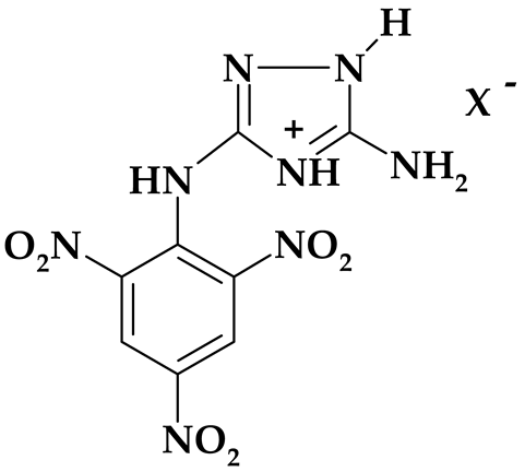
Theoretical Investigation on Selected 3-Amino-5-[(2,4,6-trinitrophenyl)amino]-1H-1,2,4-triazole Salts with Energetic Anions: A Perspective
Abstract
1. Introduction
- (a)
- Chlorate (ClO3−), (HE-II)
- (b)
- Dinitramide [(NO2)2N−], (HE-III)
- (c)
- Nitroformate [(NO2)3C−] (another name: trinitromethanide (HE-IV)
- (d)
- Bromate (BrO3−), (HE-V)
- (e)
- Iodate (IO3−), (HE-VI)
- (f)
- Periodate (IO4−), (HE-VII)
- (g)
- Perbromate (BrO4−),(HE-VIII)
- (h)
- Picrate [(NO2)3C6H2O−)], (HE-IX)
- (i)
- NH3 (HE-X).
2. Materials and Methods
3. Results
4. Discussion
5. Conclusions
Author Contributions
Funding
Data Availability Statement
Acknowledgments
Conflicts of Interest
Appendix A
![]() |
| Some representatives of already known and energetic salts: |
![]() |
Appendix B
| Acid | Binding Energy per Atom, eV | Oxygen Balance of Acid, % | Density of Acid, g/cm3 | Density of Salts, g/cm3 |
|---|---|---|---|---|
| HE-I * | 5.70 | −66.85 | 1.71 | |
| chlorate (ClO3−). | 2.16 | 56.83 | 1.58 | 1.58 |
| dinitramide [(NO2)2N−] | 4.44 | 52.32 | 1.35 | 1.55 |
| nitroformate [(NO2)3C−] | 4.62 | 37.08 | 2.03 | 1.54 |
| bromate (BrO3−) | 2.18 | 34.13 | 3.78 | 1.63 |
| iodate(IO3−) | 1.87 | 27.29 | 3.03 | 1.47 |
| periodate (IO4−) | 1.82 | 31.54 | 4.60 | 1.81 |
| perbromate (BrO4−) | 2.07 | 44.17 | 3.27 | 1.81 |
| picrate [(NO2)3C6H2O] | 5.58 | -42.09 | 1.56 | 1.09 |
| NH3 | 3.3 | -47.96 | 2.33 | 1.50 |
Appendix C

References
- Akhavan, J. The Chemistry of Explosives, 4th ed.; RSC: London, UK, 2022; 359p, ISBN 978-1-83916-446-0. [Google Scholar]
- Agrawal, J.P.; Hodgson, R. Organic Chemistry of Explosives; Wiley Interscience: Hoboken, NJ, USA, 2007; 417p, ISBN 978-0-470-02967-1. [Google Scholar]
- Brinck, T. (Ed.) Green Energetic Materials; Wiley: Chichester, UK, 2014; 290p, ISBN 978-1-119-94129-3. [Google Scholar]
- Klapötke, T.M. Chemistry of High-Energy Materials; Walter de Gruyter: Berlin, Germany, 2012; pp. 141–142. ISBN 978-3110273588. [Google Scholar]
- Agrawal, P.; Dodke, V.S. Validation of approaches (Salt Formation & Introduction of Amino Group/s) for Imparting/Improving Thermal Stability of Explosives, Part I. Propellants Explos. Pyrotech. 2022, 47, e202100265. [Google Scholar] [CrossRef]
- Agrawal, P.; Dodke, V.S. Validation of approaches (introduction of conjugation & condensation with triazole ring/s) for imparting/improving thermal stability of explosives, Part II. FirePhysChem 2023, 3, 1–10. [Google Scholar] [CrossRef]
- Tang, Y.; He, C.; Imler, G.H.; Parrish, D.A.; Shreeve, J.N.M. Aminonitro groups surrounding a fused pyrazolotriazine ring: A superior thermally stable and insensitive energetic material. ACS Appl. Energy Mater. 2019, 2, 2263–2267. [Google Scholar] [CrossRef]
- Tang, Y.; An, Z.; Chinnam, A.K.; Staples, R.J.; Shreeve, J.N.M. Very thermostable energetic materials based on a fused-triazole: 3,6-diamino-1 H-[1,2,4] triazolo [4,3-b][1,2,4] triazole. New J. Chem. 2021, 45, 85–91. [Google Scholar] [CrossRef]
- Tamuliene, J.; Sarlauskas, J.; Bekesiene, S. Modeling and investigation of new explosive materials based on N-(3, 5-dimethyl-2, 4, 6-trinitrophenyl)-1 H-1, 2, 4-triazol-3-amine. J. Mol. Model. 2017, 23, 228. [Google Scholar] [CrossRef]
- Coburn, M.D.; Jackson, T.E. Picrylamino-substituted heterocycles. III. 1,2,4-triazoles. J. Heterocycl. Chem. 1968, 5, 199–203. [Google Scholar] [CrossRef]
- Yigiter, A.O.; Atakol, M.K.; Levent Aksu, M.; Atakol, O. Thermal characterization and theoretical and experimental comparison of picryl chloride derivatives of heterocyclic energetic compounds. J. Therm. Anal. Calorim. 2017, 127, 2199–2213. [Google Scholar] [CrossRef]
- Tamulienė, J.; Šarlauskas, J.; Bekešienė, S. Influence of Nitro Group Substitutes to the Stability and Energetic Properties of N-(2,4,6-trinitrophenyl)-1H-1,2,4-triazol-3-amine. Am. J. Analyt. Chem. 2017, 8, 125–141. [Google Scholar] [CrossRef]
- Chioato, Z.L.; Klapötke, T.M.; Mieskes, F.; Stierstorfer, J.; Weyrauther, M. (Picrylamino)-1,2,4-triazole Derivatives–Thermally Stable Explosives. Eur. J. Inorg. Chem. 2016, 7, 956–962. [Google Scholar] [CrossRef]
- Mitchell, A.R.; Coburn, M.D.; Schmidt, R.D.; Pagoria, P.F.; Lee, G.S. Advances in the chemical conversion of surplus energetic materials to higher value products. Thermochim. Acta 2002, 384, 205–217. [Google Scholar] [CrossRef]
- Finch, A.; Gardner, P.J.; Smith, A.E. Thermochemistry of picrates. I. The standard enthalpy of formation of ammonium picrate. Thermochim. Acta 1981, 49, 281–285. [Google Scholar] [CrossRef]
- Liu, L.; Li, F.; Tan, L.; Ming, L.; Yi, Y. Effects of Nanometer Ni, Cu, Al and NiCu Powders on the Thermal Decomposition of Ammonium Perchlorate. Propellants Explos. Pyrotech. 2004, 29, 34–38. [Google Scholar] [CrossRef]
- Boggs, T.L. Deflagration Rate, Surface Structure and Subsurface Profile of Self-Deflagrating Single Crystals of Ammonium Perchlorate. AIAA J. 1970, 8, 867–873. [Google Scholar] [CrossRef]
- Dendage, P.S.; Sarwade, D.B.; Asthana, S.N.; Singh, H. Hydrazinium nitroformate (HNF) and HNF based propellants: A review. J. Energ. Mater. 2001, 19, 41–78. [Google Scholar] [CrossRef]
- Jadhav, H.S.; Talawar, M.B.; Dhavale, D.D.; Asthana, S.N.; Krishnamurthy, V.N. Synthesis, characterization and thermal behavior of hydrazinium nitroformate (HNF) and its new N-alkyl substituted derivatives. Indian J. Chem. Technol. 2005, 12, 187–199. [Google Scholar]
- Tummers, M.J.; van der Heijden, A.E.D.M.; van Veen, E.H. Selection of burning rate modifiers for hydrazinium nitroformate. Combust. Flame 2012, 159, 882–886. [Google Scholar] [CrossRef]
- Rossi, M.J.; Bottaro, J.C.; McMillen, D.F. The Thermal Decomposition of the New Energetic Material Ammoniumdinitramide (NH4N(NO2)2) in Relation to Nitramide (NH2NO2) and NH4NO3. Int. J. Chem. Kinet. 1993, 25, 549–570. [Google Scholar] [CrossRef]
- Luk’yanov, O.A.; Shlykova, N.I.; Tartakovsky, V.A. Dinitramide and its salts. Russ. Chem. Bull. 1994, 43, 1680–1683. [Google Scholar] [CrossRef]
- Langlet, A.; Wingborg, N.; Ostmark, H. ADN: A new high performance oxidizer for solid propellants. Int. J. Energ. Mater. Chem. Propuls. 1997, 4, 616–626. [Google Scholar] [CrossRef]
- Muravyev, N.V.; Koga, N.; Meerov, D.B.; Pivkina, A.N. Kinetic analysis of overlapping multistep thermal decomposition comprising exothermic and endothermic processes: Thermolysis of ammonium dinitramide. Phys. Chem. Chem. Phys. 2017, 19, 3254–3264. [Google Scholar] [CrossRef] [PubMed]
- Yang, H.; Chen, F.; Hu, Y.; Lu, Q.; Xiao, L..; Wang, Y.; Zhao, F.; Jiang, W.; Hao, G. A review on surface coating strategies for anti-hygroscopic of high energy oxidizer ammonium dinitramide. Def. Technol. 2023, in press. [Google Scholar] [CrossRef]
- Chaplygin, D.A.; Larin, A.A.; Muravyev, N.V.; Meerov, D.B.; Kosareva, E.K.; Kiselev, V.G.; Pivkina, A.N.; Ananyev, I.V.; Fershtat, L.L. Nitrogen-rich metal-free salts: A new look at the 5-(trinitromethyl) tetrazolate anion as an energetic moiety. Dalton Trans. 2021, 50, 13778–13785. [Google Scholar] [CrossRef] [PubMed]
- Ma, Q.; Fan, G.; Liao, L.; Lu, H.; Chen, Y.; Huang, J. Thermally Stable Energetic Salts Composed of Heterocyclic Anions and Cations Based on 3,6,7-Triamino-7 H-s-triazolo [5,1-c]-s-triazole: Synthesis and Intermolecular Interaction Study. ChemPlusChem 2017, 82, 474–482. [Google Scholar] [CrossRef]
- Li, Y.; Huang, H.; Lin, X.; Pan, R.; Yang, J. Oxygen-rich anion based energetic salts with high detonation performances. RSC Adv. 2016, 6, 54310–54317. [Google Scholar] [CrossRef]
- Fischer, N.; Fischer, D.; Klapötke, T.M.; Piercey, D.G.; Stierstorfer, J. Pushing the limits of energetic materials—The synthesis and characterization of dihydroxylammonium 5,5′-bistetrazole-1,1′-diolate. J. Mater. Chem. 2012, 22, 20418–20422. [Google Scholar] [CrossRef]
- Fischer, N.; Klapötke, T.M.; Reymann, M.; Stierstorfer, J. Nitrogen-Rich Salts of 1H,1’H-5,5’-Bitetrazole-1,1’-diol: Energetic Materials with High Thermal Stability. Eur. J. Inorg. Chem. 2013, 12, 2167–2180. [Google Scholar] [CrossRef]
- Huang, H.; Shi, Y.; Yang, J. Thermal characterization of the promising energetic material TKX-50. J. Therm. Anal. Calorim. 2015, 21, 705–709. [Google Scholar] [CrossRef]
- Klapötke, T.M.; Cudziło, S.; Trzciński, W.A.; Paszula, J.; Bauer, L.; Riedelsheimer, C.; Lechner, J.T. Performance of TKX-50 in thermobaric explosives. Propellants Explos. Pyrotech. 2023, 48, e202300010. [Google Scholar] [CrossRef]
- Golenko, Y.D.; Topchiy, M.A.; Asachenko, A.F.; Nechaev, M.S.; Pleshakov, D.V. Optimization Studies on Synthesis of TKX-50. Chin. J. Chem. 2017, 35, 98–102. [Google Scholar] [CrossRef]
- Šarlauskas, J.; Tamulienė, J. Preparation and Characterization of Cationic Energetic Salts of 5-Amino-3-[(2,4,6-trinitrophenyl) amino]-1H-1,2,4-triazole (APATO). Cent. Eur. J. Energ. 2022, 19, 311–325. [Google Scholar] [CrossRef]
- Niziński, P.; Błażewicz, A.; Kończyk, J.; Michalski, R. Perchlorate–properties, toxicity and human health effects: An updated review. Rev. Environ. Health 2021, 36, 199–222. [Google Scholar] [CrossRef] [PubMed]
- Pleus, R.C.; Corey, L.M. Environmental exposure to perchlorate: A review of toxicology and human health. Toxicol. Appl. Pharmacol. 2018, 358, 102–109. [Google Scholar] [CrossRef] [PubMed]
- Oxley, J.C.; Smith, J.L.; Porter, M.M.; Yekel, M.J.; Canaria, J.A. Potential Biocides: Iodine-Producing Pyrotechnics. Propellants Explos. Pyrotech. 2017, 42, 960–973. [Google Scholar] [CrossRef]
- Wurzenberger, M.H.; Szimhardt, N.; Stierstorfer, J. Nitrogen-rich copper (II) bromate complexes: An exotic class of primary explosives. Inorg. Chem. 2018, 57, 7940–7949. [Google Scholar] [CrossRef] [PubMed]
- Oxley, J.C. The Chemistry of Explosives. In Explosive Effects and Applications. High-Pressure Shock Compression of Condensed Matter; Zukas, J.A., Walters, W.P., Eds.; Springer: New York, NY, USA, 1998; pp. 137–172. ISBN 978-0-387-95558-2. [Google Scholar] [CrossRef]
- He, P.; Zhang, J.G.; Yin, X.; Wu, J.T.; Wu, L.; Zhou, Z.N.; Zhang, T.L. Energetic Salts Based on Tetrazole N-oxide. Chem. A Eur. J. 2016, 22, 7670–7685. [Google Scholar]
- Becke, A.D. Density functional thermochemistry. III. The role of exact exchange. J. Chem. Phys. 1993, 98, 5648. [Google Scholar] [CrossRef]
- Tamuliene, J.; Sarlauskas, J. Impact of Incremental Methylene Groups on the Energetic Properties of Aromatic Nitramines. Energies 2023, 16, 3117. [Google Scholar] [CrossRef]
- Dunning, T.H., Jr. Gaussian basis sets for use in correlated molecular calculations. I. The atoms boron through neon and hydrogen. J. Chem. Phys. 1989, 90, 1007. [Google Scholar] [CrossRef]
- Frisch, M.J.; Trucks, G.W.; Schlegel, H.B.; Scuseria, G.E.; Robb, M.A.; Cheeseman, J.R.; Scalmani, G.; Barone, V.; Petersson, G.A.; Nakatsuji, H.; et al. Gaussian 16 Revision C.01., Inc.: Wallingford, CT, USA, 2016; 139p. Available online: https://gaussian.com/ (accessed on 16 January 2024).
- Cardia, R.; Malloci, G.; Mattoni, A.; Cappellini, G. Effects of TIPS-Functionalization and Perhalogenation on the Electronic, Optical, and Transport Properties of Angular and Compact Dibenzochrysene. J. Phys. Chem. A 2014, 118, 5170–5177. [Google Scholar] [CrossRef]
- Cardia, R.; Malloci, G.; Rignanese, G.M.; Blasé, X.; Molteni, E.; Cappellini, G. Electronic and optical properties of hexathiapentacene in the gas and crystal phases. Phys. Rev. B 2016, 93, 235132. [Google Scholar] [CrossRef]
- Dardenne, N.; Cardia, R.; Li, J.; Malloci, G.; Cappellini, G.; Blasé, X.; Charlier, J.C.; Rignanese, G. Tuning Optical Properties of Dibenzochrysenes by Functionalization: A Many-Body Perturbation Theory Study. Phys. Chem. C 2017, 121, 24480–24488. [Google Scholar] [CrossRef]
- Antidormi, A.; Aprile, G.; Cappellini, G.; Cara, E.; Cardia, R.; Colombo, L.; Farris, R.; d’Ischia, M.; Mehrabanian, M.; Melis, C.; et al. Physical and Chemical Control of Interface Stability in Porous Si–Eumelanin Hybrids. J. Phys. Chem. C 2018, 122, 28405–28415. [Google Scholar] [CrossRef]
- Mocci, P.; Cardia, R.; Cappellini, G. Inclusions of Si-atoms in Graphene nanostructures: A computational study on the ground-state electronic properties of Coronene and Ovalene. J. Phys. Conf. Ser. 2018, 956, 012020. [Google Scholar] [CrossRef]
- Mocci, P.; Cardia, R.; Cappellini, G. Si-atoms substitutions effects on the electronic and optical properties of coronene and ovalene. New J. Phys. 2018, 20, 113008. [Google Scholar] [CrossRef]
- Kumar, A.; Cardia, R.; Cappellini, G. Electronic and optical properties of chromophores from bacterial cellulose. Cellulose 2018, 25, 2191–2203. [Google Scholar] [CrossRef]
- Szafran, M.; Koput, J. Ab initio and DFT calculations of structure and vibrational spectra of pyridine and its isotopomers. J. Mol. Struct. 2001, 565, 439–448. [Google Scholar] [CrossRef]
- Begue, D.; Carbonniere, P.; Pouchan, C. Calculations of Vibrational Energy Levels by Using a Hybrid ab Initio and DFT Quartic Force Field: Application to Acetonitrile. J. Phys. Chem. A 2005, 109, 4611–4616. [Google Scholar] [CrossRef]
- Parthasarathi, R.; Padmanabhan, J.; Subramanian, V.; Maiti, B.; Chattaraj, P.K. Toxicity analysis of 3,3′,4,4′,5-pentachloro biphenyl through chemical reactivity and selectivity profiles. Curr. Sci. 2004, 86, 535–542. [Google Scholar]
- Tamuliene, J.; Sarlauskas, J. Computational Studies of Energetic Property Peculiarities in Trinitrophenyl-Substituted Nitramines. Energies 2023, 16, 5180. [Google Scholar] [CrossRef]
- Urizar, M.J.; James, E., Jr.; Smith, L.C. Detonation velocity of pressed TNT. Phys. Fluids 1961, 4, 262–274. [Google Scholar] [CrossRef]
- Türker, L. Velocity of detonation—A mathematical model. Acta Chim. Slov. 2010, 57, 288–296. [Google Scholar] [PubMed]
- Kamlet, M.J.; Jacobs, S.J. Chemistry of Detonations. I. Simple Method for Calculating Detonation Properties of CHNO Explosives. J. Chem. Phys. 1968, 48, 23–55. [Google Scholar] [CrossRef]
- Wen, L.; Wang, B.; Yu, T.; Lai, W.; Shi, J.; Liu, M.; Liu, Y. Accelerating the search of CHONF-containing highly energetic materials by combinatorial library design and high-throughput screening. Fuel 2022, 310, 122241. [Google Scholar] [CrossRef]
- Li, Y.; Wang, X.; Xue, M. Touching the density limits of energetic materials by molecular design. New J. Chem. 2023, 47, 19191–19201. [Google Scholar] [CrossRef]
- Klapötke, T.M.; Ang, H.G. Estimation of the Crystalline Density of Nitramine (N-NO2 based) High Energy Density Materials (HEDM). Propellants, Explos. Pyrotech. 2001, 26, 221–224. [Google Scholar]
- Zohari, N.; Montazeri, M.; Hosseini, S.G. Estimation of the Detonation Pressure of Co-crystal Explosives through a Novel, Simple and Reliable Model. Cent. Eur. J. Energ. Mater. 2020, 17, 492–505. [Google Scholar] [CrossRef] [PubMed]
- Feng, B.; Fan, L.W.; Zeng, Y. Atomistic insights into the synergistic effects of tensile strain and hydroxyl group on increasing the thermal conductivity of monohydric alcohols as latent heat storage materials. Mater. Today Commun. 2020, 25, 101335. [Google Scholar] [CrossRef]
- McNeil, S.A.; Kelley, S.P.; Beg, C.; Cook, H.; Rogers, R.D.; Nikles, D.E. Cocrystals of 10-methylphenthiazine and 1,3-dinitrobenzene: Implications for the optical sensing of tnt-based explosives. ACS Appl. Mater. Interfaces 2013, 5, 7647–7653. [Google Scholar] [CrossRef]
- Baxter, A.F.; Martin, I.; Christe, K.O.; Haiges, R. Formamidinium Nitroformate: An Insensitive RDX Alternative. J. Am. Chem. Soc. 2018, 140, 15089–15098. [Google Scholar] [CrossRef]
- Şen, N.; Nazir, H.; Atçeken, N.; Hope, K.S.; Acar, N.; Atakol, O. Synthesis, characterisation and energetic performance of insensitive energetic salts formed between picric acid and 2,3-diaminotoluene, 2,4-diaminotoluene. J. Mol. Struct. 2020, 1205, 127580. [Google Scholar] [CrossRef]
- Panja, S.K.; Dwivedi, N.; Noothalapati, H.; Shigeto, S.; Sikder, A.K.; Saha, A.; Sunkari, S.S.; Saha, S. Significance of weak interactions in imidazolium picrate ionic liquids: Spectroscopic and theoretical studies for molecular level understanding. Phys. Chem. Chem. Phys. 2015, 17, 18167–18177. [Google Scholar] [CrossRef] [PubMed]
- Hanwell, M.D.; Curtis, D.E.; Lonie, D.C.; Vandermeersch, T.; Zurek, E.; Hutchison, G.R. Avogadro: An advanced semantic chemical editor, visualization, and analysis platform. J. Cheminform. 2012, 4, 17. [Google Scholar] [CrossRef] [PubMed]




| Compound | D1, km/s | D2, km/s | P1, kbar | P2, kbar |
|---|---|---|---|---|
| HE-I | 7.05 | 7.36 | 213.82 | 230.48 |
| HE-III | 8.13 | 7.91 | 307.30 | 265.17 |
| HE-IV | 8.39 | 8.08 | 329.71 | 311.13 |
| Compound | Binding Energy per Atom, eV | HOMO-LUMO Gap, eV | Hardness, eV | Softness, eV | Hardness Index Y |
|---|---|---|---|---|---|
| HE-I | 5.70 | 3.21 | 1.60 | 0.31 | 0.81 |
| HE-II | 5.49 | 3.58 | 1.79 | 0.28 | 0.84 |
| HE-III | 5.57 | 3.47 | 1.74 | 0.29 | 0.83 |
| HE-IV | 5.68 | 3.16 | 1.58 | 0.32 | 0.80 |
| HE-V | 5.33 | 3.33 | 1.67 | 0.30 | 0.82 |
| HE-VI | 5.35 | 3.17 | 1.58 | 0.32 | 0.80 |
| HE-VIIa | 5.38 | 3.96 | 1.98 | 0.25 | 0.87 |
| HE-VIIb | 5.38 | 3.96 | 1.98 | 0.25 | 0.87 |
| HE-VIII | 5.07 | 3.78 | 1.89 | 0.26 | 0.86 |
| HE-IX | 5.76 | 2.58 | 1.29 | 0.39 | 0.70 |
| HE-X | 5.64 | 3.23 | 1.62 | 0.31 | 0.81 |
![]() | ||
| Compound | D, km/s | P, kbar |
| HE-I (APATO) | 7.36 | 230.48 |
| HE-II (A. chlorate) | 8.16 | 271.38 |
| HE-III (A. perbromate) | 7.91 | 265.17 |
| HE-IV (A. nitroformate) | 8.08 | 311.13 |
| HE-V (A. bromate) | 7.95 | 263.83 |
| HE-VI (A. iodate) | 8.11 | 255.84 |
| HE-VIIa (A. periodate) | 7.81 | 271.92 |
| HE-VIIb (A. periodate) * | 7.81 | 271.92 |
| HE-VIII (A. perbromate) | 9.92 | 279.91 |
| HE-IX (A. picrate) | 8.26 | 261.09 |
| HE-X (A. NH4) | 7.72 | 233.17 |
| Ammonium picrate | 7.15 | 169.00 |
| Ammonium dinitramide | 8.49 | 303.00 |
| HNF | 8.92 | 351.10 |
| TKX-50 | 9.70 | 424.00 |
| TNT | 6.80 | 220.00 |
| Tetryl | 7.57 | 263.00 |
| RDX | 8.98 | 380.00 |
| HMX | 9.22 | 415.00 |
Disclaimer/Publisher’s Note: The statements, opinions and data contained in all publications are solely those of the individual author(s) and contributor(s) and not of MDPI and/or the editor(s). MDPI and/or the editor(s) disclaim responsibility for any injury to people or property resulting from any ideas, methods, instructions or products referred to in the content. |
© 2024 by the authors. Licensee MDPI, Basel, Switzerland. This article is an open access article distributed under the terms and conditions of the Creative Commons Attribution (CC BY) license (https://creativecommons.org/licenses/by/4.0/).
Share and Cite
Tamuliene, J.; Sarlauskas, J. Theoretical Investigation on Selected 3-Amino-5-[(2,4,6-trinitrophenyl)amino]-1H-1,2,4-triazole Salts with Energetic Anions: A Perspective. Energies 2024, 17, 460. https://doi.org/10.3390/en17020460
Tamuliene J, Sarlauskas J. Theoretical Investigation on Selected 3-Amino-5-[(2,4,6-trinitrophenyl)amino]-1H-1,2,4-triazole Salts with Energetic Anions: A Perspective. Energies. 2024; 17(2):460. https://doi.org/10.3390/en17020460
Chicago/Turabian StyleTamuliene, Jelena, and Jonas Sarlauskas. 2024. "Theoretical Investigation on Selected 3-Amino-5-[(2,4,6-trinitrophenyl)amino]-1H-1,2,4-triazole Salts with Energetic Anions: A Perspective" Energies 17, no. 2: 460. https://doi.org/10.3390/en17020460
APA StyleTamuliene, J., & Sarlauskas, J. (2024). Theoretical Investigation on Selected 3-Amino-5-[(2,4,6-trinitrophenyl)amino]-1H-1,2,4-triazole Salts with Energetic Anions: A Perspective. Energies, 17(2), 460. https://doi.org/10.3390/en17020460




