Next Article in Journal
Using Time-Series Databases for Energy Data Infrastructures
Next Article in Special Issue
Calculations of Performance Characteristics of Submerged Cargo Pumps with Hydraulic Drive and Constant Torque Controllers, Taking into Account the Energy Efficiency of the Drive Motor
Previous Article in Journal
Leading Edge Erosion Classification in Offshore Wind Turbines Using Feature Extraction and Classical Machine Learning
Previous Article in Special Issue
Review of Key Technologies of the High-Speed Permanent Magnet Motor Drive
 
 
Font Type:
Arial Georgia Verdana
Font Size:
Aa Aa Aa
Line Spacing:
Column Width:
Background:
Article

A Neuroadaptive Position-Sensorless Robust Control for Permanent Magnet Synchronous Motor Drive System with Uncertain Disturbance

by
Omar Aguilar-Mejia
1,
Antonio Valderrabano-Gonzalez
2,*,
Norberto Hernández-Romero
1,
Juan Carlos Seck-Tuoh-Mora
1,
Julio Cesar Hernandez-Ochoa
2 and
Hertwin Minor-Popocatl
3
1
Instituto de Ciencias Básicas e Ingeniería, Universidad Autónoma del Estado de Hidalgo, Área Académica de Ingeniería y Arquitectura, Pachuca 42184, Hidalgo, Mexico
2
Facultad de Ingeniería, Universidad Panamericana, Álvaro del Portillo 49, Zapopan 45010, Jalisco, Mexico
3
School of Engineering, UPAEP University, 21 Sur 1103, Puebla 72410, Puebla, Mexico
*
Author to whom correspondence should be addressed.
Energies 2024, 17(21), 5477; https://doi.org/10.3390/en17215477
Submission received: 7 September 2024 / Revised: 28 October 2024 / Accepted: 30 October 2024 / Published: 1 November 2024

Abstract

The Permanent Magnet Synchronous Motor (PMSM) drive system is extensively utilized in high-precision positioning applications that demand superior dynamic performance across various operating conditions. Given the non-linear characteristics of the PMSM, a neuroadaptive sensorless controller based on B-spline neural networks is proposed to determine the control signals necessary for achieving the desired performance. The proposed control technique considers the system’s non-linearities and can be adapted to varying operating conditions, all while maintaining a low computational cost suitable for real-time operation. The introduced neuroadaptive controller is evaluated under conditions of uncertainty, and its performance is compared to that of a conventional PI controller optimized using the Whale Optimization Algorithm (WOA). The results demonstrate the viability of the proposed approach.

1. Introduction

The Permanent Magnet Synchronous Motor (PMSM) has a very important role in applications such as electric vehicles, machine tools, power generation, and effectors in robotics and aerospace, among others [1]. PMSM is replacing induction motors and DC motors in applications where fast torque response, smaller size, and excellent performance are required. Although PMSMs are becoming more and more popular due to their advantages, the design of efficient algorithms to regulate the mechanical and electrical variables is still a challenge due to the non-linearities of its dynamic model, as well as parametric uncertainties [2].
Therefore, the control scheme must provide excellent system performance in terms of the transient response to regulate position trajectory tracking in the face of load variations and parametric uncertainties. With these conditions, this is considered a multi-objective problem that can be solved by restricted parameter optimization, with methods such as genetic algorithms, particle swarm intelligence, or simulated annealing [3]. Proportional–Integral (PI) and Proportional–Integral–Derivative (PID) controllers are the most prevalent control strategies used in industrial AC drives for PMSM applications [4]. It is important to mention that the conventional PI or PID controllers present a satisfactory performance when they are tuned for the nominal parameters of the motor, but they are sensitive to parametric variations and endogenous and exogenous disturbances such as unknown abrupt load torque variations [5].
In addition, it should be considered that the PMSM is a non-linear system and its dynamics have coupled state variables, so a linear control technique (PI or PID) may not obtain a good dynamic performance under different operating conditions. The performance of the PMSM is influenced not just by the system’s dynamic response speed but also by the robustness of the control method in compensating for both parametric and non-parametric variations [6]. Automatic regulators such as fractional order [7], robust control [8], adaptive controller [9], sliding-mode control [10], predictive [11], and fuzzy regulators [12] are continuously integrated to enhance the robustness of conventional control algorithms. By combining a robust control scheme and an adaptive control technique, the system can cope with parametric variations if the uncertainties are bounded and known before the controller is designed; however, it is uncommon to know them in advance, and the variations and uncertainties are not always bounded [8].
Despite these advancements, the optimized PI controller remains being the most widely used controller in high-performance applications because of its ease of implementation and proven effectiveness. The use of a combination of conventional controllers with adaptive control techniques has been proposed to improve the performance of the PI control scheme [13].
Adaptive control techniques are primarily categorized into dynamic model-based and non-exact model-based approaches. However, dynamic model-based control techniques are highly dependent on the linear mathematical model of the plant, which can lead to suboptimal performance when dealing with system non-linearities and parametric uncertainties [14]. Tuning techniques without exact models based on expert systems such as fuzzy logic and neuro-fuzzy networks have been explored to help to design controllers for the PMSM. In [15], fuzzy logic technique is applied to tune a PID controller, obtaining good performance for tracking the desired path in the presence of load disturbances, however, the selection of the parameters for fuzzy logic is not clearly explained.
A fuzzy neural network model for tuning a PID controller is implemented in [12] but it requires the determination of a large number of parameters for the neuro-fuzzy network, demanding a significant effort for the design and correct operation. In the area of adaptive control, the applications based on artificial neural networks (ANN) have increased recently due to parallelism and online learning capabilities. ANNs have been widely applied in the identification and control of dynamic systems. In [16], a hybrid adaptive controller based on a neural network is proposed to modify the parameters of a PID controller for multivariable motion control systems with parametric uncertainties.
The adaptive neural network uses the gradient-based method for the online tuning of the controller and requires the initial parameters of the PID controller so that the system can work in a stable closed-loop manner. Gradient-based methods often train slowly and are prone to converging to local minima. A control algorithm must possess learning ability, robustness, and adaptability to changes in system parameters. Furthermore, it is preferred an adaptive control scheme with the lowest number of parameters to be determined so that its implementation is the simplest [17].
By combining the simplicity and efficiency of PI controllers with the automatic learning and tuning capabilities of neural networks, a recursive locally based Neuro-Controller Proportional–Integral (NCPI) is obtained. It can be used to obtain a robust control scheme to regulate the position of a servo mechanism based on a PMSM. The initial gains of the NCPI controller are determined using the least-norm least-squares method, which not only ensures closed-loop stability but also provides significantly faster training compared to conventional gradient-based methods [18]. The NCPI controller gains are adjusted online using the recursive least squares method.
Most control schemes for regulating the position of the PMSM based on vector control techniques use current sensors and a mechanical speed/position sensor. In many cases, the sensors located on the rotor shaft can have errors in precision. These errors are mainly generated by noise induction or DC offset that can occur in environments with humidity, high temperature, and mechanical vibrations [19]. In some situations, a sensor failure can cause instability in the entire control scheme due to the electrical characteristics of the noise signal. Moreover, most speed/position sensors are difficult to install, have complex wiring, increase the overall cost of the controller, and also increase the inertia of the PMSM [20]. Therefore, to avoid the aforementioned complications, sensorless control schemes are used in many applications. The advantage of sensorless speed/position control schemes not only lie in replacing mechanical sensors but also in providing protection to the controller against failures that mechanical sensors could cause. Consequently, recently, several sensorless control techniques have been developed with the intention of eliminating the mechanical speed/position sensor in trajectory tracking systems for PMSM [21,22].
In this work, rotor position trajectory tracking is performed based on observers to avoid calculating numerical derivatives for determining the estimation of the speed and position of the PMSM. The observer will also be used to compensate for load disturbances that generally cannot be measured directly. A sensorless vector control scheme for the PMSM has several advantages: it does not rely on an encoder to obtain the position/speed signal; it has a simple structure for estimating the rotor’s position/speed signal; and it is easy to maintain, smaller in size, relatively low cost, and free from the limitations imposed by mechanical sensors. One of the fundamental and critical tasks of the sensorless vector control system is the correct estimation of the rotor position and the exact magnitude of the rotor position [23,24]. Therefore, the performance of the control scheme depends on the accuracy of the system’s estimators and observers, their dynamic response, and their reliability in estimating the required information under different operating conditions.
The rotor information can be obtained using the arctan function of the back electromotive force (EMF) estimation [19,20,21,23]. To implement a rotor position control scheme for the PMSM, different techniques have been developed based on the extended Kalman filter [25], the Model Reference Adaptive System (MRAS) [26,27], and Sliding Mode Observer (SMO) [19]. Although the MRAS can offer high accuracy in calculating the EKF in noisy environments, its main disadvantages are its complex calculations and the requirement to use accurate models and parameters. The SMO is widely studied and favored by many researchers because of its strong performance, resilience to parameter changes, and high robustness [19].
In [28], an SMO using a sigmoid function is employed to suppress the noise caused by the variable structure response, yielding good results. In [29], a super-twisting function was introduced to replace the sigmoid function, aiming to reduce the switching amplitude and enhance the robustness of the previous technique. While these previous techniques offer excellent precision and effectively reduce noise in the estimated rotor position and speed signals, they are also highly complex to design and implement.
Therefore, in this work, we make the following contributions: 1. The design of a sensorless neuro-controller (SNCPI): This work introduces a novel sensorless neuro-controller (SNCPI) aimed at regulating the trajectory tracking of the position for a PMSM. This addresses a complex challenge in high-precision motor control without the need for mechanical sensors. 2. The Integration of an adaptive state observer: The proposed SNCPI is coupled with an adaptive state observer, enhancing the controller’s ability to handle varying operating conditions. This observer leverages online tuning via neural networks, optimizing the system’s closed-loop feedback for improved performance. 3. The performance benchmarking against optimized PI Ccntroller: The SNCPI’s performance is rigorously evaluated and compared with a sensorless PI controller optimized through a gray whale feeding-based optimization algorithm. This comparison demonstrates the superiority and robustness of the proposed method under different operating scenarios.
This work is organized as follows: Section 2 describes the dynamic model of the PMSM and the formulation of the problem; the description of the NCPI is presented in Section 3; Section 4 describes the rotor speed and rotor position estimation; the whale optimization algorithm used to tune the 11 gains of the traditional sensorless PI control scheme is developed in Section 5; finally, a comparison of the simulation results is presented in Section 6.

2. Dynamic Model of Permanent Magnet Synchronous Motor

In this section, the mathematical model of the PMSM is analyzed. This model is a set of non-linear differential equations that intertwines electrical variables (voltages, currents, electrical torque, and flow links) with mechanical variables (rotor position and rotor speed). The mathematical model separates the slow linear dynamics of the motor, which represents the greatest interest in this study, from the non-linear dynamics with fast response, which is analyzed as a disturbance. The mathematical model of the PMSM in the stationary reference frame ( α , β ) , with sinusoidal flux density distribution in the iron gap, can be represented as follows [30]:
d i α d t = ( R s i α + ω r λ m s i n ( n p θ ) + v α ) 1 L s ,
d i β d t = ( R s i β ω r λ m c o s ( n p θ ) + v β ) 1 L s ,
d ω r d t = B J ω r + λ m J [ i α s i n ( n p θ ) + i β c o s ( n p θ ) ] T l J ,
where R s is the stator resistance; L s is the stator inductance; i α and i β are the stator currents; ω r is the speed of the rotor; J is the rotor inertia moment; v α and v β are phase voltages; θ is the electrical rotor angle; n p is the number of pole pairs; B is the viscous friction coefficient; T l is the dubiety external disturbance or the load torque applied to the motor that depends on applications; and λ m is the magnetic flux produced by the permanent magnet placed on the rotor.
The non-linear mathematical model expressed in Equations (1) and (2) is transformed to a rotor reference frame ( d q ) using the Clarke transformation for the vectors v = [ v α ; v β ] and i = [ i α ; i β ] , obtaining the following set of equations [31]:
d i d d t = ( R s i d + ω r L q i q v d ) 1 L d ,
d i q d t = ( R s i q + ω r L d i d ω r λ m v q ) 1 L q ,
T e = 1.5 n p 2 [ λ m i q + ( L d L q ) i d i q ] ,
where v d and v q and i d and i q are the voltages and currents in the d q rotor reference frame; L d and L q are the stator inductances; and T e is the electromagnetic torque. In this work, a non-salient pole PMSM with magnets placed on the rotor surface [32] is used; consequently, L d = L q ; therefore, the electromagnetic torque can be defined as follows:
T e = 0.75 n p λ m i q .
The dynamic equations of the mechanical variables (rotor position and rotor speed) are expressed as
d ω r d t = T e T l B ω r J .
Using Equations (5) and (6) and substituting into Equation (8), the electromagnetic torque can be rewritten as follows:
T e = J θ r ¨ + B θ r ˙ + T l .
Using Equations (4) and (9), the dynamics of the rotor position of the PMSM can be expressed as follows:
θ r ¨ = k t i q * B θ r ˙ T l 1 J ,
where k t = 0.75 n p and i q * is the reference value of the q-axis current, calculated by the control scheme.
Vector control is a fundamental technique for regulating the mechanical and electrical state variables in the field of AC electrical machine control. According to the basic theory of vector control, this work employs a sensorless vector control technique based on an SNCPI using an adaptive SMO and an adaptive rotor speed estimator, as illustrated in Figure 1. The estimated rotor position is compared with the reference position, and the resulting error is the input signal used by the servo motor position control. The control scheme to regulate the position of the servo motor based on a PMSM controlled by an SNCPI is shown in Figure 1. Here, four controller loops can be observed, which are to regulate (a) the position of the rotor, (b) the speed of the rotor, and (c) the currents in the reference frame d q .
However, the performance of the position servo mechanism is sensitive to parameter variations across different operating conditions (moment of inertia, viscous friction, load torque, etc.), as illustrated in Equation (8). Parameter variations generally occur due to the effects of temperature, the aging process of the components, and the non-linearities of the mathematical model. To overcome the aforementioned problems, it is proposed to use an adaptive PI control scheme based on an artificial neural network designed to compensate internal and external disturbances online [33]. The controller is trained online using the least squares sequential learning method. The performance of the proposed controller is then compared with that of an optimized controller under the following operating conditions: (a) variations in motor parameters, (b) variations in the load torque applied to the rotor shaft, and (c) aggressive variations in the path of the reference signal of the rotor.

3. Neurocontroller Based on Neural Networks

Artificial neural networks (ANN) are particularly attractive processes to control and improve the performance of electromechanical systems. They simultaneously account for the complexity of the physical system, leading to efficient and robust control across various operating conditions, all while requiring minimal computational effort. In this sense, B-spline neural networks (BSNN) are a particular class of neural networks that have shown excellent results in different electromechanical systems [17,33,34,35]. This section presents the performance evaluation and design of a BSNN-based adaptive position tracking control approach with online adaptation capabilities for a PMSM.
The hybrid PI controller scheme based on a BSNN uses a conventional PI controller to maintain the output so that there is zero error between the rotor position and the desired output through feedback operations. The SNCPI structure has the position error signal ( e θ ) , the velocity error ( e ω ) , the errors of the currents in the d q axis ( e q and e d ), the estimation errors of the rotor speed e ¯ ω , the estimation errors position e ¯ θ , and the estimation errors of the load torque e ¯ T as inputs (see Figure 1).
BSNNs are a type of ANN built in three parts: (1) the layer used to normalize the input signals; (2) the basis function layer; and (3) the network output, consisting of a linear combination of basis functions with modifiable weights, as shown in Figure 2 [36]. This ANN is useful for real-time non-linear model identification due to its construction, which uses a single layer of basis functions to perform few computations compared to any multilayer ANN. In this work, a BSNNs are used to tune in line the eight gains of the four conventional PI controllers, of the four control loops of the PMSM and four parameters of the two observers. One of the most important parts in the structure of the BSNN are the base functions that are defined from a set of vectors with special points, which are based on a prior knowledge of the system. When the input data are already established, the next step is to dtermine the order K of the basis functions, the number of nodes, and their distribution. The number of nodes, their individual values, and the intervals between them are determined based on experience with using BSNNs. As the dynamics of the PMSM is very complex, a third-order basis functions were selected to obtain an accurate approximation of its dynamic behavior [17]. For the design of the NCPI, a knot vector is used for each control loop, where the maximum and minimum values of the desired trajectory are considered as the admissible extreme values. After defining the input range for the feedback control loops, the next step is to determine the number and distribution of the j-th nodes in the vector.
Each knot in the vector consists of eight points, which are distributed into groups of four elements. These groups are used to generate three BSNN functions, with some knot points shared among them [17]. This configuration is employed because it offers an excellent approximation of the system’s behavior, as demonstrated in the results section. The expression that defines the univariate base function for the BSNN is the following recurrence relation:
S K j u = u λ j K λ j 1 λ j K S K 1 j 1 u + λ j u λ j λ j K + 1 S K 1 j u S 1 j u = 1 if u I j 0 other cases ,
where u represents the input, λ j is the j-th knot vector, I j = λ j 1 , λ j is defined as the j-th interval among two knot vectors, and K is the the output function order. The output of each BSNNs used can be written as follows:
σ ^ i = m = 1 P a m w m = a i T w i i = 1 , 2 , 3 ,
where ai is a vector of dimension P used to store the output value of the BSNN basis functions, and wi represents the vector of weights. Figure 2 represents the configuration of the BSNN used to calculate the parameters of the PI controllers for position and speed regulation of the PMSM.
As in any other controller, the objective of the hybrid PI controller scheme based on a BSNN is to minimize the error between the output of the closed-loop system and the input of reference. The BSNN is instantaneously trained using an algorithm with the ability to adjust the weights of the basis functions triggered based on the input signals. The instant learning rule is used to calculate the minimum value of the output mean square error (MSE) performance; therefore, at the end of the procedure, the parameters are updated using the gradient descent rules. The expression to calculate the estimate of the MSE is given by
J ( t ) = σ ^ ( t ) σ ( t ) 2 .
The online training algorithm uses a normalized mean least-squares algorithm, which is a variation of the standard gradient descent that requires fewer computational resources. This is essential for the real-time implementation of the control scheme [36]. The learning rule is defined as follows:
W i ( t ) = W i ( t 1 ) + γ e x ( t ) a i ( t ) 2 2 a i ( t ) i = 1 , 2 , 3 ,
where γ corresponds to the learning rate, and  e x ( t ) = σ ^ ( t ) σ ( t ) is the output error of the BSNN. To carry out the online training of the BSNN, an error signal is required, defined as the difference between the desired value of the PMSM position trajectory and the signal delivered by the position sensor placed on the rotor axis. Thus, it is appropriate to measure the motor position and compare it with the values of the predefined desired trajectory to generate an error signal.
Following the rules defined above, the adaptive PI controller using the B-spline neural network algorithm can be summarized in the following pseudocode (Algorithm 1).
Algorithm 1 Adaptive PI controller using B-spline neural network
  1:
procedure  offline
  2:
    Define basis function orders and knots
  3:
    Define recurrence relation (11)
  4:
    Define basis function orders and knots
  5:
    Define recurrence relation (11)
  6:
    Define learning rule and learning rate (14)
  7:
    Define architecture of the BSNN (layers, inputs and outputs) see Figure 2
  8:
    Define initial conditions l x , k, k x
  9:
    BSNN is trained for different operating scenarios for the SNCPI drive
10:
end procedure
11:
procedure  online
12:
    The process online starts with the parameters calculated in the previous process.
13:
    while e x < 3 % the control scheme works in steady state.
14:
    if e x > 3 %
15:
    Learning rule is activated (14).
16:
    Are calculated new weights and the output of the BSNN.
17:
    The parameters of the corresponding controller are changed.
18:
    end if
19:
    end while
20:
    Show results and visualization
21:
end procedure

4. Rotor Speed and Rotor Position Estimation

There are many schemes based on linear and non-linear observers which can estimate the magnitude of the PMSM’s mechanical variables (speed and position rotor). The most robust and widely used methodology is the non-linear variable structure control theory by sliding modes due to the advantages of insensitivity to parameter changes, fast response, and easy implementation. This method adjusts the state variables to a sliding surface within a finite time and maintains the controlled signals on this surface through a high-frequency switching control signal [19]. The sliding mode observer (SMO) has been continuously improved to decrease high-frequency oscillations, eliminating this disadvantage. SMO has been used in many applications for sensorless control of PMSM. To reduce the chattering phenomenon caused by high-frequency switching, a continuous sigmoid function is employed [28]. The SMO used to estimate the rotor position is described below. Using the variable structure technique via sliding modes, the following sliding surface is selected:
S ( X ) = S α ( x ) S β ( x ) = i α ^ i α i β ^ i β = 0 ,
where i α ^ and i β ^ are the estimated currents. Based on the dynamic model equations of the PMSM in the stationary reference frame ( α , β ), and considering the continuous switching function, the sliding mode observer is formulated as follows:
d i α ^ d t = ( R s i α ^ k F ( i α ^ i α ) + v α ) 1 L s ,
d i β ^ d t = ( R s i β ^ k F ( i β ^ i β ) + v β ) 1 L s ,
where k is observer gain, and F is a continuous switching function, defined as
F ( x ) = 2 1 + e a x 1 .
Based on the equivalent control theory of variable structure by sliding modes, the EMF can be calculated as follows:
e α ^ = k F i α ^ i α ,
e β ^ = k F i β ^ i β .
After calculating the estimate of the EMF, the rotor position angle can be obtained using the following expression:
θ ^ = t a n 1 e α ^ / e β ^ .
To analyze the stability of the sliding mode observer and determine the observer gain k and ensure it is asymptotically stable, the following quadratic Lyapunov function is selected:
V = 1 2 S α 2 + S β 2 .
Using the Lyapunov stability theorem, to ensure that the observer is asymptotically stable, the following condition must be satisfied: V ˙ > 0 and V > 0 . By deriving the expression for the previous Lyapunov function, the stability condition is obtained from the following expression:
V ˙ = S α S ˙ α + S β S ˙ β 0 .
Expanding the previous equation makes it easier to define the value of k for the existence of the sliding surface:
V ˙ = R s L s S α 2 + S β 2 + 1 L s e α S α S α k H S α + 1 L s e β S β S β k H S β 0 .
For the SMO to meet the stability condition, k must satisfy the following inequality:
k max e α , e β .
Therefore, k should be selected to be sufficiently large. With the help of the rotor position estimator based on the SMO technique, the development of an observer to estimate the rotor speed is obtained.
The differential equations describing the dynamics of the rotor speed observer (RSO) can be expressed as follows:
d ω ^ d t = l 1 ω m ω ^ m + T e T ^ l J ,
d θ ^ m d t = l 2 θ m θ ^ m + ω ^ r ,
d T ^ l d t = l 3 θ m θ ^ m .
Here l 1 , l 2 , and l 3 , are the gains of the RSO for the PMSM, and ω ^ , θ ^ , and T ^ d are the estimated state variables. With the definition of the rotor position observer (SMO) and the RSO, we have the ability to regulate the position of the PMSM without sensors. The RSO calculates the rotor speed based on the position data estimated by the SMO.
Using Equations (26)–(28), the dynamics of the observer error can be defined as follows:
d e ¯ ω d t = e ¯ ω l 1 + e ¯ T J ,
d θ ¯ m d t = e ¯ θ l 2 + ω ^ r ,
d e ¯ T d t = l 3 e ¯ θ m ,
where e ¯ ω = ω m ω ^ m , e ¯ θ = θ m θ ^ m and e ¯ T = T e T ^ l are the estimation errors of the rotor speed, position, and load torque, respectively. The above system of equations is an asymptotically stable autonomous linear system, with the appropriate choice of the values ( l 1 , l 2 , and l 3 ) making the observer error decay exponentially to zero.
Figure 3 illustrates the block diagram structure of the adaptive observer used for estimating the rotor’s speed and position. The diagram shows that utilizing the voltages u α and u β can partially mitigate the effects of inverter dead time. Consequently, a more precise actual voltage can be obtained from the PMSM, which further enhances the accuracy of rotor position and speed estimation.
A disadvantage that arises when using these two systems is that when the external load torque changes suddenly, the electromagnetic torque responds quickly as well. However, because the dynamic response of the RSO in estimating the speed is slower, this leads to an incorrect estimation of the actual rotor speed. This situation can cause the sensorless closed-loop control scheme to move out of the stability region at that moment. To address this problem, it is proposed that the gains k, l 1 , l 2 , and l 3 , of the SMO and RSO be calculated online to modify their values using an adaptive neural network (B-Spline) with low computational cost and fast response.
In the first block in Figure 3, the NN is used to modify the gain k to adjust the estimate of the back-EMF when the voltages and currents vary in rotary or stationary reference frames. In the last block, the error of the adaptive rotor speed observer is used to adjust the weights of the neural network.

5. PI Controller Design

Figure 4 depicts the block diagram for the sensorless control system to regulate the position of the rotor of a servo mechanism based on a PMSM. The control scheme requires calculating eight initial parameters for four PI controllers and two observers before the implementation of the control scheme. In the bibliography, one will find a large number of tuning analytical techniques to calculate the parameters of the PI controllers, but generally, these methods use a linear model of reduced order concerning the engine plant.
However, in industrial applications that use automatic controllers to regulate the tracking of a trajectory, the dynamic equations of the movement of electromechanical systems are non-linear, so tuning by conventional methods is tedious and difficult. But evolutionary methods can use a mathematical model without any approximation. Optimization methods based on evolutionary algorithms and particle swarm are frequently used to calculate all parameters of many PI controllers simultaneously [13].
In this paper, the Whale Optimization Algorithm (WOA) is used. This method has a very powerful exploration process for searching for variables which improves the convergence in the search for global minima or maxima compared to algorithms based on genetic algorithms or particle swarm. Moreover, the WOA requires fewer parameters for its implementation [37].
The WOA is based on the way that humpback whales hunt fish for food. The process begins when some hungry whales find a shoal of fish and create a barrier of spiral bubbles below them. The bubble barrier below the shoal of fish prevents the fish from escaping and forces them to stay very close to the sea surface. When the fish are in the position that the whales want, the cetaceans only need to pass one by one through the defenseless fishes to secure their feed. In this way, the whales know the location of the fish and can surround and reach them in an easy and precise way. Therefore, the optimal position in the search space is not known a priori. The WOA assumes that the current best candidate solution is the target prey or the one that is close to the optimum. After defining the best search agent, other whales try to update their positions towards the best positions attained. This behavior of the whales is represented by the following equations:
X ( t + 1 ) = X * A · D ,
D = C · X * X ,
where t corresponds to the current iteration, A = 2ar-a and C = 2r are the coefficients of the vectors, and X* is the best solution for the vector of positions obtained up to the previous iteration. If there is a better solution for X* in the current iteration, the vector is updated. The coefficient a decreases from 2 to 0 during the course of the iterations, and r is a vector between 0 and 1 that is obtained randomly. Knowing that humpback whales swim around their prey in a spiral-like trajectory, the model of this behavior assumes that there is a 50% chance of closing the ellipse as a circle or updating the position of the whales in the spiral during the optimization process. The mathematical model that describes the above process can be defined as follows:
X ( t + 1 ) = X * A · D for p 0.5 D · e b l cos ( 2 π l ) + X * for p > 0.5 ,
where b acts as a constant that defines the structure of the spiral, p is a random number between [0, 1], and l is a random number between [−1, 1]. In the exploration phase, the whales search for prey randomly and change their position according to the location of other whales. In this way, A is used with random values higher than 1 or lower than −1 to force the search agent to move as far as possible from the reference whale. In contrast to the exploitation phase, the position of the search agent is updated randomly instead of the best search found so far. This mechanism, and making |A|>1, emphasizes the scan, allowing the whale algorithm to execute a global search. The exploration phase mathematical model is as follows:
X ( t + 1 ) = X r a n d A · D ,
D = C · X r a n d X ,
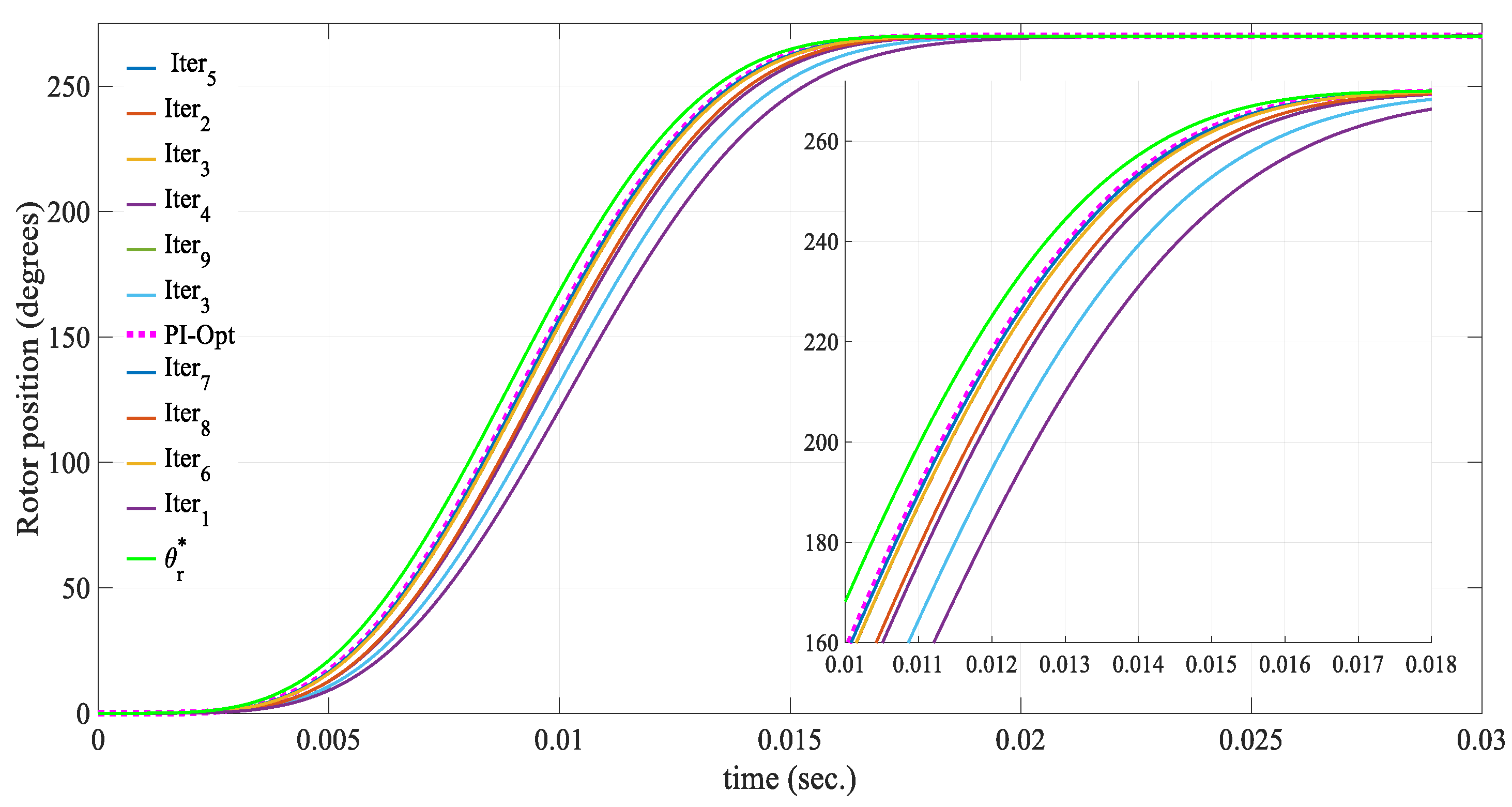
where X r a n d is a vector of random positions (a random whale) selected from the actual population. The parameters recommended by Mirjalili [37], which are required by the WOA, to find the set of optimal coefficients of the optimized sensorless PI controller (SPI-Opt) controller are as follows: (a) 50 iterations; (b) b = 2; and (c) 7 search agents. Table 1 displays the simulation coefficients and the nominal parameters considered in the mathematical model of the PMSM. Figure 5 shows the different dynamic responses of the rotor position with different coefficients ( k p θ , k i θ , k p ω , k i ω , k p i q , k i i q , k p i d , k i i d , k, l 1 , l 2 , and l 3 ) during the offline WOA search iterations to find the best parameters for the sensorless PI-Opt. controller.
Figure 5 shows the dynamic response to the tracking of the desired trajectory vs. the position rotor obtained with the best parameters of the sensorless PI-Opt. controller (pink dotted line). This solution has a delay time of 0.003 s, for which this parameters are considered optimal.

6. Simulation Results

The proposed control scheme (SNCPI) and the SPI-Opt are implemented in Matlab/Simulink 9.1. The integral of the squared error (ISE) is used as a performance criterion to optimize the control scheme based on a SPI-Opt using the OAW. The optimized parameters for the SPI position controller are k p θ = 48.34 and k i θ = 82.17 ; for the speed controller, they are k p ω = 0.83 and k i ω = 13.25 ; for the current controller, i q is k p i q = 22.92 , k i i q = 12.892 ; for the current controller, i d is k p i d = 11.23 , k i i d = 3.92 ; and for SMO and RSO, l 1 = 550 , l 2 = 890 , l 3 = 42 , and k = 200 , respectively. The optimized hidden layer weights for the SNCPI driver are 113.95 ; 181.0 ; 9.10 and the initial output layer weights are 19.5 ; 1.10 ; 5.07 . The performance of the SPI-Opt controller and the SNCPI controller is evaluated based on two criteria: (i) desired path tracking; and (ii) path tracking control assessed by the integral of the absolute value of the error (IAE), the integral of the squared error (ISE), and the mean squared error (MSE). In order to know the performance of the two controllers (SNCPI and SPI-Opt) in the task of following a desired trajectory, ± π step changes will be programmed to modify the reference value in the rotor axis of the PMSM. The robustness of the SNCPI and SPI-Opt controllers is investigated under parametric uncertainty and external load disturbances, considering three different operating conditions, which are described in Table 2.

6.1. Case 1 (Nominal Parameters with Constant Load Torque)

The results of the simulations of the SNCPI and SPI-Opt used to analyze the dynamic response to rotor position trajectory tracking under nominal conditions and constant load torque T l = 2 Nm are shown in Figure 6 and Figure 7. The SNCPI response is faster and more accurate compared with the SPI-Opt controller. The ISE (0.00049) and the IAE (0.0028) are lower for the SNCPI compared with the SPI-Opt controller, as shown in Table 3.
Figure 8 shows the dynamic performance of the SNCPI and SPI-OPt rotor position estimation when the PMSM is working under nominal operating conditions, as described in Case 1. The figure shows that both sensorless control schemes can track the change in the desired rotor position, but the SPI-OPt response has a longer delay and consequently a larger error in the position estimation than the SNCPI. However, further analyzing waveforms in Figure 8, it can be observed that the waveform of the position estimated by the two observers are able to update the desired path position of the PMSM correctly, which is used to calculate e θ , as shown in Figure 1 and Figure 4.
To validate the comparison of the computational cost of the two different methods (SNCPI and SPI-Opt), the function tic-toc in MATLAB is used to measure the execution time. The impact of the computation time for the two controllers in Case 1 are SNCPI = 5.17 s. and SPI-Opt = 2.41 s.

6.2. Case 2 (Variable Load Torque T l ± 2 Nm, 1.5Ld = 1.5Lq, and J = 2J)

In this case, the moment of inertia increases by 200% the nominal value, while the inductances increase by 50%. The graph of the simulation for the tracking of the trajectory for the SNCPI and SPI-Opt are shown in Figure 6. The results clearly show that the SNCPI performs better under the parametric variations of Case 2. As can be seen in the Table 3, the ISE and the IAE of the SPI-Opt is higher by 17.91% and 35.71%, respectively, in relation to the SNCPI controller.

6.3. Case 3 (Variable Load Torque 0–4 Nm, 2Ld = 2Lq, 2Rs, 3J and B = 2B)

The effect of the variation of the coefficient of viscous friction is smaller on the SNCPI compared to the SPI-Opt controller because the error percentage increases significantly in the indices from IAE, ISE, and MSE, as shown in Table 3.
Figure 9 shows the IAE results of tracking the desired trajectory for the three different operating conditions of the SNCPI and the SPI-Opt controller. In the figure, it can be seen that the accumulated error of the traditional controller optimized by the AOB is always greater than the SNCPI.
Figure 10 shows the estimation performance of the adaptive observer (SNCPI) and the traditional SMO (SPI-Opt) when there are variations in the parameters and variations in the load torque in the PMSM, as described for Case 3. In the numerical results, the reference position is changed from ± π rad, and the load torque is 2 c o s ( 3 t ) + 2 N·m. The error tracking signal between the estimated and reference angle can be observed in Figure 7. In Figure 10, it can be observed that both observers converge to the desired position when internal and external variations are present, but the SNCPI presents errors between 0.27° and 0.45°, with a maximum overshoot of 0.83°. In contrast, the SPI-Opt presents a maximum overshoot of 1.9° with errors between 0.55° and 0.88°, which affects the performance of the entire closed-loop control scheme, as shown in Figure 6 and Table 3.
For Case 3, the computational costs of the two control schemes are SNCPI: 5.83 s; SPI-Opt 2.91 s.
From the analysis of dynamic performance to the rotor position trajectory tracking response, it can be seen that parametric variation and external disturbances have little influence on the proposed adaptive sensorless control system, which shows that the closed-loop control scheme has excellent robustness. The results show that the position controller has the ability to adapt and compensate for variations in the desired motor position and load torque. The controller demonstrates that only initial offline training is needed for certain operating conditions, and by updating the weights and the shape of the base functions, it effectively adapts to changes in the original design while maintaining excellent performance.

7. Conclusions

In this work, a novel SNCPI algorithm and its application in position control drive is shown. The results of the implementation demonstrate that the SNCPI scheme is robust and can modify the controller and observer parameters online to reject perturbations when there is a variation in the working condition of the PMSM. The proposed controller exhibits strong performance in accurately following a desired rotor position trajectory in closed-loop operation, even in the presence of endogenous and exogenous disturbances caused by load torque and PMSM parameter variations. Simulation results validate the effectiveness of the SNCPI approach under highly demanding motor operating conditions, successfully handling variable position reference paths and completely unknown load torque.

Author Contributions

Conceptualization, O.A.-M. and A.V.-G.; methodology, O.A.-M. and A.V.-G.; software, N.H.-R., J.C.S.-T.-M. and H.M.-P.; validation, N.H.-R. and J.C.S.-T.-M.; formal analysis, J.C.H.-O. and N.H.-R.; investigation, J.C.H.-O. and N.H.-R.; resources, H.M.-P. and O.A.-M. data curation, O.A.-M.; writing—original draft preparation, O.A.-M.; supervision, O.A.-M. and A.V.-G.; project administration, O.A.-M. and A.V.-G.; funding acquisition, A.V.-G. All authors have read and agreed to the published version of the manuscript.

Funding

This work was supported by Universidad Panamericana through the Fondo Fomento a la Investigación UP 2024 under Project UP-CI-2024-GDL-10-ING, as well as by the Autonomous University of Hidalgo (UAEH) and the National Council for Humanities, Science and Technology (CONAHCYT) with project number F003-320109.

Informed Consent Statement

Not applicable.

Data Availability Statement

The raw data supporting the conclusions of this article will be made available by the authors on request.

Acknowledgments

The authors gratefully acknowledge the support of Universidad Panamericana, Campus Guadalajara. Additionally, the authors from UAEH extend their gratitude to the National Council for Humanities, Science, and Technology (CONAHCYT) for the financial support provided during their graduate studies, which has been instrumental in the completion of this research.

Conflicts of Interest

The authors declare no conflicts of interest.

References

  1. Liu, X.; Deng, Y.; Li, H.; Cao, H.; Sun, Z.; Yang, T. Composite control based on FNTSMC and adaptive neural network for PMSM system. ISA Trans. 2024, 151, 198–211. [Google Scholar] [CrossRef] [PubMed]
  2. Liu, H.; Niu, W.; Guo, Y. Direct torque control for PMSM based on the RBFNN surrogate model of electromagnetic torque and stator flux linkage. Control Eng. Pract. 2024, 148, 105943. [Google Scholar] [CrossRef]
  3. Wang, H.; Xu, S.; Hu, H. PID Controller for PMSM Speed Control Based on Improved Quantum Genetic Algorithm Optimization. IEEE Access 2023, 11, 61091–61102. [Google Scholar] [CrossRef]
  4. Soundirarrajan, N.; Srinivasan, K. Performance Evaluation of Ant Lion Optimizer-Based PID Controller for Speed Control of PMSM. J. Test. Eval. 2021, 49, 1104–1118. [Google Scholar] [CrossRef]
  5. Zhang, W.; Cao, B.; Nan, N.; Li, M.; Chen, Y. An adaptive PID-type sliding mode learning compensation of torque ripple in PMSM position servo systems towards energy efficiency. ISA Trans. 2021, 110, 258–270. [Google Scholar] [CrossRef]
  6. Sarsembayev, B.; Suleimenov, K.; Do, T.D. High order disturbance observer based PI-PI control system with tracking anti-windup technique for improvement of transient performance of PMSM. IEEE Access 2021, 9, 66323–66334. [Google Scholar] [CrossRef]
  7. Huang, M.; Deng, Y.; Li, H.; Wang, J. Torque Ripple Suppression of PMSM Using Fractional-Order Vector Resonant and Robust Internal Model Control. IEEE Trans. Transp. Electrif. 2021, 7, 1437–1453. [Google Scholar] [CrossRef]
  8. Zhang, R.; Yin, Z.; Du, N.; Liu, J.; Tong, X. Robust adaptive current control of a 1.2-MW direct-drive PMSM for traction drives based on internal model control with disturbance observer. IEEE Trans. Transp. Electrif. 2021, 7, 1466–1481. [Google Scholar] [CrossRef]
  9. Xia, J.; Li, Z.; Yu, D.; Guo, Y.; Zhang, X. Robust speed and current control with parametric adaptation for surface-mounted PMSM considering system perturbations. IEEE J. Emerg. Sel. Top. Power Electron. 2020, 9, 2807–2817. [Google Scholar] [CrossRef]
  10. Lin, X.; Zhang, B.; Fang, S.; Xu, R.; Guo, S.; Liu, J. Adaptive generalized super twisting sliding mode control for PMSMs with filtered high-gain observer. ISA Trans. 2023, 138, 639–649. [Google Scholar] [CrossRef]
  11. Peng, J.; Yao, M. Overview of Predictive Control Technology for Permanent Magnet Synchronous Motor Systems. Appl. Sci. 2023, 13, 6255. [Google Scholar] [CrossRef]
  12. Shanthi, R.; Kalyani, S.; Devie, P. Design and performance analysis of adaptive neuro-fuzzy controller for speed control of permanent magnet synchronous motor drive. Soft Comput. 2021, 25, 1519–1533. [Google Scholar] [CrossRef]
  13. Templos-Santos, J.L.; Aguilar-Mejia, O.; Peralta-Sanchez, E.; Sosa-Cortez, R. Parameter tuning of PI control for speed regulation of a PMSM using bio-inspired algorithms. Algorithms 2019, 12, 54. [Google Scholar] [CrossRef]
  14. Tapia-Olvera, R.; Valderrabano-Gonzalez, A.; Beltran-Carbajal, F. Efficient Adaptive Regulation Strategy for Control Position of Induction Motors. IEEE Access 2024, 12, 38512–38524. [Google Scholar] [CrossRef]
  15. Khanh, P.Q.; Anh, H.P.H. Advanced PMSM speed control using fuzzy PI method for hybrid power control technique. Ain Shams Eng. J. 2023, 14, 102222. [Google Scholar] [CrossRef]
  16. Li, H.; Song, B.; Chen, T.; Xie, Y.; Zhou, X. Adaptive fuzzy PI controller for permanent magnet synchronous motor drive based on predictive functional control. J. Frankl. Inst. 2021, 358, 7333–7364. [Google Scholar] [CrossRef]
  17. Escorcia-Hernández, J.M.; Aguilar-Sierra, H.; Aguilar-Mejia, O.; Chemori, A.; Arroyo-Núñez, J.H. A new adaptive rise feedforward approach based on associative memory neural networks for the control of pkms. J. Intell. Robot. Syst. 2020, 100, 827–847. [Google Scholar] [CrossRef]
  18. Zhu, N.; Gao, X.T.; Huang, C.Q. A data-driven approach for on-line auto-tuning of minimum variance PID controller. ISA Trans. 2022, 130, 325–342. [Google Scholar] [CrossRef]
  19. Zuo, Y.; Lai, C.; Iyer, K.L.V. A Review of Sliding Mode Observer Based Sensorless Control Methods for PMSM Drive. IEEE Trans. Power Electron. 2023, 38, 11352–11367. [Google Scholar] [CrossRef]
  20. Liu, J.; Zhang, Y. Performance Improvement of Nonlinear Flux Observer for Sensorless Control of PMSM. IEEE Trans. Ind. Electron. 2023, 70, 12014–12023. [Google Scholar] [CrossRef]
  21. Teymoori, V.; Kamper, M.; Wang, R.J.; Kennel, R. Sensorless Control of Dual Three-Phase Permanent Magnet Synchronous Machines—A Review. Energies 2023, 16, 1326. [Google Scholar] [CrossRef]
  22. Ge, Y.; Yang, L.; Ma, X. Sensorless control of PMSM using generalized extended state observer and adaptive resistance estimation. IET Electr. Power Appl. 2020, 14, 2062–2073. [Google Scholar] [CrossRef]
  23. Woldegiorgis, A.T.; Ge, X.; Wang, H.; Hassan, M. A New Frequency Adaptive Second-Order Disturbance Observer for Sensorless Vector Control of Interior Permanent Magnet Synchronous Motor. IEEE Trans. Ind. Electron. 2021, 68, 11847–11857. [Google Scholar] [CrossRef]
  24. Shan, D.; Wang, D.; He, D.; Zhang, P. Position Sensorless Vector Control System for Lawnmower Permanent Magnet Synchronous Motor Based on Extended Kalman Filter. Energies 2024, 17, 1230. [Google Scholar] [CrossRef]
  25. Boztas, G.; Aydogmus, O. Implementation of sensorless speed control of synchronous reluctance motor using extended Kalman filter. Eng. Sci. Technol. Int. J. 2022, 31, 101066. [Google Scholar] [CrossRef]
  26. Prabhakaran, K.K.; Karthikeyan, A. Electromagnetic Torque-Based Model Reference Adaptive System Speed Estimator for Sensorless Surface Mount Permanent Magnet Synchronous Motor Drive. IEEE Trans. Ind. Electron. 2020, 67, 5936–5947. [Google Scholar] [CrossRef]
  27. Demir, R. Speed-sensorless Predictive Current Controlled PMSM Drive With Adaptive Filtering-based MRAS Speed Estimators. Int. J. Control. Autom. Syst. 2023, 21, 2577–2586. [Google Scholar] [CrossRef]
  28. Ren, N. Sensorless PMSM Control with Sliding Mode Observer Based on Sigmoid Function. J. Electr. Eng. Technol. 2021, 130, 933–939. [Google Scholar] [CrossRef]
  29. Zhang, L.; Bai, J.; Wu, J. Speed Sensor-Less Control System of Surface-Mounted Permanent Magnet Synchronous Motor Based on Adaptive Feedback Gain Supertwisting Sliding Mode Observer. J. Sens. 2021, 2021, 8301359. [Google Scholar] [CrossRef]
  30. Haitham Abu-Rub, A.I.; Guzinski, J. High Performance Control of AC Drives with Matlab/Simulink; Wiley: Chichester, UK, 2022. [Google Scholar]
  31. Vaez-Zadeh, S. Control of Permanent Magnet Synchronous Motors; Oxford University Press: Oxford, UK, 2018. [Google Scholar]
  32. Krishnank, R. Permanent Magnet Synchronous and Brushless DC Motor Drives; CRC Press: Boca Raton, FL, USA, 2010. [Google Scholar]
  33. Aguilar-Mejia, O.; Minor-Popocatl, H.; Pacheco-Garcia, P.F.; Tapia-Olvera, R. Neuroadaptive Robust Speed Control for PMSM Servo Drives with Rotor Failure. Appl. Sci. 2021, 11, 11090. [Google Scholar] [CrossRef]
  34. Zeng, G.Q.; Xie, X.Q.; Chen, M.R.; Weng, J. Adaptive population extremal optimization-based PID neural network for multivariable nonlinear control systems. Swarm Evol. Comput. 2019, 44, 320–334. [Google Scholar] [CrossRef]
  35. Beltran-Carbajal, F.; Tapia-Olvera, R.; Aguilar-Mejia, O.; Favela-Contreras, A.; Lopez-Garcia, I. An online algebraic estimation approach of parameters and variable mechanical torque in shunt DC motors. Int. Trans. Electr. Energy Syst. 2018, 28, e2474. [Google Scholar] [CrossRef]
  36. Tapia, R.; Aguilar-Mejia, O.; Minor-Popocatl, H.; Santiago, C. Power System Stabilizer and Secondary Voltage Regulator Tuning for Multi-machine Power Systems. Electr. Power Components Syst. 2012, 40, 1751–1767. [Google Scholar] [CrossRef]
  37. Mirjalili, S.; Lewis, A. The Whale Optimization Algorithm. Adv. Eng. Softw. 2016, 95, 51–67. [Google Scholar] [CrossRef]
Figure 1. Control scheme to regulate the position of the PMSM with sensorless NCPI.
Figure 1. Control scheme to regulate the position of the PMSM with sensorless NCPI.
Energies 17 05477 g001
Figure 2. Structure of the BSNN used for the NCPI.
Figure 2. Structure of the BSNN used for the NCPI.
Energies 17 05477 g002
Figure 3. Block diagram of structure diagram of adaptive sliding mode observer.
Figure 3. Block diagram of structure diagram of adaptive sliding mode observer.
Energies 17 05477 g003
Figure 4. Block diagram of the control scheme to regulate the position of the PMSM regulated by an optimized sensorless PI controller.
Figure 4. Block diagram of the control scheme to regulate the position of the PMSM regulated by an optimized sensorless PI controller.
Energies 17 05477 g004
Figure 5. Iterations of the WOA to calculate the parameters of the SPI-Opt controller.
Figure 5. Iterations of the WOA to calculate the parameters of the SPI-Opt controller.
Energies 17 05477 g005
Figure 6. Dynamic response of SNCPI and SPI-OPt controller following a reference path.
Figure 6. Dynamic response of SNCPI and SPI-OPt controller following a reference path.
Energies 17 05477 g006
Figure 7. Error signal from SNCPI and SPI-Opt controllers.
Figure 7. Error signal from SNCPI and SPI-Opt controllers.
Energies 17 05477 g007
Figure 8. Rotor position estimation performance comparison between the SNCPI and SPI-OPt, for the case 1.
Figure 8. Rotor position estimation performance comparison between the SNCPI and SPI-OPt, for the case 1.
Energies 17 05477 g008
Figure 9. IAE of the SNCPI and SPI-Opt controllers of the follow-up of a desired trajectory for the three operating conditions.
Figure 9. IAE of the SNCPI and SPI-Opt controllers of the follow-up of a desired trajectory for the three operating conditions.
Energies 17 05477 g009
Figure 10. Dynamic response of observador para el caso 3.
Figure 10. Dynamic response of observador para el caso 3.
Energies 17 05477 g010
Table 1. Nominal parameters PMSM.
Table 1. Nominal parameters PMSM.
Motor CharacteristicsSymbolValue
Inertia momentJ3.5 × 10−5 Nm
Rated speed ω r 1800 rpm
Nominal voltagev220 volts
Coefficient of viscous frictionB1 × 10−4 Nms
Stator resistance R s 2.6   Ω
Stator inductance d L d 6.73 mH
Rated current 3.5 amp
Rated load torque T l 4 Nm
Stator inductance q L q 6.73 mH
Stator dispersion inductance L l s 0.1 L q
Magnetic flux λ m 0.319 Wb
Pole pairs n p 2
Rated power 1 Hp
Table 2. Parameter uncertainty and external load disturbances for three cases.
Table 2. Parameter uncertainty and external load disturbances for three cases.
ParametersStator Inductance
L d , L q
Stator Resistance
R s
Inertia Moment
J
Viscous Friction
B
Load Torque
T l
Case 1 L d = L q R s JB1
Case 2 1.5 ( L d = L q ) R s 2 J B0–2
Case 3 2 ( L d = L q ) 2 R s 3 J 2 B 0–4
Table 3. Performance comparison of SNCPI controller and SPI-Opt controller.
Table 3. Performance comparison of SNCPI controller and SPI-Opt controller.
IAEISEMSE
Case NumberSNCPISPI-Opt.SNCPISPI-Opt.SNCPISPI-Opt.
Case 10.00280.00790.000490.00380.01410.0391
Case 20.00290.00670.00550.00280.01490.0336
Case 30.00530.01410.001190.00990.03010.0789
Disclaimer/Publisher’s Note: The statements, opinions and data contained in all publications are solely those of the individual author(s) and contributor(s) and not of MDPI and/or the editor(s). MDPI and/or the editor(s) disclaim responsibility for any injury to people or property resulting from any ideas, methods, instructions or products referred to in the content.

Share and Cite

MDPI and ACS Style

Aguilar-Mejia, O.; Valderrabano-Gonzalez, A.; Hernández-Romero, N.; Seck-Tuoh-Mora, J.C.; Hernandez-Ochoa, J.C.; Minor-Popocatl, H. A Neuroadaptive Position-Sensorless Robust Control for Permanent Magnet Synchronous Motor Drive System with Uncertain Disturbance. Energies 2024, 17, 5477. https://doi.org/10.3390/en17215477

AMA Style

Aguilar-Mejia O, Valderrabano-Gonzalez A, Hernández-Romero N, Seck-Tuoh-Mora JC, Hernandez-Ochoa JC, Minor-Popocatl H. A Neuroadaptive Position-Sensorless Robust Control for Permanent Magnet Synchronous Motor Drive System with Uncertain Disturbance. Energies. 2024; 17(21):5477. https://doi.org/10.3390/en17215477

Chicago/Turabian Style

Aguilar-Mejia, Omar, Antonio Valderrabano-Gonzalez, Norberto Hernández-Romero, Juan Carlos Seck-Tuoh-Mora, Julio Cesar Hernandez-Ochoa, and Hertwin Minor-Popocatl. 2024. "A Neuroadaptive Position-Sensorless Robust Control for Permanent Magnet Synchronous Motor Drive System with Uncertain Disturbance" Energies 17, no. 21: 5477. https://doi.org/10.3390/en17215477

APA Style

Aguilar-Mejia, O., Valderrabano-Gonzalez, A., Hernández-Romero, N., Seck-Tuoh-Mora, J. C., Hernandez-Ochoa, J. C., & Minor-Popocatl, H. (2024). A Neuroadaptive Position-Sensorless Robust Control for Permanent Magnet Synchronous Motor Drive System with Uncertain Disturbance. Energies, 17(21), 5477. https://doi.org/10.3390/en17215477

Note that from the first issue of 2016, this journal uses article numbers instead of page numbers. See further details here.

Article Metrics

Back to TopTop