Parameter Estimation Method for Virtual Power Plant Frequency Response Model Based on SLP
Abstract
1. Introduction
2. Hierarchical Control Architecture of VPPs for Emergency Frequency Control
3. Modeling the Frequency Response Characteristics of a VPP
3.1. Frequency Characteristic Modeling of Multiple Flexible Resources
3.2. VPP Frequency Response Modeling
4. SLP-Based Parameter Estimation Method for Frequency Response Model of VPP
4.1. Equivalent Methods for Frequency Response Modeling of VPPs
4.2. Parameter Estimation Optimization Model
4.3. SLP-Based Solution Algorithm
5. Simulation Analysis
5.1. Test Systems
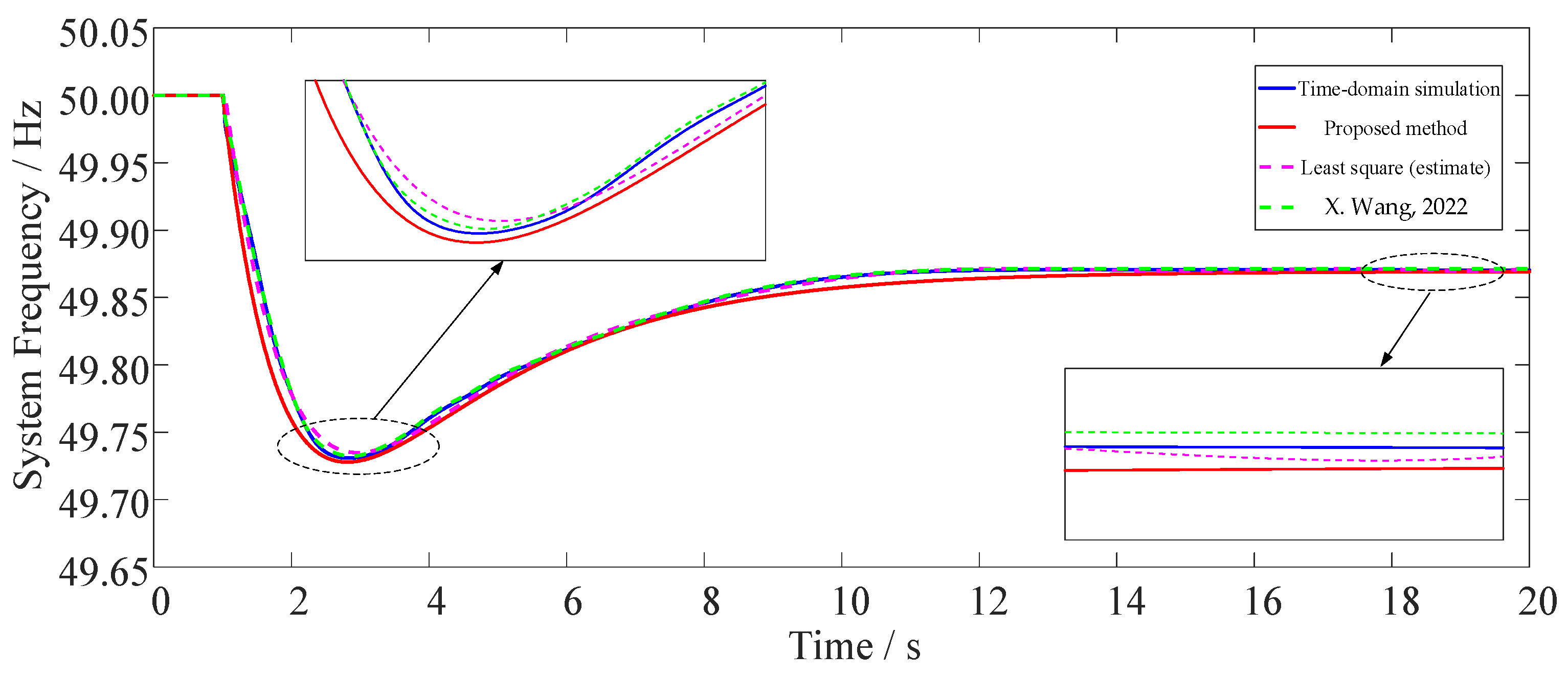
5.2. Verification of the Accuracy of the SFR Model of the VPP
- (1)
- Different model orders
- (2)
- The influence of different initial values
- (3)
- Comparative analysis
6. Conclusions
- (1)
- The VPP frequency response model proposed in this paper takes into account the frequency response characteristics of various types of resources and analyzes the role of each control mode on frequency support based on the inertia response, primary frequency modulation, and fast power control in multiple dimensions.
- (2)
- The SLP-based parameter estimation method for the VPP SFR model only needs to take the value of frequency key index as input, which is simple to implement and has high accuracy. In addition, the parameter estimation results are conservative, which can prevent the system from misjudging in the emergency frequency control decision.
- (3)
- The scientific validity and soundness of the proposed methodology in this paper is verified by simulation through a multi-fault test scenario based on a three-region HVDC receiving area grid C. Even if a first-order model is used for parameter estimation, the error of its frequency key index is less than 0.001 p.u., which meets the requirements of engineering applications.
Author Contributions
Funding
Data Availability Statement
Conflicts of Interest
References
- Cui, R.Y.; Hultman, N.; Cui, D.; McJeon, H.; Yu, S.; Edwards, M.R.; Sen, A.; Song, K.; Bowman, C.; Clarke, L.; et al. A plant-by-plant strategy for high-ambition coal power phaseout in China. Nat. Commun. 2021, 12, 1468. [Google Scholar] [CrossRef] [PubMed]
- Cao, Y.; Zhang, H.; Zhang, Y.; Li, C.G. Event-driven Fast Frequency Response Control Method for Generator Unit. Autom. Electr. Power Syst. 2021, 45, 148–154. [Google Scholar]
- Chen, C.; Li, N.; Zhong, P.; Zeng, M. Review of Virtual Power Plant Technology Abroad and Enlightenment to China. Power Syst. Technol. 2013, 37, 2258–2263. [Google Scholar]
- Hernandez, L.; Baladron, C.; Aguiar, J.M.; Carro, B.; Sanchez-Esguevillas, A.; Lloret, J.; Chinarro, D.; Gomez-Sanz, J.J.; Cook, D. A multi-agent system architecture for smart grid management and forecasting of energy demand in virtual power plants. IEEE Commun. Mgz. 2013, 51, 106–113. [Google Scholar] [CrossRef]
- Wei, Z.; Yu, S.; Sun, G.; Sun, Y.; Yuan, Y.; Wang, D. Concept and Development of Virtual Power Plant. Autom. Electr. Power Syst. 2013, 37, 1–9. [Google Scholar]
- Zhou, B.; Zhang, K.; Chan, K.W.; Li, C.; Lu, X.; Bu, S.; Gao, X. Optimal coordination of electric vehicles for virtual power plants with dynamic communication spectrum allocation. IEEE Trans. Ind. Inform. 2020, 17, 450–462. [Google Scholar] [CrossRef]
- Chen, W.; Ai, X.; Fan, Y. Replicator Dynamics Algorithm Based Equilibrium Dispatching Strategy for Distributed Energy Resources in Virtual Power Plant. Power Syst. Technol. 2014, 38, 589–595. [Google Scholar]
- Zhang, Y.; Mu, Y.; Jia, H.; Wang, M.; Zhou, Y.; Xu, Z. Response Capability Evaluation Model with Multiple Time Scales for Electric Vehicle Virtual Power Plant. Autom. Electr. Power Syst. 2019, 43, 94–103. [Google Scholar]
- Lu, Z.; Wang, H.; Zhao, H.; Feng, H. Double layer inverse robust optimization scheduling strategy for virtual power plants containing V2G. Power Syst. Technol. 2017, 41, 1245–1252. [Google Scholar]
- Xu, Q.; Cao, Y.; Zhang, H. Preventative Control Method for Virtual Power Plant Considering Transient Frequency Regulation Capability. Autom. Electr. Power Syst. 2022, 46, 83–89. [Google Scholar]
- Li, R.; Xu, T.; Li, Y.; Zhang, E.; Cui, L. Study on primary frequency modulation characteristics of virtual power plant using different control strategies. Mod. Electron. Tech. 2021, 44, 95–99. [Google Scholar]
- Wang, J.; Liao, S.; Yao, L.; Pu, T.; Xu, J.; Liu, Y.; Cheng, F. A Coordinated Frequency Control for HVDC Receiving-End Power Grid with Distributed Frequency Regulation Resources Based on Consensus Algorithm. Power Syst. Technol. 2022, 46, 888–900. [Google Scholar]
- Wang, S.; Wu, W. Aggregate flexibility of virtual power plants with temporal coupling constraints. IEEE Trans. Smart Grid 2021, 12, 5043–5051. [Google Scholar] [CrossRef]
- Jiang, Z.; Zhang, F.; Hu, F.; Sun, Y.; Jiang, W.; Deng, Y. Aggregation response capability evaluation method of distributed resources in virtual power plant. Electr. Power Eng. Technol. 2022, 41, 39–49. [Google Scholar]
- Chen, J.; Liu, M.; Milano, F. Aggregated model of virtual power plants for transient frequency and voltage stability analysis. IEEE Trans. Power Syst. 2021, 36, 4366–4375. [Google Scholar] [CrossRef]
- Feng, C.; Chen, Q.; Wang, Y.; Kong, P.-Y.; Gao, H.; Chen, S. Provision of Contingency Frequency Services for Virtual Power Plants with Aggregated Models. IEEE Trans. Smart Grid 2022, 14, 2798–2811. [Google Scholar] [CrossRef]
- Inoue, T.; Taniguchi, H.; Ikeguchi, Y.; Yoshida, K. Estimation of power system inertia constant and capacity of spinning-reserve support generators using measured frequency transients. IEEE Trans. Power Syst. 1997, 12, 136–143. [Google Scholar] [CrossRef]
- Liu, M.; Chen, J.; Milano, F. On-line inertia estimation for synchronous and non-synchronous devices. IEEE Trans. Power Syst. 2020, 36, 2693–2701. [Google Scholar] [CrossRef]
- Wang, X.; Li, X.; Guo, L.; Zhao, Z.; Wang, H.; Wang, C. Parameter Estimation Method of a Frequency Response Model of Multi-Area Interconnected Power System Based on Cross-Section Information. Power Syst. Technol. 2022, 46, 4277–4291. [Google Scholar]
- Han, S.; Xu, Z.; Wu, X.; Jin, X. Comparison of Mathematical Models for Transient Stability between PSD-BPA and PSS/E. South Power Syst. Technol. 2010, 4, 67–71. [Google Scholar]
- Song, X.; Wu, X.C.; Liu, W.Z.; Xu, A.D.; Bu, G.Q.; Jing, X.M. New Quasi-Steady-State HVDC Models for PSD-BPA Power System Transient Stability Simulation Program. Power Syst. Technol. 2010, 34, 62–67. [Google Scholar]
- Mauricio, J.M.; Marano, A.; Gomez-Exposito, A.; Ramos, J.L.M. Frequency regulation contribution through variable-speed wind energy conversion systems. IEEE Trans. Power Syst. 2009, 24, 173–180. [Google Scholar] [CrossRef]
- Hui, H.; Ding, Y.; Chen, T.; Rahman, S.; Song, Y. Dynamic and Stability Analysis of the Power System With the Control Loop of Inverter Air Conditioners. IEEE Trans. Ind. Electron. 2021, 68, 2725–2736. [Google Scholar] [CrossRef]
- Shi, Z.; Xu, Y.; Wang, Y.; He, J.; Li, G.; Liu, Z. Coordinating multiple resources for emergency frequency control in the energy receiving-end power system with HVDCs. IEEE Trans. Power Syst. 2023, 38, 4708–4723. [Google Scholar] [CrossRef]
- Shi, Q.; Li, F.; Cui, H. Analytical method to aggregate multi-machine SFR model with applications in power system dynamic studies. IEEE Trans. Power Syst. 2018, 33, 6355–6367. [Google Scholar] [CrossRef]










| Frequency Modulation Resources | Device Capacity/MW | Operating Power/MW | Control Method | Adjusted Power/MW | Trigger Method |
|---|---|---|---|---|---|
| gas turbine | 54.0 | 42.0 | inertia response and primary frequency modulation | 12.0 | response-driven |
| coal-fired unit | 50.0 | 40.0 | inertia response and primary frequency modulation | 10.0 | response-driven |
| wind power | 22.5 | 22.5 | rotor kinetic energy control | 3.0 | response-driven |
| energy storage plant | 30.0 | 25.0 | fast power control | 5.0 | event-triggering |
| electric vehicle | 5.0 | 3.0 | fast power control (V2G) | 6.0 | event-triggering |
| flexible load | 5.0 (regulated) | 3.0 | one-time frequency modulation | 3.0 | response-driven |
| 3.0 (on-off) | 2.0 | load-shedding | 2.0 | event-triggering |
| Number of Iterations | a0,est | a1,est | b0,est | b1,est |
|---|---|---|---|---|
| 0 | 0.500 | 7.000 | 15.000 | 15.000 |
| 1 | 0.863 | 8.995 | 15.827 | 32.320 |
| 2 | 0.991 | 9.002 | 16.136 | 38.881 |
| 3 | 0.998 | 9.007 | 16.142 | 38.889 |
| Number of Iterations | a0,est | a1,est | a2,est | b0,est | b1,est |
|---|---|---|---|---|---|
| 0 | 0.500 | 7.000 | 1.000 | 15.000 | 15.000 |
| 1 | 0.859 | 8.376 | 2.018 | 15.715 | 32.002 |
| 2 | 0.995 | 8.949 | 2.612 | 16.134 | 38.878 |
| 3 | 0.997 | 9.291 | 2.695 | 16.140 | 38.885 |
| 4 | 0.998 | 9.293 | 2.697 | 16.141 | 38.884 |
| Number of Iterations | a0,est | a1,est | a2,est | a3,est | b0,est | b1,est |
|---|---|---|---|---|---|---|
| 0 | 0.500 | 7.000 | 1.000 | 0.5 | 15.000 | 15.000 |
| 1 | 0.857 | 8.816 | 3.761 | 0.712 | 15.795 | 32.202 |
| 2 | 0.995 | 9.336 | 4.680 | 0.777 | 16.134 | 38.876 |
| 3 | 0.996 | 9.591 | 5.594 | 0.805 | 16.138 | 38.884 |
| 4 | 0.998 | 9.594 | 5.597 | 0.807 | 16.141 | 38.885 |
| 5 | 0.999 | 9.595 | 5.601 | 0.808 | 16.142 | 38.885 |
| Methodology | Minimum Frequency/Hz | Quasi-Stationary Frequency/Hz | Relative Error/% | |
|---|---|---|---|---|
| Minimum Frequency | Quasi-Stationary Frequency | |||
| Time-domain simulation | 49.7308 | 49.8704 | - | - |
| Least square (estimate) | 49.7347 | 49.8699 | 0.0078 | 0.0010 |
| Reference [19] | 49.7323 | 49.8712 | 0.0030 | 0.0016 |
| Methodology of this paper | 49.7278 | 49.8692 | 0.0060 | 0.0024 |
Disclaimer/Publisher’s Note: The statements, opinions and data contained in all publications are solely those of the individual author(s) and contributor(s) and not of MDPI and/or the editor(s). MDPI and/or the editor(s) disclaim responsibility for any injury to people or property resulting from any ideas, methods, instructions or products referred to in the content. |
© 2024 by the authors. Licensee MDPI, Basel, Switzerland. This article is an open access article distributed under the terms and conditions of the Creative Commons Attribution (CC BY) license (https://creativecommons.org/licenses/by/4.0/).
Share and Cite
Shi, Z.; Zhu, H.; Zhao, H.; Wang, P.; Liang, Y.; Wang, K.; Chen, J.; Zheng, X.; Liu, H. Parameter Estimation Method for Virtual Power Plant Frequency Response Model Based on SLP. Energies 2024, 17, 3124. https://doi.org/10.3390/en17133124
Shi Z, Zhu H, Zhao H, Wang P, Liang Y, Wang K, Chen J, Zheng X, Liu H. Parameter Estimation Method for Virtual Power Plant Frequency Response Model Based on SLP. Energies. 2024; 17(13):3124. https://doi.org/10.3390/en17133124
Chicago/Turabian StyleShi, Zheng, Haixiao Zhu, Haibo Zhao, Peng Wang, Yan Liang, Kaikai Wang, Jie Chen, Xiaoming Zheng, and Hongli Liu. 2024. "Parameter Estimation Method for Virtual Power Plant Frequency Response Model Based on SLP" Energies 17, no. 13: 3124. https://doi.org/10.3390/en17133124
APA StyleShi, Z., Zhu, H., Zhao, H., Wang, P., Liang, Y., Wang, K., Chen, J., Zheng, X., & Liu, H. (2024). Parameter Estimation Method for Virtual Power Plant Frequency Response Model Based on SLP. Energies, 17(13), 3124. https://doi.org/10.3390/en17133124
