Abstract
Blowers are widely used in tasks such as ventilation, exhaust, drying, cooling, heat dissipation, or conveying medium, and they usually consume a lot of energy. There is an inevitable gap between the rotating impeller and static volute casing due to manufacturing tolerance and thermal deformation. The circulating flow in the gap has an important effect on the performance of the blower. In this study, computational fluid dynamics (CFD) was used to investigate the performance of the blower under different flow conditions and gaps, and the accuracy of the numerical simulation was verified by performance experiments. The results show that the flow separation under low flow conditions in the impeller channel can be suppressed by the circulating flow. However, the efficiency of the blower is decreased because a part of the power is used to maintain the circulating flow. Under design conditions, efficiency is reduced by 5.3~8.2%, depending on the gap sizes. Due to the increased flow rate in the impeller channel caused by the gap circulating flow, the net flow rate of the impeller under design conditions is about 12% higher than the inlet flow rate of the blower. Therefore, it leads to an increase of about 12% in impeller efficiency calculated by the net flow rate compared with the inlet flow rate. Finally, the flow field distribution on the impeller channel under different gap conditions was compared, and the effects of the gap on the blower performance were analyzed from the perspective of flow field structure.
1. Introduction
Blowers are mainly used to complete tasks such as ventilation, exhaust, drying, cooling, heat dissipation, or conveying media and are widely used in medical, industrial, aviation, and other fields, usually resulting in a large amount of energy consumption. According to the China General Machinery Industry Yearbook (2021) [1], the annual electricity consumption of water pumps and fans in general machinery accounts for 33% of the national electricity consumption and 40~50% of the national industrial electricity consumption. Therefore, energy-saving renovation of blower systems is of great significance.
Considering manufacturing tolerances, thermal expansion, and rotational deformation for blowers, there is an undeniable gap between the rotating impeller and the static volute casing. Due to the existence of the gap, the high-pressure airflow at the impeller outlet will flow back to the low-pressure inlet of the impeller through the gap, thereby increasing the actual volumetric flow rate of the impeller. If the shape or gap size of the impeller inlet is not appropriate, the circulating flow will cause additional flow separation, resulting in a decrease in the flow efficiency of the impeller channel and causing additional energy loss. In traditional design concepts, the flow situation within the main components (the impeller and volute casing) is considered, while the impact of gap circulating flow on blower performance is ignored. During the design stage, the gap sizes are randomly chosen by designers without fully understanding the implications of gaps, and the gaps will be maintained above a limit value. However, in practical applications, due to the imbalance of the impeller and the degradation of the assembly over time, the gap size often deviates from the minimum value. It is not yet clear how the overall performance of the blower will be influenced after the gap size deviates from the minimum value.
Considering that the gap flow does not only exist in blowers, this literature review is not limited to blowers. Gap flow has an undeniable impact on the performance of the entire machine, and for this reason, research has been completed on the design of inlet nozzles as early as the first half of the last century. Davidson [2] applied for a patent for the circular curved contour at the inlet nozzle, which states that the circular curved contour can stabilize the main flow during the change of direction from axial to radial direction by means of the circulating flow in the gap. Subsequently, Anderson [3] applied for a patent for a hyperbolic contour shield, which prevents the low-energy boundary layer from flow separation due to the tangential incoming gap flow. Bommes [4,5,6] performed further investigation on various types of impeller inlets and their effects on impeller flow rate and recommended that the nozzle be covered by rotating shrouds in such a way that the shrouds intersect with the inlet nozzle at an angle of 40 degrees. Kramer [7] investigated different radial gap widths and axial inserting depths, known as axial overlaps, and found that the gap mainly affects the pressure characteristics of the fan. The work mentioned above paved the way for studying gap flow and pointed out the importance of gap flow. However, due to the possibilities available at that time, these works are mostly experimental, and the measurement of the gap flow between the impeller and the volute casing can only be partially performed through some indirect measurements or calculated using simple correlation analysis and empirical formulas, such as the work of Tamm [8]. There is a lack of precise investigation into the gap flow.
Nowadays, it is possible to conduct more detailed research on the impact of gap circulating flow due to the rapid development of computer technology. High-performance computing resources can be used to perform a comprehensive simulation of the internal flow, which allows many variations to be simulated and evaluated. Thus, a deeper understanding of the gap flow can be obtained. For voluteless centrifugal fans, as clarified by Hariharan and Govardhan [9], increasing the gap width worsens the blade aerodynamic performance. Yu [10] et al. quantitatively analyzed the effect of the gap between the impeller and inlet on fan performance. The internal flow of a centrifugal fan (d2 = 0.8 m, n = 960 rpm) under gap conditions of 0 mm, 2 mm, and 2.5 mm was numerically investigated. It was found that a 2 mm or 2.5 mm gap would lead to a decrease in efficiency of 1.2% or 1.8% compared with the ideal design. Lee [11] et al. analyzed the flow in the inlet gap of a fan and found that, due to the pressure difference between the inlet and outlet of the fan, the airflow recirculating to the inlet became a local jet, causing flow separation at the shroud. Later studies further demonstrated this effect [12,13,14,15], where the streamlines diagram shows that the jet flow generated from the inlet gap generates a recirculating flow, which is around the intersection of the shroud and the blade trailing edge. The flow separation carries strong turbulent kinetic energy (TKE) [16,17]. Additionally, as shown in the experimental results [18,19], the shape of the shroud cannot be completely designed in streamline, which will generate a reverse pressure gradient in the internal flow of the impeller, leading to flow separation. It should be noted that the skin friction on the shroud wall has the effect of increasing the rotational momentum of the fluid near the wall [20]. The same results were also found in [21]. This effect is significantly different from traditional blade vortex interactions (e.g., [22]), in which the flow upstream of the blade is stationary. Nagae [23] investigated the improvement of the gap flow in a centrifugal fan using LDV and found that adding rib structures to the inlet nozzle resulted in a reduced gap flow rate, correspondingly higher efficiency, and less fan noise. The above study has conducted extensive research on the inlet gap flow of centrifugal fans without volutes, but the influence of volutes on gap flow is still unknown.
The gap flow between the impeller and volute in a water pump has also been a research hotspot in recent years. Ji [24] et al. conducted numerical investigations on mixed-flow pump models with blade tip clearances of 0 mm, 0.8 mm, and 1.1 mm. The results show that the minimum head decreases with an increase in blade tip clearance in the positive slope region. However, the situation with the highest head is the opposite, indicating that mixed-flow pumps are prone to stalling with smaller blade tip clearance. Shen [25] et al. used the computational fluid dynamics method to investigate the effects of varying tip clearance on the flow dynamics of the axial-flow pump. The numerical results show that the flow structure of the tip vortex and its transportation strongly depend on the tip clearance width. No tip separation vortex is observed for a small clearance of 0.15 mm at 0.7 QBEP. When the tip clearance width becomes larger, more tip separation vortex can be observed, which is attached to the surface of the blade tip, and the vortex intensity of tip flows increases. Li [26] et al., Shi [27] et al., and Zhang [28,29] et al. used a combination of the computational fluid dynamics method, PIV, and other experimental measurement methods to study the internal flow field distribution and external characteristics of an axial-flow pump under different blade tip clearances. The evolution process of leakage vortices in blade tip clearances was elucidated through high-speed photography technology, and the influence mechanism of different blade tip clearances on the cavitation and hydraulic performance of axial-flow pump was revealed. The research on clearance flow in these water pumps provides us with a reference for clearance flow in blowers with volutes.
As a whole, the literature above has conducted extensive research on the gap flow in voluteless fans and water pumps. However, no research has extensively investigated the influence of gap circulating flow on the performance of blowers with volutes under all operating conditions. Therefore, further investigation and comprehensive analysis of the effects of gap circulating flow on blowers are needed.
2. Blower Design
The object of this investigation is a centrifugal blower model (Figure 1). The main design parameters of the blower include the rated flow rate of 200 lpm (ANR), the rated pressure of 4000 Pa, and the rated rotating speed of 37,500 rpm. The impeller is a closed impeller composed of 12 blades with an upper and lower cover (Figure 2). The main parameters of the impeller include the inlet diameter d1, the outlet diameter d2, the inlet width b1, the outlet width b2, the inlet blade angle β1, and the outlet blade angle β2. The design dimensions of these parameters are listed in Table 1. The gap δ between the impeller and volute casing is adjusted by varying the installation height of the impeller. Considering the actual size of the blower, four schemes δ = 0, 0.4 mm, 0.8 mm, and 1.2 mm are investigated in this study, corresponding to 0 gap, small gap, medium gap, and large gap.
Figure 1.
The sectional view of the blower.
Figure 2.
Impeller design.
Table 1.
Design parameters and impeller dimensions.
Figure 3 shows the occurrence of circulating flow in the impeller gap. A high-pressure zone is formed at the impeller outlet due to the high-speed rotation of the impeller, while a low-pressure zone is formed at the impeller inlet due to the centrifugal suction effect. The gap in circulating flow formed between the upper cover of the impeller and the volute casing is driven by the pressure difference at the inlet and outlet of the impeller. The actual flow rate inside the impeller is increased because of the additional flow rate of the gap recirculating flow. However, the total flow rate at the inlet and outlet of the volute casing is protected from the gap circulating flow. The inlet and outlet flow rate of the blower is represented by , the circulating flow rate within the gap is represented by , and the real flow rate inside the impeller is .
Figure 3.
Schematic diagram of impeller gap circulating flow.
3. Numerical Methodology
The fluid domain was obtained through Boolean operations with the solid structure of the blower. The inlet was extended based on the original model to achieve more stable inlet conditions. The grid was generated with ANSYS Fluent Meshing, and the numerical simulation was performed with ANSYS Fluent 2021R1.
3.1. Governing Equations and Turbulence Models
The flow field inside the blower is typically three-dimensional, diffusive, dissipative, and turbulent. The three-dimensional Reynolds-averaged Navier-Stokes (RANS) equations were solved with the commercial solver ANSYS Fluent 2021R1. The flow inside the blower can be regarded as an incompressible three-dimensional flow, and there is no need to consider the heat transfer during the simulation. Therefore, the main flow governing equations are listed as follows:
The mass conservation equation:
The momentum conservation equation:
where is the fluid density, and denotes the velocity component and position component in directions i and j, is the turbulence viscosity, t represents the time, p is the pressure, and is the generalized source term.
For turbulence modeling, the shear stress transport (SST) k– turbulence model from Menter with automatic wall functions has been applied [30,31]. This turbulence model adopts k– model at the wall and the k– model at the bulk flow, and a blending function is adopted to ensure a smooth transition between the two models. The k– shear stress transport model from Menter was chosen since it is widely used and has proven to be very reliable for turbomachinery applications [32]. The turbulent kinetic energy (TKE) k and the specific dissipation rate can be solved by two closure equations as follows:
where is the eddy viscosity, and it can be defined as follows:
where and . S is the magnitude of the strain rate. is the production of the turbulent kinetic energy term. is the production of the specific dissipation rate. and are difined as follows.
and FB are blending functions defined as follows.
where d is the distance between the cell and the nearest surface, is the dynamic viscosity, and .
3.2. Mesh Independence Analysis
For the discretization of the fluid domain, a polyhedral mesh has been generated with Fluent Meshing, which ensures computational accuracy while reducing computational complexity. To capture the flow structure in the gap, mesh refinement was applied to the key regions that affect calculation accuracy, and a boundary layer was applied to the impeller wall to ensure that the value of y+ on the surface of the impeller is mostly below 100 and the wall y+ is less than 5 for all blade surfaces [33]. Therefore, these meshes are reliable for simulations applying the SST k-ω model near the wall boundary.
The mesh size has a significant impact on the accuracy of numerical calculations. To eliminate the effect of mesh size on the calculation accuracy, mesh independence verification was conducted. The mesh independence verification is shown in Figure 4, which was conducted under design flow conditions (0.004 kg/s). For the balance of calculation accuracy and computational resource consumption, 3.3 million mesh nodes were selected for calculation. The final mesh is shown in Figure 5 and Figure 6.
Figure 4.
Mesh independence verification.
Figure 5.
Mesh of the impeller.
Figure 6.
Mesh of volute casing.
3.3. Numerical Setup
The fluid material was incompressible air in a standard state. Based on the Reynolds-averaged N-S equation, the governing equations were discretized by the finite volume method, and the SIMPLEC scheme was chosen for the pressure-velocity coupling method. The spatial discretization for the pressure term was in second-order format, while the momentum, turbulent kinetic energy, and specific dissipation rate were in second-order upwind format. The mass-flow-inlet was set for the inlet boundary condition, and the pressure-outlet was assumed for the outlet boundary condition. A non-slip boundary was assumed for the walls. The reference pressure was set to 101,325 Pa. The convergence criteria were set to 10−4 for all calculating variables. Meanwhile, the mass flow rate at the inlet and the outlet was compared until they did not change anymore, combined with residuals less than 10−4, so it is considered that the calculation has reached the convergence criteria.
3.4. Validation of Simulations
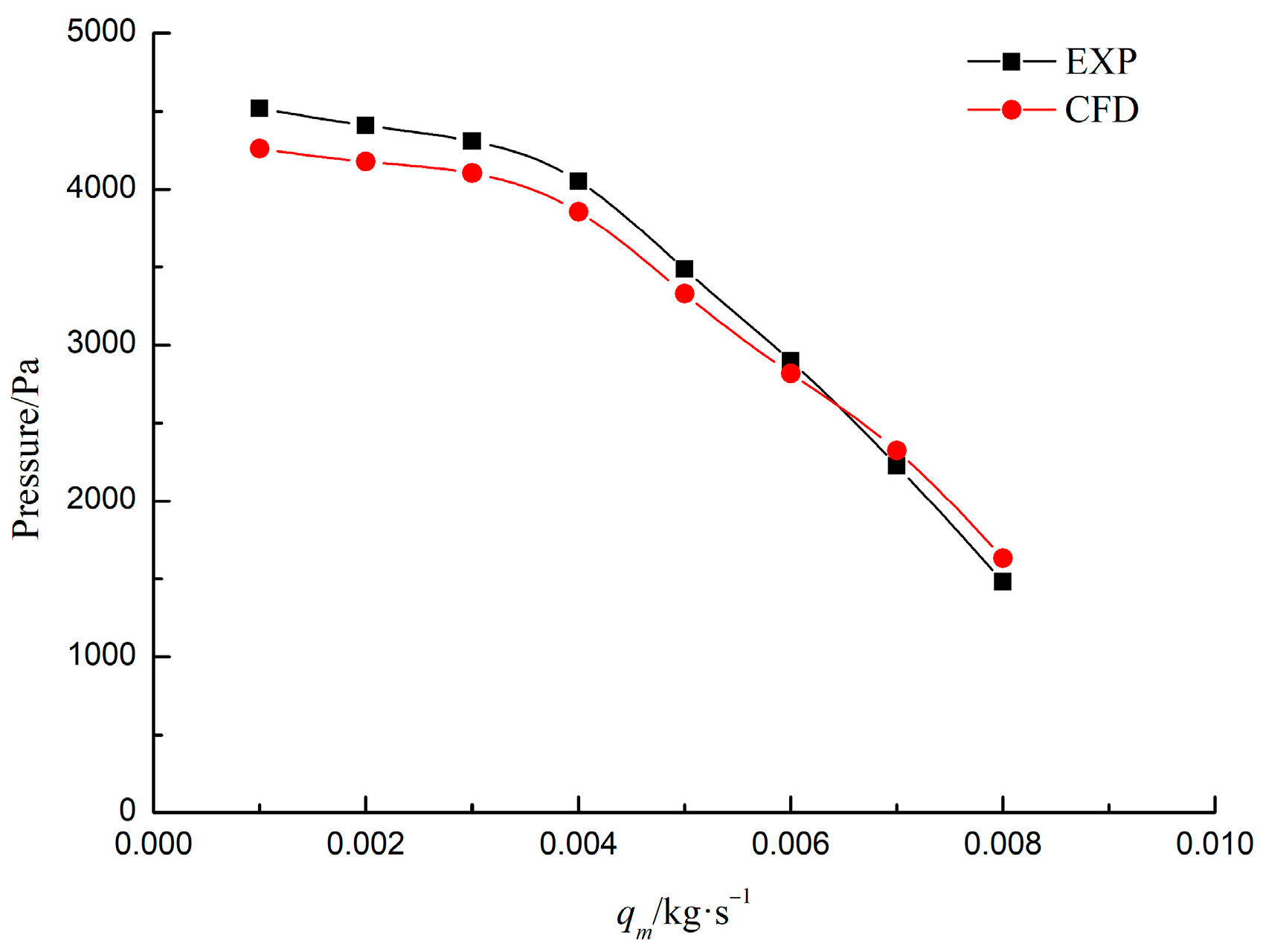
In order to verify the reliability of the numerical calculation, a comparative verification was conducted on the performance of the blower. The performance experiment of the blower was performed on a standard test bench in compliance with Air Motion and Control Association (AMCA) standard 210. The details of the test bench are shown in Figure 7. The testing platform is equipped with orifices of different sizes. The outlet of the blower was connected to the entrance of the testing platform. By switching the orifices, the pressure difference at the orifices was measured to calculate the flow rate. The pressure, flow rate, voltage, and current signals were recorded by a computer program for analysis and download.
Figure 7.
Performance test platform.
The shaft power, aerodynamic power, and aerodynamic efficiency of the blower can be calculated by the simulation results as follows:
where , and are the torque of the impeller, revolution, pressure difference, and mass flow rate of the blower correspondingly.
The pressure, flow rate, motor voltage, and current were recorded during the performance testing. The input power, output power, and total efficiency of the blower can be calculated as follows:
It can be observed that the calculation of output power during performance testing is the same as the aerodynamic power calculated through simulations. However, the input power for performance testing was calculated through voltage and current, and the input power of the motor was transformed into three parts: the shaft power, the heat loss power of the motor, and the friction loss power of the bearings. So, the input power obtained from testing must be greater than the shaft power obtained from simulation results. Naturally, the total efficiency obtained from performance testing is lower than the aerodynamic efficiency obtained from simulations.
From Figure 8, it can be observed that the experimental data was in good agreement with the simulation data. The maximum relative error between the experiment and simulation is less than 5% at most operation points, and 5.8% only for the condition = 0.001 kg/s. Therefore, the simulation results can accurately predict the performance of the blower. From Figure 9 and Figure 10, it can be observed that when considering the motor heating power and bearing friction power, the simulated shaft power is about 15% lower than the experimental input power, and the total efficiency obtained from the experimental test is about 8% less than the simulated aerodynamic efficiency.
Figure 8.
Performance comparison between experiment and simulation.
Figure 9.
Power comparison between experiment and simulation.
Figure 10.
Efficiency comparison between experiment and simulation.
4. Results and Discussion
In order to investigate the impact of the flow rate conditions on blower performance, data from eight operating conditions was obtained to make a comparison. Furthermore, in order to investigate the impact of gap sizes on blower performance, three different flow operating conditions were selected for data processing and analysis in the following section. They are low flow conditions (0.002 kg/s), design flow conditions (0.004 kg/s), and high flow conditions (0.006 kg/s).
4.1. Impact of the Gap Flow on the P and Q Performance
Figure 11 shows the P and Q curves of the blower with different gap sizes. It can be observed that the pressure of the blower is highest with no gap under all flow conditions. Between no gap and maximum gap (1.2 mm), the pressure drops by about 70~90 Pa. The pressure at the design flow point decreased by approximately 1.75~2.25% for all gap sizes. Figure 12 shows the pressure against gap sizes under different flow rate conditions. It can be observed that under low flow and design flow conditions, the pressure curve of the blower decreases with the increase in gap sizes. For high flow conditions, it can be observed that the pressure curve of the blower still decreases in small and medium gap sizes, but the opposite situation occurs in large gap sizes, where the pressure begins to rise and is nearly increased to that of no gap. This phenomenon indicates that in the case of large gap sizes, the internal flow of the blower has changed compared to small and medium gap sizes, which will be further analyzed in the following section.
Figure 11.
P and Q curves of different gap sizes.
Figure 12.
Pressure against gap sizes under different mass flow rate conditions.
4.2. Impact of the Gap Flow on the Shaft Power
Figure 13 shows the shaft power against mass flow rate with different gap sizes. From the figure, it can be observed that the shaft power increases with the increase in flow rate. Figure 14 shows the shaft power against the gap sizes under different flow rate conditions. It can be observed that the shaft power gradually increases with the increase in gap sizes. This is mainly because the gap flow rate increases as the gap size increases, thereby increasing the flow rate in the impeller and the shaft power. From Figure 14, it can be observed that the shaft power of the blower increases with the increase in gap sizes, whether under low flow conditions, design flow conditions, or high flow conditions. Compared to a 0 gap size, a large gap size (1.2 mm) will increase approximately 10~22% in shaft power under different flow conditions.
Figure 13.
Shaft power against flow rate with different gap sizes.
Figure 14.
Shaft power against gap sizes under different flow conditions.
4.3. Impact of the Gap Flow on the Blower Efficiency
Figure 15 shows the blower efficiency against flow rate with different gap sizes. From the figure, it can be observed that the efficiency of the blower is the highest at the design flow rate, and the efficiency is decreased in both low-flow and high-flow conditions. Figure 16 shows the blower efficiency against gap sizes under different flow rate conditions. It can be observed that the efficiency of the blower decreases with the increase in gap sizes under low flow and design flow conditions. However, under high flow conditions, the efficiency of the blower starts to increase with a large gap (1.2 mm), and the efficiency with a large gap is increased to the level of a small gap. This is mainly because the pressure level of the blower with a large gap is relatively high, which increases output power and blower efficiency. Compared to the 0 gap size, the efficiency of the blower with a large gap decreased by about 10.6% under the low flow rate conditions, 8.2% under the design flow rate conditions, and 6% under the high flow rate conditions.
Figure 15.
Blower efficiency against flow rate with different gap sizes.
Figure 16.
Blower efficiency against gap sizes under different flow rate conditions.
4.4. Impact of the Gap Flow on the Impeller Axial Force
Figure 17 shows the axial force of the impeller against the flow rate under different gap sizes. The axial force of the impeller is obtained by integrating the pressure of the blade, upper, and lower covers in the axial direction. For the condition of a 0 gap, only the inside of the upper cover has pressure data, and the pressure on the outside of the upper cover is 0 due to the lack of a gap. It can be observed that the axial force of the impeller is all positive, indicating that the impeller is subjected to an axial force pointing towards the inlet of the impeller. The axial force of the impeller is very small for a 0 gap size, and the axial force of the impeller is almost zero under the design flow conditions. As the flow rate increases, the axial force first decreases and then increases. When there is a gap, the axial force acting on the impeller decreases with the increase in flow rate. The larger the gap, the smaller the axial force acting on the impeller. Under low flow rate conditions, the axial force of the impeller with a large gap is 93% of that with a small gap. Under design flow conditions, the axial force of the impeller with a large gap is 88% of that with a small gap. Under high flow conditions, the axial force of the impeller with a large gap is 83% of that with a small gap.
Figure 17.
Axial force of the impeller against flow rate under different gap sizes.
To further investigate the reasons for the differences in axial force curve trends, axial forces were classified into five components, as shown in Figure 18. It can be observed that both the impeller blades and the upper and lower cover plate walls are subjected to airflow pressure, resulting in axial forces. The axial force acting on the lower wall of the lower cover plate is named F1, while the axial forces acting on other walls are FT = F2 + F3 + F4 + F5. The total axial force is FA = F1 + FT. The values of F1, FT and FA are listed in Table 2. It can be seen that F1 decreases first and then increases, while FT decreases monotonically. When there is a gap, the increase rate of axial force FT is smaller than the decrease rate of axial force F1, so the total axial force decreases monotonically. When there is no gap, the increase rate of axial force FT is greater than the decrease rate of axial force F1, resulting in an increase in the total axial force. As a result, the axial force variation trend of the impeller without gaps is different from that with gaps.
Figure 18.
Axial force distribution.
Table 2.
Axial force component for different work conditions.
4.5. Impact of the Gap Flow on the Impeller Efficiency
Figure 19 shows the comparison of impeller aerodynamic efficiency under different gap sizes, where the total pressure is used to calculate the efficiency. It can be observed that the highest efficiency of the impeller reaches about 95%. The real aerodynamic efficiency of the impeller is calculated by the real flow rate in the impeller channel, which is the sum of the inlet flow rate of the blower and the gap circulating flow rate. The nominal aerodynamic efficiency of the impeller is calculated by the nominal flow rate, i.e., the inlet flow rate of the blower. It can be observed that, due to the presence of a gap in the circulating flow rate, the overall efficiency curve of the impeller rises. Compared with the nominal efficiency, the real efficiency of the impeller increases by about 18% under low flow conditions for all gap sizes, 12% under design flow conditions for all gap sizes, and 7% under high flow conditions for all gap sizes.
Figure 19.
Aerodynamic efficiency of the impeller against mass flow rate with different gap sizes.
Figure 20 shows the efficiency of the impeller against the gap sizes under different flow conditions. It can be observed that regardless of the influence of the gap circulating flow rate, the efficiency of the impeller decreases with the increase in gap size. When not considering the impact of gap circulating flow, the efficiency of the high flow condition is the highest with all gap sizes. When considering the effects of gap circulating flow, the design flow condition has the highest efficiency among the three flow conditions. Compared to 0 gap, the aerodynamic efficiency of all gap sizes decreases without considering the effects of the gap circulating flow rate, with the largest decrease occurring in large gap sizes. In the case of a large gap, the aerodynamic efficiency of the impeller decreased by about 16% under low flow rate conditions, 12.7% under design flow rate conditions, and 11.7% under high flow rate conditions. Considering the impact of the gap circulating flow rate, compared with no gap conditions, the aerodynamic efficiency of the impeller with a gap has increased to varying degrees. In the case of a small gap, the aerodynamic efficiency of the impeller under a small flow rate has increased by about 5.7% and 2.3% under the design flow rate, but the aerodynamic efficiency of the impeller under a high flow rate has decreased by about 1.6%.
Figure 20.
Efficiency of the impeller against the gap sizes under different flow conditions.
4.6. Impact of the Gap Size on the Circulating Flow Rate
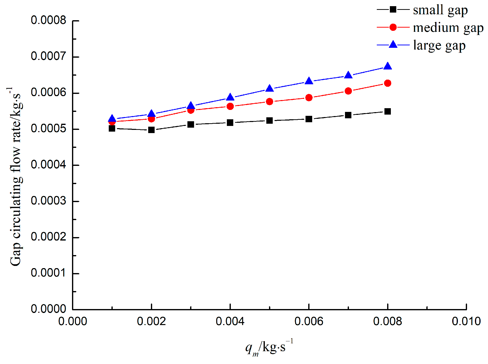
Figure 21 shows the circulating flow rate against the inlet flow rate under different gap sizes. It can be observed that the gap circulating flow rate increases with the increase in the blower inlet flow rate. Figure 22 shows the circulating flow rate against the gap size under different inlet flow conditions. It can be observed that the gap circulating flow rate increases with the increase in gap sizes.
Figure 21.
Circulating flow rate against inlet flow rate with different gap sizes.
Figure 22.
Circulating flow rate against gap sizes under different inlet flow conditions.
To better understand the gap flow rate, as it is closely related to the actual flow rate at the inlet, the gap circulating flow rate is normalized by the inlet flow rate of the blower. The curve of the normalized gap flow rate against the inlet flow rate of the blower is shown in Figure 23. From the figure, it can be observed that near the design flow point, the normalized gap circulating flow within the three gap sizes reaches about 12~15% of the inlet flow. Under low flow conditions, the normalized gap circulating flow within the three gap sizes can reach over 50% of the inlet flow. As a result, the circulating flow dominates the flow field under low flow conditions. The gap circulating flow leads to a significant increase in the flow rate of the impeller under low flow conditions, which indicates that the gap circulating flow has a significant effect on the flow structure of the impeller flow channel under low flow conditions, thereby having a significant impact on the performance of the blower. These results are also very close to the data from Fritsche [34], who provides a normalized gap flow rate of 7~10% at the design point with a radial gap of 2 mm~4 mm and an inlet diameter of 100 mm. Figure 23 shows that the gap circulating flow rate with different gap sizes remains at 6.8~8.4% of the inlet flow rate under high flow rate conditions.
Figure 23.
Normalized gap flow rate against the inlet flow rate of the blower.
4.7. Impact of the Gap Flow on the Velocity Distribution of the Impeller Channel
Figure 24 shows the velocity distribution of the impeller channel with different gap sizes under low flow conditions, design flow conditions, and high flow conditions. From the figure, it can be observed that under low flow conditions, the high-speed zone is mainly distributed on the pressure surface of the impeller for the 0 gap case. As the gap size increases, the flow rate in the impeller channel gradually increases, and the area of the low-speed zone gradually decreases. The high-speed zone near the suction surface of the impeller gradually expands, while the high-speed zone on the pressure surface gradually shrinks. In the presence of a large gap, the high-speed zone dominates the suction surface of the impeller. In contrast, the low-speed zone dominates on the pressure surface, which is opposite to the velocity distribution in the impeller channel of the 0 gap case. Under high flow conditions, the high-speed zone of the impeller channel is mainly distributed near the suction surface of the impeller for the 0 gap case. As the gap size increases, the high-speed zone shifts towards the pressure surface of the impeller.

Figure 24.
Velocity distribution of impeller channels with different gap sizes.
4.8. Impact of the Gap Flow on the Pressure Distribution of the Impeller Channel
Figure 25 shows the pressure distribution of the impeller channel with different gap sizes. Due to the centrifugal effect of the high-speed rotation of the impeller, the pressure distribution in the impeller channel gradually increases from the inlet to the outlet. As the flow rate increases, the low-pressure area inside the channel begins to contract towards the leading edge of the impeller on the pressure surface or expand towards the trailing edge of the impeller on the suction surface. The pressure gradient on the blade pressure surface gradually increases, while the pressure gradient on the suction surface gradually decreases. Under high flow conditions, uneven pressure distribution is generated in the impeller channel for the 0 gap condition, and some high-pressure zones are generated in the lower left corner. However, as the gap size increases, the gap flow rate increases, and the uneven pressure distribution in the impeller channel improves.
Figure 25.
Pressure distribution of impeller channels with different gap sizes.
4.9. Impact of the Gap Flow on the Streamline Distribution of the Impeller Channel
Figure 26 shows the streamline distribution in the impeller channel with different gap sizes. It can be observed from the figure that when there is no gap, in the case of small flow, the mass flow rate in the impeller channel is low, and the kinetic energy of the fluid microelements in the boundary layer is not enough to overcome the increase in external pressure. So, there is a serious flow separation in the impeller channel, which mainly occurs on the suction surface of the impeller, and there are single or multiple vortexes in the impeller channel. The vortex is fully developed at the position of the impeller near the tongue of the volute casing, where the scale of the vortex is the largest, occupying about 80% of the impeller channel. The flow channel away from the volute casing is less affected by the vortex, and the separation flow mainly occurs near the leading edge of the suction surface. It occupies about 40% of the impeller channel. Under design flow and large flow conditions, the flow separation in the impeller channel has been improved, and the flow separation mainly occurs near the trailing edge of the suction surface. With the effect of the gap flow, the flow separation in the impeller channel under small flow conditions is obviously inhibited. Only near the leading edge of the impeller is there a vortex caused by a small range of flow separation. The high-energy fluid in the gap flow re-enters the impeller inlet, which supplements the mass flow rate of the impeller under small flow conditions and inhibits the flow separation phenomenon caused by insufficient fluid speed in the impeller channel. This is consistent with the efficiency curve of the impeller under small and medium-flow conditions in Figure 20. Under small flow conditions, due to the replenishment of gap circulating flow, the efficiency of the impeller is higher than that of the 0 gap. At the same time, it can be observed that the streamlines of the impeller channel are relatively smooth with a small gap size under small flow conditions. When the gap size increases, the streamlines in the impeller channel are distorted, indicating that the large gap circulating flow mixed with the mainstream makes the flow in the impeller channel unstable (the flow in the red dotted circle). This will lead to a decrease in the efficiency of the impeller channel, which is consistent with the trend of gradual decline in the impeller efficiency with the increase of the gap size under small flow conditions in Figure 20. Under the design flow and large flow conditions, the flow separation near the trailing edge of the suction surface gradually expands with the increase in gap sizes, resulting in a decrease in impeller efficiency with the increase in gap sizes.

Figure 26.
Streamlines the distribution of impeller channels with different gap sizes.
4.10. Impact of Gap Flow on the Velocity Distribution of the Impeller Inlet
Figure 27 shows the velocity distribution at the impeller inlet under different gap size conditions. It can be observed that under the condition of a 0 gap, the thickness of the low-speed boundary near the upper cover of the impeller is thicker. As the flow rate of the blower increases, the thickness of the low-speed boundary near the upper cover gradually decreases while the high-speed zone increases. As the gap size increases, the low-speed zone near the upper cover of the impeller rapidly decreases. This is because the high-speed circulating flow inside the gap increases as the gap size increases, which greatly increases the flow velocity near the wall of the upper cover. Moreover, it can be observed that under low flow conditions, the momentum of the gap flow increases as the gap size increases. When the high-speed gap flow re-enters the inlet of the impeller, it has a cutting effect similar to a jet on the low-speed flow, as shown in Figure 28. The high-speed circulating flow cuts the continuous low-speed flow near the upper cover of the impeller and produces a stratification effect. A portion of the low-speed flow continues to flow along the wall of the upper cover. In contrast, another portion is cut to form a free low-speed zone and continues to flow downstream, which forms a velocity distribution with three low-speed zones sandwiched between two high-speed zones.
Figure 27.
Velocity distribution of the inlet section of the impeller with different gap sizes.
Figure 28.
Schematic diagram of the gap jet effect.
From Figure 27, it can be observed that the larger the gap, the greater the circulating flow rate, the greater the momentum it contains, and the more obvious the free low-speed zone formed by cutting. Under high flow conditions, although the gap circulating flow still has a cutting effect, it can be observed from Figure 23 that the flow rate of the gap circulating flow accounts for about only 10% of the inlet flow rate at high flow rates, and the mainstream velocity is large. As a result, it is difficult for the gap circulating flow to form a local high-speed zone, and the flow velocity distribution at the inlet section does not change significantly. However, it can be observed that, due to the effect of gap circulating flow, the flow velocity distribution at the inlet section is more uniform.
4.11. Impact of Gap Flow on the Velocity Distribution of the Blower Section
Figure 29 shows the absolute flow velocity distribution of the blower section with different gap sizes, with the left side of the figure showing the outlet of the volute casing. It can be observed that the flow velocity gradually increases to its maximum from the inlet of the blower to the outlet of the impeller and progressively decreases within the volute casing. The kinetic energy of the velocity is gradually converted into pressure potential energy. The high-speed airflow flows out from the impeller outlet and directly impacts the inner wall of the volute casing. The airflow flows to the bottom of the volute casing and then returns to the volute chamber. There is a strong mixing effect of high-speed and low-speed airflow inside the volute casing, so the energy loss inside the volute casing is relatively large. By analyzing the velocity of the impeller under different flow conditions, it can be observed that the velocity of the impeller outlet is relatively uniform in the direction of blade height under low flow conditions. Under design and high flow conditions, high-speed airflow is mainly concentrated at the upper and lower covers of the impeller. The velocity at the middle position of the blade is relatively low. For the flow condition with a gap circulating flow, it can be observed that the high-speed airflow at the impeller outlet directly enters the gap flow channel, and the flow velocity inside the gap flow is relatively high. Under low flow conditions, the high-speed fluid adheres to the vicinity of the upper cover of the impeller after the circulating flow in a small gap reaches the inlet of the impeller, while the circulating flow in medium and large gaps, due to the high velocity, clearly shows jet flow effects at the gapping mouth when flowing to the inlet of the impeller. The gap circulating flow deviates from the upper cover for a certain distance and is then brought into the impeller channel by the mainstream. Under both design flow and high flow conditions, jet flow effects can still be observed, but their intensity is much weaker than that of low flow conditions.
Figure 29.
Velocity distribution of the blower section with different gap sizes.
Figure 30 shows the streamline of the blower with different gap sizes under extremely high flow conditions (0.008 kg/s), with the left side of the figure showing the outlet of the volute casing. It can be observed that the stream flows downward along the volute wall after exiting the impeller outlet. Two large vortexes formed below the volute casing. It can be observed that a large vortex is formed near the outlet side of the blower under the condition of 0 gap flow, occupying the entire volute flow channel. Below the impeller outlet, a smaller vortex is formed due to the strong shear effect of the high-speed stream at the impeller outlet. On the right side, three small vortexes are generated in addition to the large vortex formed by the airflow impact. These vortexes are the main source of energy loss within the volute casing. A small vortex begins forming at the bottom of the volute on the outlet side (left side) of the blower under a small gap condition, forming three vortexes in total that exacerbate energy loss. Moreover, the small vortex at the bottom of the outlet side becomes larger under medium gap conditions, further exacerbating energy loss. However, the vortex near the outlet side of the blower returns to a large vortex with a distribution similar to that of the vortex under 0 gap conditions, and the scale of the vortex on the right side of the volute decreases. Together, these lead to reduced energy loss inside the volute. This is also consistent with the efficiency trend under the extremely high flow condition with the large gap in Figure 15.
Figure 30.
Streamline of the blower section under extremely high flow conditions.
5. Conclusions
This paper focused on blowers and investigated the effects of 0, small, medium, and large gaps on the performance under different flow conditions. The accuracy of numerical simulations was verified through experiments on the external characteristics of the blower. The numerical simulation results provided a detailed evaluation of the flow rate of the gap circulating flow, quantitatively indicating that the gap circulating flow has significant effects on the performance and operation (i.e., pressure, shaft power, and efficiency) of the blower.
The main findings of the research include: 1. The gap in circulating flow cannot be ignored compared to mainstream flow, which leads to a higher actual flow rate of the impeller than the inlet flow rate of the blower. 2. The gap circulating flow has the effect of reducing the efficiency of the blower when there is a gap circulating flow because a portion of the power of the impeller is used to maintain the circulating flow rate. 3. Under low flow conditions, flow separation in the impeller channel is easy to occur when there is no gap. When there is a gap in circulating flow, the flow rate in the impeller channel is supplemented, and the flow separation in the impeller channel is improved. 4. The larger the gap, the more intensive the jet effect formed by the gap circulating flow at the impeller inlet; the larger the gap flow rate, the greater the power of the blower to maintain the gap circulating flow; and the lower the efficiency of the blower. 5. Under design flow and high flow conditions, the proportion of gap circulating flow in the mainstream decreases, and the efficiency of the blower increases. Gap-circulating flow has the effect of improving the uniformity of the impeller inlet.
Overall, the gap circulating flow has significant effects on the pressure, efficiency, and axial force of the blower, which needs to be carefully considered in the design stage. Otherwise, it may lead to an increase in the operating cost of the blower, and the gap size may deteriorate over time, making it impossible for the blower to generate sufficient pressure. Designers should pay attention to the selection of the gap size during the design stage. When the blower runs for a period of time, a regular maintenance plan should be developed to ensure that the gap size is within a reasonable range.
Author Contributions
Conceptualization, X.Z.; Methodology, L.H., H.X. and H.Y.; Investigation, Y.G.; Resources, X.C.; Writing—original draft, X.Z.; Writing—review and editing, L.H. All authors have read and agreed to the published version of the manuscript.
Funding
This research received no external funding.
Data Availability Statement
Data are contained within the article.
Conflicts of Interest
Y.G. was employed by Boreasa Technologies Co., Ltd. The remaining authors declare that the research was conducted in the absence of any commercial or financial relationships that could be construed as a potential conflict of interest.
References
- Tian, F. China General Machinery Industry Yearbook; China Machine Pre: Beijing, China, 2022. (In Chinese) [Google Scholar]
- Davidson, S.C. Gehäuse für Kreiselgebläse (Oder-Pumpen). German Patent No. 274131, 1913. [Google Scholar]
- Anderson, A.L. Tunnel fan. USA Patent No. 2166276, 1937. [Google Scholar]
- Bommes, L. Radialventilator Oder-Pumpe. German Patent No. 1276858, 1957. [Google Scholar]
- Bommes, L. Radialventilator Oder-Pumpe. Austrian Patent No 205155, 1959. [Google Scholar]
- Bommes, L. Radialventilatoren, Theorie-Berechnung-Entwurf-Betriebsverhalten. In Ventilatoren; Bartz, W.J., Ed.; Expert-Verlag: Renningen, Germany, 1990; pp. 202–242. [Google Scholar]
- Kramer, C. Sonderventilatoren. In Ventilatoren; Bartz, W.J., Ed.; Expert-Verlag: Renningen, Germany, 1990; pp. 165–177. [Google Scholar]
- Tamm, A.; Stoffel, B. The Influences of Gap Clearance and Surface Roughness on Leakage Loss and Disc Friction of Centrifugal Pumps. In Fluids Engineering Division Summer Meeting; ASME Paper, No. FEDSM2022-31324; ASME: New York, NY, USA, 2002. [Google Scholar]
- Hariharan, C.; Govardhan, M. Effect of Inlet Clearance on the Aerodynamic Performance of a Centrifugal Blower. Int. J. Turbo Jet Engines 2016, 33, 215–228. [Google Scholar] [CrossRef]
- Yu, Z.; Li, S.; He, W.; Wang, W.; Huang, D.; Zhu, Z. Numerical Simulation of Flow Field for a Whole Centrifugal Fan and Analysis of the Effects of Blade Inlet Angle and Imepeller Gap. HVACR Res. 2005, 11, 263–283. [Google Scholar] [CrossRef]
- Lee, Y. Impact of Fan Gap Flow on the Centrifugal Impeller Aerodynamics. J. Fluids Eng. 2010, 132, 091103. [Google Scholar] [CrossRef]
- Lee, Y.; Ahuja, V.; Hosangadi, A.; Birkbeck, R. Impeller Design of a Centrifugal Fan with Blade Optimization. Int. J. Rotating Mach. 2011, 2011, 1–16. [Google Scholar] [CrossRef]
- Ottersten, M.; Yao, H.; Davidson, L. Numerical and Experimental Study of Tonal Noise Sources at the Outlet of an Isolated Centrifugal Fan. arXiv 2020, arXiv:2011.13645. [Google Scholar]
- Ottersten, M.; Yao, H.; Davidson, L. Inlet Gap Effect on Tonal Noise Generated from a Voluteless Centrifugal Fan. Int. J. Turbomach. Propuls. Power 2022, 7, 33. [Google Scholar] [CrossRef]
- Ottersten, M.; Yao, H.; Davidson, L. Inlet Gap Influence on Low-Frequency Flow Unsteadiness in a Centrifugal Fan. Aerospace 2022, 9, 846. [Google Scholar] [CrossRef]
- Ottersten, M.; Yao, H.; Davidson, L. Tonal Noise of Voluteless Centrifugal Fan Generated by Turbulence Stemming from Upstream Inlet Gap. Phys. Fluids 2021, 33, 75110. [Google Scholar] [CrossRef]
- Ottersten, M.; Yao, H.; Davidson, L. Inlet Gap Effect on Aerodynamics and Tonal Noise Generation of a Voluteless Centrifugal Fan. J. Sound Vib. 2022, 540, 117304. [Google Scholar] [CrossRef]
- Ubaldi, M.; Zunino, P.; Cattanei, A. Relative Flow and Turbulence Measurements Downstream of a Backward Centrifugal Impeller. J. Turbomach. 1992, 115, 543–551. [Google Scholar] [CrossRef]
- Johnson, M.W.; Moore, J. The Development of Wake Flow in a Centrifugal Impeller. J. Eng. Power 1980, 102, 382–389. [Google Scholar] [CrossRef]
- Pavesi, P.; Ardizzon, G.; Cavazzini, G. Experiments on the Unsteady Flow Field and Noise Generation in a Centrifugal Pump Impeller. J. Sound Vib. 2003, 263, 493–514. [Google Scholar]
- Mongeau, L.; Thompson, D.; McLaughlin, D. Sound Generation by Rotating Stall in Centrifugal Turbomachines. J. Sound Vib. 1993, 163, 1–30. [Google Scholar] [CrossRef]
- Yu, Y. Rotor Blade-vortex Interaction Noise. Progr. Aerosp. Sci. 2000, 36, 97–115. [Google Scholar] [CrossRef]
- Nagae, T.; Zheng, Z. Study of High Efficiency and Low Noise Centrifugal Fan. ASME Paper, No. AJK2011-22047; ASME: New York, NY, USA, 2011. [Google Scholar]
- Ji, L.; Li, W.; Shi, W. Influence of Tip Leakage Flow and Inlet Distortion Flow on a Mixed-flow Pump with Different Tip Clearances within the Stall Condition. Proc. Inst. Mech. Eng. Part A J. Power Energy 2020, 234, 433–453. [Google Scholar] [CrossRef]
- Shen, S.; Qian, Z.; Ji, B.; Agarwal, R.K. Numerical Investigation of Tip Flow Dynamics and Main Flow Characteristics with Varying Tip Clearance Widths for an Axial-flow Pump. Proc. Inst. Mech. Eng. Part A J. Power Energy 2019, 233, 476–488. [Google Scholar] [CrossRef]
- Li, Y.; Shen, J.; Yan, H.; Zhang, Z. Investigation of the Effects of Tip-gap Size on the Tip-leakage Flow in an Axial-flow Pump Using LES. J. Hydraul. Eng. 2014, 45, 235–242. [Google Scholar]
- Shi, W.; Li, T.; Zhang, D.; Li, H. Effect of Tip Clearance on the Cavitation and Flow Field of Axial Flow Pumps. J. Huazhong Univ. Sci. Technol. Nat. Sci. Ed. 2013, 41, 21–25. [Google Scholar]
- Zhang, D.; Pan, D.; Shi, W.; Shao, P.; Wang, H.; Li, T. Cavitation Flow and Blade Loading Characteristic in Impeller Tip Region of Axial Flow Pump. J. Chem. Ind. Eng. 2014, 65, 501–507. [Google Scholar]
- Zhang, D.; Shi, W.; Pan, D.; Cao, W.; Li, T. Hydraulic Performance Optimization and Experiment of Special Mixed-flow Pump Based on Numerical Simulation. J. Mech. Eng. 2014, 50, 178–184. [Google Scholar]
- Menter, F.R. Zonal Two Equation k/Omega, Turbulence Models for Aerodynamic Flows; AIAA Paper, No. 93–2906; AIAA: Reston, VA, USA, 1993. [Google Scholar]
- Menter, F.R. Two-Equation Eddy-Viscosity Turbulence Models for Engineering Applications. AIAA J. 1994, 32, 1598–1605. [Google Scholar] [CrossRef]
- Menter, F.R.; Kuntz, M.; Langtry, R. Ten Years of Industrial Experience with the SST Turbulence Model. Turbul. Heat Mass Transfer 2003, 4, 625–632. [Google Scholar]
- ANSYS FLUENT Inc. Fluent 6.3 User’s Manual; Fluent Inc.: New York, NY, USA, 2006. [Google Scholar]
- Fritsche, M.; Epple, P.; Delgado, A. Numerical and Theoretical Investigation of the Gap Flow in Centrifugal Fans for Design and Off-Design Conditions. J. Fluids Eng. 2023, 145, 031203. [Google Scholar] [CrossRef]
Disclaimer/Publisher’s Note: The statements, opinions and data contained in all publications are solely those of the individual author(s) and contributor(s) and not of MDPI and/or the editor(s). MDPI and/or the editor(s) disclaim responsibility for any injury to people or property resulting from any ideas, methods, instructions or products referred to in the content. |
© 2024 by the authors. Licensee MDPI, Basel, Switzerland. This article is an open access article distributed under the terms and conditions of the Creative Commons Attribution (CC BY) license (https://creativecommons.org/licenses/by/4.0/).