Research on the Carrier Characteristics of Power Cables Considering the Aging Status of Insulation and Semiconducting Layers
Abstract
1. Introduction
2. Impact of XLPE Aging on Cable Distributed Parameters
2.1. Changes in Dielectric Properties During Aging
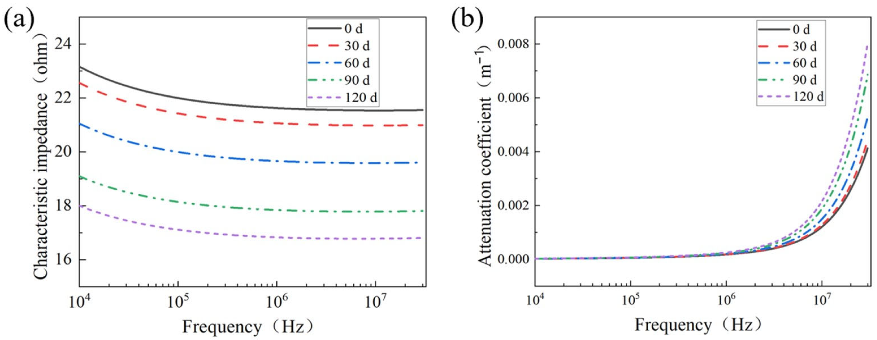
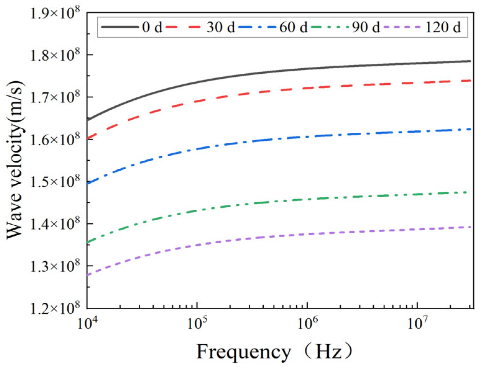
2.2. Effects of Aging on Cable Parameters
3. Impact of Semiconductive Layer Aging on Cable Distributed Parameters
3.1. Changes in Dielectric Properties During Aging
3.2. Effect of Aging on Cable Parameters
4. Transient Current Simulation of Cable Layers Under Typical Aging Conditions
4.1. MATLAB-PSCAD Model Development
4.2. Results and Discussion
5. Conclusions
Author Contributions
Funding
Data Availability Statement
Conflicts of Interest
References
- Zhang, J.; Xue, P.; Xiang, B.; Gao, L.; Jiang, X. Influence of bubbles on electric field distribution of butt-gaps in superconducting cable insulation layer. IET Gener. Transm. Distrib. 2021, 16, 680–685. [Google Scholar] [CrossRef]
- Swarnankur, G.; Supriyo, D. A generalized approach to deduce the impedance and admittance of underground cable containing N semiconductor screens. Eng. Sci. Technol. Int. J. 2022, 28, 101029. [Google Scholar]
- Lv, Z.; Bian, L.; Feng, M.; Zhang, J. Capacity Analysis of Cable Insulation Crosslinking Production Process Based on IoT Big Data. J. Phys. Conf. Ser. 2022, 2237, 012028. [Google Scholar] [CrossRef]
- Lu, H.; Zhu, F.; Liu, Q.; Li, X.; Tang, Y.; Qiu, R. Suppression of Cable Overvoltage in a High-Speed Electric Multiple Units System. IEEE Trans. Electromagn. Compat. 2019, 61, 361–371. [Google Scholar] [CrossRef]
- Zhou, L.; Liu, C.; Quan, S.; Zhang, X.; Wang, D. Experimental study on ageing characteristics of electric locomotive ethylene propylene rubber cable under mechanical–thermal combined action. High Volt. 2022, 7, 792–801. [Google Scholar] [CrossRef]
- Zieliński, D.; Grzechca, D. The Effect of Cable Aging on Surge Arresters Designed by Genetic Algorithm. Appl. Sci. 2023, 13, 11364. [Google Scholar] [CrossRef]
- Reddy, A.S.; Kumari, S.M. A review of switching overvoltage modeling in UHV AC transmission lines. Electr. Power Syst. Res. 2024, 236, 110902. [Google Scholar] [CrossRef]
- Fu, H.; Qiu, L.; Ai, Y.; Tu, J.; Yan, Y. Deep learning-based fault detection and loca-tion in underground power cables using resonance frequency analysis. In Electrical Engineering; Springer: Berlin/Heidelberg, Germany, 2024; pp. 1–12. [Google Scholar]
- Jin, W.; Wang, D.; Gao, H.; Peng, F.; Guo, Y.; Gao, M.; Wang, J. Two-terminal traveling wave fault location approach based on frequency dependent electrical parameters of HVAC cable transmission lines. Electr. Power Syst. Res. 2024, 235, 110842. [Google Scholar] [CrossRef]
- Barkhordari, S.M.; Fattahi, H.; Armaghani, J.D.; Muhammad Khan, N.; Afrazi, M.; Asteris, P.G. Failure mode identification in reinforced concrete flat slabs using advanced ensemble neural networks. In Multiscale and Multidisciplinary Modeling, Experi-ments and Design; Springer: Berlin/Heidelberg, Germany, 2024; pp. 1–15. [Google Scholar]
- Mehti, C.; Elmir, B.; Khikmat, A. Investigation of Dielectric Properties and Structural Changes in XLPE Composite Insulation of Covered Conductor due to Thermal Aging. Mater. Sci. Forum 2024, 1119, 13–24. [Google Scholar]
- Rashid, Z. Calculation of overhead and underground cable parameters at harmonic frequencies. Electr. Eng. 2020, 103, 729–741. [Google Scholar] [CrossRef]
- Zhu, K.; Lee, W.K.; Pong, P.W. Energization-Status Identification of Three-Phase Three-Core Shielded Distribution Power Cables Based on Non-Destructive Magnetic Field Sensing. IEEE Sens. J. 2017, 17, 7405–7417. [Google Scholar] [CrossRef]
- Le, J.; Wang, C.; Zhou, W.; Liu, Y.Y.; Cai, W. A novel PLC channel modeling method and channel characteristic analysis of a smart distribution grid. Prot. Control. Mod. Power Syst. 2017, 2, 14. [Google Scholar] [CrossRef]
- Corchado, A.J.; Cortés, A.J.; Cañete, J.F.; Díez, L. An MTL-Based Channel Model for Indoor Broadband MIMO Power Line Communications. IEEE J. Sel. Areas Commun. 2016, 34, 2045–2055. [Google Scholar] [CrossRef]
- Ji, M.; Colin, X.; Liu, W.; Chi, X.; Chatenet, S.; Wei, W. Comparison of the performances and aging mechanisms of XLPE and EVA insulation during their thermal oxidative aging. Polym. Degrad. Stab. 2024, 222, 110699. [Google Scholar] [CrossRef]
- Shimomura, K.; Sato, M. General Criterion for Non-Hermitian Skin Effects and Application: Fock Space Skin Effects in Many-Body Systems. Phys. Rev. Lett. 2024, 133, 136502. [Google Scholar] [CrossRef] [PubMed]
- Su, J.; Wei, L.; Zhang, P.; Li, Y.; Liu, Y. Multi-type defect detection and location based on non-destructive impedance spectrum measurement for under-ground power cables. High Volt. 2023, 8, 977–985. [Google Scholar] [CrossRef]
- Liu, T.; Liu, T.; Li, X.; Wei, Y.; Zhu, Y.; He, J.; Li, G. Effect and mechanism analysis of matrix resin type on thermal aging characteristics of semi-conductive shielding material for high voltage cable. J. Appl. Polym. Sci. 2024, 141, e55311. [Google Scholar] [CrossRef]
- Li, J.; Gao, Y.; Song, Z.; Liu, B.; Guo, C.; Chen, Y.; Du, B. Study on thermal cycling ageing resistance of performances of polypropylene/elastomer/boron nitride nanocomposites for high voltage direct current cable insulation. High Volt. 2024, 9, 556–565. [Google Scholar] [CrossRef]













| Parameters | Symbols | Units |
|---|---|---|
| Unit length resistance | Runit | |
| Unit length inductance | Lunit | H/m |
| Unit length capacitance | Cunit | F/m |
| Characteristic impedance | ZC | |
| Propagation constant | γ | 1 |
| Relative permittivity | ɛ | 1 |
| Dielectric loss tangent | tanδ | 1 |
| Penetration depth | ξ | mm |
| Wave velocity | v | m/s |
| Rise time | tr | μs |
Disclaimer/Publisher’s Note: The statements, opinions and data contained in all publications are solely those of the individual author(s) and contributor(s) and not of MDPI and/or the editor(s). MDPI and/or the editor(s) disclaim responsibility for any injury to people or property resulting from any ideas, methods, instructions or products referred to in the content. |
© 2024 by the authors. Licensee MDPI, Basel, Switzerland. This article is an open access article distributed under the terms and conditions of the Creative Commons Attribution (CC BY) license (https://creativecommons.org/licenses/by/4.0/).
Share and Cite
Yang, X.; Wang, Z.; Li, J.; Wu, M.; Wang, G.; Gao, X.; Gao, J. Research on the Carrier Characteristics of Power Cables Considering the Aging Status of Insulation and Semiconducting Layers. Energies 2024, 17, 5655. https://doi.org/10.3390/en17225655
Yang X, Wang Z, Li J, Wu M, Wang G, Gao X, Gao J. Research on the Carrier Characteristics of Power Cables Considering the Aging Status of Insulation and Semiconducting Layers. Energies. 2024; 17(22):5655. https://doi.org/10.3390/en17225655
Chicago/Turabian StyleYang, Xiaohua, Zixuan Wang, Jiahao Li, Ming Wu, Guanpan Wang, Xueting Gao, and Jinghui Gao. 2024. "Research on the Carrier Characteristics of Power Cables Considering the Aging Status of Insulation and Semiconducting Layers" Energies 17, no. 22: 5655. https://doi.org/10.3390/en17225655
APA StyleYang, X., Wang, Z., Li, J., Wu, M., Wang, G., Gao, X., & Gao, J. (2024). Research on the Carrier Characteristics of Power Cables Considering the Aging Status of Insulation and Semiconducting Layers. Energies, 17(22), 5655. https://doi.org/10.3390/en17225655

