Characteristics and Simulation of Icing Thickness of Overhead Transmission Lines across Various Micro-Terrains
Abstract
1. Introduction
2. Data and Methods
2.1. Data
2.2. Methods
2.2.1. A Micro-Terrain Identification Method
- Data Collection and Data Reconstruction: This is the starting point of the entire classification process, involving the terrain data (grid points). The collected terrain data are cleaned and transformed into sub regions with the same shape and same size.
- Labeling Samples and Random Sampling: The subregions are labeled as different samples. A few of the labeled samples are selected as initial values (Figure 1a).
- Clustering: The spatial distance between any arbitrary sample and a randomly selected sample is calculated. The sample with the smallest distance is grouped into the same category, and the center value is re-determined. By repeatedly calculating and re-determining the category to which each sample belongs, the process continues until the classification of the samples no longer changes.
2.2.2. Simulation Approach Based on Historical Data
3. Results
3.1. Typical Microtopographic Types and Icing Characteristics
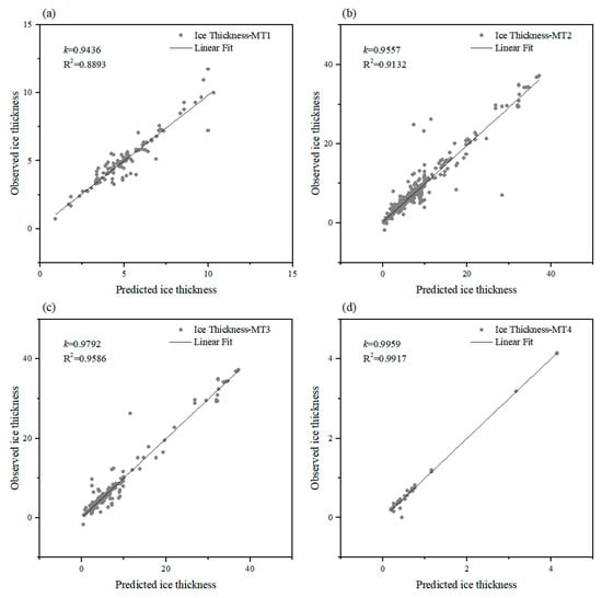
3.2. Observed and Simulated Icing Thickness under Different Typical Micro-Terrains
3.2.1. Case Analysis
3.2.2. Comprehensive Analysis
4. Conclusions and Discussion
Author Contributions
Funding
Data Availability Statement
Conflicts of Interest
References
- Zhang, R.Z.; Zhou, K.; Zhao, L.X.; Tan, L.; Li, H.D.; Wang, Y.N.; Cai, Y.S.; Li, C.S.; Chen, S. Research on Prediction Technology of Power Transmission Line Icing Based on Micrometeorological and Microtopography in Beijing Area. Sci. Technol. Eng. 2022, 22, 14744–14751. [Google Scholar]
- Yang, L.; Chen, J.; Hao, Y.P.; Li, L.C.; Lin, X.H.; Yu, L.; Li, Y.; Yuan, Z.Y. Experimental Study on Ultrasonic Detection Method of Ice Thickness for 10 kV Overhead Transmission Lines. IEEE Trans. Instrum. Meas. 2023, 72, 9001110. [Google Scholar] [CrossRef]
- Hao, Y.P.; Wang, X.Y.; Liang, W.; Zhang, W.X.; He, J.Q.; Wang, J.X.; Li, H.; Wen, Y.; Mao, X.Y. Ice Types Identification and Prediction of Overhead Transmission Lines Driven by Micro-Meteorological Data of Three Consecutive Days Icing. South. Power Syst. Technol. 2023, 17, 107–116. [Google Scholar]
- Zhang, Z.J.; Zhang, H.; Yue, S.; Zeng, W.H. A Review of Icing and Anti-Icing Technology for Transmission Lines. Energies 2023, 16, 601. [Google Scholar] [CrossRef]
- Wang, Y.; Du, Z.Y.; Ruan, J.J. Reliability risk evaluation for the high voltage overhead transmission line under icing condition. Power Syst. Prot. Control 2016, 44, 84–90. [Google Scholar]
- Huai, X.W.; Yan, P.C.; Li, L.; Cai, Z.L.; Xu, X.J.; Hu, X.H. Study on the Complexity Reduction of Observed Sequences Based on Different Sampling Methods: A Case of Wind Speed Data. Atmosphere 2022, 13, 1746. [Google Scholar] [CrossRef]
- Li, H.K.; Chen, F.F.; Gao, X. An Overview of the Research Situation on the Covering Ice of Overhead Lines. Electr. Eng. 2017, 10, 13–15. [Google Scholar]
- Zhou, S.Y.; Wei, W.J.; Li, W.J.; Li, M.M.; Chen, T.; Dai, J.L.; Yi, J.H. Research on Ice-Covered Growth Model of Transmission Line Based on Multi-Parameter Fusion and Risk Warning. Smart Grid 2019, 9, 236–243. [Google Scholar] [CrossRef]
- Yan, J.F.; Chen, S.P.; Geng, Y.Y.; Yang, L.Z.; Shen, Y.B. Study on the Correlation between Typical Microtopography and Icing on Overhead Transmission Lines and Its Prediction Technology. Electr. Eng. 2023, 12, 55–56. [Google Scholar]
- Ding, Z.; Zhang, X.; Zou, N.; Xiong, F.; Zhang, Y. Phi-OTDR Based On-line Monitoring of Overhead Power Transmission Line. J. Light. Technol. 2021, 39, 5163–5169. [Google Scholar] [CrossRef]
- Huang, X.Y.; Yao, Y.; Qi, L.Q. Prediction Method of Ice Thickness for Transmission Lines under Micro-Meteorological Conditions. J. Electr. Eng. 2018, 6, 22–27. [Google Scholar]
- Mo, S.; Liu, T.Q.; Zeng, Q. Research on Accurate Prediction Model for Icing Thickness of Transmission Lines in Ultra—Short Period. Sichuan Electr. Power Technol. 2018, 41, 32–37. [Google Scholar]
- Zhou, F.R.; Huai, X.W.; Yan, P.C.; Zhao, C.L.; Jiang, X.L.; Pan, H.; Ma, Y.T.; Geng, H. Research on the Identification of Typical Terrain Patterns in Yunnan Province Based on the K-Means Technology. Atmosphere 2024, 15, 244. [Google Scholar] [CrossRef]
- Zhou, F.R.; Huai, X.W.; Yan, P.C.; Jiang, X.L.; Pan, H.; Ma, Y.T.; Geng, H. Research on Wire Icing Simulation Technology Considering the Weights of Meteorological Elements. Front. Energy Res. 2024, 12, 1346480. [Google Scholar] [CrossRef]
- Zhang, T.J.; Yan, P.C.; Li, Z.R.; Wang, Y.S.; Li, Y.H. Bias-correction method for wind-speed forecasting. Meteorol. Z. 2019, 28, 293–304. [Google Scholar] [CrossRef]
- Zhang, T.J.; Yan, P.C.; Li, Z.R.; Wang, Y.S.; Li, Y.H. A new cycle correction method for wind speed error in wind energy forecast based on short-term historical data. J. Arid. Meteorol. 2017, 35, 1042–1052. [Google Scholar] [CrossRef]
- Zhang, T.J.; Yan, P.C.; Zhang, Z.Y.; Duan, H.X.; Wang, Y.S.; Li, Y.H. Application of various technologies in modification of wind speed forecast in wind farms. J. Arid. Meteorol. 2018, 36, 835–844. [Google Scholar] [CrossRef]
- Han, Z.F.; Yan, P.C.; Li, Y.; Lv, Q.Q.; Zhang, T.J.; Bian, H.W.; Wang, Y.Z.; Zhang, L. Study on correction of solar radiation forecast in He xi region of Gansu Province based on short-term historical data. J. Arid. Meteorol. 2022, 40, 125–134. [Google Scholar] [CrossRef]










Disclaimer/Publisher’s Note: The statements, opinions and data contained in all publications are solely those of the individual author(s) and contributor(s) and not of MDPI and/or the editor(s). MDPI and/or the editor(s) disclaim responsibility for any injury to people or property resulting from any ideas, methods, instructions or products referred to in the content. |
© 2024 by the authors. Licensee MDPI, Basel, Switzerland. This article is an open access article distributed under the terms and conditions of the Creative Commons Attribution (CC BY) license (https://creativecommons.org/licenses/by/4.0/).
Share and Cite
Huang, G.; Wu, M.; Qiao, Z.; Fu, S.; Liu, Q.; Huai, X.; Yan, P. Characteristics and Simulation of Icing Thickness of Overhead Transmission Lines across Various Micro-Terrains. Energies 2024, 17, 4024. https://doi.org/10.3390/en17164024
Huang G, Wu M, Qiao Z, Fu S, Liu Q, Huai X, Yan P. Characteristics and Simulation of Icing Thickness of Overhead Transmission Lines across Various Micro-Terrains. Energies. 2024; 17(16):4024. https://doi.org/10.3390/en17164024
Chicago/Turabian StyleHuang, Guosheng, Mingli Wu, Zhen Qiao, Songping Fu, Qiujiang Liu, Xiaowei Huai, and Pengcheng Yan. 2024. "Characteristics and Simulation of Icing Thickness of Overhead Transmission Lines across Various Micro-Terrains" Energies 17, no. 16: 4024. https://doi.org/10.3390/en17164024
APA StyleHuang, G., Wu, M., Qiao, Z., Fu, S., Liu, Q., Huai, X., & Yan, P. (2024). Characteristics and Simulation of Icing Thickness of Overhead Transmission Lines across Various Micro-Terrains. Energies, 17(16), 4024. https://doi.org/10.3390/en17164024

