Biomass-Driven Polygeneration Coupled to Power-to-X: An Energy and Economic Comparison Between On-Site Electric Vehicle Charging and Hydrogen Production
Abstract
1. Introduction
- The development of an innovative EV fast charging model integrated with a biomass-based CCHP system that fulfills the electric energy demand of different fleets of EVs;
- A charging model that considers a state of charge (SOC)-based realistic power withdrawal profiles of a case study EV (e.g., Renault Zoe EV model);
- the development of a transient simulation model for hydrogen production using water electrolysis.
- An analysis of the effect of adopting the EV charging and hydrogen production system on the energy and economic performance of a biomass-based CCHP system.
2. System Layout
Control Strategy
3. Simulation Model
- Type 48: This component from the library simulates the electrical behavior of the inverter/regulator. It directs and distributes the power to the storage systems. It also regulates the power based on the state of charge of the storage system. If the storage system is fully charged, the excess power is then delivered to the grid.
- Type 549: This component from the library models a lithium-ion battery using the voltage model proposed by Tremblay [35]. In addition, it also includes a simple energy balance to estimate the energy exchanged with the surroundings. To operate this component as a lithium-ion battery of the EVs, the parameters of type 549 are set such that it behaves as a commercial lithium-ion battery installed in the EVs chosen in the present case studies. In particular, the lithium-ion battery specifications of the Renault Zoe 50 [35] are considered.
- Type 100a: This component implements a control function for the electrolyzer system. This controller defines the balance between power usage, production, and storage of hydrogen. In the present study, this component operates on variable power input [36].
- Type 175a: This is a power conditioning component based on a mathematical model [36]. It converts the available input power into an output current for a predefined voltage value.
- Type 160a: This component refers to a mathematical model of an alkaline water electrolyzer [36]. The mathematical model is composed of fundamental electrochemical, thermodynamic, and heat transfer relationships.
- Type 167: This component refers to a multi-stage polytropic compressor. The model calculates the work input required based on input pressure and desired output pressure [36].
- Type 164b: This refers to a real gas compressed storage tank that calculates the inside pressure using the van der Waals equation of state for real gases [37]. The model simply performs a mass balance of the gas entering and leaving the storage tank without considering the thermal effects of the gases.
3.1. Electric Vehicle Charging Model
3.2. Electrolyzer System Model
3.3. Energy and Economical Model
| Component | Parameter | Value | Unit |
|---|---|---|---|
| The capital cost of an EV charger | 51 [41] | kEUR | |
| The capital cost of the hydrogen dispenser | 100 [42] | kEUR | |
| Electrolyzer operational expenditure | [39] | kEUR | |
| Compressor operational expenditure | [39] | kEUR | |
| Hydrogen tank operational expenditure | [39] | kEUR | |
| Cost of EV fast charging | 0.6 [43] | EUR/kWh | |
| Hydrogen selling price | 10 [25] | EUR/kg | |
| Oxygen selling price | 2 [44] | EUR/kg | |
| Electric energy purchasing unit cost | 0.35 [12] | EUR/kWh | |
| Electric energy selling unit cost | 0.1 [12] | EUR/kWh | |
| AF | Annuity factor | 12.5 [40] | years |
4. Case Study
5. Results and Discussions
5.1. Daily Results
5.1.1. EV Charging System
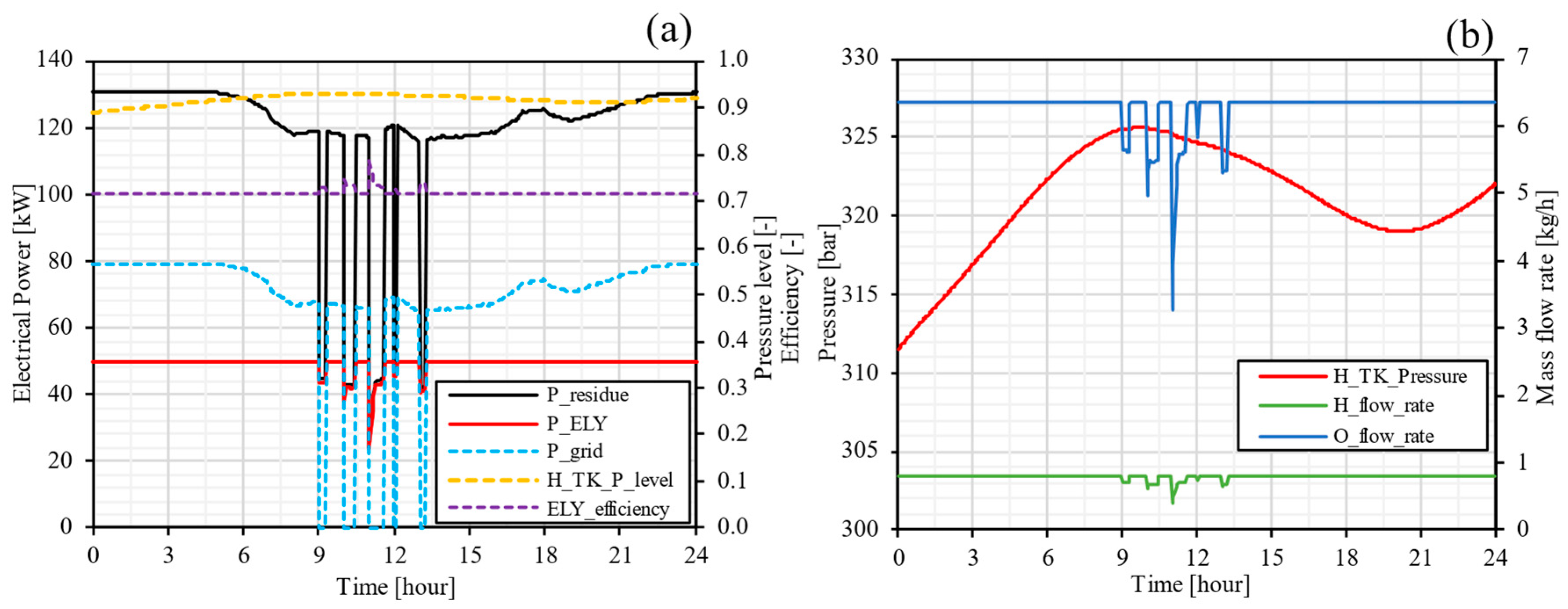
5.1.2. Hydrogen System
5.2. Annual Results
5.3. Parametric Analysis
5.3.1. Sensitivity Analysis: Selling Unit Cost of EV Charging and Hydrogen
5.3.2. Parametric Analysis: Electrolyzer Capacity and Hydrogen Daily Demand
6. Conclusions
Author Contributions
Funding
Data Availability Statement
Conflicts of Interest
Nomenclature
| a | discounting rate [%] |
| AC | alternating current |
| AF | annuity factor [Years] |
| C | cost [kEUR] |
| CAPEX | capital expenditure |
| CCHP | combine cooling, heating, and power |
| CF | cash flow |
| CHP | combined heat and power |
| CO2 | carbon dioxide |
| DC | direct current |
| E | energy [kWh] |
| EV | electric vehicle |
| FCEV | fuel cell electric vehicles |
| GHG | greenhouse gas |
| ICE | internal combustion engine |
| J | capital cost [kEUR] |
| kg | kilogram |
| kW | kilowatt |
| kWh | kilowatt-hour |
| L | distance [km] |
| LiB | lithium-ion battery |
| M | maintenance cost [kEUR] |
| m | meter |
| mass flow rate [kg/h] | |
| MW | megawatt |
| MWh | megawatt-hour |
| NEV | number of EVs |
| Nm3 | normal cubic meter |
| NPV | net present value [kEUR] |
| OPEX | operational cost [kEUR] |
| ORC | organic Rankine cycle |
| PEM | proton exchange membrane |
| PI | profitability index |
| PS | proposed system |
| R | revenue [kEUR] |
| RS | reference system |
| SOC | state of charge |
| SPB | simple payback period [Years] |
| t | ton |
| V | volts |
| Vmean | average velocity [km/h] |
| ᴪ | storage tank pressure level |
| Subscripts | |
| actual | actual power/energy |
| BOP | balance of plant |
| buy | purchased |
| ch | charging |
| comp | compressor |
| cons | consumed |
| el | electrical |
| ELY | electrolyzer |
| fix | fix power |
| generated | generated power |
| grid | national grid |
| H | hydrogen |
| high | high set point value |
| i | initial value |
| idle | idle or standby power |
| low | low set point value |
| max | maximum value |
| min | minimum value |
| O | oxygen |
| residue | residue electrical power |
| set | set point value |
| sell | selling |
| SF | scale factor |
| surplus | surplus electrical power |
| th | thermal |
| TK | storage tank |
References
- Arioli, M.S.; D’Agosto, M.d.A.; Amaral, F.G.; Cybis, H.B.B. The Evolution of City-Scale GHG Emissions Inventory Methods: A Systematic Review. Environ. Impact Assess. Rev. 2020, 80, 106316. [Google Scholar] [CrossRef]
- Höglund-Isaksson, L.; Winiwarter, W.; Purohit, P.; Rafaj, P.; Schöpp, W.; Klimont, Z. EU Low Carbon Roadmap 2050: Potentials and Costs for Mitigation of Non-CO2 Greenhouse Gas Emissions. Energy Strateg. Rev. 2012, 1, 97–108. [Google Scholar] [CrossRef]
- Luddeni, G.; Krarti, M.; Pernigotto, G.; Gasparella, A. An Analysis Methodology for Large-Scale Deep Energy Retrofits of Existing Building Stocks: Case Study of the Italian Office Building. Sustain. Cities Soc. 2018, 41, 296–311. [Google Scholar] [CrossRef]
- International Energy Agency. CO2 Emissions in 2022; Organization for Economic Co-Operation and Development (OECD): Paris, France, 2023. [Google Scholar] [CrossRef]
- Mahmoudan, A.; Esmaeilion, F.; Hoseinzadeh, S.; Soltani, M.; Ahmadi, P.; Rosen, M. A Geothermal and Solar-Based Multigeneration System Integrated with a TEG Unit: Development, 3E Analyses, and Multi-Objective Optimization. Appl. Energy 2022, 308, 118399. [Google Scholar] [CrossRef]
- Geraldi, M.S.; Bavaresco, M.V.; Triana, M.A.; Melo, A.P.; Lamberts, R. Addressing the Impact of COVID-19 Lockdown on Energy Use in Municipal Buildings: A Case Study in Florianópolis, Brazil. Sustain. Cities Soc. 2021, 69, 102823. [Google Scholar] [CrossRef]
- Alirahmi, S.M.; Khoshnevisan, A.; Shirazi, P.; Ahmadi, P.; Kari, D. Soft Computing Based Optimization of a Novel Solar Heliostat Integrated Energy System Using Artificial Neural Networks. Sustain. Energy Technol. Assess. 2022, 50, 101850. [Google Scholar] [CrossRef]
- Dastjerdi, S.M.; Mosammam, Z.M.; Ahmadi, P.; Houshfar, E. Transient Analysis and Optimization of an Off-Grid Hydrogen and Electric Vehicle Charging Station with Temporary Residences. Sustain. Cities Soc. 2023, 97, 104742. [Google Scholar] [CrossRef]
- Calise, F.; Cappiello, F.L.; Cartenì, A.; Dentice d’Accadia, M.; Vicidomini, M. A Novel Paradigm for a Sustainable Mobility Based on Electric Vehicles, Photovoltaic Panels and Electric Energy Storage Systems: Case Studies for Naples and Salerno (Italy). Renew. Sustain. Energy Rev. 2019, 111, 97–114. [Google Scholar] [CrossRef]
- Di Fraia, S.; Shah, M.; Vanoli, L. Biomass Polygeneration Systems Integrated with Buildings: A Review. Sustainability 2024, 16, 1654. [Google Scholar] [CrossRef]
- Delmas, M.A.; Kahn, M.E.; Locke, S.L. The Private and Social Consequences of Purchasing an Electric Vehicle and Solar Panels: Evidence from California. Res. Econ. 2017, 71, 225–235. [Google Scholar] [CrossRef]
- Di Fraia, S.; Shah, M.; Vanoli, L. A Biomass-Based Polygeneration System for a Historical Building: A Techno-Economic and Environmental Analysis. Energy Convers. Manag. 2023, 291, 117336. [Google Scholar] [CrossRef]
- Ribberink, H.; Entchev, E. Exploring the Potential Synergy between Micro-Cogeneration and Electric Vehicle Charging. Appl. Therm. Eng. 2014, 71, 677–685. [Google Scholar] [CrossRef]
- Angrisani, G.; Canelli, M.; Roselli, C.; Sasso, M. Integration between Electric Vehicle Charging and Micro-Cogeneration System. Energy Convers. Manag. 2015, 98, 115–126. [Google Scholar] [CrossRef]
- Onovwiona, H.I.; Ismet Ugursal, V.; Fung, A.S. Modeling of Internal Combustion Engine Based Cogeneration Systems for Residential Applications. Appl. Therm. Eng. 2007, 27, 848–861. [Google Scholar] [CrossRef]
- Zafarani, H.; Taher, S.A.; Shahidehpour, M. Robust Operation of a Multicarrier Energy System Considering EVs and CHP Units. Energy 2020, 192, 116703. [Google Scholar] [CrossRef]
- Gado, M.G.; Hassan, H. Potential of Prospective Plans in MENA Countries for Green Hydrogen Generation Driven by Solar and Wind Power Sources. Sol. Energy 2023, 263, 111942. [Google Scholar] [CrossRef]
- Gado, M.G. E-Prime—Advances in Electrical Engineering, Electronics and Energy Techno-Economic-Environmental Assessment of Green Hydrogen and Ammonia Synthesis Using Solar and Wind Resources for Three Selected Sites in Egypt. e-Prime-Adv. Electr. Eng. Electron. Energy 2024, 10, 100780. [Google Scholar] [CrossRef]
- Gado, M.G.; Nasser, M.; Hassan, H. Potential of Solar and Wind-Based Green Hydrogen Production Frameworks in African Countries. Int. J. Hydrogen Energy 2024, 68, 520–536. [Google Scholar] [CrossRef]
- Apostolou, D.; Xydis, G. A Literature Review on Hydrogen Refuelling Stations and Infrastructure. Current Status and Future Prospects. Renew. Sustain. Energy Rev. 2019, 113, 109292. [Google Scholar] [CrossRef]
- Grüger, F.; Dylewski, L.; Robinius, M.; Stolten, D. Carsharing with Fuel Cell Vehicles: Sizing Hydrogen Refueling Stations Based on Refueling Behavior. Appl. Energy 2018, 228, 1540–1549. [Google Scholar] [CrossRef]
- Riedl, S.M. Development of a Hydrogen Refueling Station Design Tool. Int. J. Hydrogen Energy 2020, 45, 1–9. [Google Scholar] [CrossRef]
- Apostolou, D.; Enevoldsen, P.; Xydis, G. Supporting Green Urban Mobility—The Case of a Small-Scale Autonomous Hydrogen Refuelling Station. Int. J. Hydrogen Energy 2019, 44, 9675–9689. [Google Scholar] [CrossRef]
- Li, N.; Zhao, X.; Shi, X.; Pei, Z.; Mu, H.; Taghizadeh-Hesary, F. Integrated Energy Systems with CCHP and Hydrogen Supply: A New Outlet for Curtailed Wind Power. Appl. Energy 2021, 303, 117619. [Google Scholar] [CrossRef]
- Squadrito, G.; Nicita, A.; Maggio, G. A Size-Dependent Financial Evaluation of Green Hydrogen-Oxygen Co-Production. Renew. Energy 2021, 163, 2165–2177. [Google Scholar] [CrossRef]
- Zhang, R.; Chen, Y.; Li, Z.; Jiang, T.; Li, X. Two-Stage Robust Operation of Electricity-Gas-Heat Integrated Multi-Energy Microgrids Considering Heterogeneous Uncertainties. Appl. Energy 2024, 371, 123690. [Google Scholar] [CrossRef]
- Xia, W.; Ren, Z.; Li, H.; Pan, Z. A Data-Driven Probabilistic Evaluation Method of Hydrogen Fuel Cell Vehicles Hosting Capacity for Integrated Hydrogen-Electricity Network. Appl. Energy 2024, 376, 123895. [Google Scholar] [CrossRef]
- Kalinci, Y.; Hepbasli, A.; Dincer, I. Techno-Economic Analysis of a Stand-Alone Hybrid Renewable Energy System with Hydrogen Production and Storage Options. Int. J. Hydrogen Energy 2015, 40, 7652–7664. [Google Scholar] [CrossRef]
- Abdin, Z.; Mérida, W. Hybrid Energy Systems for Off-Grid Power Supply and Hydrogen Production Based on Renewable Energy: A Techno-Economic Analysis. Energy Convers. Manag. 2019, 196, 1068–1079. [Google Scholar] [CrossRef]
- Klein, S.A.; Duffie, J.A.; Mitchell, J.C.; Kummer, J.P.; Thornton, J.W.; Bradley, D.E.; Arias, D.A.; Beckman, W.A.; Duffie, N.A.; Braun, J.E.; et al. TRNSYS 18: A Transient System Simulation Program: Getting Started; Solar Energy Laboratory, University of Wisconsin: Madison, WI, USA, 2017; Volume 1, pp. 1–9. [Google Scholar]
- Ding, B.; Li, Z.; Li, Z.; Xue, Y.; Chang, X.; Su, J.; Jin, X.; Sun, H. A CCP-Based Distributed Cooperative Operation Strategy for Multi-Agent Energy Systems Integrated with Wind, Solar, and Buildings. Appl. Energy 2024, 365, 123275. [Google Scholar] [CrossRef]
- Zhang, H.; Li, Z.; Xue, Y.; Chang, X.; Su, J.; Wang, P.; Guo, Q.; Sun, H. A Stochastic Bi-Level Optimal Allocation Approach of Intelligent Buildings Considering Energy Storage Sharing Services. IEEE Trans. Consum. Electron. 2024. [Google Scholar] [CrossRef]
- Babu K., V.S.M.; Chakraborty, P.; Pal, M. Planning of Fast Charging Infrastructure for Electric Vehicles in a Distribution System and Prediction of Dynamic Price. Int. J. Electr. Power Energy Syst. 2024, 155, 109502. [Google Scholar] [CrossRef]
- Buttler, A.; Spliethoff, H. Current Status of Water Electrolysis for Energy Storage, Grid Balancing and Sector Coupling via Power-to-Gas and Power-to-Liquids: A Review. Renew. Sustain. Energy Rev. 2018, 82, 2440–2454. [Google Scholar] [CrossRef]
- Tremblay, O.; Dessaint, L.-A.; Dekkiche, A.-I. A Generic Battery Model for the Dynamic Simulation of Hybrid Electric Vehicles. In Proceedings of the 2007 IEEE Vehicle Power and Propulsion Conference, Arlington, TX, USA, 9–12 September 2007; pp. 284–289. [Google Scholar]
- Levy, G. Mathematical Reference. Energy Power Risk 2018, 4, 291–295. [Google Scholar] [CrossRef]
- Cengel, Y.A.; Boles, M.A. Thermodynamics: An Engineering Approach, 5 Ed, McGraw-Hill, 2006. MC Graw Hill 2008, 7, 962. [Google Scholar]
- Zauner, A.; Böhm, H.; Rosenfeld, D.C.; Tichler, R. Analysis on Future Technology Options and on Techno-Economic Optimization. Deliverable 7.7. StoreGo Proj. 2019, 7, 1–89. [Google Scholar]
- van Leeuwen, C.; Zauner, A. Innovative Large-Scale Energy Storage Technologies and Power-to-Gas Concepts after Optimisation Report on the Costs Involved with PtG Technologies and Their Potentials across the EU; University of Groningen: Groningen, The Netherlands, 2018; 51p. [Google Scholar]
- Ceglia, F.; Macaluso, A.; Marrasso, E.; Roselli, C.; Vanoli, L. Energy, Environmental, and Economic Analyses of Geothermal Polygeneration System Using Dynamic Simulations. Energies 2020, 13, 4603. [Google Scholar] [CrossRef]
- ABB Terra DC 124—Fast Charging Station—#1 Choice in Europe. Available online: https://chargingshop.eu/product/abb-terra-124-dc-model-fast-charging-station/ (accessed on 6 July 2023).
- Next Generation Hydrogen Station Composite Data Products: Retail Stations|Hydrogen and Fuel Cells|NREL. Available online: https://www.nrel.gov/hydrogen/infrastructure-cdps-retail.html (accessed on 6 July 2023).
- Electric Vehicle Recharging Prices|European Alternative Fuels Observatory. Available online: https://alternative-fuels-observatory.ec.europa.eu/consumer-portal/electric-vehicle-recharging-prices (accessed on 6 July 2023).
- Calise, F.; Cappiello, F.L.; Cimmino, L.; Vicidomini, M. Dynamic Simulation Modelling of Reversible Solid Oxide Fuel Cells for Energy Storage Purpose. Energy 2022, 260, 124893. [Google Scholar] [CrossRef]
- Renault Zoe ZE50 R110 (2019–2023) Price and Specifications—EV Database. Available online: https://ev-database.org/car/1164/Renault-Zoe-ZE50-R110 (accessed on 6 July 2023).
- Castello Di Sant’Apollinare—Spina Di Marsciano (PG). Available online: https://www.iluoghidelsilenzio.it/castello-di-santapollinare-spina-di-marsciano-pg/ (accessed on 13 August 2023).
- Buonomano, A.; Calise, F.; Cappiello, F.L.; Palombo, A.; Vicidomini, M. Dynamic Analysis of the Integration of Electric Vehicles in Efficient Buildings Fed by Renewables. Appl. Energy 2019, 245, 31–50. [Google Scholar] [CrossRef]
- Cheng, T.-P. Hydrogen Delivery Infrastructure Options Analysis: Final Report; No. GO15032F; Nexant, Inc.: San Fancisco, CA, USA, 2010. [Google Scholar]
- Nicita, A.; Maggio, G.; Andaloro, A.P.F.; Squadrito, G. Green Hydrogen as Feedstock: Financial Analysis of a Photovoltaic-Powered Electrolysis Plant. Int. J. Hydrogen Energy 2020, 45, 11395–11408. [Google Scholar] [CrossRef]
- Calise, F.; Cappiello, F.L.; Dentice d’Accadia, M.; Vicidomini, M. Smart Grid Energy District Based on the Integration of Electric Vehicles and Combined Heat and Power Generation. Energy Convers. Manag. 2021, 234, 113932. [Google Scholar] [CrossRef]
- Calise, F.; Fabozzi, S.; Vanoli, L.; Vicidomini, M. A Sustainable Mobility Strategy Based on Electric Vehicles and Photovoltaic Panels for Shopping Centers. Sustain. Cities Soc. 2021, 70, 102891. [Google Scholar] [CrossRef]

















| Component | Parameter | Value | Unit |
|---|---|---|---|
| Inverter [9] | Efficiency (AC to DC) | 0.98 | |
| Efficiency (DC to AC) | 0.96 | ||
| Regulator efficiency | 0.95 | ||
| High and low limits on the fractional state of charge (SOC) | 0.95–0.10 | ||
| EVs [45] | Cell energy capacity | 78 | Ah |
| Battery voltage | 400 | V | |
| Available capacity | 52 | kWh | |
| Max charging power allowed | 50 | kW | |
| Max discharging power allowed | 50 | kW | |
| Weight of the battery | 326 | kg | |
| Electrolyzer [44] | ) | 50 | kW |
| 13 | kW | ||
| ) | 5 | kW | |
| Electrode surface area | 0.25 | m2 | |
| Number of cells in series | 21 | - | |
| Number of stacks in parallel | 1 | - | |
| Maximum allowable current density | 1000 | mA/cm2 | |
| Minimum permissible voltage | 1.4 | V | |
| Maximum allowable operating temperature | 80 | °C | |
| Electrolyzer pressure | 7 | bar | |
| H2 storage | Tank Volume | 10 | m3 |
| Maximum tank pressure | 350 | bar |
| Type of Vehicle | NEV [-] | Lday [km/day] | Vmean [km/h] | Scheduling | |
|---|---|---|---|---|---|
| Weekdays | Weekends | ||||
| A | 2 | 1 | 70 | 50 | 09:00–10:00 |
| B | 2 | 1 | 90 | 60 | 10:00–11:00 |
| C | 2 | 1 | 60 | 90 | 11:00–12:00 |
| D | 2 | 1 | 30 | 50 | 12:00–13:00 |
| E | 2 | 1 | 50 | 50 | 13:00–14:00 |
| Parameter | (MWh/Year) | (MWh/Year) | (MWh/Year) | (MWh/Year) | (MWh/Year) | Hydrogen Produced (t/Year) | Oxygen Produced (t/Year) |
|---|---|---|---|---|---|---|---|
| Value | 1130 | 42.47 | 24.21 | 356.0 | 707.6 | 5.514 | 44.11 |
| Parameter | Scenario 1: Fuel Cost Excluded | Scenario 2: Fuel Cost Included | Unit |
|---|---|---|---|
| 266.4 | 179.6 | k€/year | |
| 2.860 | 4.240 | Years | |
| 2567 | 1483 | k€ | |
| 3.370 | 1.950 | - |
Disclaimer/Publisher’s Note: The statements, opinions and data contained in all publications are solely those of the individual author(s) and contributor(s) and not of MDPI and/or the editor(s). MDPI and/or the editor(s) disclaim responsibility for any injury to people or property resulting from any ideas, methods, instructions or products referred to in the content. |
© 2024 by the authors. Licensee MDPI, Basel, Switzerland. This article is an open access article distributed under the terms and conditions of the Creative Commons Attribution (CC BY) license (https://creativecommons.org/licenses/by/4.0/).
Share and Cite
Fraia, S.D.; Figaj, R.; Shah, M.; Vanoli, L. Biomass-Driven Polygeneration Coupled to Power-to-X: An Energy and Economic Comparison Between On-Site Electric Vehicle Charging and Hydrogen Production. Energies 2024, 17, 5479. https://doi.org/10.3390/en17215479
Fraia SD, Figaj R, Shah M, Vanoli L. Biomass-Driven Polygeneration Coupled to Power-to-X: An Energy and Economic Comparison Between On-Site Electric Vehicle Charging and Hydrogen Production. Energies. 2024; 17(21):5479. https://doi.org/10.3390/en17215479
Chicago/Turabian StyleFraia, Simona Di, Rafał Figaj, Musannif Shah, and Laura Vanoli. 2024. "Biomass-Driven Polygeneration Coupled to Power-to-X: An Energy and Economic Comparison Between On-Site Electric Vehicle Charging and Hydrogen Production" Energies 17, no. 21: 5479. https://doi.org/10.3390/en17215479
APA StyleFraia, S. D., Figaj, R., Shah, M., & Vanoli, L. (2024). Biomass-Driven Polygeneration Coupled to Power-to-X: An Energy and Economic Comparison Between On-Site Electric Vehicle Charging and Hydrogen Production. Energies, 17(21), 5479. https://doi.org/10.3390/en17215479

