Thermal–Hydraulic Performance Analysis of Combined Heat Sink with Open Microchannels and Embedded Pin Fins
Abstract
1. Introduction
2. Model Establishment
2.1. Physical Model
2.2. Numerical Model and Solution
3. Evaluation Indicators
4. Results and Discussion
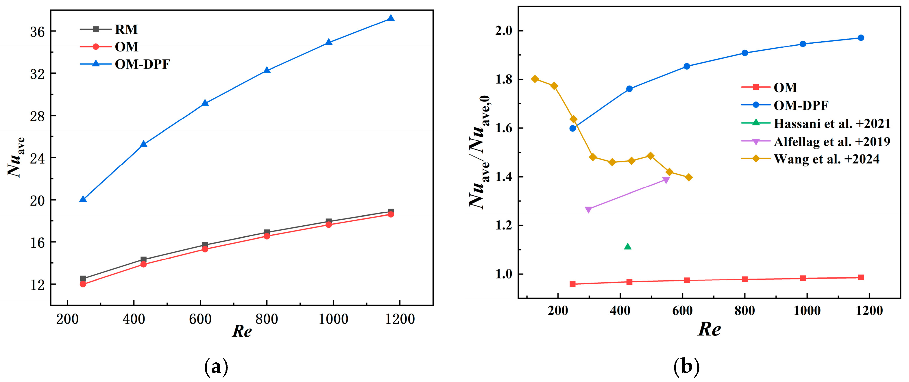
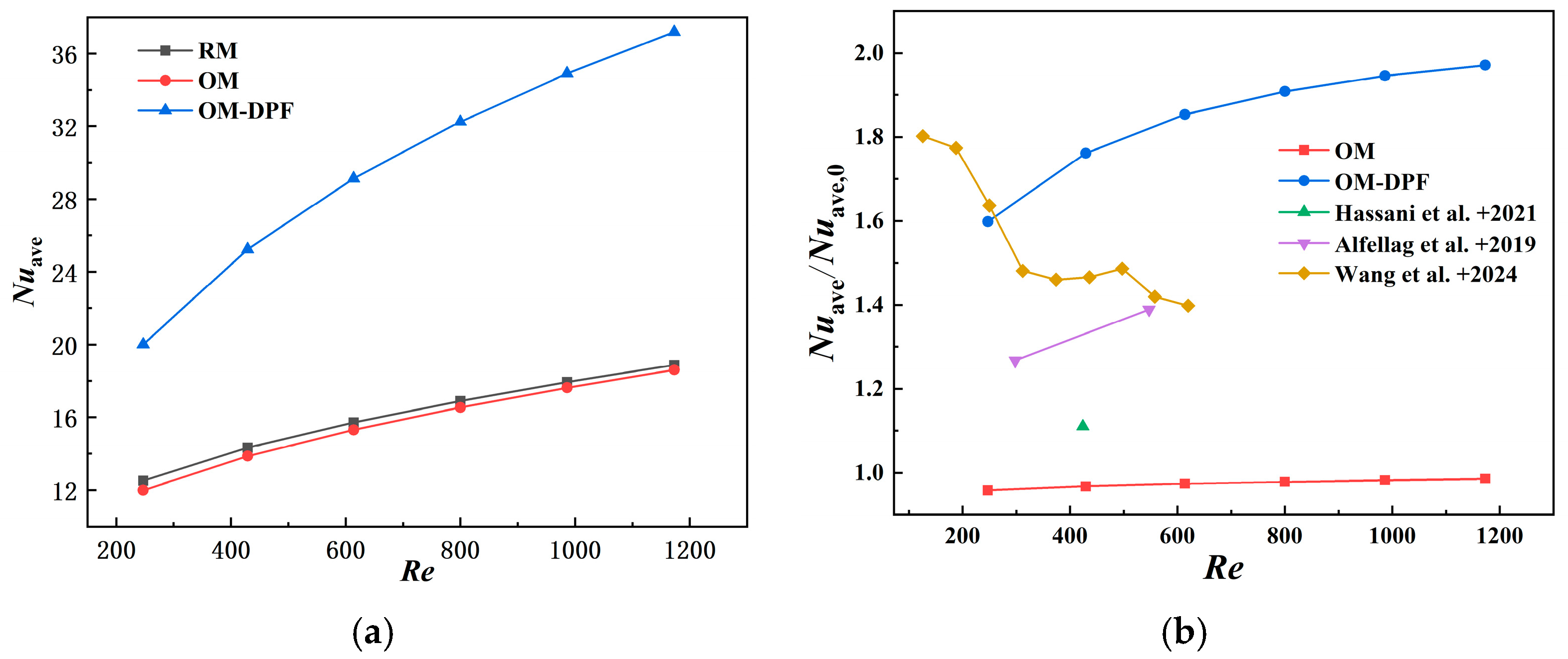
4.1. Method Validation
4.2. Hydraulic and Thermal Characteristics
4.3. Entropy Production Characteristics
4.4. Overall Efficiency
5. Conclusions
- (1)
- The temperature control and heat transfer abilities of the novel structure are dramatically increased due to the redistribution of the flow and temperature fields, effective chaotic mixing, and the destruction of the boundary layer. When Re = 1173, the mean and maximal temperatures of the OM-DPF are reduced by 7.7 °C (21.5%) and 10.6 °C (26%), respectively, compared with the traditional structure (RM); meanwhile, the Nusselt number is 1.97 times that of the RM. Compared to the open microchannels (OMs), the closed structure with pin fins, and the combined structures with cavities and fins, the novel combined design presents superior heat rejection capability. Compared to the closed structure with fins, the friction loss in the OM-DPF is reduced.
- (2)
- The blocking and flow disturbance of the pin fins are decisive factors influencing the irreversible loss of friction. Due to the coupling of tip clearance and diamond fins, the heat transfer irreversibility of the OM-DPF is reduced by 56.39% and 54.1%, respectively, compared with the RM and OM. The OM-DPF obtains the lowest total entropy production when Ns,a = 0.52 and Re = 429. For the OM, the heat transfer irreversible loss is the lowest when Re = 1173, with a reduction of 5% compared to the RM. Furthermore, the OM presents the best thermodynamic capability when Ns,a = 0.96 and Re = 1173 because of the friction loss reduction.
- (3)
- Compared with the OM and the closed structure with fins detailed in existing research, the TPI of the OM-DPF is increased by 14.56% and 40.32%. For certain pump powers, the total thermal resistances of the OM-DPF are 23.77% and 21.19%, respectively, lower than those of the RM and OM. For a similar thermal resistance, the pump powers of the composite structure are 63.64% and 42.86% smaller, respectively, than those of the RM and OM.
- (1)
- Parameter sensitivity analysis and structural optimization will be conducted in our next study. The importance of the geometric parameters, such as shape, dimension and the arrangement of the pin fin, will be revealed. The optimal combined parameters will be obtained via multi-objective optimization.
- (2)
- Using the porous media is considered to be a promising method for electronic device cooling. The heat sink with a porous structure will be introduced in our next study. The influence of the distribution and porosity of the porous media on the hydrothermal performance will be studied in depth.
- (3)
- As a cooling medium with high thermal conductivity, nanofluids have attracted much attention in the field of enhanced heat transfer. The thermal and hydraulic characteristics of the hybrid nanofluids in the novel combined heat sink will be further analyzed both numerically and experimentally in the future.
Author Contributions
Funding
Data Availability Statement
Conflicts of Interest
Nomenclature
| A | area [m2] |
| cp | specific heat capacity [J/(kg·K)] |
| Dh | hydrodynamic diameter [m] |
| f | friction factor [-] |
| Gz | Glaz number [-] |
| h | heat transfer coefficient [W/(m2·K)] |
| Kn | Knudsen number [-] |
| L | length [m] |
| Nu | Nusselt number [-] |
| Ns,a | ratio of total entropy production [-] |
| Δp | pressure drop [Pa] |
| P | perimeter [m] |
| Po | Poiseuille number [-] |
| Pp | pump power [W] |
| qb | heat flux per area [W/m2] |
| Qv | volume flow rate [m3/s] |
| r | ratio of channel width to height [-] |
| Rth | thermal resistance [K/W] |
| Re | Reynolds number [-] |
| friction entropy production [W/K] | |
| heat transfer entropy production [W/K] | |
| T | temperature [K] |
| TPI | total performance index [-] |
| Greek symbols | |
| λ | thermal conductivity [W/(m·K)] |
| Λ | mean free path of molecules [m] |
| μ | dynamic viscosity [Pa·s] |
| ρ | density [kg/m3] |
| Subscript | |
| ave | average |
| b | bottom |
| ch | microchannel |
| f | fluid |
| in | inlet |
| max | maximum |
| s | solid |
| tot | total |
| 0 | RM |
References
- Khattak, Z.; Ali, H.M. Air cooled heat sink geometries subjected to forced flow: A critical review. Int. J. Heat Mass Transf. 2019, 130, 141–161. [Google Scholar] [CrossRef]
- Bhandari, P.; Rawat, K.S.; Prajapati, Y.K.; Padalia, D.; Ranakoti, L.; Singh, T. Design modifications in micro pin fin configuration of microchannel heat sink for single phase liquid flow: A review. J. Energy Storage 2023, 66, 107548. [Google Scholar] [CrossRef]
- Tuckerman, D.B.; Pease, R.F.W. High-performance heat sinking for VLSI. IEEE Electron Device Lett. 1981, 2, 126–129. [Google Scholar] [CrossRef]
- He, Z.Q.; Yan, Y.F.; Zhang, Z.E. Thermal management and temperature uniformity enhancement of electronic devices by micro heat sinks: A review. Energy 2021, 216, 119223. [Google Scholar] [CrossRef]
- Sadique, H.; Murtaza, Q. Samsher Heat transfer augmentation in microchannel heat sink using secondary flows: A review. Int. J. Heat Mass Transf. 2022, 194, 123063. [Google Scholar] [CrossRef]
- Moradikazerouni, A. Heat transfer characteristics of thermal energy storage system using single and multi-phase cooled heat sinks: A review. J. Energy Storage 2022, 49, 104097. [Google Scholar] [CrossRef]
- Tang, K.; Lin, G.P.; Guo, Y.D.; Huang, J.; Zhang, H.; Miao, J. Simulation and optimization of thermal performance in diverging/converging manifold microchannel heat sink. Int. J. Heat Mass Transf. 2023, 200, 123495. [Google Scholar] [CrossRef]
- Savino, S.; Nonino, C. Thermal Performance Improvementof Cross-Flow Double-Layered Microchannel Heat Sinks through Proper Header Design. Energies 2024, 17, 3790. [Google Scholar] [CrossRef]
- Xia, Y.; Chen, L.; Luo, J.W.; Tao, W. Numerical investigation of microchannel heat sinks with different inlets and outlets based on topology optimization. Appl. Energy 2023, 330, 120335. [Google Scholar] [CrossRef]
- Xia, G.D.; Jiang, J.; Wang, J.; Zhai, Y.; Ma, D. Effects of different geometric structures on fluid flow and heat transfer performance in microchannel heat sinks. Int. J. Heat Mass Transf. 2015, 80, 439–447. [Google Scholar] [CrossRef]
- Chai, L.; Xia, G.D.; Wang, H.S. Numerical study of laminar flow and heat transfer in microchannel heat sink with offset ribs on sidewalls. Appl. Therm. Eng. 2016, 92, 32–41. [Google Scholar] [CrossRef]
- Li, P.; Fu, W.; Zhang, K.; Li, Q.; Zhang, Y.; Li, Y.; Wang, Z.; Hou, X.; Sun, Y.; Wei, W. Effect of Channel Shape on Heat Transfer and Mechanical Properties of Supercritical CO2 Microchannel Heat Exchanger. Energies 2024, 17, 3774. [Google Scholar] [CrossRef]
- Zhang, F.R.; Wu, B.; Du, B.L. Heat transfer optimization based on finned microchannel heat sink. Int. J. Therm. Sci. 2022, 172, 107357. [Google Scholar] [CrossRef]
- Pan, Y.H.; Zhao, R.; Nian, Y.L.; Cheng, W.L. Numerical study on heat transfer characteristics of a pin-fin staggered manifold microchannel heat sink. Appl. Therm. Eng. 2023, 219, 119436. [Google Scholar] [CrossRef]
- Lu, Z.J.; Li, M.J.; Yang, C.L.; Cheng, X.; Zhang, J. Experimental and numerical study on the heat transfer and flow characteristics of micro-gap chip with longitudinal vortex generator array. Case Stud. Therm. Eng. 2023, 45, 102979. [Google Scholar] [CrossRef]
- He, W.; Wang, Z.X.; Li, J.Q.; Li, Q. Investigation of heat transfer performance for through-silicon via embedded in micro pin fins in 3D integrated chips. Int. J. Heat Mass Transf. 2023, 214, 124442. [Google Scholar] [CrossRef]
- Li, C.Q.; Li, X.B.; Huang, H.Y.; Zheng, Y. Hydrothermal performance analysis of microchannel heat sink with embedded module with ribs and pin-fins. Appl. Therm. Eng. 2023, 225, 120167. [Google Scholar] [CrossRef]
- Wang, G.L.; Wang, Z.C.; Lai, L.Y.; Xie, D.; Zhu, Y.; Ding, G.; Xu, Q. Experimental and numerical investigation of hydrothermal performance of a microchannel heat sink with pin fins. Case Stud. Therm. Eng. 2024, 60, 104631. [Google Scholar] [CrossRef]
- Ma, A.X.; Wei, J.J.; Yuan, M.Z.; Fang, J. Enhanced flow boiling heat transfer of FC-72 on micro-pin-finned surfaces. Int. J. Heat Mass Transf. 2009, 52, 2925–2931. [Google Scholar] [CrossRef]
- Wan, W.; Deng, D.X.; Huang, Q.S.; Zeng, T.; Huang, Y. Experimental study and optimization of pin fin shapes in flow boiling of micro pin fin heat sinks. Appl. Therm. Eng. 2017, 114, 436–449. [Google Scholar] [CrossRef]
- Yang, D.W.; Wang, Y.; Ding, G.F.; Jin, Z.; Zhao, J.; Wang, G. Numerical and experimental analysis of cooling performance of single-phase array microchannel heat sinks with different pin-fin configurations. Appl. Therm. Eng. 2017, 112, 1547–1556. [Google Scholar] [CrossRef]
- Wang, J.L.; Qi, S.H.; Xu, Z.H.; Xu, Y. Experimental investigation of the thermal-hydraulic characteristics of liquid cooling heat sinks with novel pin fins. Case Stud. Therm. Eng. 2024, 55, 104172. [Google Scholar] [CrossRef]
- Li, Y.F.; Xia, G.D.; Ma, D.D.; Jia, Y.; Wang, J. Characteristics of laminar flow and heat transfer in microchannel heat sink with triangular cavities and rectangular ribs. Int. J. Heat Mass Transf. 2016, 98, 17–28. [Google Scholar] [CrossRef]
- Li, Y.F.; Yang, B.; Wang, Z.P.; Guo, Q. Investigation on the thermal and hydraulic characteristics of the micro heat sinks with grooves and pin fins by Taguchi-based sensitivity analysis. Appl. Therm. Eng. 2024, 249, 123454. [Google Scholar] [CrossRef]
- Khetib, Y.; Sedraoui, K.; Gari, A. Numerical study of the effects of pin geometry and configuration in micro-pin-fin heat sinks for turbulent flows. Case Stud. Therm. Eng. 2021, 27, 101243. [Google Scholar] [CrossRef]
- Duan, Z.J.; Xie, G.N.; Yu, B.; Jin, P. Multi-objective topology optimization and thermal performance of liquid-cooled microchannel heat sinks with pin fins. Case Stud. Therm. Eng. 2023, 49, 103178. [Google Scholar] [CrossRef]
- Chiu, H.C.; Youh, M.J.; Hsieh, R.H.; Jang, J.-H.; Kumar, B. Numerical investigation on the temperature uniformity of micro-pin-fin heat sinks with variable density arrangement. Case Stud. Therm. Eng. 2023, 44, 102853. [Google Scholar] [CrossRef]
- Yaseen, S.J.; Radhi, Z.K.; Natoosh, R.L.; Al-Sabur, R.; Homod, R.Z.; Mohammed, H.I. A computational search for the optimal microelectronic heat sink using ANSYS Icepak. Int. J. Thermofluids 2024, 23, 100759. [Google Scholar] [CrossRef]
- Gao, W.; Meng, J.; Qu, Z.G.; Zhang, J. Experimental and numerical study on thermofluidic characteristics of microchannel heat sinks with various micro pin–fin arrays arrangement patterns. Appl. Therm. Eng. 2024, 240, 122236. [Google Scholar] [CrossRef]
- Polat, M.E.; Cadirci, S. Artificial neural network model and multi-objective optimization of microchannel heat sinks with diamond-shaped pin fins. Int. J. Heat Mass Transf. 2022, 194, 123015. [Google Scholar] [CrossRef]
- Polat, M.E.; Ulger, F.; Cadirci, S. Multi-objective optimization and performance assessment of microchannel heat sinks with micro pin-fins. Int. J. Therm. Sci. 2022, 174, 107432. [Google Scholar] [CrossRef]
- Bhandari, P.; Padalia, D.; Ranakoti, L.; Khargotra, R.; András, K.; Singh, T. Thermo-hydraulic investigation of open micro prism pin fin heat sink having varying prism sides. Alex. Eng. J. 2023, 69, 457–468. [Google Scholar] [CrossRef]
- Duangthongsuk, W.; Laohalertdecha, S.; Wongwises, S. Experimental study on the hydrothermal performance of nanofluids-cooled heat sinks with diamond shape micro pin-fin structures. I. J. Thermofluids 2024, 22, 100691. [Google Scholar] [CrossRef]
- Li, Y.F.; Wang, T.Y.; Wang, Z.P.; Yang, J.; Cao, W.; Ma, X. Thermohydraulic performance analysis and parameters optimization of the combined heat sinks with microchannels and micro pin-fins. Appl. Therm. Eng. 2024, 241, 122443. [Google Scholar] [CrossRef]
- Tang, X.Y.; Xu, Q.; Li, J.F.; Yu, H.; Pei, C.; Guo, L. Experimental study on flow boiling heat transfer in open copper microchannel heat sinks with different aspect ratios. Int. J. Heat Mass Transf. 2024, 231, 125879. [Google Scholar] [CrossRef]
- Yin, L.F.; Sun, M.M.; Jiang, P.X.; Dang, C.; Jia, L. Heat transfer coefficient and pressure drop of water flow boiling in porous open microchannels heat sink. Appl. Therm. Eng. 2023, 218, 119361. [Google Scholar] [CrossRef]
- Zhang, D.; Zhao, Q.; Zhou, J.H.; Li, Y.; Li, Q.; Chen, X. Experimental study of flow boiling characteristics of open microchannels with elliptical cavities and elliptical ribs. Appl. Therm. Eng. 2024, 236, 121821. [Google Scholar] [CrossRef]
- Bhandari, P.; Prajapati, Y.K. Thermal performance of open microchannel heat sink with variable pin fin height. Int. J. Therm. Sci. 2021, 159, 106609. [Google Scholar] [CrossRef]
- Bhandari, P.; Prajapati, Y.K. Influences of tip clearance on flow and heat transfer characteristics of open type micro pin fin heat sink. Int. J. Therm. Sci. 2022, 179, 107714. [Google Scholar] [CrossRef]
- Bhandari, P. Numerical investigations on the effect of multi-dimensional stepness in open micro pin fin heat sink using single phase liquid fluid flow. Int. Commun. Heat Mass 2022, 138, 106392. [Google Scholar] [CrossRef]
- Fattahi, R.; Saidi, M. Numerical investigation of curved shape fins height effect on heat transfer and flow characteristics in open microchannel heat sink. Int. J. Therm. Sci. 2023, 185, 108060. [Google Scholar] [CrossRef]
- Liu, C.; Zhou, J.H.; Cheng, K.; Zhao, Q.; Lu, M.; Chen, X. Flow thermohydraulic characterization of open diverging microchannel heat sink for high heat flux dissipation. Appl. Therm. Eng. 2023, 227, 120396. [Google Scholar] [CrossRef]
- Hekmatara, M.; Kharati-Koopaee, M. Numerical study of the influence of pin fin arrangement and volume fraction on the heat transfer and fluid flow phenomena within open microchannels. Int. Commun. Heat Mass 2024, 155, 107595. [Google Scholar] [CrossRef]
- Service, R.F. Coming soon: The pocket DNA sequencer. Science 1998, 282, 399–401. [Google Scholar] [CrossRef] [PubMed]
- Mital, M. Semi-analytical investigation of electronics cooling using developing nanofluid flow in rectangular microchannels. Appl. Therm. Eng. 2013, 52, 321–327. [Google Scholar] [CrossRef]
- Rosa, P.; Karayiannis, T.G.; Collins, M.W. Single-phase heat transfer in microchannels: The importance of scaling effects. Appl. Therm. Eng. 2009, 29, 3447–3468. [Google Scholar] [CrossRef]
- Webb, R.L. Performance evaluation criteria for use of enhanced heat transfer surfaces in heat exchanger design. Int. J. Heat Mass Transf. 1981, 24, 715–726. [Google Scholar] [CrossRef]
- Bejan, A. Entropy Generation Minimization; CRC Press: New York, NY, USA, 1996. [Google Scholar]
- Shah, R.K.; London, A.L. Laminar Flow Forced Convection in Ducts; Academic Press: Cambridge, MA, USA, 1978. [Google Scholar]
- Hassani, S.M.; Khoshvaght-Aliabadi, M.; Mazloumi, S.H.; Rehman, S.; Alimoradi, A. Improving thermal performance of microchannels by combining rectangular pin with chamber. Appl. Therm. Eng. 2021, 186, 116373. [Google Scholar] [CrossRef]
- Alfellag, M.A.; Ahmed, H.E.; Fadhil, O.T.; Kherbeet, A.S. Optimal hydrothermal design of microchannel heat sink using trapezoidal cavities and solid/slotted oval pins. Appl. Therm. Eng. 2019, 158, 113765. [Google Scholar] [CrossRef]
















| T (K) | 293 | 303 | 313 | 323 | 333 | 343 | 353 | 363 |
|---|---|---|---|---|---|---|---|---|
| μf × 106 (Pa·s) | 1004 | 801.5 | 653.3 | 549.4 | 469.9 | 406.1 | 355.1 | 314.9 |
| λf × 102 (W/(m·K)) | 59.9 | 61.8 | 63.5 | 64.8 | 65.9 | 66.8 | 67.4 | 68.0 |
| Grid | Nuave | ΔP (Pa) |
|---|---|---|
| 5.84 million (Re = 247) | 0.76% | 1% |
| 7.41 million (Re = 247) | 0.55% | 0.65% |
| 5.84 million (Re = 1173) | 7.13% | 6.69% |
| 7.41 million (Re = 1173) | 1.09% | 1.59% |
Disclaimer/Publisher’s Note: The statements, opinions and data contained in all publications are solely those of the individual author(s) and contributor(s) and not of MDPI and/or the editor(s). MDPI and/or the editor(s) disclaim responsibility for any injury to people or property resulting from any ideas, methods, instructions or products referred to in the content. |
© 2024 by the authors. Licensee MDPI, Basel, Switzerland. This article is an open access article distributed under the terms and conditions of the Creative Commons Attribution (CC BY) license (https://creativecommons.org/licenses/by/4.0/).
Share and Cite
Li, Y.; Wang, T.; Wang, Z.; Zhu, C.; Yang, J.; Yang, B. Thermal–Hydraulic Performance Analysis of Combined Heat Sink with Open Microchannels and Embedded Pin Fins. Energies 2024, 17, 5301. https://doi.org/10.3390/en17215301
Li Y, Wang T, Wang Z, Zhu C, Yang J, Yang B. Thermal–Hydraulic Performance Analysis of Combined Heat Sink with Open Microchannels and Embedded Pin Fins. Energies. 2024; 17(21):5301. https://doi.org/10.3390/en17215301
Chicago/Turabian StyleLi, Yifan, Tianyu Wang, Zhipeng Wang, Congzhe Zhu, Junlan Yang, and Bin Yang. 2024. "Thermal–Hydraulic Performance Analysis of Combined Heat Sink with Open Microchannels and Embedded Pin Fins" Energies 17, no. 21: 5301. https://doi.org/10.3390/en17215301
APA StyleLi, Y., Wang, T., Wang, Z., Zhu, C., Yang, J., & Yang, B. (2024). Thermal–Hydraulic Performance Analysis of Combined Heat Sink with Open Microchannels and Embedded Pin Fins. Energies, 17(21), 5301. https://doi.org/10.3390/en17215301

