and the wind speed operating zones are expressed as intervals of this input variable. Therefore, using the linguistic values of the wind speed variable, the TSK fuzzy rules offer a mechanism to identify the point where the turbine is operating and choose the PI algorithm that better suits that operation zone. Moreover, in this approach, specific PI algorithms can be assigned for transition points, and the control can be extended to those zones not currently covered by conventional controllers, namely, below the nominal wind speed and above the trip wind speed.
The definitions of the linguistic values of wind speed to set up inference rules of the fuzzy PI controller are not strictly given; they are based on the observed behavior of the wind turbine through the whole range of wind speed. Thus, fuzzy sets are placed at speed intervals where the wind turbine needs more attention from the control system, which is given by expert knowledge. Given a wind velocity, w , six linguistic values are defined as follows: low (B), transition (T), high–small (AP), high–medium (AM), high–high (AA), and very high (MA). The low (B), transition (T), and very-high (MA) linguistic values are a natural choice given the turbine behavior corresponding to Regions II and IV. However, the linguistic values for Region III could differ from those of the selected ones. Different linguistic values were examined, and the conclusion was that one or two values were not enough to describe the correct behavior; however, three values reach the right behavior without increasing the system’s difficulty too much. Thus, the linguistic values (AP), (AM), and (AA) were assigned to Region III. Figure 20 shows the membership functions and the fuzzy set parameters that define the operation zones of the wind turbine, which are presented in Table 3.
Figure 20. Linguistic values and membership functions of wind velocity w.
Table 3. Parameters of membership functions for wind velocity w.
Three linguistic values are assigned to the wind speed error, e : positive error (EP), zero error (EC), and negative error (EN). Figure 21 shows the corresponding membership functions. Likewise, the integral of the rotor speed error, y , is also assigned to three linguistic values: integral positive (IP), integral zero (IC), and integral negative (IN). Figure 22 shows the corresponding membership functions.
Figure 21. Linguistic values and membership functions of rotor speed error e.
Figure 22. Linguistic values and membership functions of the integral of rotor speed error y.

2.4.5. TSK Fuzzy Rules for PI Control

With the membership functions so defined for the inputs, a complete knowledge base has R = 6 × 3 × 3 = 54 TSK fuzzy inference rules of the form:
R r : If   w   is   W r   and   e   is   E r   and   y   is   Y r   ,     then   u r = k w r w + k p r e + k i r y + k o r   for   r = 1 ,   2 ,   ,   R .
Making k w r = 0 and k o r =   u r ( t = 0 ) , the linear function in the consequent implements a PI control algorithm at any arbitrary time t = t 0 , at which e and y are picked up:
u r = k p r e + k i r y + k o r = k p r e ( t = t 0 ) + k i r 0 t = t 0 e ( τ ) d τ + u r   ( t = 0 ) )
Additionally, since there are N w = 6 linguistic values for wind velocity w, which can be used to define zones of operation of SSWT, there will be six wind velocity zones of operation with N e × N y = 3 × 3 = 9 rules for each zone. Perhaps the simplest way to proceed is to assign the same control action to the nine rules in each zone; that is, all nine rules with the same wind velocity linguistic value will have the same linear function in the consequent. In this way, the TSK fuzzy PI controller will embrace six PI control algorithms, with the gains shown in Table 4.
Table 4. PI gains for each operating zone of SSWT.

2.4.6. Output Averaging

The total output u of the TSK fuzzy PI controller is the weighted average of the rule outputs ur; that is, the total control signal is an average of the partial PI control actions generated by each rule and weighted by the firing strength of each rule wr:
u = r = 1 R w r u r r = 1 R w r = r = 1 R w r ( k p r e + k i r y ) r = 1 R w r = r = 1 R w r ( k p r e ( t ) + k i r 0 t e ( τ ) d τ ) r = 1 R w r
The small-scale pitched-controlled wind turbine prototype at INEEL, shown in Figure 14, with a conventional PI controller and the proposed TSK fuzzy PI controller were modeled in Matlab/Simulink together with the Fuzzy Logic Toolbox. The rotor speed reference was set to 400 rpm, corresponding to the nominal rotor speed able to generate 1000 W, which is the nominal power. Simulations were performed for a wide wind speed interval ranging from 4 to 30 m/s with the assumptions for normal operation, namely, the pitch control signal fixed to 0°, corresponding to a closed position in operating Region II, set to 90°, corresponding to an open position in operating Region IV.

3. Results

Simulations were carried out to compare the performances of the TSK fuzzy PI and the conventional PI controllers. The small-scale wind turbine with both controllers was programmed considering the parameters presented in Section 2.4. The mathematical model of the turbine contemplates the major dynamic components considered in the turbine model’s structure, including the pitch servomechanism dynamics, the blade aerodynamics, and the rotor speed dynamics, as presented in Section 2.3. Also, key facts to validate the model’s performance include 1 kW nominal power output and 400 rpm nominal speed of the turbine. Additionally, the tip speed ratio (TSR) to obtain the highest power coefficient is about 4, and the Cp curves show maximum efficiency between 0.2 and 0.25 at TSR λ = 4 for the curve with pitch angle β = 0 ° . Considering these facts, a useful nonlinear model was programmed in Matlab/Simulink using the Fuzzy Logic Toolbox, and the results are presented in the following subsections.

3.1. Simulations of Wide-Range Operation

This section shows the simulation results of the behavior of the small-scale wind turbine coupled to a conventional PI and the proposed TSK fuzzy PI controllers with the assumptions and conditions specified in the last paragraph of the previous section. The traditional algorithm of PI was adjusted at Kp = 0.6 and Ki = 0.5 to deal with the whole wind speed range in the simulations.
Figure 23 shows the responses obtained for the rotor speed (Wr), and the mechanical power (Pm) and mechanical torque (Tm) outputs for wind speeds from 4 to 30 m/s for the TSK fuzzy PI and the conventional PI controllers. Likewise, Figure 24 shows responses of the power coefficient (Cp), pitch angle (β), and the tip speed ratio (λ) for wind speeds from 4 to 30 m/s with the TSK fuzzy PI and the PI controllers. As expected, both speed controllers keep the pitch at zero until the wind speed reaches 11.33 m/s, which is when the reference speed is reached. Subsequently, the pitch angle grows according to the control signal to maintain the rotating speed and the output mechanical power at the nominal values. Both controllers present similar results and exhibit the correct behavior. However, the response with the conventional PI controller presents a peak at the power inflection point when the wind speed is 11.33 m/s, but this is hard to notice due to the scale of the graph’s vertical axis. Thus, the TSK fuzzy logic controller responds more smoothly than the conventional PI controller at the transition wind speed, which is 11.33 m/s, between RII and RIII. These results show a stable operation in both cases and generally guarantee that the TSK fuzzy PI controller can be used with no risks as a first application requirement to be satisfied.
Figure 23. Wr, Pm, and Tm with conventional PI, blue lines, and TSK fuzzy PI control, orange lines.
Figure 24. Cp, β, and λ with conventional PI, blue lines, and TSK fuzzy PI control, orange lines.

3.2. Response to a Step Disturbance in Wind Velocity

The performance of both controllers can also be compared based on their response to a step disturbance in wind speed. A step disturbance of 0.5 m/s is suddenly added to the wind velocity signal at time t = 600 s when the SSWT is already operating in nominal speed and power conditions.
Figure 25 shows the pitch angle references generated by both controllers. The TSK fuzzy PI controller generates a faster and more accurate control action that settles in much less time, outperforming the control effort of the conventional PI controller. Figure 26 shows the rotor speed responses to the step disturbance in wind velocity. The TSK fuzzy PI controller has better speed regulation characteristics: rotor speed is returned to the reference value faster and more accurately. These results demonstrate that the TSK fuzzy PI controller has better disturbance rejection properties than the conventional PI controller because the TSK fuzzy PI controller provides the most convenient control action at the point of operation where the wind velocity disturbance takes place. These results show that the TSK fuzzy PI controller is better suited to withstand wind gusts in a real application.
Figure 25. Pitch angle reference, βr, response with conventional PI, blue line, and TSK fuzzy PI, orange line, controllers to a step disturbance in wind velocity.
Figure 26. Speed response, Wr, for PI, blue line, and TSK fuzzy PI, orange line, controllers to a step in wind velocity.

3.3. Response to Real Wind Speed Measurements

Both controllers can be further compared by their response to a real wind pattern. Figure 27 shows a wind velocity pattern with 1200 s duration and wind velocity measurements ranging from 14 m/s to 19 m/s, which is smooth but with a high average wind speed of 16.5 m/s. Wind speed measurements were taken at 30 samples per second. Changes in wind direction were not considered. Many other wind velocity patterns and operating conditions are possible as case studies. Nevertheless, the pattern under consideration is good enough for the scope of this study. Initial conditions were set at a nominal rotor speed of 400 rpm and wind speed of 19.2 m/s. After that, the wind speed pattern is used to simulate the SSWT operation.
Figure 27. Time series of real wind speed measurements.
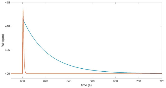
Figure 28 shows the rotor speed regulation at 400 rpm by both controllers. As can be seen, the rotor speed regulation with the TSK fuzzy PI controller has significantly smaller oscillations throughout the whole simulation. Clearly, the TSK fuzzy PI controller provides a much better regulation of about 400 rpm, outperforming rotor speed regulation with the conventional PI controller.
Figure 28. Rotor speed regulation, Wr, at 400 rpm to real wind speed for PI, blue line, and TSK fuzzy PI, orange line, speed controllers.
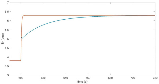
Figure 29 shows the pitch angle references provided by both controllers. Both control signals are close to each other, so the control effort should be very similar, with minimal differences. Therefore, the TSK fuzzy PI controller produces better rotor speed regulation with almost the same control effort as the PI controller does. These results show that the TSK fuzzy PI controller is better suited to handle time-varying wind speed patterns in real applications.
Figure 29. Pitch angle reference, Br, with PI, blueline, and TSK fuzzy PI, orange line, speed controllers.
In the simulation experiments, the conventional PI controller can be optimally tuned at nominal rotor speed and nominal turbine power conditions at any single value of wind speed for disturbance rejection to small steps in wind speed, like those used in the simulation experiments in Section 3.2. Then, the best response with the conventional PI will be at those conditions but will deteriorate at any other wind speed value and size of wind speed step. Thus, the traditional PI controller is detuned to allow the WT to operate in the whole range of wind speed, as in the simulation experiments in Section 3.1.
The set of simulation experiments presented in this study was designed to demonstrate, in a practical, intuitive, and graphical way, the control system’s performance throughout the entire operating range of the SSWTG. By themselves, these tests can be considered, without any pretension, as a pragmatic methodology and benchmark to compare the performance of speed control strategies of SSWTGs. The figures of merit in a possible comparison include (a) the accuracy and speed of the response in any point of operation that is of interest to investigate, including the transitions between regions; (b) the stability of the operation of the SSWTG throughout the range of operation demonstrated by obtaining the steady-state curves of rotation speed, power mechanics, mechanical torque power coefficient, pitch angle, and tip speed ratio, covering all the wind speed ranges; (c) the better suitability of the proposed controller to handle time-varying wind speed patterns; and (d) the robustness of the operation in terms of the ability to keep the regulation of the rotational speed and the mechanical power in RIII given real extreme wind speed profiles that exceed wind speed and turbulences considered by international standards like IEC 61400-1 [79] and IEC 61400-2 [80].

4. Discussion

In agreement with many papers in the technical literature, this study considers that the ideal speed–power curve of operation for wind turbines consists of four regions, namely RI, where there is no wind turbine operation due to the very low wind speed; RII, where wind turbine operates at low and medium wind speeds; RIII, where wind turbines operate at high wind speed; and RIV, where wind turbines do not operate at very high wind speeds. Each region has its operation objectives, mainly maximum power generation for RII and constant power and speed at rated values in RIII, with no specific requirements for RI and RIV. Actually, there is a great variety of techniques to implement blade pitch controls, and fuzzy logic is a promising one to substitute conventional control based on PI and PID algorithms. The control system introduced in this study lies in the fuzzy pitch control category. Despite the outstanding performance achieved in controlling power and speed at RIII and maximum power in RII, the drawbacks of this approach, which are identical for all pitch controls in general, are those of the increased complexity of the algorithms and the cost of the mechanisms. Nonetheless, it is firmly believed that new pitch control systems and mechanisms with demonstrated technical and economic feasibility will be available in the years ahead [81,82]. These facts make it worth developing fuzzy pitch controls for small-scale wind turbine generators.
The results found in this work outline the advantages of the TSK fuzzy PI speed controller over the conventional PI speed controller. The TSK fuzzy PI speed controller responds much better at the power curve’s transition points. The traditional controller of PI presents sudden changes and large oscillations that produce undesired peaks and overshoots in the rotor speed and power. The response of the TSK fuzzy PI speed controller is faster and more accurate. In conclusion, the SS-WTG equipped with the proposed TSK fuzzy speed controller or TSK fuzzy pitch controller is stable and robust and improves performance.
In this study, it is of greater interest to show the form and present the necessary elements to develop a controller based on fuzzy logic concepts that can extend the benefits of conventional PI control to the entire operating range of the SS-WT. To achieve this, it was shown how TSK fuzzy systems allow for the intuitive and direct incorporation of conventional PI control algorithms in a fuzzy inference system. During operation, the fuzzy system evaluates the algorithm corresponding to the range of wind speeds in which the SSWTG is, triggering rules whose antecedent includes an activated linguistic value. The wind speed ranges and the corresponding linguistic values are defined arbitrarily and tuned based on experts’ knowledge of the response of the SS-WT. Another way to determine the wind speed intervals is by using an indicator of the nonlinearity of the process throughout the entire operating range of the SS-WT, which is outside the scope of this work for now.
This work presents, in detail, the construction of a novel hybrid control strategy resulting from applying the fuzzy logic concepts to enhance PI operating principles, which provide good control quality throughout the whole operating range of a nonlinear behavior described by a small-scale wind turbine operation. Thus, the resulting proposed controller surpasses the performance of a conventional PI controller, providing higher quality control in the vicinity of the operation point for which it is designed. Indeed, the TSK PI controller allows us to define a family of PI controllers for an arbitrary set of wind speed intervals to cover the entire operating range of an SSWTG, requiring customized control actions, possibly different in the different wind speed ranges. Thus, a family of suitable PI controllers can achieve better performance than a single one over the entire operation range of the SSWTG.

Author Contributions

Conceptualization, M.B. and R.G.; methodology, M.B. and R.G.; software, R.G.; validation, J.d.l.C.S.; formal analysis, M.B. and R.G.; investigation M.B. and R.G.; resources, J.d.l.C.S. and R.A.F.D.; data curation, J.d.l.C.S.; writing—original draft preparation, R.G.; writing—review and editing, M.B.; visualization, J.d.l.C.S.; supervision, M.B.; project administration, M.B.; funding acquisition, R.A.F.D. and J.d.l.C.S. All authors have read and agreed to the published version of the manuscript.

Funding

This research was funded by Instituto Tecnológico de Sonora and PROFAPI 2024 Fund.

Data Availability Statement

Available on request.

Conflicts of Interest

The authors declare no conflicts of interest.

References

  1. Cao, W.; Xie, Y.; Tan, Z. Wind Turbine Generator Technologies. In Advances in Wind Power; Carriveau, R., Ed.; IntechOpen: London, UK, 2012. [Google Scholar] [CrossRef]
  2. Eicke, A.; Eicke, L.; Hafner, M. Wind Power Generation. In The Palgrave Handbook of International Energy Economics; Hafner, M., Luciani, G., Eds.; Palgrave Macmillan Cham: London, UK, 2022. [Google Scholar] [CrossRef]
  3. Fiedler, B.H.; Bukovsky, M.S. The effect of a giant wind farm on precipitation in a regional climate model. Environ. Res. Lett. 2011, 6, 045101. [Google Scholar] [CrossRef]
  4. Peacock, N. Small wind turbines: Making them work for you. Energy Build. Ind. 2015, Series 12, Module 7, pp. 29–32. Available online: https://www.energyinst.org/?a=538857 (accessed on 1 November 2024).
  5. Tummala, A.; Velamati, R.K.; Sinha, D.K.; Indraja, V.; Krishna, V.H. A review on small scale wind turbines. Renew. Sustain. Energy Rev. 2016, 56, 1351–1371. [Google Scholar] [CrossRef]
  6. Probst, O.; Martnez, J.; Elizondo, J.; Monroy, O. Small Wind Turbine Technology. In Tech eBooks; IntechOpen: London, UK, 2011; pp. 107–136. [Google Scholar] [CrossRef]
  7. Maegaard, P.; Krenz, A.; Afrodit, K.; Pitteloud, J.; Gsänger, S.; Ogg, F. Catalogue of Small Wind Turbines Under 50 kW, 8th ed.; Folkecenter: Thisted, Denmark, 2016; ISBN 978-87-7778-137-7. [Google Scholar]
  8. Tambe, S.; Patil, S.; Raut, N. Overview and Study of Wind Turbine Generators. Int. Res. J. Eng. Technol. (IRJET) 2024, 11, 528–535. [Google Scholar]
  9. Blaabjerg, F.; Liserre, M.; Ma, K. Power Electronics Converters for Wind Turbine Systems. IEEE Trans. Ind. Appl. 2012, 48, 708–719. [Google Scholar] [CrossRef]
  10. Querejazu, D. Small Scale Wind Power for Homes, Farms and Communities; Environmental and Energy Study Institute: Washington, DC, USA, 2012. [Google Scholar]
  11. Borunda, M.; De la Cruz, J.; Garduno-Ramirez, R.; Nicholson, A. Technical assessment of small-scale wind power for residential use in Mexico: A Bayesian intelligence approach. PLoS ONE 2020, 15, e0230122. [Google Scholar] [CrossRef]
  12. Bianchini, A.; Bangga, G.; Baring-Gould, I.; Croce, A.; Cruz, J.I.; Damiani, R.; Erfort, G.; Simao Ferreira, C.; Infield, D.; Nayeri, C.N.; et al. Current status and grand challenges for small wind turbine technology. Wind Energy Sci. 2022, 7, 2003–2037. [Google Scholar] [CrossRef]
  13. Small-Scale wind Energy, Policy Insights and Practical Guidance. 2008. Carbon Trust. Available online: https://ctprodstorageaccountp.blob.core.windows.net/prod-drupal-files/documents/resource/public/Small-Scale%20Wind%20Energy%20-%20Policy%20Inisghts%20and%20Practical%20Guidance%20-%20REPORT.pdf (accessed on 1 November 2024).
  14. Wood, D. Small Wind Turbines: Analysis, Design, and Application; Springer: London, UK, 2011. [Google Scholar]
  15. Bianchi, F.D.; De Battista, H.; Mantz, R.J. Wind Turbine Control Systems: Principles, Modelling and Gain Scheduling Design, 1st ed.; Springer: London, UK, 2007. [Google Scholar]
  16. Hong, Y.; Lu, S.; Chiou, C. MPPT for PM wind generator using gradient approximation. Energy Convers. Manag. 2009, 50, 82–89. [Google Scholar] [CrossRef]
  17. Aissaoui, H.E.; Ougli, A.E.; Tidhaf, B. A New Maximum Power Point Tracking Based on Neural Networks and Incremental Conductance for Wind Energy Conversion System. E3S Web Conf. 2022, 336, 00055. [Google Scholar] [CrossRef]
  18. Tiwari, R.; Babu, N.R. Fuzzy Logic Based MPPT for Permanent Magnet Synchronous Generator in wind Energy Conversion System. IFAC-PapersOnLine 2016, 49, 462–467. [Google Scholar] [CrossRef]
  19. Jagwani, S.; Venkatesha, L. Particle Swarm Optimization-Based MPPTController for Wind Turbine Systems. In Data, Engineering and Applications; Shukla, R.K., Agrawal, J., Sharma, S., Singh Tomer, G., Eds.; Springer: Singapore, 2019. [Google Scholar] [CrossRef]
  20. Mrabet, N.; Benzazah, C.; El Akkary, A.; Sefiani, N. Multi-Objective Ant Colony Optimization for Enhancing the Maximum Power of Variable-Speed Wind Turbines Based on PMSG. Int. J. Energy Convers. (IRECON) 2023, 11, 195–204. [Google Scholar] [CrossRef]
  21. Koutroulis, E.; Kalaitzakis, K. Design of a maximum power tracking system for wind-energy-conversion applications. IEEE Trans. Ind. Electron. 2006, 53, 486–494. [Google Scholar] [CrossRef]
  22. Syahputra, R.; Soesanti, I. Performance Improvement for Small-Scale Wind Turbine System Based on Maximum Power Point Tracking Control. Energies 2019, 12, 3938. [Google Scholar] [CrossRef]
  23. Barzegar-Kalashani, M.; Seyedmahmoudian, M.; Mekhilef, S.; Stojcevski, A.; Horan, B. Small-scale wind turbine control in high-speed wind conditions: A review. Sustain. Energy Technol. Assess. 2023, 60, 103577. [Google Scholar] [CrossRef]
  24. Andersson, L.E.; Anaya-Lara, O.; Tande, J.O.; Merz, K.O.; Imsland, L. Wind farm control—Part I: A review on control system concepts and structures. IET Renew. Power Gener. 2021, 15, 2085–2108. [Google Scholar] [CrossRef]
  25. Jaber, A.S.; Mahdi, H.B.; Abdul-Jabbar, T.A.; Kotb, H.; AboRas, K.M.; Ghadi, Y.Y.; Emara, A.; Oubelaid, A. A comprehensive overview of wind turbine controller technology: Emerging trends and challenges. Sage J. 2024, 48, 5. [Google Scholar] [CrossRef]
  26. Bossanyi, E.A. The Design of closed loop controllers for wind turbines. Wind. Energy 2000, 3, 149–163. [Google Scholar] [CrossRef]
  27. Hansen, M.H.; Hansen, A.; Larsen, T.J.; Oye, S.; Sorensen, P.; Fuglsang, P. Control Design for a Pitch-Regulated, Variable Speed Wind Turbine; Report: Riso-R-1500(EN); Riso National Laboratory: Roskilde, Denmark, 2005; ISSN 0106-2840. [Google Scholar]
  28. Hwas, A.M.S.; Katebi, R. Wind turbine control using PI Pitch angle controller. IFAC Proc. Vol. 2012, 45, 241–246. [Google Scholar] [CrossRef]
  29. Uehara, A.; Pratap, A.; Goya, T.; Senjyu, T.; Yona, A.; Urasaki, N.; Funabashi, T. A Coordinated Control Method to Smooth Wind Power Fluctuations of a PMSG-Based WECS. IEEE Trans. Energy Convers. 2011, 26, 550–558. [Google Scholar] [CrossRef]
  30. Hand, M.; Balas, M. Systematic Approach for PID Controller Design for Pitch-Regulated, Variable-Speed Wind Turbines; National Renewable Energy Laboratory: Golden, CO, USA, 1998. [Google Scholar] [CrossRef]
  31. Fandino, E.E.R.; Bérenguer, C.; Molina, J.J.M. Gain-scheduling wind-turbine control to mitigate the effects of weather conditions on the drive-train degradation. IFAC-PapersOnLine 2022, 55, 508–513. [Google Scholar] [CrossRef]
  32. Jauch, C. Wind Turbine Pitch Angle Controllers for Grid Frequency Stabilisation. In Proceedings of the European Wind Energy Conference, Athens, Greece, 27 February–2 March 2006. [Google Scholar]
  33. Jauch, C.; Cronin, T.; Sørensen, P.; Jensen, B.B. A fuzzy logic pitch angle controller for power system stabilization. Wind. Energy 2006, 10, 19–30. [Google Scholar] [CrossRef]
  34. Qi, Y.; Meng, Q. The Application of Fuzzy PID Control in Pitch Wind Turbine. Energy Procedia 2012, 16, 1635–1641. [Google Scholar] [CrossRef]
  35. Civelek, Z.; Lüy, M.; Çam, E.; Barışçı, N. Control of Pitch Angle of Wind Turbine by Fuzzy Pid Controller. Intell. Autom. Soft Comput. 2015, 22, 463–471. [Google Scholar] [CrossRef]
  36. Van, T.L.; Nguyen, T.H.; Lee, D. Advanced Pitch Angle Control Based on Fuzzy Logic for Variable-Speed Wind Turbine Systems. IEEE Trans. Energy Convers. 2015, 30, 578–587. [Google Scholar] [CrossRef]
  37. Scherillo, F.; Izzo, L.; Coiro, D.P.; Lauria, D. Fuzzy logic control for a small pitch controlled wind turbine. In Proceedings of the IEEE International Symposium on Power Electronics, Electrical Drives, Automation and Motion, Sorrento, Italy, 20–22 June 2012. [Google Scholar] [CrossRef]
  38. Haro, A.; Young, H.; Pavez, B. Fuzzy Logic Active Yaw Control of a Low-Power Wind Generator. IEEE Lat. Am. Trans. 2021, 19, 1941–1948. [Google Scholar] [CrossRef]
  39. Aissaoui, A.G.; Tahour, A.; Abid, M.; Essounbouli, N.; Nollet, F. Power Control of Wind Turbine based on Fuzzy Controllers. Energy Procedia 2013, 42, 163–172. [Google Scholar] [CrossRef]
  40. Manerikar, S.S.; Damkale, S.R.; Havaldar, S.N.; Kulkarni, S.V.; Keskar, Y.A. Horizontal axis wind turbines passive flow control methods: A review. IOP Conf. Ser. Mater. Sci. Eng. 2021, 1136, 012022. [Google Scholar] [CrossRef]
  41. Watanabe, F.; Takahashi, T.; Tokuyama, H.; Nishizawa, Y.; Ushiyama, I. Modelling Passive Yawing Motion of Horizontal Axis Small Wind Turbine: Derivation of New Simplified Equation for Maximum Yaw Rate. Wind. Eng. 2012, 36, 433–441. [Google Scholar] [CrossRef]
  42. Ogden, D.; van Rij, J.; Yu, Y.; Tom, N.; Forbrush, D.; Ruehl, K. Development and Validation of Passive Yaw in the Open-Source WEC-Sim Code; NREL/CP-5000-76304; National Renewable Energy Laboratory: Golden, CO, USA, 2020. [Google Scholar]
  43. Cui, W.; Liu, X.; Yu, F.; Whitty, J. Analysis of the passive yaw mechanism of small horizontal-axis wind turbines. In Proceedings of the World Non-Grid-Connected Wind Power And Energy Conference, Nanjing, China, 24–26 September 2009. [Google Scholar] [CrossRef]
  44. Bianchi, F.; Mantz, R.; De Battista, H. Optimal gain-scheduled control of fixed-speed active stall wind turbines. IET Renew. Power Gener. 2008, 2, 228–238. [Google Scholar] [CrossRef]
  45. Dalala, Z.M.; Zahid, Z.U.; Lai, J. New Overall Control Strategy for Small-Scale WECS in MPPT and Stall Regions With Mode Transfer Control. IEEE Trans. Energy Convers. 2013, 28, 1082–1092. [Google Scholar] [CrossRef]
  46. Martínez, J.; Bernabini, L.; Probst, O.; Rodríguez, C. An improved BEM model for the power curve prediction of stall-regulated wind turbines. Wind. Energy 2005, 8, 385–402. [Google Scholar] [CrossRef]
  47. Ackermann, T. Wind Power in Power Systems, 2nd ed.; John Wiley & Sons: Hoboken, NJ, USA, 2012; ISBN 978-0-470-97416-2. [Google Scholar]
  48. Wagner, H.J.; Mathur, J. Operation and Control of Wind Energy Converters; Green Energy and Technology; Springer: Cham, Switzerland, 2018. [Google Scholar] [CrossRef]
  49. Jauch, C.; Hansen, A.D.; Sørensen, P.; Blaabjerg, F. Simulation Model of an Active-Stall Fixed-Speed Wind Turbine Controller. Wind. Eng. 2004, 28, 177–195. [Google Scholar] [CrossRef]
  50. Tiwari, R.; Babu, N.R. Recent developments of control strategies for wind energy conversion system. Renew. Sustain. Energy Rev. 2016, 66, 268–285. [Google Scholar] [CrossRef]
  51. Jiang, Z.; Chen, Z.; Liu, W.; Liu, Y.; Wang, X. A review of individual pitch control for wind turbines. In Proceedings of the IEEE 11th Conference on Industrial Electronics and Applications (ICIEA), Hefei, China, 5–7 June 2016; pp. 399–404. [Google Scholar] [CrossRef]
  52. Morim, R.B.; Carnielutti, F.; Da Rosa, L.D.; Hubner, G. Analysis of wind turbine power generation with individual pitch control. In Proceedings of the 2019 IEEE PES Innovative Smart Grid Technologies Conference-Latin America (ISGT Latin America), Gramado, Brazil, 15–18 September 2019; pp. 1–6. [Google Scholar] [CrossRef]
  53. Njiri, J.G.; Soffker, D. State-of-the-art in wind turbine control: Trends and challenges. Renew. Sustain. Energy Rev. 2016, 60, 377–393. [Google Scholar] [CrossRef]
  54. Torchani, B.; Sellami, A.; Garcia, G. Pitch Control of Wind Turbine. In Proceedings of the Sixth International Renewable Energy Congress, Sousse, Tunisia, 24–26 March 2015. [Google Scholar]
  55. Selvam, K. Individual Pitch Control for Large Scale Wind Turbines: A Multivariable Control Approach; Report ECN-E–07-053; U.S. Department of Energy Office of Scientific and Technical Information: Oak Ridge, TN, USA, 2007; Engineering Environmental Science. Corpus ID: 7226904. [Google Scholar]
  56. Muljadi, E.; Butterfield, C.P. Pitch–Controlled Variable-Speed Wind Turbine Generation; Report: NREL/CP-500-27143; National Renewable Energy Laboratory: Golden, CO, USA, 2000. [Google Scholar]
  57. Faiz, J.; Tehrani, A.H.; Shahgholian, G.; Takbash, M. Speed control of wind turbine through pitch control using different control techniques. J. Renew. Energy Environ. 2016, 3, 15–23. [Google Scholar]
  58. Roussos, A.I.; Ntampasi, V.E.; Kosmidou, O.I. Pitch Control for Variable Speed Wind Turbines. In Proceedings of the 10th International Conference On Informatics In Control, Automation And Robotics, Reykjavík, Iceland, 29–31 July 2013. [Google Scholar] [CrossRef]
  59. Liu, C.; Li, Q.; Wang, C.; Xv, T.; Gu, W.; Yin, M. Active power control of wind turbine based on fuzzy pitch control. J. Phys. Conf. Ser. 2024, 2757, 012018. [Google Scholar] [CrossRef]
  60. Navarrete, E.C.; Perea, M.T.; Correa, J.C.J.; Serrano, R.V.C.; Moreno, G.J.R. Expert Control Systems Implemented in a Pitch Control of Wind Turbine: A Review. IEEE Access 2019, 7, 13241–13259. [Google Scholar] [CrossRef]
  61. Teja, M.R.; RamaSudha, K.; Vijayasanthi, R. Wind Turbine Modelling and Pitch Angle Control Using PID, Fuzzy and Adaptive Fuzzy Control Techniques. Int. J. Innov. Sci. Res. Technol. 2020, 5, 53–58. [Google Scholar]
  62. Santoso, D.B.; Pangestu, A.B.; Latifa, U.; Fauzi, A.; Zahro, L. Pitch angle control of a wind turbine using fuzzy logic control. IOP Conf. Ser. Earth Environ. Sci. 2021, 830, 012073. [Google Scholar] [CrossRef]
  63. Johannsen, N. Fuzzy controller for improved pitch control. PC Control 2011, 2, 74–76. [Google Scholar]
  64. Barburajan, S. Pitch Control of Wind Turbine Through PID, Fuzzy and Adaptive Fuzzy-PID Controllers. Master’s Thesis, Rochester Institute of Technology, Rochester, NY, USA, 2017. [Google Scholar]
  65. Zhang, J.; Cheng, M.; Chen, Z.; Fu, X. Pitch Angle Control for Variable Speed Wind Turbines. In Proceedings of the Third International Conference on Electric Utility Deregulation and Restructuring and Power Technologies, Nanjing, China, 6–9 April 2008; pp. 1–6. [Google Scholar] [CrossRef]
  66. Hosseini, E.; Aghadavoodi, E.; Shahgholian, G.; Mahdavi-Nasab, H. Intelligent Pitch Angle Control Based on Gain-Scheduled Recurrent ANFIS. J. Renew. Energy Environ. 2019, 6, 36–45. [Google Scholar] [CrossRef]
  67. Hosseini, E.; Behzadfar, N.; Hashemi, M.; Moazzami, M.; Dehghani, M. Control of Pitch Angle in Wind Turbine Based on Doubly Fed Induction Generator Using Fuzzy Logic Method. J. Renew. Energy Environ. 2022, 9, 1–7. [Google Scholar]
  68. Zadeh, L. Fuzzy sets. Inf. Control 1965, 8, 338–353. [Google Scholar] [CrossRef]
  69. Zadeh, L.A. Outline of a New Approach to the Analysis of Complex Systems and Decision Processes. IEEE Trans. Syst. Man Cybern. 1973, SMC-3, 28–44. [Google Scholar] [CrossRef]
  70. Mamdani, E.; Assilian, S. An Experiment in Linguistic Synthesis with a Fuzzy Logic Controller. Int. J. Hum.-Comput. Stud. 1975, 7, 1–13. [Google Scholar] [CrossRef]
  71. Tafreshi, A.S.; Klamroth-Marganska, V.; Nussbaumer, S.; Riener, R. Real-Time Closed-Loop Control of Human Heart Rate and Blood Pressure. IEEE Trans. Biomed. Eng. 2015, 62, 1434–1442. [Google Scholar] [CrossRef]
  72. Tong, W. Fundamentals of wind energy. WIT Trans. State Art Sci. Eng. 2010, 44, 3–48. [Google Scholar] [CrossRef]
  73. Rosales, R. Intelligent Control for Operation of Pitch System of a Low-Power Wind Turbine Generator. Master’s Thesis, Universidad del Istmo, Oaxaca, Mexico, 2017. [Google Scholar]
  74. Esparza, U.B. Diseño y Optimización de un Sistema de Generación Aislada de Energía Eólica Orientado a las Necesidades de Poblaciones Sin Acceso a la Red Eléctrica. Bachelor’s Thesis, Universidad Pública de Navarra, Pamplona, España, 2011. [Google Scholar]
  75. Bilal, A.; Liu, X. Online Estimation of Wind Turbine Tip Speed Ratio by Adaptive Neuro-Fuzzy Algorithm. Int. J. Adv. Comput. Sci. Appl. 2018, 9, 28–33. [Google Scholar] [CrossRef]
  76. Heier, S. Grid Integration of Wind Energy: Onshore and Offshore Conversion Systems; John Wiley & Sons: Chichester, UK, 2014. [Google Scholar] [CrossRef]
  77. IEC 61400-12-1:2017; Wind Energy Generation Systems—Part 12-1: Power Performance Measurements of Electricity Producing Wind Turbines, Standard: Edition 2.0. International Electrotechnical Commission (IEC): Geneva, Switzerland, 2017.
  78. Grogg, K. Harvesting the Wind: The Physics of Wind Turbines; Physics and Astronomy Comps Papers; Carleton College. Physics and Astronomy Department: Northfield, MN, USA, 2005. [Google Scholar]
  79. IEC 61400-1:2019; Wind Energy Generation Systems—Part 1: Design requirements, Edition 4.0. International Electrotechnical Commission (IEC): Geneva, Switzerland, 2019.
  80. IEC 61400-2:2013; Wind Turbines—Part 2: Small Wind Turbines, Standard: Edition 3.0. International Electrotechnical Commission (IEC): Geneva, Switzerland, 2013.
  81. Gawad, A.F.A. New, Simple Blade-Pitch Control Mechanism for Small-Size, Horizontal-Axis Wind Turbines. J. Energy Power Eng. 2013, 7, 2237–2248. [Google Scholar] [CrossRef][Green Version]
  82. Wang, P.; Bao, D.; Zhao, M.; Shi, Z.; Gao, F.; Han, F. The Design, Analysis, and Optimization of a New Pitch Mechanism for Small Wind Turbines. Energies 2023, 16, 6708. [Google Scholar] [CrossRef]
Disclaimer/Publisher’s Note: The statements, opinions and data contained in all publications are solely those of the individual author(s) and contributor(s) and not of MDPI and/or the editor(s). MDPI and/or the editor(s) disclaim responsibility for any injury to people or property resulting from any ideas, methods, instructions or products referred to in the content.

Article Metrics

Citations

Article Access Statistics

Multiple requests from the same IP address are counted as one view.