Next Article in Journal
Characteristics and Simulation of Icing Thickness of Overhead Transmission Lines across Various Micro-Terrains
Next Article in Special Issue
Exploring the Effects of Synergistic Combustion of Alcohols and Biodiesel on Combustion Performance and Emissions of Diesel Engines: A Review
Previous Article in Journal
Highly Efficient Layer-by-Layer Organic Photovoltaics Enabled by Additive Strategy
Previous Article in Special Issue
Exploring Performance of Pyrolysis-Derived Plastic Oils in Gas Turbine Engines
 
 
Font Type:
Arial Georgia Verdana
Font Size:
Aa Aa Aa
Line Spacing:
Column Width:
Background:
Article

Effects of Lean Burn on Combustion and Emissions of a DISI Engine Fueled with Methanol–Gasoline Blends

School of Mechatronic Engineering, Jiangsu Normal University, Xuzhou 221116, China
*
Author to whom correspondence should be addressed.
Energies 2024, 17(16), 4023; https://doi.org/10.3390/en17164023
Submission received: 28 July 2024 / Revised: 10 August 2024 / Accepted: 13 August 2024 / Published: 14 August 2024
(This article belongs to the Special Issue Combustion of Alternative Fuel Blends)

Abstract

Methanol has significant potential as an alternative fuel for internal combustion engines. Using methanol–gasoline blends with lean-burn technology in traditional spark-ignition engines can enhance fuel economy and reduce emissions. This paper investigates the effects of lean burn on the combustion and emissions in a commercial direct-injection gasoline engine fueled with methanol–gasoline blends. The lean-burn mode is adjusted by controlling the injection strategy. The results show that homogeneous lean burn (HLB) has earlier combustion phase and better power performance when the excess air ratio (λ) is less than 1.3, while its combustion phase extends more than stratified lean burn (SLB) when λ exceeds 1.4. Both lean-burn modes achieve optimal fuel economy at λ = 1.2–1.3. Under stable conditions, BSFC decreases with higher methanol blending ratios, with SLB being more economical at low blending ratios and HLB at higher ratios. The lowest HC and particulate matter emissions for both modes are achieved around λ = 1.3. SLB has lower NOX emissions when λ < 1.3, while HLB shows lower NOX emissions when λ > 1.3. The particulate size distribution is bimodal for blending lean-burn conditions, with SLB having the highest nucleation mode peak and HLB the highest accumulation mode peak. M20 (20% volume of methanol) corresponds to the highest particle emissions under lean-burn conditions. This study can provide a deeper understanding of methanol–gasoline blending lean burn, and provide a reference for emission control of spark-ignition engines.

1. Introduction

Methanol, a hydrogen-based fuel, plays a unique role in the transformation of energy structure and carbon reduction in the transportation industry [1]. To achieve the “1.5 °C” goal by 2050, hydrogen and its derivative fuels (including methanol and ammonia) need to account for more than 14% of end-use energy consumption [2]. Methanol has been extensively researched as a fuel for internal combustion engines in recent years [3,4], primarily due to its several advantages over traditional fossil fuels. Methanol contains oxygen and has a higher octane number than gasoline [5], allowing for more efficient and cleaner combustion [6]. Methanol is a liquid at normal temperature and pressure, which allows it to be transported and stored like gasoline and diesel, with fewer changes to existing engine structures. Its definite molecular structure, unlike gasoline’s mixture of hydrocarbons, makes its combustion process easier to simulate and predict [7]. Additionally, methanol can be produced from coal, natural gas, and other sources, reducing petroleum dependence and achieving energy independence.
The high octane number of methanol enables it to burn at higher compression ratios, enhancing anti-knock properties and fuel economy. Balki [8] compared the effects of burning gasoline, methanol, and ethanol on engine performance and emissions in a single-cylinder engine, finding that the effective thermal efficiency of pure methanol was higher than that of gasoline across a speed range of 1600 to 3600 rpm. When engine speed, spark timing, and compression ratio were optimized, the effective output power with pure methanol increased by 12.25% compared to gasoline [9]. Güdden [10] tested pure methanol port injection in a 5L single-cylinder large bore engine, demonstrating that methanol’s benefits are equally favorable for large bore engines, with higher effective thermal efficiency than the most advanced natural gas engines of the same displacement. However, using methanol in internal combustion engines also presents challenges, such as producing unconventional emissions like unburned methanol and formaldehyde [11]. Additionally, methanol’s low flash point and high latent heat of vaporization can lead to poor mixture atomization during cold start in low-temperature environments [12]. Blending or dual-fuel applications can mitigate this issue. In spark-ignition engine applications, methanol–gasoline blending has been widely studied, with findings showing that methanol–gasoline blends can accelerate combustion, shorten the flame development and rapid combustion periods, and promote complete mixture combustion [13].
Yang et al. [14] studied the performance of a methanol–gasoline dual-fuel engine under different injection modes, showing that methanol direct injection combined with gasoline port injection resulted in higher mean effective pressure, faster heat release rates, and more stable engine operation. Agarwal et al. [15] found that methanol–gasoline blending improved effective thermal efficiency in gasoline engines, with the M20 blend achieving higher efficiency than M10. Methanol–gasoline blending also resulted in lower NO, CO, and particulate emissions but higher HC emissions. Tian et al. [16] compared the effects of blending methanol, ethanol, and butanol with gasoline on engine combustion and emissions, finding that all three blends improved engine torque and heat release rates, with methanol’s advantages being the most pronounced. Mishra et al. [17] showed that three different methanol–gasoline blends (5%, 10%, 15%) exhibited better emission performance and knock resistance than pure gasoline, with 10% volume of methanol yielding the lowest emissions. They recommended using 5–10% volume of methanol blends to enhance gasoline engine performance and reduce emissions.
Lean burn is an effective method to improve thermal efficiency and reduce emissions in spark-ignition engines. Methanol’s fuel properties provide a wider lean-burn limit compared to gasoline, making methanol combined with lean burn a practical application of methanol in internal combustion engines [18,19,20]. Wu et al. [21] compared the lean-burn characteristics of methanol and gasoline under idle conditions, finding that methanol demonstrated better lean-burn performance, with higher indicated thermal efficiency and fewer conventional emissions under three lean-burn conditions (λ = 1.0, 1.2, 1.4). Gong [22] simulated the lean-burn characteristics of methanol engines at different high compression ratios, showing that at larger equivalence ratios, the indicated thermal efficiency decreased with decreasing compression ratio, while at smaller equivalence ratios, it increased with decreasing compression ratio. A compression ratio of 14 achieved the best compromise between pressure rise control and lean-burn limit expansion. They [23] also experimented with twin-spark plug synchronous ignition in methanol engines, finding that when fuel injection occurred at 110° CA BTDC and ignition at 21° CA BTDC, twin-spark plug ignition allowed stable lean burn at medium compression ratios. Zhou et al. [24] studied the impact of valve lift control strategies on methanol–gasoline engines, showing that lean burn achieved through intake valve lift control exhibited higher fuel economy, and methanol–gasoline blending further extended the lean-burn limit while improving fuel economy and emission performance. In addition to studying pure methanol or methanol–gasoline blends in traditional spark-ignition engines, researchers are also exploring various combustion modes to expand the lean-burn limit of methanol combustion. For instance, Gong et al. [25] investigated the impact of ignition timing on engine combustion and emission performance at an excess air ratio of 2.0 using hydrogen port injection combined with methanol direct injection. Wang et al. [26] studied the effects of different pre-chamber ignition modes on methanol/air mixture combustion. Chen et al. [27] researched the combustion characteristics of natural gas–methanol dual-fuel engines under different excess air ratios. Zhao et al. [28] examined the characteristics and particulate emissions of butanol–methanol–gasoline blends under lean combustion in spark-ignition engines.
Most existing research on methanol lean burn focuses on dual-fuel combustion, twin-spark plug, or higher performance ignition systems (e.g., jet ignition). In comparison, gasoline mixed with methanol directly burned in a spark-ignition engine has certain advantages in convenience and practicality. Therefore, this article hopes to examine the lean burn characteristics of methanol–gasoline blended fuel by studying different lean burn modes. The lean-burn characteristics of methanol–gasoline blends in traditional gasoline engines require more comprehensive study. From the existing research, few literatures have conducted comprehensive comparative studies on homogeneous lean burn and stratified lean burn of methanol–gasoline blends in spark-ignition engines. Therefore, this paper investigates the effects of methanol addition on lean-burn combustion characteristics and conventional emissions in a commercial direct-injection gasoline engine. The study focuses on the differences between homogeneous and stratified lean-burn characteristics under various methanol addition levels by controlling fuel injection. This study can provide a deeper understanding of methanol–gasoline blending lean burn and provide a reference for combustion and emission control of spark-ignition engines.

2. Experimental Setup and Procedure

2.1. Engine and Experimental Apparatus

In this study, the injector is centrally located, and the spark plug is side mounted. The specific parameters and configurations of the engine are listed in Table 1. The experimental setup used in this study is shown in Figure 1.
The cylinder pressure was monitored by a quartz crystal pressure sensor model ZF42 (Kistler, Winterthur, Switzerland), and the crank angle was measured by an angle encoder. A combustion analyzer (model DS-9110, ONO SOKKI, Yokohama, Japan) displayed the cylinder pressure curve in real time based on the cylinder pressure and crank angle signals and calculated heat release rate, cylinder temperature, cumulative heat release, and other combustion characteristic data as needed. The intake airflow was measured by an air flow meter, and the fuel flow rate was monitored in real time by an DF-2420 (ONO SOKKI, Yokohama, Japan) flow meter.
Control parameters were managed by a self-designed electronic control unit based on a 16-bit Freescale microcontroller. Emissions of gases such as hydrocarbons and nitrogen oxides were measured by DICOM 4000 (AVL, Graz, Austria) gas analyzer. Particulate emissions were measured by a DMS500 (Cambustion, Cambridge, UK) fast particulate analyzer with a sampling frequency of 10 Hz, collecting data for 30 s per condition and calculating the average concentration values. The excess air ratio during the experiments was monitored and controlled by a lambda meter and an LSU 4.9 (BOSCH, Leinfelden, Germany) lambda sensor. The engine coolant temperature was maintained at 76 ± 2 °C. Engine speed and load were controlled by an eddy current dynamometer. All experimental instruments were calibrated before use, and the accuracy of tyingghe main instruments is listed in Table 2.

2.2. Experimental Methodology

During the experiments, the engine speed was maintained at 1400 rpm, and the output torque under stoichiometric conditions was controlled at 40 Nm for each test group. The fuel injection quantity remained constant while adjusting the excess air ratio. The study focuses on the effects of the excess air ratio and methanol blending ratio on the combustion process and emissions. To maintain a consistent research focus, the ignition timing was set at 16° CA BTDC under all working conditions, minimizing the influence of ignition timing on the combustion process, even though a fixed ignition advance is not ideal for most conditions [29]. Four different methanol–gasoline blends were used in the experiments: M0, M10, M20, and M40, where M0 represents pure gasoline, and M10 indicates a methanol volume fraction of 10% in the blended fuel. Each fuel was tested under two lean-burn modes: homogeneous lean burn (HLB) and stratified lean burn (SLB). In HLB mode, there was a single injection at 300° CA before top dead center (BTDC). In SLB mode, there were two injections at 300° CA BTDC and 70° CA BTDC. Before conducting this study, we conducted a preliminary test on the ratio of the two injections and found that when the ratio of the first and second injections was 8:2, the particulate emissions were the lowest. Therefore, in SLB mode, the ratio of the two injections was 8:2. The excess air ratio was varied from 1 to 1.6 for each lean-burn mode. Data recording began after the engine reached relatively stable operation for each condition, with combustion characteristics calculated from 200 consecutive combustion cycles. Engine stability was indicated by the coefficient of variation of the mean indicated effective pressure, defined as follows:
C O V I M E P = σ I M E P I M E P ¯ × 100 %
where
I M E P ¯ = 1 N i = 1 N I M E P
σ I M E P = i = 1 N I M E P I M E P ¯ N
N represents the combustion cycle number, and I M E P represents the indicated mean effective pressure value of each cycle.

3. Results and Discussion

3.1. Effect of Lean Burn on Combustion and Engine Performance

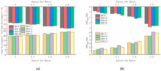
Figure 2 illustrates the effects of different methanol blending ratios and excess air ratios on the flame development period and combustion duration. In these figures, “H” represents homogeneous lean burn (HLB) and “S” represents stratified lean burn (SLB), denoted by solid and dashed lines, respectively. This notation is used consistently throughout the text. In this study, the flame development period is defined as the crank angle degrees from the start of ignition to 10% cumulative heat release, while the combustion duration is defined as the crank angle degrees from 10% to 90% cumulative heat release. The results indicate that as the lean-burn degree increases, both the flame development period and combustion duration lengthen under all conditions. This is primarily due to the increased heat capacity of the mixture from added air, which lowers the end of compression temperature, slows the initial flame development and propagation, and inhibits chemical reactions. Furthermore, for the same lean-burn mode, the variation trends for different methanol blending ratios are consistent, and the magnitude of change is similar. When the excess air ratio is less than 1.3, the flame development period and combustion duration are shorter for HLB. However, when the excess air ratio exceeds 1.4, these periods deteriorate more significantly for HLB. This is because, at high excess air ratios, the overall mixture in the cylinder becomes excessively lean in HLB mode due to early injection, leading to potential misfires. Conversely, a small amount of late injection forms a locally rich zone near the spark plug, facilitating stable combustion.
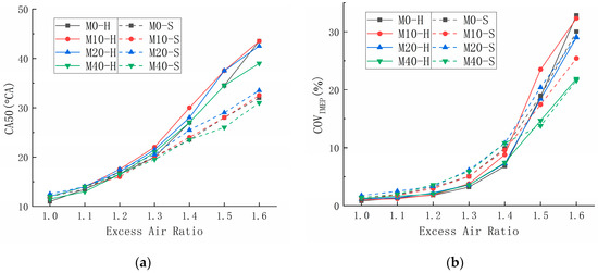
Figure 3 shows the effects of different methanol blending ratios and excess air ratios (λ) on the combustion center (CA50) and the coefficient of variation of indicated mean effective pressure (COVIMEP). In this study, the combustion center is represented by the crank angle corresponding to 50% cumulative heat release, denoted as CA50. The definition of the coefficient of variation of cycle-by-cycle variation is referred to as described earlier. Generally, the engine performs best when the combustion center is around 10 crank angle degrees. An advanced combustion center indicates more fuel is burned before top dead center, and a delayed center indicates more fuel is burned during the piston downstroke, both of which are unfavorable for efficient energy conversion. As the excess air ratio increases, the flame development and combustion duration lengthen, causing more fuel to burn during the power stroke, and the combustion phase is gradually delayed. Similarly, the locally rich mixture in SLB stabilizes initial combustion temperatures, causing the combustion center to advance compared to HLB under globally lean conditions, i.e., closer to top dead center. With increasing excess air ratio, the instability of combustion increases under all conditions. At λ = 1.3, the COVIMEP approaches or exceeds 5%, and the instability worsens with larger λ.
To analyze the effects of methanol addition and minimize interference from combustion instability, Figure 4 shows the results for combustion center and cycle-by-cycle variation for excess air ratios from 1 to 1.3. Each graph consists of two parts, the upper part is the HLB condition, and the vertical axis corresponds to the red line scale; the lower part is the SLB condition, and the vertical axis corresponds to the black line scale. Generally, at the same excess air ratio, for the increases in methanol blending ratio, the combustion center initially delays slightly and then gradually advances. This can be explained as follows: the high oxygen content in methanol increases the laminar flame speed compared to gasoline, resulting in faster combustion with higher methanol content. However, due to methanol’s lower heating value, a higher methanol blending ratio requires a larger fuel injection quantity at a fixed load, leading to a longer injection duration. This results in more fuel evaporating near ignition, causing insufficient mixing and an extended combustion phase. At lower blending ratios, the latter effect predominates, while at higher blending ratios, the former advantage becomes more evident. Notably, at λ = 1.2, SLB with M10 fuel achieves the most advanced combustion center, likely because the 16° BTDC ignition timing aligns with its MBT point. Furthermore, as shown in Figure 4 and combined with Figure 3, HLB exhibits more stable combustion at lower excess air ratios compared to SLB. At higher excess air ratios, the cycle-by-cycle variation coefficient for SLB is relatively smaller, reflecting the benefit of locally rich mixtures in promoting combustion under globally lean conditions.
Figure 5 illustrates the effects of excess air ratio on in-cylinder pressure and heat release rate. Solid lines represent in-cylinder pressure curves, and dashed lines represent heat release rate curves. The results show that with increasing excess air ratio, the peak cylinder pressure gradually decreases and shifts away from top dead center, with similar trends observed in the heat release rate curves. Figure 6 shows the relationship between the average peak cylinder pressure of 200 combustion cycles and the corresponding crank angle. The excess air ratio increases in the direction indicated by the arrow. The peak cylinder pressure gradually decreases, and the corresponding crank angle initially moves away from top dead center and then returns closer to top dead center. This is because as the combustion phase extends, more fuel burns during the piston downstroke, resulting in a flatter pressure curve. Especially when the excess air coefficient is too large, the cylinder pressure formed by compression and initial combustion becomes higher. In comparison, the decrease in peak cylinder pressure is smaller for SLB, and the corresponding crank angle changes more gradually.
The effect of the excess air ratio on exhaust temperature is shown in Figure 7. As the excess air ratio increases from 1 to 1.5, the exhaust temperature for SLB gradually decreases, while for HLB, it first decreases and then increases. On the one hand, a higher degree of air dilution increases the heat capacity of the mixture, resulting in lower combustion temperatures. On the other hand, an extended combustion phase increases the proportion of late combustion, causing a rise in exhaust temperature. For HLB, when λ does not exceed 1.3, the increase in combustion duration is relatively slow, and the mixture’s heat capacity effect predominates, lowering the combustion temperature. As λ continues to increase, the combustion phase delays significantly, leading to a dominant late combustion part and a subsequent rise in exhaust temperature. For SLB, the presence of locally rich mixtures causes the combustion duration to change slowly, even when λ exceeds 1.3, keeping the reduction in combustion temperature dominant and resulting in a gradual decrease in exhaust temperature. Additionally, when λ = 1.6, the exhaust temperature for HLB decreases again, possibly due to high cycle variation coefficients and severe misfires. The figure also shows that under the same excess air ratio, a higher methanol blending ratio results in a higher exhaust temperature, explained by the higher combustion rate of methanol.
Figure 8 shows the effect of the excess air ratio on the brake-specific fuel consumption (BSFC). In this study, the equivalent gasoline BSFC for blended fuels is calculated based on equal heating value. The BSFC decreases first and then increases with the increase in the excess air ratio under all conditions, reaching a minimum around λ = 1.2–1.3. With the increase in lean combustion, the combustion temperature decreases, reducing the heat transferred to the cylinder walls and piston, thereby lowering heat losses. Additionally, as the excess air ratio increases from 1 to 1.3, both HLB and SLB show a decrease in exhaust temperature, indicating less heat is carried away by the exhaust gases, thereby improving fuel conversion efficiency and reducing BSFC to the minimum value. Although the combustion duration gradually extends during this process, the increase is slow. When λ exceeds 1.3, the combustion duration increases sharply, causing more fuel to burn during the piston downstroke, which cannot form effective cylinder pressure. At this point, the negative impact of the delayed combustion phase on combustion predominates, and BSFC begins to increase.
The experimental results also show that under relatively stable combustion conditions (λ = 1–1.4), as the methanol blending ratio increases, the BSFC gradually decreases. This is mainly because higher methanol content in the fuel increases the constant volume combustion degree and reduces pumping losses. Additionally, at low methanol blending ratios, SLB is more economical, while at higher methanol blending ratios, HLB has lower BSFC, likely due to much lower exhaust temperatures compared to SLB, resulting in less heat being expelled.

3.2. Effect of Lean Burn on Emissions

Figure 9 shows the changes in HC emissions in the exhaust under different conditions. As the excess air ratio increases, HC emissions first decrease and then sharply increase, with the minimum value appearing around λ = 1.3. HC emissions are mainly affected by unburned fuel and late oxidation. Under lean combustion conditions, sufficient oxygen is present, and the degree of late oxidation is mainly determined by temperature. At lower λ, as air dilution increases, the combustion phase delays, the proportion of late combustion increases, and the temperature rises, promoting the oxidation of unburned HC. As the excess air ratio continues to increase, the mixture becomes excessively lean, combustion temperature drops sharply, flame quenching intensifies, incomplete combustion increases, and unburned HC increases. This is especially true for SLB, where the concentration gradient is larger, resulting in relatively higher unburned HC emissions.
The effect of the excess air ratio on NOX emissions in the exhaust is shown in Figure 10. For both lean-burn modes, the volume fraction of NOX in the exhaust first increases and then gradually decreases, reaching a maximum at λ = 1.1. The NOX produced by methanol–gasoline blended direct-injection combustion is primarily thermal NOX. According to the Zeldovich theory, the formation of thermal NOX is mainly determined by the oxygen concentration and temperature within the cylinder. As combustion transitions from stoichiometric to lean, the combustion temperature decreases, inhibiting NOX formation. However, during lean combustion, the excess air increases the oxygen concentration in the cylinder, promoting NOX formation. At this stage, the effect of excess oxygen predominates, slightly increasing the volume fraction of NOX emissions. When air dilution continues to increase, the impact of combustion temperature surpasses that of oxygen concentration, and the formation of thermal NOX gradually decreases.
When the excess air ratio is less than 1.3, SLB forms a situation where the area around the spark plug is locally rich while the surrounding area is lean, resulting in a relatively lower oxygen concentration during the rapid combustion period compared to HLB, thereby reducing the production of thermal NOX. Consequently, NOX emissions are lower for SLB at this stage. When the excess air ratio exceeds 1.3, the influence of combustion temperature during the rapid combustion period starts to dominate, producing more NOX, while NOX emissions for HLB are lower. Additionally, under the same air dilution conditions, higher methanol blending ratios result in lower NOX emissions due to faster combustion rates, shortening the high-temperature duration during combustion and reducing the formation of thermal NOX.
Figure 11 shows particulate emissions under different conditions, where (a) and (b) illustrate the nucleation mode and accumulation mode particulate concentrations, respectively. Nucleation mode particulates represent small-sized particles with diameters ranging from 0 to 30 nm, primarily formed by the condensation of volatile substances, including hydrocarbons and sulfates. Additionally, primary soot particles, which have diameters around 10–80 nm, are also part of the nucleation mode particulates. Accumulation mode particulates represent larger particles with diameters ranging from 20 to 500 nm, primarily produced by the aggregation of soot resulting from the incomplete combustion of locally rich mixtures [30,31].
For all conditions, as the excess air ratio increases, both nucleation mode and accumulation mode particulates exhibit similar trends. The total particulate concentration first decreases and then increases, achieving the minimum value within the range of λ = 1.2–1.4. Compared to stoichiometric combustion, lean combustion results in more thorough fuel mixing, reduced high-temperature hypoxia, and decreased soot production and HC formation, leading to lower concentrations of both nucleation mode and accumulation mode particulates. With further increases in air dilution, the rapid rise in HC emissions leads to increased condensation of hydrocarbons in the exhaust, raising the nucleation mode particulate concentration. Additionally, the deterioration of combustion stability and severe misfires result in locally rich mixtures or individual cycles of incomplete combustion within the cylinder, worsening the emission of accumulation mode particulates.
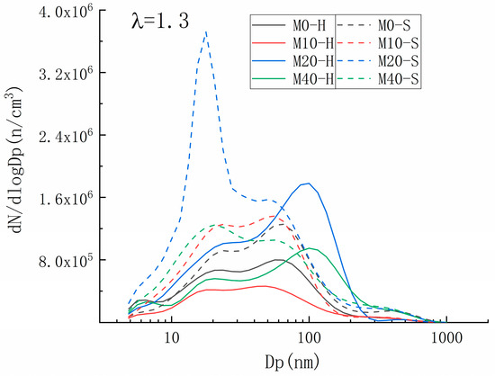
Figure 12 presents the particle size distribution under stable lean-burn conditions (λ = 1.1–1.4). The distributions for all conditions are bimodal, with particles predominantly in the 5–300 nm range. The first peak around 20 nm indicates nucleation mode particulates, while the second peak around 100 nm represents accumulation mode particulates. For pure gasoline, only when SLB and the excess air coefficient is 1.1, there are more nucleation mode particulates, and the peak values of accumulated particulates are higher in other conditions. For methanol–gasoline blends, SLB is more likely to have the highest peak at the nucleation mode particulates, while HLB is more likely to have the highest peak at the accumulation mode particulates. This is because the combustion speed of the blended fuel is faster and the high-temperature duration is shorter, which shortens the agglomeration and adsorption time of volatile substances and reduces the number of large-size particles. Compared with HLB, SLB corresponds to a lower combustion temperature, so the process of generating primary carbonaceous particles by H-abstraction and thermal pyrolysis is suppressed. In addition, the exhaust temperature of SLB is higher, which also promotes the oxidation of particles in the later stage of combustion and reduces the particle size.
Since the total particulate concentration in the exhaust is lowest around λ = 1.3, and combustion instability increases sharply beyond this point, this study examined the effects of methanol blending and lean combustion modes on particle size distribution under this condition. Figure 13 shows the particle size distribution at an excess air ratio of 1.3 for different methanol blending ratios. For both SLB and HLB, M20 fuel produces the highest number of particles, with SLB showing a dominance of nucleation mode particulates and HLB showing accumulation mode particulates. Increasing the methanol blending ratio raises combustion speed and temperature, enhancing the dehydrogenation reaction and increasing primary soot particles. However, higher methanol ratios absorb more heat during vaporization, lowering initial mixture temperature, reducing air volume, and increasing oxygen concentration, which leads to more complete combustion and lower accumulation mode particulate concentrations. Furthermore, the particles in the exhaust are also affected by the degree of oxidation in the late combustion phase. Thus, for HLB, the exhaust temperature of M10 is higher than that of M20, resulting in more complete late-stage oxidation of the particles, and the overall particle concentration is lower for M10 compared to M20.

4. Conclusions

In this study, we investigated the effects of lean combustion on the combustion and emission characteristics of a direct-injection spark-ignition engine using methanol–gasoline blended fuel. The main conclusions of this study are as follows:
(1)
For excess air ratios less than 1.3, HLB shows shorter flame development and combustion durations, a combustion center closer to top dead center, and smaller cyclic variations. For excess air ratios greater than 1.4, the HLB combustion phase extends more than that of SLB, with larger cyclic variations. Under stable conditions, the combustion center initially delays and then advances with increasing methanol blending ratios.
(2)
Optimal fuel economy is achieved by both HLB and SLB within the excess air ratio range of 1.2–1.3. Under the same stable conditions, BSFC decreases with higher methanol blending ratios, with SLB being more economical at lower blending ratios and HLB at higher ratios.
(3)
HLB and SLB achieve the lowest HC emissions at λ = 1.3 and the highest NOX emissions at λ= 1.1, respectively. SLB has lower NOX emissions when λ < 1.3, while HLB shows lower NOX emissions when λ > 1.3.
(4)
Both lean-burn modes show the lowest particulate concentrations around the excess air ratio of 1.3. Under stable blending lean-burn conditions, the particulate size distribution is bimodal, with SLB having the highest nucleation mode peak and HLB the highest accumulation mode peak. M20 corresponds to the highest particle emissions under lean-burn conditions.

Author Contributions

Conceptualization, M.Z.; methodology, M.Z.; resources, M.Z.; writing—original draft preparation, M.Z. and J.C.; writing—review and editing, M.Z. and J.C. All authors have read and agreed to the published version of the manuscript.

Funding

This research was funded by a Natural Science Research Fund Project of Jiangsu Normal University, grant number 20XSRS012; Jiangsu Province Higher Education Basic Science (Natural Science) Research Project, grant number 21KJB470014; Jiangsu Province Industry-University-Research Cooperation Project, grant number BY20230572; and a Xuzhou Science and Technology Plan Project, grant number KC23240.

Data Availability Statement

The original contributions presented in the study are included in the article, further inquiries can be directed to the corresponding author.

Acknowledgments

The authors acknowledge Fangxi Xie’s research group from the College of Automotive Engineering at Jilin University for providing experimental support.

Conflicts of Interest

The authors declare no conflicts of interest.

References

  1. BP. bp Energy Outlook: 2024 Edition; BP: London, UK, 2024. [Google Scholar]
  2. IRENA. World Energy Transitions Outlook 2023; IRENA: Masdar City, United Arab Emirates, 2023. [Google Scholar]
  3. Zhen, X.; Wang, Y. An overview of methanol as an internal combustion engine fuel. Renew. Sustain. Energy Rev. 2015, 52, 477–493. [Google Scholar] [CrossRef]
  4. Tian, Z.; Wang, Y.; Zhen, X.; Liu, Z. The effect of methanol production and application in internal combustion engines on emissions in the context of carbon neutrality: A review. Fuel 2022, 320, 123902. [Google Scholar] [CrossRef]
  5. Gong, C.; Li, Z.; Sun, J.; Liu, F. Evaluation on combustion and lean-burn limit of a medium compression ratio hydrogen/methanol dual-injection spark-ignition engine under methanol late-injection. Appl. Energy 2020, 277, 115622. [Google Scholar] [CrossRef]
  6. Han, D.; E, J.; Deng, Y.; Chen, J.; Leng, E.; Liao, G.; Zhao, X.; Feng, C.; Zhang, F. A review of studies using hydrocarbon adsorption material for reducing hydrocarbon emissions from cold start of gasoline engine. Renew. Sustain. Energy Rev. 2021, 135, 110079. [Google Scholar] [CrossRef]
  7. Verhelst, S.; Turner, J.W.G.; Sileghem, L.; Vancoillie, J. Methanol as a fuel for internal combustion engines. Prog. Energy Combust. Sci. 2019, 70, 43–88. [Google Scholar] [CrossRef]
  8. Balki, M.K.; Sayin, C.; Canakci, M. The effect of different alcohol fuels on the performance, emission and combustion characteristics of a gasoline engine. Fuel 2014, 115, 901–906. [Google Scholar] [CrossRef]
  9. Balki, M.K.; Sayin, C.; Sarıkaya, M. Optimization of the operating parameters based on Taguchi method in an SI engine used pure gasoline, ethanol and methanol. Fuel 2016, 180, 630–637. [Google Scholar] [CrossRef]
  10. Güdden, A.; Pischinger, S.; Geiger, J.; Heuser, B.; Müther, M. An experimental study on methanol as a fuel in large bore high speed engine applications—Port fuel injected spark ignited combustion. Fuel 2021, 303, 121292. [Google Scholar] [CrossRef]
  11. Gong, C.; Liu, J.; Peng, L.; Liu, F. Numerical study of effect of injection and ignition timings on combustion and unregulated emissions of DISI methanol engine during cold start. Renew. Energy 2017, 112, 457–465. [Google Scholar] [CrossRef]
  12. Li, Z.; Gong, C.; Qu, X.; Liu, F.; Sun, J.; Wang, K.; Li, Y. Critical firing and misfiring boundary in a spark ignition methanol engine during cold start based on single cycle fuel injection. Energy 2015, 89, 236–243. [Google Scholar] [CrossRef]
  13. Awad, O.I.; Mamat, R.; Ali, O.M.; Sidik, N.A.C.; Yusaf, T.; Kadirgama, K.; Kettner, M. Alcohol and ether as alternative fuels in spark ignition engine: A review. Renew. Sustain. Energy Rev. 2018, 82, 2586–2605. [Google Scholar] [CrossRef]
  14. Yang, S.; Feng, J.; Sun, P.; Wang, Y.; Dong, W.; Yu, X.; Li, W. Combustion and emissions characteristics of methanol/gasoline CISI engines under different injection modes. Fuel 2023, 333, 126506. [Google Scholar] [CrossRef]
  15. Agarwal, A.K.; Karare, H.; Dhar, A. Combustion, performance, emissions and particulate characterization of a methanol–gasoline blend (gasohol) fuelled medium duty spark ignition transportation engine. Fuel Process. Technol. 2014, 121, 16–24. [Google Scholar] [CrossRef]
  16. Tian, Z.; Zhen, X.; Wang, Y.; Liu, D.; Li, X. Comparative study on combustion and emission characteristics of methanol, ethanol and butanol fuel in TISI engine. Fuel 2020, 259, 116199. [Google Scholar] [CrossRef]
  17. Mishra, P.C.; Gupta, A.; Kumar, A.; Bose, A. Methanol and petrol blended alternate fuel for future sustainable engine: A performance and emission analysis. Measurement 2020, 155, 107519. [Google Scholar] [CrossRef]
  18. Gong, C.; Li, Z.; Chen, Y.; Liu, J.; Liu, F.; Han, Y. Influence of ignition timing on combustion and emissions of a spark-ignition methanol engine with added hydrogen under lean-burn conditions. Fuel 2019, 235, 227–238. [Google Scholar] [CrossRef]
  19. Badawy, T.; Panithasan, M.S.; Turner, J.W.G.; Kim, J.; Han, D.; Lee, J.; AlRamadan, A.S.; Chang, J. Performance and emissions evaluation of a multi-cylinder research engine fueled with ethanol, methanol, gasoline Euro-6, E85, and iso-stoichiometric ternary GEM mixtures operated at lean conditions. Fuel 2024, 363, 130962. [Google Scholar] [CrossRef]
  20. Gong, C.; Li, Z.; Yi, L.; Liu, F. Comparative study on combustion and emissions between methanol port-injection engine and methanol direct-injection engine with H2-enriched port-injection under lean-burn conditions. Energy Convers. Manag. 2019, 200, 112096. [Google Scholar] [CrossRef]
  21. Wu, B.; Wang, L.; Shen, X.; Yan, R.; Dong, P. Comparison of lean burn characteristics of an SI engine fueled with methanol and gasoline under idle condition. Appl. Therm. Eng. 2016, 95, 264–270. [Google Scholar] [CrossRef]
  22. Gong, C.; Yi, L.; Zhang, Z.; Sun, J.; Liu, F. Assessment of ultra-lean burn characteristics for a stratified-charge direct-injection spark-ignition methanol engine under different high compression ratios. Appl. Energy 2020, 261, 114478. [Google Scholar] [CrossRef]
  23. Gong, C.; Sun, J.; Liu, F. Numerical research on combustion and emissions behaviors of a medium compression ratio direct-injection twin-spark plug synchronous ignition methanol engine under steady-state lean-burn conditions. Energy 2021, 215, 119193. [Google Scholar] [CrossRef]
  24. Zhou, Y.; Hong, W.; Xie, F.; Su, Y.; Wang, Z.; Liu, Y. Effects of different valve lift adjustment strategies on stoichiometric combustion and lean burn of engine fueled with methanol/gasoline blending. Fuel 2023, 339, 126934. [Google Scholar] [CrossRef]
  25. Gong, C.; Li, D.; Liu, J.; Liu, F. Numerical evaluation of ignition timing influences on performance of a stratified-charge H2/methanol dual-injection automobile engine under lean-burn condition. Energy 2024, 290, 130209. [Google Scholar] [CrossRef]
  26. Wang, B.; Xie, F.; Hong, W.; Du, J.; Chen, H.; Su, Y. The effect of structural parameters of pre-chamber with turbulent jet ignition system on combustion characteristics of methanol-air pre-mixture. Energy Convers. Manag. 2022, 274, 116473. [Google Scholar] [CrossRef]
  27. Chen, Z.; Chen, H.; Wang, L.; Geng, L.; Zeng, K. Parametric study on effects of excess air/fuel ratio, spark timing, and methanol injection timing on combustion characteristics and performance of natural gas/methanol dual-fuel engine at low loads. Energy Convers. Manag. 2020, 210, 112742. [Google Scholar] [CrossRef]
  28. Zhao, L.; Wang, D.; Qi, W. Particulate matter (PM) emissions and performance of bio-butanol-methanol-gasoline blends coupled with air dilution in SI engines. J. Aerosol Sci. 2020, 145, 105546. [Google Scholar] [CrossRef]
  29. Park, C.; Kim, S.; Kim, H.; Moriyoshi, Y. Stratified lean combustion characteristics of a spray-guided combustion system in a gasoline direct injection engine. Energy 2012, 41, 401–407. [Google Scholar] [CrossRef]
  30. Raza, M.; Chen, L.; Leach, F.; Ding, S. A Review of Particulate Number (PN) Emissions from Gasoline Direct Injection (GDI) Engines and Their Control Techniques. Energies 2018, 11, 1417. [Google Scholar] [CrossRef]
  31. Zhang, M.; Hong, W.; Xie, F.; Su, Y.; Han, L.; Wu, B. Influence of diluents on combustion and emission characteristics of a GDI engine. Appl. Therm. Eng. 2017, 124, 746–755. [Google Scholar] [CrossRef]
Figure 1. Schematic of experimental setup.
Figure 1. Schematic of experimental setup.
Energies 17 04023 g001
Figure 2. Effects of different methanol blending ratios and excess air ratios on the flame development and combustion duration: (a) Flame development vs. λ; (b) combustion duration vs. λ.
Figure 2. Effects of different methanol blending ratios and excess air ratios on the flame development and combustion duration: (a) Flame development vs. λ; (b) combustion duration vs. λ.
Energies 17 04023 g002
Figure 3. Effects of different methanol blending ratios and excess air ratios on CA50 and COVIMEP: (a) CA50 vs. λ; (b) COVIMEP vs. λ.
Figure 3. Effects of different methanol blending ratios and excess air ratios on CA50 and COVIMEP: (a) CA50 vs. λ; (b) COVIMEP vs. λ.
Energies 17 04023 g003
Figure 4. Effects of different methanol blending ratios and excess air ratios (λ = 1–1.3) on CA50 and COVIMEP: (a) CA50; (b) COVIMEP. The upper part of the figure corresponds to homogeneous lean burn, and the lower part corresponds to stratified lean burn.
Figure 4. Effects of different methanol blending ratios and excess air ratios (λ = 1–1.3) on CA50 and COVIMEP: (a) CA50; (b) COVIMEP. The upper part of the figure corresponds to homogeneous lean burn, and the lower part corresponds to stratified lean burn.
Energies 17 04023 g004
Figure 5. Effects of different methanol blending ratios and excess air ratios on in-cylinder pressure and heat release rate. ‘M10-H1.1′ indicates a homogeneous lean-burn condition with a methanol volume fraction of 10% in the fuel and an excess air coefficient of 1.1. The solid line represents the in-cylinder pressure curve, the dashed line represents the heat release rate curve, and the arrows correspond to their respective scales.
Figure 5. Effects of different methanol blending ratios and excess air ratios on in-cylinder pressure and heat release rate. ‘M10-H1.1′ indicates a homogeneous lean-burn condition with a methanol volume fraction of 10% in the fuel and an excess air coefficient of 1.1. The solid line represents the in-cylinder pressure curve, the dashed line represents the heat release rate curve, and the arrows correspond to their respective scales.
Energies 17 04023 g005
Figure 6. Relationship between the average peak cylinder pressure and the corresponding crank angle. The direction of the arrow indicates the direction in which the excess air ratio increases.
Figure 6. Relationship between the average peak cylinder pressure and the corresponding crank angle. The direction of the arrow indicates the direction in which the excess air ratio increases.
Energies 17 04023 g006
Figure 7. Effects of different methanol blending ratios and excess air ratios on exhaust temperature.
Figure 7. Effects of different methanol blending ratios and excess air ratios on exhaust temperature.
Energies 17 04023 g007
Figure 8. Effects of different methanol blending ratios and excess air ratios on BSFC.
Figure 8. Effects of different methanol blending ratios and excess air ratios on BSFC.
Energies 17 04023 g008
Figure 9. Effects of different methanol blending ratios and excess air ratios on HC emissions.
Figure 9. Effects of different methanol blending ratios and excess air ratios on HC emissions.
Energies 17 04023 g009
Figure 10. Effects of different methanol blending ratios and excess air ratios on NOX emissions.
Figure 10. Effects of different methanol blending ratios and excess air ratios on NOX emissions.
Energies 17 04023 g010
Figure 11. Effects of different methanol blending ratios and excess air ratios on nucleation mode and accumulation mode particles: (a) PN—Nucleation vs. λ; (b) PN—Accumulation vs. λ.
Figure 11. Effects of different methanol blending ratios and excess air ratios on nucleation mode and accumulation mode particles: (a) PN—Nucleation vs. λ; (b) PN—Accumulation vs. λ.
Energies 17 04023 g011
Figure 12. Effects of different methanol blending ratios and excess air ratios on particle number–size distributions.
Figure 12. Effects of different methanol blending ratios and excess air ratios on particle number–size distributions.
Energies 17 04023 g012
Figure 13. Particle size distribution at λ = 1.3 for different methanol blending ratios. Solid lines represent homogeneous lean burn, and dashed lines represent stratified lean burn.
Figure 13. Particle size distribution at λ = 1.3 for different methanol blending ratios. Solid lines represent homogeneous lean burn, and dashed lines represent stratified lean burn.
Energies 17 04023 g013
Table 1. Detailed technical specifications of the test engine.
Table 1. Detailed technical specifications of the test engine.
Engine ParametersSpecifications
Engine typeIn-line, 4-Cylinder, 4-Stroke
Combustion SystemSpray-Guided GDI
Displacement1.39 L
Bore × Stroke76.5 mm × 75.6 mm
Compression Ratio10:1
Table 2. Measurement uncertainties of devices.
Table 2. Measurement uncertainties of devices.
DeviceModelUncertainty
DynamometerCW160Torque: ±2 Nm; Speed: ±1 r/min
Pressure sensorZF42±0.3%
Charge amplifierFLEXIFEM PIEZO±0.6%
Crank angle encoderLF-72BM-C05E±0.5%
Air flow meterSENSYCON±0.5%
Fuel flow meterDF-2420±0.2%
Gas analyzerDICOM 4000HC: ±30 ppm; CO: ±0.01%;
NO: ±20 ppm; CO2: ±0.1%
Disclaimer/Publisher’s Note: The statements, opinions and data contained in all publications are solely those of the individual author(s) and contributor(s) and not of MDPI and/or the editor(s). MDPI and/or the editor(s) disclaim responsibility for any injury to people or property resulting from any ideas, methods, instructions or products referred to in the content.

Share and Cite

MDPI and ACS Style

Zhang, M.; Cao, J. Effects of Lean Burn on Combustion and Emissions of a DISI Engine Fueled with Methanol–Gasoline Blends. Energies 2024, 17, 4023. https://doi.org/10.3390/en17164023

AMA Style

Zhang M, Cao J. Effects of Lean Burn on Combustion and Emissions of a DISI Engine Fueled with Methanol–Gasoline Blends. Energies. 2024; 17(16):4023. https://doi.org/10.3390/en17164023

Chicago/Turabian Style

Zhang, Miaomiao, and Jianbin Cao. 2024. "Effects of Lean Burn on Combustion and Emissions of a DISI Engine Fueled with Methanol–Gasoline Blends" Energies 17, no. 16: 4023. https://doi.org/10.3390/en17164023

APA Style

Zhang, M., & Cao, J. (2024). Effects of Lean Burn on Combustion and Emissions of a DISI Engine Fueled with Methanol–Gasoline Blends. Energies, 17(16), 4023. https://doi.org/10.3390/en17164023

Note that from the first issue of 2016, this journal uses article numbers instead of page numbers. See further details here.

Article Metrics

Back to TopTop