Next Article in Journal
A Physics-Based Equivalent Circuit Model and State of Charge Estimation for Lithium-Ion Batteries
Previous Article in Journal
Long-Duration Energy Storage—A Literature Review on the Link between Variable Renewable Energy Penetration and Market Creation
 
 
Font Type:
Arial Georgia Verdana
Font Size:
Aa Aa Aa
Line Spacing:
Column Width:
Background:
Article

Exploiting Lubricant Formulation to Reduce Particle Emissions from Gas Powered Engines

1
National Research Council—Institute of Sciences and Technologies for Sustainable Energy and Mobility (CNR-STEMS), 80125 Naples, Italy
2
Department of Engineering, University of Naples “Parthenope”, 80133 Naples, Italy
3
TotalEnergies—Centre de Recherche Solaize, Chemin du Canal-BP22, 69360 Solaize, France
*
Author to whom correspondence should be addressed.
Energies 2024, 17(15), 3781; https://doi.org/10.3390/en17153781
Submission received: 27 June 2024 / Revised: 19 July 2024 / Accepted: 24 July 2024 / Published: 31 July 2024
(This article belongs to the Section I2: Energy and Combustion Science)

Abstract

The present paper illustrates the results of an experimental study aimed at evaluating the effect of lubricant oil features on the emissive behaviour of a heavy duty spark ignition engine fuelled with methane. The activity was performed within a research project between CNR-STEMS and TotalEnergies in which oils with different formulations were characterized, focusing on their potentiality in particle emission reduction. Considering the ultralow particle emission level in the exhaust of gas engines, a specific testing procedure was designed to guarantee highly reliable and accurate results. In particular, the engine was operated under transient conditions, along the World Harmonized Transient Cycle in cold- and hot-start conditions. The results of the test campaign clearly highlight that the lubricant formulation is a key technology for the control of particles, revealing this as an important aspect in view of the upcoming severe regulation limits on particle emissions. The experimental findings show the capability of reformulated oils to drop down the total particle number to 60–70% with respect to a baseline standard oil. The interest in the present study also lies in providing information extendable to more sustainable fuels, like hydrogen or biomethane, nowadays of great interest as alternative energy sources.

1. Introduction

Research in the transport sector has to face the issue of the urgent decarbonization requirement. A possible approach towards the achievement of the CO2 reduction target is the implementation of a mix of propulsion/energy carrier solutions, alternative to conventional ones, with a zero or near zero impact on the environment. Electrification is certainly a valid alternative to conventional powertrains, but it still suffers from critical issues, whereas long-distance autonomy at a high power output must be guaranteed. On the contrary, renewable gaseous fuels, like green hydrogen or biomethane, are seen as promising solutions to approach the ongoing energy transition.
In the next years, new and more stringent regulations on pollutant emissions from internal combustion engines (ICEs), including solid particles, are foreseen, by means of the upcoming Euro VII or China VII regulations, that are expected to come into force within 2030. Following the proposal of the European Consortium for Ultra-Low Vehicle Emissions (CLOVE), the restriction will cover particles in the region above 10 nm in diameter which may not exceed the previous limit (Euro VI) of 6 × 1011 #/kWh [1,2]. The same is expected for China VII standards. The tightening of emissions regulations will require new actions by engine manufacturers to control tailpipe particle emissions derived from road transport, including all propulsion technologies.
Soot particle formation in gas engines is strongly related to lube oil combustion and to the mechanisms controlling the oil consumption [3,4,5]. Oil consumption is, in fact, not only detrimental for engine performance (knocking tendency, durability, etc.) but also the cause of a general exhaust emissions increase. With the increasing interest in decarbonized fuels (like hydrogen), or fully sustainable fuels like bio-methane, it is the most probable defendant for pollutant emissions from vehicles. Although oil consumption is much lower, in absolute terms, than fuel consumption, its influence on PN emissions is not negligible [6] and becomes predominant in low-carbon fuels like methane and the exclusive source of PN in zero-carbon fuels (hydrogen and ammonia).
The presence and flowing of lube oil through piston rings are the main drivers of particle formation. However, as recognized in [7], the crankcase ventilation, together with the turbocharger and valve leakages, also contributes to the oil consumption and the related formation of both particles and particulate matter (PM).
The carryover lube oil burning in the combustion chamber forms ash and soot particles. There is a direct correlation between them: the higher the oil carryover, the higher PN emissions are [8]. The oil leakage through the piston rings occurs during conditions when crankcase is at higher pressure than combustion chamber. In such cases, the oscillation of the compression ring pack leads to the leaking of oil vapor from the crankcase to the combustion chamber [9,10,11].
In past studies, the authors have focused their attention on PN formation from HD SI gas engines, correlating the occurrence of PN emission spikes with specific phases of transient cycles such as sudden increases of load/speed after long engine idle phases [12,13]. Additionally, it has been demonstrated that the particles released from a CNG HD engine share the same physical-chemical properties with soot from conventional Diesel engines with a comparable temperature range for burn-off (450–650 °C) [13].
An insufficient amount of oxygen in specific combustion zones, where the lubricating oil accumulates as vapor or liquid, primarily during idle phases, suggested that a pyrolysis process takes place in gas propulsors, similarly to soot formation phenomena typical of Diesel engines.
Different approaches, ranging from the identification of strategies to counteract the particle formation itself to dedicated aftertreatment systems for tailpipe abatement, can be followed to pursue the more and more challenging emission targets.
A long investigation has been performed by the authors to evaluate the potentialities offered by different technologies in particle emission control, as reported in [14].
First of all, the ring-pack design optimization revealed as a promising tool to decrease the oil accumulated in the ring seats and crevices [15]. Moreover, the adoption of particulate filtering devices installed in connection with the Three-Way Catalyst is a viable solution for PN reduction, as detailed in [16]; however, more efforts are required to match DPF-like filtration efficiency.
The effect of lube oil formulation on PN emission control is another aspect under investigation by the same authors. The properties of lubricants, in fact, strongly affect the oil consumption process, highlighting their importance in controlling particle emissions [9,17].
Lubricating oil formulation has a direct impact on the reliability, fuel consumption, and emissions of internal combustion engines [18]. As a result, an enhancement of lube oil properties can significantly reduce the level of exhaust emitted particles.
The predominant part (80% or 90%) of a lubricant is generally base oil, while the residual part consists of specific additives. The chemical base of an oil depends on the hydrocarbons and inorganic mixture characteristics of its formulation and on the processes needed to reach the final product. Hydrocarbons typically range between C5 and C200. The American Petroleum Institute (API) proposes five classes of base oils (API 1509, Appendix E) whose characteristics define the API Group in which they are classified [19]. Groups I–III are derived from the refining process of petroleum crude oil. Base oils from Group IV are completely synthetic (polyalphaolefin). All the other base oils are classified as Group V.
Additives can refer to any chemical compound added to the lubricant to improve its performance. Nevertheless, they are subjected to depletion over time, leading to the oil decay. The main additives are detergents, antioxidants, dispersants, anti-wear components, friction modifiers, viscosity modifiers, foam inhibitors and pour points depressants [19].
Lubricants’ main properties include kinetic viscosities at 40 °C and 100 °C, viscosity index, density, flash and pour point (representing, respectively, the temperature needed to ignite the oil and the minimum temperature which allows the oil to behave like a liquid), volatility and ash content [19]. The ash is the non-organic, unburned residual of the lubricant oil. Due to the gaseous nature of methane, intake and exhaust valves are less lubricated than those in conventional engines. Thus, a lower ash content in lube oil is needed to avoid ash deposits that might induce to valve wear, knocking and reduced heat transfer [20].
Based on a literature review and the authors’ experience, in Figure 1, a three-step process is proposed to illustrate the macroscopic mechanism of engine oil contributions to particle emissions. Generally speaking, lubricant chemical/physical proprieties have an impact on oil entry into the combustion chamber, on oil combustion and primary particles’ formation and on condensation phenomena forming secondary particles.
The flowing, atomization, evaporation and subsequent combustion of lubricating oil are primarily affected by volatility and viscosity, which could lead to variations in particle formation. In terms of chemical aspect, the amount of metal may have an impact on soot particle oxidation [21,22].
According to many papers in the literature referring to Diesel configuration, the quality of engine oil can alter engine emissions. The organic fraction (OF) or organic carbon (OC) component of Diesel particles is known to be significantly made of heavy hydrocarbons derived from engine oil [23]. As reported by Kittelson [24], oil hydrocarbons can also contribute to the nucleation mode OF and, as a consequence, to the amount of emitted particles. Furthermore, the effects of different lube oil viscosities on PN emissions have been studied by several researchers for Diesel engines. As previously stated, oil consumption is recognized as an important source of hydrocarbons and particle emissions through the partial combustion of the oil itself; as a result, more oil is burned, and more PN is released at the exhaust [25]. Fontaras et al. demonstrated that, in Diesel engines, lower viscosity grade oils lead to lower fuel consumption, decreasing the energy dissipated through friction [6]. The authors also stated that, typically, low viscosity lubricants (LVL) with minor mineral amounts have improved performance. Particle number emission reduction by LVL oils is also linked to their synthetic nature and reduced sulphur content. Some researchers, contrastingly, reported that lower viscosity leads to higher oil consumption due to the bigger oil film thickness leaving more residual oil on the liner [26,27].
As regards the ash content, tests on a gasoline engine showed that higher oil ash content (1.43% in comparison to 0.70%) leads to higher PN emissions (about 15%) [28].
Pirjola et al. studied the impact of several lube oils on PM released from a DI gasoline passenger vehicle, demonstrating that lubricants with the greatest amounts of metals produced the highest levels of emission [29]. In a literature review, Tornehed et al. [30] summarized that the rate of conversion from lubricant ash content to solid particles changed from 20% to 70% in different operating conditions. The ash content is related to the oxidation kinetics of soot particles [22], influencing the efficiency of aftertreatment devices in Diesel applications [31].
Acting on oil formulation by changing the base oil composition or additives influences its performance. Various papers found in the bibliography underline the effects of different oil compositions on tribological properties [32,33,34], which influence the oil operational life [35], fuel consumption [36] and PM emission [37].
From the above discussion it is evident that the scientific literature offers a quite comprehensive overview of the impact of lube oils’ properties on particle emissions, but largely focused on conventional Diesel and gasoline combustion systems. On the contrary, a direct analysis of the link between lube oil parameters and particle emissions in the case of methane fuelled engines is still missing in the technical background.
Moreover, notwithstanding the scientific community has widely investigated on the phenomena involved in particle emissions from internal combustion engines, the control of their emission from gas fuelled engines can represent an issue, as previously observed. In such a sense, the authors aimed to investigate the actual potentiality offered by lube oil technology; in particular, the research presented here carried out two main fundamental assessments:
  • Making a first evaluation of the potentialities of advanced lube oil formulation to reduce PN emission from gas engines;
  • Providing a first correlation between some lube oil parameters and particle emission, with number and sizing characterization.
The main aspects that clearly justify the interest in the study of lubricant oils can be summarised in the following:
  • The key role of oil formulation for compliance with the coming Euro VII regulations, as largely previously illustrated.
  • The effect of reduced particle formation, deriving from lube oil combustion, on after-treatment systems’ design. Reduced particle formation could potentially make unnecessary the usage of particle filter systems or limit their size in the applications where fuel combustion does not produce particle emissions. In this sense, the present study on gas engines could be applicable to all the decarbonized fuels burnt in combustion engines (like H2-ICEs).
  • From a vehicle life cycle point of view, the oil quality could guarantee a “constant” contribution to the PN control over the life cycle of the engine. Indeed, differently from piston rings and particle filters, which are subject to wearing and aging phenomena, it is expected that the oil quality guarantees the same performance during each oil change interval.
  • The potential of the oil formulation in reducing PN is well beyond its application on future vehicles (e.g., Euro VII class). Indeed, once a low-PN oil formulation has been validated for Euro VI and Euro VII vehicles, it could be applied to all gas fuelled engines suitable for any application, with an immediate benefit on the whole environment in which they are employed.
From a scientific point of view, the study also provides an experimental dataset useful for the preliminary design of phenomenological oil consumption, combustion and particle formation models, or the adaptation of previous models based on gasoline engines.
A wide test campaign was implemented to assess the interaction between oil composition and particle emission. The encouraging results of the first activity, presented in [14], led the authors to enlarge the test oils matrix. More in detail, the emissive response to the variation of the base oil composition, base oil viscosity and ash content will be presented and discussed, since this resulted very promising in particle emission control.
A definition for a proper testing procedure was necessary to correlate, in a consistent way, oil parameters under investigation with the engine emissive behaviour; the oils were compared to a commercial standard oil, running the engine on transient driving cycles.
The second section of the work will detail the tested engine, the particle detection systems, the experimental and analytical procedures. The third section will provide analysis and discussion of the main results.

2. Materials and Methods

2.1. Testing Protocol and Methodology

A preliminary activity was aimed at defining a robust working methodology able to provide solid results and reliable comparisons among the tested oils. Different engine driving cycles were tested to identify engine conditions sufficiently representative, and repeatable, of the emission phenomena under study. Hence, the World Harmonized Transient Cycle (WHTC) was chosen as the reference experimental test cycle, and was executed, according to the homologation procedures, both in cold and hot starts, separated by a soak period of ten minutes. Intake air temperature was set to 24 ± 2 °C.
Following the regulation procedure, each test was validated by means of a post-processing examination, comparing the target and the recorded values of engine speed, load and power [38].
The test showed a high reproducibility, as highlighted in Table 1, which reports, in terms of average values among all the tests, the regulation tolerance limits and the measured values of:
  • a1—gradient of the regression line
  • a0—regression line intercept
  • R2—coefficient of determination
  • (Wact/Wref)—ratio between actual and reference cycle work.
The methodology foresaw to exclude (and then repeat) any test not validated according to the described procedure, to obtain the scheduled number of tests for each oil characterization.
Figure 2a reports air humidity and temperature values during the tests; Figure 2b shows the test conditions in terms of the laboratory atmospheric factor fa, as below detailed.
The intake air and fuel conditions were constantly monitored in order to ensure that fixed limits on air temperature (set at 24 °C), air humidity (set at 50%), fuel temperature (set at about 24 °C) and fuel pressure (set at about 17 bar, with a minimum limit of 11 bar) were met. More in detail, the ambient air humidity interval acceptable for a valid WHTC test goes from 40% to 60%, while the ambient air temperature is acceptable from 22 °C to 26 °C. Every performed test respected these limits, as evidenced in the Figure 2a.
In addition, as the regulation prescribes, the validity of each test has been controlled according to the laboratory atmospheric factor fa [38], calculated by means of the engine intake air absolute temperature and the dry atmospheric pressure. It is recommended that: 0.93 ≤ fa ≤ 1.07; for more details on the described regulation procedure, see [38].
Figure 2b reports the fa parameter versus the actual/reference cycle work ratio. To better highlight the test points distribution, the graph area represents the allowed test conditions, so x scale range is 85 ÷ 105% (as the regulation foresees) and y scale range is 0.93 ÷ 1.07. It is evident that all the tests are inside the area, moderately dispersed and quite near to the target value (marked in red), so confirming the very high repeatability of the experimental campaign.
The methodology foresaw to firstly characterize a standard commercial oil (SAE 10W-40), chosen as reference (Ref), executing 3 cold WHTCs (on different days) and 15 hot WHTCs (five per day). In a similar way, the oils matrix characterization was then performed by means of a dedicated experimental campaign: 2 cold cycles (performed in different days) and 8 hot cycle repetitions (grouped over 2 days) were performed for each oil. The oil change was carried out through a fixed process that required the substitution of the oil filter.
The data elaboration methodology consisted of calculating, for each variable of interest, the mean value (Avg) and the standard deviation (STD) (adopted as error data estimation), over a homogeneous set of data. The following exclusion criteria was adopted to evaluate possible “outlier” measures, omitted from Avg and STD calculation:
if: (|χ_iμ|/3σ) > 1 → χ_i is an “outlier”
where μ is the Avg and σ is the STD.
The acquired data were analysed in terms of temporal evolution traces and average values over the cycle. WHTC data were also analysed as “combined” results: the mean cold and hot WHTC measurements were further weighted according to the European legislation by means of weight coefficients (14% for cold start tests and 86% for hot start tests).
A detailed engine characterization was made: performance, fuel consumption, gaseous compounds, soot and PN emissions were acquired along the WHTCs, for a deep understanding of the effect of oil formulation on engine emissive behaviour, with a major focus on exhaust particle emissions.

2.2. Experimental Layout

A fully instrumented laboratory was devoted to the test campaign. Here, an SI Port Fuel Injection (PFI) Heavy Duty CNG engine, conforming with Euro VI regulation, is installed on a chassis dyno. Table 2 reports the engine main features; Figure 3a illustrates a scheme and Figure 3b a real view of the experimental layout. The table also provides some details on the bowl shape and of the piston rings of the engine that are usually utilized on-road. A Three-Way Catalyst (TWC) is the standard after-treatment system installed at the tailpipe.
A variable-frequency fast-response dynamometer Dynodur (by AVL, Graz, Austria manufacturer) is coupled with the engine to carry out transient and steady-state tests.
The ELITE Coriolis flow meter (by Micro Motion Inc., Boulder, Colorado, CO, USA), sensor accuracy is 0.3% of reading value, has been used to measure fuel consumption, while an ultrasonic flow meter AVL Flowsonix was utilized for the air flow rate acquisition (sensor accuracy is about 1% of reading value).
The sampling lines were installed at the output of the TWC (Figure 3). For gaseous emission measurements (NOx, CH4, THC, CO2, CO), the Mexa 7100 (by Horiba, Tokyo, Japan) gas analysis equipment was used. Moreover, three different instruments have been exploited for particle characterization.
The AVL Particle Counter (APC) is the instrument used for counting the engine’s exhaust particle emission numbers and is at the state-of-the-art of PN measurement devices; its measuring concept corresponds to that of the homologation process. In this sense, the volatile components are firstly eliminated, in order to measure only the solid fraction. So, the sampled gas is diluted and is driven to a catalytic stripper where it is heated at 400 °C to vaporize and oxidase the volatile components. After a second dilution, the gas flows in the Particle Number Counter (PNC, or Condensation Particle Counter CPC), where particles are enlarged by means of butanol condensation, pass through a laser beam to be counted based on the generated scattered light pulse. Table 3 reports the APC main characteristics. In the implemented version, the measurement range goes from 0 to 50,000 particles/cm3 for the over-10 nanometre solid particles, so meeting the proposed Euro VII requirements. Through the Particle Concentration Reduction Factor (PCRF), the two dilution steps can be selected separately, corresponding to a total dilution factor that can range from 100 to 20,000. More in detail, the first dilution step (PND1) can be between 10 and 200 or 200 and 1000, depending on the particle concentration, whereas 10, 15, or 20 might be chosen for the next stage. In the performed campaign, the PCRF was set at a constant value of 3000, over the entire WHTC duration.
The analysis of the particle size distribution functions (PSDFs) was performed with the Differential Mobility Spectrometer (DMS 500 by Cambustion, Cambridge, UK). The instrument exploits a unipolar corona discharge to place a known charge on each particle, proportional to its surface area. The charged aerosol is subsequently pushed into an electrical field of a classifier column. To reach the electrometer detectors, this field forces particles to drift through a sheath flow. Particles are identified at various locations along the column depending on their electrical mobility. The device includes two dilution stages that may be adjusted based on the test conditions. For the present activity, the dilution ratios have been set to 6 and 150 as suitable values for all phases of the WHTC, while the dilution gas temperatures were 120 °C and 40 °C in the first and second stages. The above set values were not modified along the complete campaign. The DMS measurements regard both volatile and solid particles that are divided in nucleation and accumulation mode sizing, between 5 and 50 nm and 50 and 1000 nm, respectively.
In Table 4 the Differential Mobility Spectrometer sensitivity with respect to the particle diameters is reported for the best interpretation of results later analysed.
The Micro-soot sensor (by AVL, Graz, Austria), a highly sensitive sensor, was used to perform soot concentration measurements based on a photoacoustic measurement method: the sampled gas is exposed to modulated light, and the periodical warming/cooling and the consequent expansion/contraction of the gas can be considered as a sound wave, detected with the use of microphones.
A very good correlation was assessed between the Particle Counter and Micro Soot Sensor, as evidenced in Figure 4, presenting data of various acquisitions performed in different engine points.
The fuel adopted for the test campaign was methane 2.5 grade (99.5% at least), supplied in pressurized cylinders at 200 bar. In the following Table 5 is an extract of the gas specification.

2.3. Lubricants Descriptions

Based on literature and lubricant formulation know-how, five prototype oils were developed to be compared to a reference oil that consisted of a commercial lubricant, recommended for medium and heavy-duty gas engines, that meets ACEA E6 and API CJ-4 requirements [40,41].
The study focuses on the effect of the lubricants’ physic-chemical characteristics on particle emissions, in particular by evaluating the influence of the base oil and the additive package, separately. Thus, the overall impact of the package will be assessed regardless of its composition. Table 6 describes the lubricants tested in this study.
In Oil 1, the package introduction rate is reduced by 50% compared to the reference and the other candidates, significantly lowering the ash content, which can be a source of particulate emissions, as discussed in the Introduction.
To evaluate the influence of base oil composition on particle emissions, Oils 2, 3, and 4 were designed. Oil 2’s base oil is composed entirely of Group IV. Oil 3 uses Group III base oil similar to that of the reference oil, but with a lower viscosity. Oil 4’s base oil mix is composed of 75% Group V and 25% Group IV in order to facilitate additives and polymer solubility.
Oils 2, 3, and 4 have nearly identical base oil viscosities and kinetic viscosities at 100 °C, all lower than KV100 of Ref. Oil 5 uses a base oil from the same group as the reference oil but with half the viscosity, allowing for the evaluation of the impact of base oil viscosity on particle emissions while maintaining the same kinematic viscosity and viscosity grade as the reference oil, due to a higher content of polymers.

3. Results and Discussion

3.1. Effect of Oil Formulation on PN and Soot Emissions

Figure 5 shows particle number and soot emissions, as combined data of the averaged cold and hot start WHTCs (according to the described methodology) and the correspondent standard deviations for all the tested candidates. For confidentiality reasons, data are reported as dimensionless in relation to the highest recorded PN and Soot values.
A marked difference between the Ref and candidate oils is immediately evident: PN and soot emissions, in case of reference oil, display much higher values than those of the reformulated oils. In particular, the lowest PN and soot emissions were measured in case of Oil 5; Oil 1 was the most emissive among the reformulated oils, while Oil 2, 3 and 4 constitute a similar intermedium group.
Oil 1 is formulated, as reported in Table 6, with a rate of introduction of the additive package that is two times lower than the reference oil, while the viscosity grade is similar. PN10 particles are more than 30% lower than those of the reference oil. This reduction is confirmed by soot emission results, 35% lower than the reference oil. These results make it possible to quantify the contribution of the additive package on the particles emission linked to the oil. Moreover, the findings are consistent with the observation made by Macián et al. and by Premnath et al. [28,42] on a gasoline engine, who demonstrated that the higher ash content in the lube oil, the more particles and soot are emitted.
Tests results for Oils 2, 3 and 4 provide insights into the effect of base oil chemistry on particle emissions. To highlight this impact, the oils were formulated to achieve similar characteristics in terms of viscosity grade, additive package rate and base oil viscosity. The base oil viscosity and KV are lower than the Ref ones. Surprisingly, no differences were observed among Oils 2, 3 and 4 in terms of PN10 measurements, with a common reduction of about 60% compared to Ref oil and better performance than Oil 1. Thus, the results of these three oils tend to show that the adoption of Group IV and Group V base oils does not have an impact on particle emissions compared to Group III base oil. So, the lower particle emissions seem more correlated to their lower base oil viscosities. This last aspect has been deepened with Oil 5, formulated with the lowest base viscosity among all the tested oils. Very low PN and soot were measured with Oil 5 with a significant 75% reduction of PN10 compared to the reference oil. The reduction is confirmed by the soot measurement which shows a benefit of 85% compared to the reference lubricant. As previously presented, Oil 5 and the Ref have the same additive package, with equal introduction rate. While the high temperature viscosity grade is identical between the two oils, Oil 5 has a base oil from the same group as the reference one but with a significantly lower base oil viscosity. The amount of polymer is therefore greater for Oil 5 in order to have the same KV100 as reference oil.
The results highlight that the compromise between the base oil viscosity and the polymer content seems to have an important effect on PN emissions. So far, the findings do not allow for thorough understanding of the ongoing phenomena, and further ad hoc experiments have to be performed to better identify the causes of the observed behaviour. However, these results raise several hypotheses. First, it can be assumed that the variation in base oil viscosity and in polymer content impact the rheology of the oil thread on the ring–piston–liner contact, thereby affecting the oil transport phenomenon in the combustion chamber, either in quantity or by the morphology of the oil droplets. Depending on their size distribution, they decompose more or less favourably into particles. The hypothesis of different oil transfers with this oil could be better supported by means of oil consumption measurement.
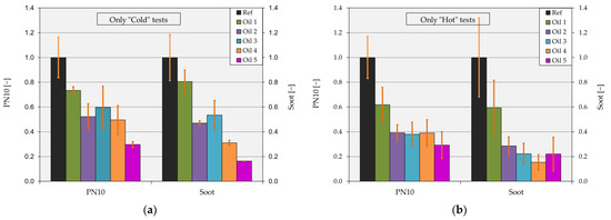
Figure 6a,b provide PN and soot emissions in cold and hot engine start conditions, respectively.
In both cold and hot start tests, the same PN trends are visible among the oils, demonstrating the positive influence of oil quality. Generally speaking, particle and soot emissions are always higher in cold than in hot WHTCs, due to more favourable conditions during the hot tests in terms of oil leakage and in cylinder temperature. Moreover, a generally higher performance of the oils in PN reduction has been detected during the hot start WHTCs than in cold start ones, as can be better evidenced in Figure 7, reporting the percentage of PN reduction with respect to that of the Reference, relative to cold and hot tests, for the five reformulated oils.
A different trend is observable for Oil 5 that exhibited the same percentage of reduction (the highest one) independently from the test conditions. For a complete analysis of the oils’ behaviour in the different WHTC tests, in cold and hot conditions, Figure 8a reports the evolution of the oil pan temperatures as mean values over test repetitions in the cold and hot start driving cycles, separately. Figure 8b shows the oil gallery pressure measured just downstream of the oil filter, by means of piezoresistive pressure transducer (GEMS sensor 3100 series). The measurements refer to the mean value of oil gallery pressure over WHTC tests, then weighted over all the performed tests (cold and hot WHTCs, separately). The temperature curves report, for all the oils, the initial temperature-rise ramp during the cold tests and the constant temperatures of the hot conditions, so highlighting similar behaviour of the tested oils in terms of oil warming. On the other hand, it is possible to observe a sort of correspondence between the higher reduction of oil gallery pressure in hot cases with respect to the cold conditions, for oils 2, 3 and 4, and the tendency of stronger PN reduction during the hot WHTCs evidenced in Figure 7. Such tendency evidences the positive contribution of the lower oil viscosities of oils 2, 3 and 4. Differently, Oil 5 exhibited the same pressure values (slightly lower than the Ref one) in both thermal conditions, showing itself to be intrinsically more prone to a PN lowering and revealing that the effect of viscosity grade is not the unique driver in PN reduction. Oil 1, in fact, exhibits quite similar pressures of reference oil (similar viscosity) and the effect of more decreasing PN in hot conditions could be linked to other aspects that need additional investigations.
The peculiar behaviour of Oil 5 can be also highlighted in Figure 9, reporting oil gallery pressure versus PN/soot emission values, measured during the WHTCs, for all the oils’ matrix. The graph refers to the hot start tests, intrinsically more repeatable than the cold ones.
The graphs report the regression line and the R2 value (in red) relative to oil data. A linear correlation for oils from 1 to 4 can be observed, revealing a trend: the lower the oil pressure, the lower the PN emissions. The oil consumption processes (the main PN source in an HD natural gas engine, as commented in the Introduction), might be partly influenced by the oil pressure into lubrication circuit; for example, varying the oil amount sprayed by piston jet affects the transportation mechanism of the oil through the piston ring. The measured “oil gallery” pressure is actually the same as the pressure in the region immediately upstream of the piston cooling oil jet. The piston cooling oil jet, which needs to lubricate and improve the heat exchange of the piston-cylinder system, exits the nozzle at a flow rate that depends on the upstream pressure; the pressure is directly proportional to the flow (converging duct theory). Oils 2, 3 and 4 have similar viscosities and should enter the piston-cylinder system at the minimum flow rate among the oils tested due to their lower oil line recorded pressure. The same viscosities suggest a similar depositing mechanism on the cylinder liners; lower mass flow should lead to reduced mass oil stagnation on the liners and, consequently, less oil being pushed into the combustion chamber by the piston top-land (top-land scraping process [14]) resulting in lower PN emissions.
Oil 5, on the contrary, shows a different behaviour and is out of the above described correlation, with higher gallery pressure compared to oils 2, 3 and 4, really close to that of the reference, together with the lowest PN/Soot values; suggesting again the hypothesis that a reduction in the amount of oil arriving into the combustion chamber should not be considered the unique driver of PN emission reduction from oil combustion.
The compromise between base oil viscosity and polymer content appears as the strongest aspect in PN/soot lowering.
In any case, further analysis will be performed for a complete understanding of the observed behaviour and to better discriminate about the effect of the single oil parameters on PN emissions.
Results analysis hints that base oil viscosity is the most impactful property to act on to homogeneously reduce PN and Soot emissions, and indicate a significant correlation between PN and physical/chemical parameters, underlining that a critical aspect in controlling the PN and soot emissions is the oil formulation.

3.2. PSDF Analysis

Figure 10 shows the particle size distribution (number of particles related to the particle size) acquired with the DMS 500.
The curves represent the mean dimensionless values of the weighted WHTCs for all the tested oils. The dashed black lines denote the variability of the Ref curve. A bimodal distribution is evident for all the oils. Two major peaks are detectable, at approximately 25 nm and 150 nm, corresponding to nucleation and accumulation mode particles, respectively. In correspondence of 10 nm, peaks are also observable, but the instrument accuracy in this sizing range is very low.
The reformulated oil curves are below the Ref one, so confirming the lower emissivity, with the same percentage of reduction in all dimensional range. Oil 5 corroborates its best behaviour throughout the entire spectrum for both nucleation and accumulation mode particles, while Oil 1 shows lower particle reduction. Oils 2, 3 and 4 provide similar reductions all over the diameter spectrum.
The analysis of particle size distribution varying the oil formulation offers interesting insights in view of future after-treatment system devices properly devoted to the emission control at the exhaust of CNG engines.

3.3. Fuel Consumption Results

Figure 11 shows fuel consumption normalized with reference mean value, recorded among the tests with the different oils.
As a general overview, for the reformulated oils tests, the fuel consumption was always comparable or lower than the Ref one.
Fuel consumption measured values are consistent with the oil viscosity: the higher the oil gallery pressure, the greater the energy required to overcome the frictions between mechanical components and the oil itself. As a consequence, Oils 2, 3 and 4 provoke less fuel consumption (−1% per kWh) with respect to the other lubricants.

4. Conclusions

The purpose of the current study was to investigate the potentiality provided by lube oil formulation on the control of particle emissions from HD gas fuelled engines.
Once it was assessed that particle emissions from natural gas engines are linked to oil consumption phenomena, the authors decided to deepen the aspect of oil reformulation on the emissive behaviour of a CNG engine of the latest technology. Particle number emission, in fact, can represent an issue for such an engine category, considering the reinforcement of the regulatory framework; moreover, the scientific literature is quite poor in information and data on this aspect.
The study proved to be interesting as, due to a wide experimental campaign and an assessed test methodology, it provided reliable information on the effect of ash content, base oil composition and base oil viscosity on PN and soot emissions compared to a conventional, commercial lube oil.
The results of the oil with lower ash content at same viscosity grade of the reference oil allow to quantify the contribution of the additive package to particle and soot emissions; in particular, PN and soot emissions decrease by about 30% with respect to the reference case, while ash content is reduced by half.
The impact of base oil chemistry was investigated by means of a group of three oils, formulated to have similar viscosity grade, additive package rate and base oil viscosity, but with lower viscosity than the reference lubricant. The results evidenced no significant difference in terms of PN and soot among them, but were in any case lower than the values measured with the reference oil.
Strong potentiality was revealed by oils with the lowest base oil viscosity, of the same additive package and group, but with higher polymer content than the commercial oil (similar kinematic viscosity). In that case, the PN and soot reduction with respect to the reference oil has even reached about 80%. Some hypotheses were formulated to explain the observed results, related to the combined effects of base oil viscosity and polymer content in affecting the quantity and/or morphology of the oil droplets.
The dimensional analysis of the emitted particles highlighted a reduction trend in all the dimensional range in case of reformulated oils, so both, nucleation and accumulation mode particles were lowered in comparison to the reference oil.
To sum up, the main effects of the oil reformulation can be listed as follows:
  • All the reformulated oils exhibited lower PN and soot emissions than reference standard oil.
  • Ash content halving led to a 30% reduction in PN and Soot emissions with respect to the reference standard oil.
  • Base oil chemistry led to 60% PN and soot reduction with respect to the reference oil, but the different oil groups did not produce appreciable impact.
  • Base oil viscosity and polymer content were the predominant parameters in PN and soot emission control, with a reduction of about 80% compared to the reference oil.
The particle reduction potentiality revealed by lube oil formulation is an interesting aspect also for the development of aftertreatment systems. A proper formulation might be the key factor in avoiding particle filters, or in reducing their size in the case of combustion engines that produce PN only from lubricant combustion, but that need to fulfil Euro VII regulations. In this sense, the present study could be applicable to all decarbonized fuels burnt in combustion engines (like H2-ICEs).
The observed results also raise new questions: which additives in the package contribute the most to particle emissions? Are there alternative components that can reduce the contribution of particle emissions while maintaining lubricant performance? In this sense, the objective of following activities will be the evaluation of different polymer technologies and the analysis of the different compromises in BOV versus polymer content.

Author Contributions

Conceptualization, C.G., P.N., C.B. and B.G.; Methodology, C.G., P.N., B.G. and N.O.; Investigation, C.G., P.N., D.D.D. and D.D.M.; Data curation, P.N., D.D.D. and D.D.M.; Writing—original draft, C.G., D.D.D. and N.O.; Writing—review & editing, D.D.M.; Supervision, C.B.; Funding acquisition, C.G., C.B. and B.G. All authors have read and agreed to the published version of the manuscript.

Funding

This research received no external funding.

Data Availability Statement

Data are contained within the article.

Acknowledgments

The authors appreciate the technical assistance and support of Salvatore Alfuso, Alessio Schiavone and Augusto Piccolo in the engine set-up and testing. Authors also recognize the highly valuable contribution of Steve Faure from TotalEnergies and Modestino De Feo in the lubricants’ formulation.

Conflicts of Interest

Authors Bruno Griffaton and Nicolas Obrecht were employed by the company TotalEnergies. The remaining authors declare that the research was conducted in the absence of any commercial or financial relationships that could be construed as a potential conflict of interest.

References

  1. Samaras, Z.; Kontses, A.; Dimaratos, A.; Kontses, D.; Balazs, A.; Hausberger, S.; Ntziachristos, L.; Andersson, J.; Ligterink, N.; Aakko-Saksa, P. A European Regulatory Perspective towards a Euro 7 Proposal. SAE Int. J. Adv. Curr. Pract. Mobil. 2023, 5, 998–1011. [Google Scholar] [CrossRef]
  2. Giechaskiel, B.; Lähde, T.; Drossinos, Y. Regulating particle number measurements from the tailpipe of light-duty vehicles: The next step? Environ. Res. 2019, 172, 1–9. [Google Scholar] [CrossRef]
  3. Thiruvengadam, A.; Besch, M.C.; Yoon, S.; Collins, J.; Kappanna, H.; Carder, D.K.; Ayala, A.; Herner, J.; Gautam, M. Characterization of particulate matter emissions from a current technology natural gas engine. Environ. Sci. Technol. 2014, 48, 8235–8242. [Google Scholar] [CrossRef] [PubMed]
  4. Karavalakis, G.; Hajbabaei, M.; Jiang, Y.; Yang, J.; Johnson, K.C.; Cocker, D.R.; Durbin, T.D. Regulated, greenhouse gas, and particulate emissions from lean-burn and stoichiometric natural gas heavy-duty vehicles on different fuel compositions. Fuel 2016, 175, 146–156. [Google Scholar] [CrossRef]
  5. Distaso, E.; Amirante, R.; Tamburrano, P.; Reitz, R.D. Steady-state Characterization of Particle Number Emissions from a Heavy-Duty Euro VI Engine Fueled with Compressed Natural Gas. Energy Procedia 2018, 148, 671–678. [Google Scholar] [CrossRef]
  6. Fontaras, G.; Vouitsis, E.; Samaras, Z. Experimental Evaluation of the Fuel Consumption and Emissions Reduction Potential of Low Viscosity Lubricants. In SAE Technical Paper 2009-01-1803; SAE International: Warrendale, PA, USA, 2009. [Google Scholar] [CrossRef]
  7. Miao, R.; Jing, G.; Zeng, X.; Ge, H. Optimization of piston-ring system for reducing lube oil consumption by CAE approach. In SAE Technical Paper 2020-01-1339; SAE International: Warrendale, PA, USA, 2020. [Google Scholar] [CrossRef]
  8. Karlsson, H.L. PN Emissions from Heavy Duty CNG Engine and CNG PEMS PN Issue; ACEA: Brussels, Belgium, 2018. [Google Scholar]
  9. Inoue, T.; Maeda, Y.; Takeda, M.; Nakada, M. Study of transient oil consumption of automotive engine. In SAE Technical Paper 892110; SAE International: Warrendale, PA, USA, 1989. [Google Scholar] [CrossRef]
  10. Audette, W.E. Estimation of oil Consumption Due to in-Cylinder Vaporization in Internal Combustion Engines. Ph.D. Thesis, Massachusetts Institute of Technology, Department of Mechanical Engineering, Cambridge, MA, USA, 1999. Available online: http://hdl.handle.net/1721.1/46261 (accessed on 30 October 2023).
  11. De Petris, C.; Giglio, V.; Police, G. Some insights on mechanisms of oil consumption. In SAE Technical Paper 961216; SAE International: Warrendale, PA, USA, 1996. [Google Scholar] [CrossRef]
  12. Napolitano, P.; Guido, C.; Beatrice, C.; Fraioli, V.; Alfuso, S. Particle and gaseous emissions from a heavy-duty SI gas engine over WHTC driving cycles. SAE Int. J. Adv. Curr. Pract. Mobil. 2020, 2, 357–367. [Google Scholar] [CrossRef]
  13. Napolitano, P.; Alfè, M.; Guido, C.; Gargiulo, V.; Fraioli, V.; Beatrice, C. Particle emissions from a HD SI gas engine fueled with LPG and CNG. Fuel 2020, 269, 117439. [Google Scholar] [CrossRef]
  14. Guido, C.; Di Maio, D.; Napolitano, P.; Beatrice, C. Sub-23 particle control strategies towards Euro VII HD SI natural gas engines. Transp. Eng. 2022, 10, 100132. [Google Scholar] [CrossRef]
  15. Guido, C.; Napolitano, P.; Alfuso, S.; Corsetti, C.; Beatrice, C. How engine design improvement impacts on particle emissions from an HD SI natural gas engine. Energy 2021, 231, 120748. [Google Scholar] [CrossRef]
  16. Napolitano, P.; Di Maio, D.; Guido, C.; Merlone Borla, E.; Torbati, R. Experimental investigation on particulate filters for heavy-duty natural gas engines: Potentialities toward EURO VII regulation. J. Environ. Manag. 2023, 331, 117204. [Google Scholar] [CrossRef]
  17. Yilmaz, E.; Thirouard, B.; Tian, T.; Wong, V.; Heywood, J.B.; Lee, N. Analysis of oil consumption behavior during ramp transients in a production spark ignition engine. In SAE Technical Paper 2001-01-3544; SAE International: Warrendale, PA, USA, 2001. [Google Scholar] [CrossRef]
  18. Xu, G.; Zhao, Y.; Li, M.; Lin, L.; Hu, Y. Effects of the lubricating oil and diesel mixture combustion on the oxidation and microphysical properties of particulate matter. Energy Rep. 2020, 6, 308–314. [Google Scholar] [CrossRef]
  19. American Automobile Association, Inc. AAA Engine Oil Research: AAA Proprietary Research into the Differences between Conventional and Synthetic Engine Oil; American Automobile Association, Inc.: Heathrow, FL, USA, 2017. [Google Scholar]
  20. Khan, M.I.; Yasmin, T.; Shakoor, A. Technical overview of compressed natural gas (CNG) as a transportation fuel. Renew. Sustain. Energy Rev. 2015, 51, 785–797. [Google Scholar] [CrossRef]
  21. Lihui, D.; Gequn, S.; Xingyu, L. Effect of lubricating oil on the particle size distribution and total number concentration in a diesel engine. Fuel Process. Technol. 2013, 109, 78–83. [Google Scholar]
  22. Jung, H.; Kittelson, D.B.; Zachariah, M.R. The influence of engine lubricating oil on diesel nanoparticle emissions and kinetics of oxidation. In SAE Technical Paper 2003-01-3179; SAE International: Warrendale, PA, USA, 2003. [Google Scholar]
  23. Voss, K.E.; Lampert, J.K.; Farrauto, R.J.; Rice, G.W.; Punke, A.; Krohn, R. Catalytic Oxidation of Diesel Particulates with Base Metal Oxides. In Studies in Surface Science and Catalysis; Frennet, A., Bastin, J.M., Eds.; Elsevier: Amsterdam, The Netherlands, 1995. [Google Scholar]
  24. Kittelson, D.B.; Watts, W.F.; Johnson, J. Diesel Aerosol Sampling Methodology—CRC E-43: Final Report; Report for the Coordinating Research Council; University of Minnesota: Minneapolis, MN, USA, 2002; Available online: https://citeseerx.ist.psu.edu/document?repid=rep1&type=pdf&doi=742e0672008cb6db75131467c2f28dbddbcbdda2 (accessed on 13 December 2023).
  25. Yilmaz, E.; Tian, T.; Wong, V.; Heywood, J. The Contribution of Different Oil Consumption Sources to Total Oil Consumption in a Spark Ignition Engine. In SAE Technical Paper 2004-01-2909; SAE International: Warrendale, PA, USA, 2004. [Google Scholar] [CrossRef]
  26. Wang, Y.; Liang, X.; Wang, Y.; Yu, H. Effects of Viscosity Index Improver on Morphology and Graphitization Degree of Diesel Particulate Matter. Energy Procedia 2017, 105, 4236–4241. [Google Scholar] [CrossRef]
  27. Laurence, R.; Wong, V.; Brown, A. Effects of Lubrication System Parameters on Diesel Particulate Emission Characteristics. In SAE Technical Paper 960318; SAE International: Warrendale, PA, USA, 1996. [Google Scholar] [CrossRef]
  28. Macián, V.; Tormos, B.; Ruiz, S.; Miró, G. Low viscosity engine oils: Study of wear effects and oil key parameters in a heavy duty engine fleet test. Tribol. Int. 2016, 94, 240–248, ISSN 0301-679X. [Google Scholar] [CrossRef]
  29. Pirjola, L.; Karjalainen, P.; Heikkilä, J.; Saari, S.; Tzamkiozis, T.; Ntziachristos, L.; Kulmala, K.; Keskinen, J.; Rönkkö, T. Effects of fresh lubricant oils on particle emissions emitted by a modern gasoline direct injection passenger car. Environ. Sci. Technol. 2015, 49, 3644–3652. [Google Scholar] [CrossRef] [PubMed]
  30. Tornehed, P.; Olofsson, U. Lubricant ash particles in diesel engine exhaust. Literature review and modeling study. Proc. Inst. Mech. Eng. Part D J. Automob. Eng. 2011, 225, 1055–1066. [Google Scholar] [CrossRef]
  31. Sappok, A.G.; Beauboeuf, D.; Wong, V.W. A Novel Accelerated Aging System to Study Lubricant Additive Effects on Diesel Aftertreatment System Degradation. In SAE Technical Paper 2008-01-1549; SAE International: Warrendale, PA, USA, 2008. [Google Scholar]
  32. Kajdas, C.; Majzner, M. Effectiveness of selected CHO compounds as anti-wear additives to white mineral oils. Tribol. Trans. 2005, 48, 93–99. [Google Scholar] [CrossRef]
  33. Habib, O.M.O.; Hassan, H.M.; Moawad, E.B.; El-Hadidy, M. The evaluation of some heterocycles as antioxidant additives for lubricating oils. Pet. Sci. Technol. 2010, 28, 1059–1067. [Google Scholar] [CrossRef]
  34. Nassar, A.M.; Ahmed, N.S.; Kamal, R.S.; Abdel Azim, A.A.A.; El-Nagdy, E.I. Preparation and evaluation of acrylate polymers as viscosity index improvers for lube oil. Pet. Sci. Technol. 2005, 23, 537–546. [Google Scholar] [CrossRef]
  35. Beşergil, B.; Sabih Özer, M.; Eskici, M.; Atik, E. Study on lubricant quality and its effect on engine component performance. Ind. Lubr. Tribol. 2008, 60, 172–177. [Google Scholar] [CrossRef]
  36. Vipper, A.B.; Bartz, W.; Karaulov, A.K.; Mischuk, O.A.; Lukinyuk, M.Y. Anti-friction action of lubricant additives. Lubr. Sci. 1995, 7, 247–259. [Google Scholar] [CrossRef]
  37. Kang, Y. Role of selected dispersants in gasoline particulate emissions under lubricant formulations in the presence of commercial package and dispersant additives: Its effect on emissions, viscosity, and soot morphology. Fuel 2020, 281, 118444. [Google Scholar] [CrossRef]
  38. Addendum 48: Regulation No. 49. E/ECE/324/Rev.1/Add.48/Rev.6–E/ECE/TRANS/505/Rev.1/Add.48/Rev.6. Available online: https://unece.org/fileadmin/DAM/trans/main/wp29/wp29regs/2013/R049r6e.pdf (accessed on 15 December 2023).
  39. Available online: https://www.cambustion.com/files/1695313739-dms500-engine-brochure.pdf (accessed on 5 January 2024).
  40. European Automobile Manufacturers Association (ACEA). Acea European Oil Sequences for Heavy Duty Engines; European Automobile Manufacturers Association (ACEA): Brussels, Belgium, 2016. [Google Scholar]
  41. American Petroleum Institute (API). Api’s Motor Oil Guide; American Petroleum Institute (API): Washington, DC, USA, 2020. [Google Scholar]
  42. Premnath, V.; Khalek, I.; Morgan, P.; Michlberger, A.; Sutton, M.; Vincent, P. Effect of Lubricant Oil on Particle Emissions from a Gasoline Direct Injection Light-Duty Vehicle. In SAE Technical Paper 2018-01-1708; SAE International: Warrendale, PA, USA, 2018. [Google Scholar] [CrossRef]
Figure 1. Macroscopic mechanism of engine oil contribution to particle emissions at the exhaust.
Figure 1. Macroscopic mechanism of engine oil contribution to particle emissions at the exhaust.
Energies 17 03781 g001
Figure 2. Test conditions: ambient air humidity vs ambient air temperature (a); regulation area for test validation as fa versus actual/reference cycle work (b). Target values in red.
Figure 2. Test conditions: ambient air humidity vs ambient air temperature (a); regulation area for test validation as fa versus actual/reference cycle work (b). Target values in red.
Energies 17 03781 g002
Figure 3. Schema (a) and real view (b) of the experimental layout.
Figure 3. Schema (a) and real view (b) of the experimental layout.
Energies 17 03781 g003
Figure 4. Correlation between APC and MicroSoot Sensor (linear regression curve in dotted red).
Figure 4. Correlation between APC and MicroSoot Sensor (linear regression curve in dotted red).
Energies 17 03781 g004
Figure 5. Combined PN and Soot measurements for the whole matrix of tested oils.
Figure 5. Combined PN and Soot measurements for the whole matrix of tested oils.
Energies 17 03781 g005
Figure 6. PN and Soot emissions during cold (a) and hot (b) WHTCs, for all the oils.
Figure 6. PN and Soot emissions during cold (a) and hot (b) WHTCs, for all the oils.
Energies 17 03781 g006
Figure 7. PN emission reduction with respect to Ref during cold and hot WHTCs.
Figure 7. PN emission reduction with respect to Ref during cold and hot WHTCs.
Energies 17 03781 g007
Figure 8. Oil pan temperature profiles (a). Oil gallery pressures with respect to Ref (b). Average cold and hot WHTC values.
Figure 8. Oil pan temperature profiles (a). Oil gallery pressures with respect to Ref (b). Average cold and hot WHTC values.
Energies 17 03781 g008
Figure 9. Oil gallery pressure vs. PN (a) and vs soot (b).
Figure 9. Oil gallery pressure vs. PN (a) and vs soot (b).
Energies 17 03781 g009
Figure 10. Particle size distribution for all the tested oils during WHTCs.
Figure 10. Particle size distribution for all the tested oils during WHTCs.
Energies 17 03781 g010
Figure 11. Normalized fuel consumption.
Figure 11. Normalized fuel consumption.
Energies 17 03781 g011
Table 1. Regulation tolerance limits and averaged measured values of a1, a0, R2, and Wact/Wref. for the WHTC tests.
Table 1. Regulation tolerance limits and averaged measured values of a1, a0, R2, and Wact/Wref. for the WHTC tests.
SpeedTorquePowerWact/Wref
a1a0R2a1a0R2a1a0R2
Limit0.95–1.03±85Min. 0.9700.83–1.03±20Min. 0.8500.89–1.03±4Min. 0.91085–105
WHTCs_Cold1.03−370.9940.88140.8870.9320.94698
WHTCs_Hot1.03−320.9880.88130.8850.9410.94898
Table 2. Engine main characteristics.
Table 2. Engine main characteristics.
Engine ManufacturerIVECO
Engine configuration6 cyl in line
Displacement5883 cm3
Bore × Stroke102 mm × 120 mm
Valves per cylinder2
Rated power 147 kW @ 2400 rpm
Rated torque750 Nm @ 1500rpm
Compression ratio10:1
Piston bowlcylindrical shape bowl with hemispheric bottom
Piston rings3 compression rings + 1 oil ring
Aftertreatment Standard TWC
Table 3. APC main characteristics [14].
Table 3. APC main characteristics [14].
Confirmed StandardsUN/ECE-GRPE-PMP for Sub-23 nm Solid Particle Counting
Measuring range0–30,000 p/cm3 (single count mode)
Linear (R2 > 0.95) up to 50,000 p/cm3
Lower particle size limit10 nm (>50%)   15 nm (>90%)
Mean instrument response time (t90)4.5 s
Mean CPC sensor response time (t90)2.0 s
CPC readability0.1 p/cm3
CPC data reporting frequency10 Hz
Ambient temperature operation
conditions
5–25 °C
Ambient relative humidity conditions0–90% non-condensing
Sample flow rateDiluited: 5 L/min   Raw: 4–7 L/min
PCRFPND1:10 ÷ 1000   PND2: 10, 15 and 20
Table 4. DMS 500 sensitivity (RMS at 1 Hz) in relation to particle sizes [39].
Table 4. DMS 500 sensitivity (RMS at 1 Hz) in relation to particle sizes [39].
DMS 500 Sensitivity
10 nm1.0 × 103 (dN/dlogDp/cc)
30 nm4.0 × 102
100 nm1.7 × 102
300 nm8 × 101
Sensitivity to typical Diesel accumulation mode (80 nm, σg = 1.8)Number: ~170 N/cc
Mass: ~0.5 µg/m3
Indicates the usual level at which lognormal mode is below detection limit
Table 5. Fuel specification.
Table 5. Fuel specification.
Main Component
Methane (CH4)>99.5% vol. up to 50,000 p/cm3
Other components
Nitrogen (N2)<600 ppm vol.
Hydrogen (H2)<1500 ppm vol
Oxygen (O2)<100 ppm vol.
Hydrocarbons (CnHm)<3000 ppm vol.
Table 6. Oils’ properties.
Table 6. Oils’ properties.
REFOIL 1OIL 2OIL 3OIL 4OIL 5
Oil grade10W-4010W-400W-305W-305W-300W-40
PackageE6-API CJ-4
% package/REF10.51111
KV100 (cSt)13.4913.89.6019.7479.49913.53
Base oil viscosity (mm2/s)68444.53
Base oil groupIIIIIIIVIIIV (75%) + IV (25%)III
Disclaimer/Publisher’s Note: The statements, opinions and data contained in all publications are solely those of the individual author(s) and contributor(s) and not of MDPI and/or the editor(s). MDPI and/or the editor(s) disclaim responsibility for any injury to people or property resulting from any ideas, methods, instructions or products referred to in the content.

Share and Cite

MDPI and ACS Style

Guido, C.; Napolitano, P.; Di Domenico, D.; Di Maio, D.; Beatrice, C.; Griffaton, B.; Obrecht, N. Exploiting Lubricant Formulation to Reduce Particle Emissions from Gas Powered Engines. Energies 2024, 17, 3781. https://doi.org/10.3390/en17153781

AMA Style

Guido C, Napolitano P, Di Domenico D, Di Maio D, Beatrice C, Griffaton B, Obrecht N. Exploiting Lubricant Formulation to Reduce Particle Emissions from Gas Powered Engines. Energies. 2024; 17(15):3781. https://doi.org/10.3390/en17153781

Chicago/Turabian Style

Guido, Chiara, Pierpaolo Napolitano, Davide Di Domenico, Dario Di Maio, Carlo Beatrice, Bruno Griffaton, and Nicolas Obrecht. 2024. "Exploiting Lubricant Formulation to Reduce Particle Emissions from Gas Powered Engines" Energies 17, no. 15: 3781. https://doi.org/10.3390/en17153781

APA Style

Guido, C., Napolitano, P., Di Domenico, D., Di Maio, D., Beatrice, C., Griffaton, B., & Obrecht, N. (2024). Exploiting Lubricant Formulation to Reduce Particle Emissions from Gas Powered Engines. Energies, 17(15), 3781. https://doi.org/10.3390/en17153781

Note that from the first issue of 2016, this journal uses article numbers instead of page numbers. See further details here.

Article Metrics

Back to TopTop