Next Article in Journal
An Improved Onboard Adaptive Aero-Engine Model Based on an Enhanced Neural Network and Linear Parameter Variance for Parameter Prediction
Previous Article in Journal
Qualities and Quantities of Poultry Litter Biochar Characterization and Investigation
 
 
Font Type:
Arial Georgia Verdana
Font Size:
Aa Aa Aa
Line Spacing:
Column Width:
Background:
Article

Mathematical Modeling, Parameters Effect, and Sensitivity Analysis of a Hybrid PVT System

by
Md Tofael Ahmed
1,
Masud Rana Rashel
1,*,
Mohammad Abdullah-Al-Wadud
2,
Tania Tanzin Hoque
1,
Fernando M. Janeiro
1,3 and
Mouhaydine Tlemcani
1
1
Instrumentation and Control Laboratory, Department of Mechatronics Engineering, University of Evora, 7000-671 Evora, Portugal
2
Department of Software Engineering, College of Computer and Information Sciences, King Saud University, Riyadh 11543, Saudi Arabia
3
Institute of Telecommunications, Instituto Superior Tecnico, 1049-001 Lisbon, Portugal
*
Author to whom correspondence should be addressed.
Energies 2024, 17(12), 2887; https://doi.org/10.3390/en17122887
Submission received: 5 May 2024 / Revised: 23 May 2024 / Accepted: 30 May 2024 / Published: 12 June 2024
(This article belongs to the Section A2: Solar Energy and Photovoltaic Systems)

Abstract

Hybrid PVT solar systems offer an innovative approach that allows solar energy to be used to simultaneously generate thermal and electrical energy. It is still a challenge to develop an energy-efficient hybrid PVT system. The aim of this work is to develop a mathematical model, investigate the system’s performance based on parameters, include sensitivity analysis in the upper layer mainly photovoltaic part, and provide an efficient and innovative system. Performance analysis of the hybrid system is obtained by establishing a mathematical model and efficiency analysis. The electrical model and thermal model of the hybrid system is also obtained by appropriate and complete mathematical modeling. It establishes a good connection of the system in the context of electrical analysis and power generation. The parameters variation impact and sensitivity analysis of the most important parameters, namely, irradiance, ambient temperature, panel temperature, wind speed, and humidity in the PV panel section, are also obtained using a MATLAB model. The results show the effective increase or decrease in the electrical power and sensitiveness in the output of the system due to this modification. Related MPP values as a result of these parameters variation and their impact on the overall output of the hybrid PVT system are also analyzed.

1. Introduction

As a result of population increases and improved economic conditions in most parts of the world, there is a greater need for energy globally. Although the need for energy is increasing, overconsumption of fossil fuels is starting to deplete the supply of this essential resource. The rapid change in climatic conditions, including global warming and ozone layer damage, are the result of human activities caused by energy consumption and pollution. Further issues related to global warming and environmental pollution can be mitigated by utilizing renewable energy sources like solar energy, particularly solar power generated through photovoltaic (PV) technologies [1,2]. Light from the sun is converted into electrical DC energy using this PV technology [3].
A significant amount of solar energy that is collected by solar cells is not converted into electricity, which elevates the temperature of the cells and decreases their electrical efficiency. Combining a heat extraction method with appropriate forced or natural circulation can reduce the panel temperature. Solar energy can be used to generate electrical energy using photovoltaic and thermal energy using thermal collectors. Generally, it is necessary to install them in two different solar systems, namely, one for PV modules and one for thermal solar collectors, which is one of the most convenient processes. Nevertheless, an excessive area of space is needed overall to meet the demand for thermal and electrical energy. Consequently, using solar energy for the purposes of heating and electricity production is an excellent and smart innovative idea [4]. Combining thermal collectors and PV panels increases the energy efficiency of the system [5].

1.1. Background

A hybrid system that combines solar thermal and photovoltaic components to produce electrical and thermal energy is called a PVT system. It produces heat and electrical power through an integrated structure. It consists of thermal collectors and a PV layer that covers an absorber [6]. The PV panels generate electricity, while the working fluids remove the thermal energy generated in the panel and, thus, the efficiency improves in a hybrid system. It adjusts the properties of both systems; meanwhile, it is more cost-effective than using the thermal or PV panels separately.
This technology is developed to capture the additional heat produced by cells in order to lower the temperature of the PV module and increase overall energy conversion efficiency. Most remarkable is the cooling fluid that the PVT uses for heat recovery. In order to cool the PV panel and pass through the channels on the back of the PVT system, several fluids can be utilized as working fluids. Water is frequently utilized as a cooling fluid in the systems but because of its low thermal conductivity, performance improvement is not received as it expected. Nanofluids are now the focus of attention due to their improved thermal properties over conventional fluids, which is believed to be responsible for their increased heat transfer capacity [7].
Many internal and external factors, for example, environmental parameters, construction, installation, operation, and maintenance, can reduce or increase the efficiency of the system [8]. The performance of the PVT panel has significant dependency on these parameters. Many parameters are very sensitive to the output and overall efficiency of the system. The impact of parameters variation and sensitivity analysis of the PVT system can be obtained by using a numerical simulation method [9]. Few research studies have been conducted on this subject, and the numerical study of the heat transfer flow in a hybrid PVT system is very challenging [10].
Despite intensive research in recent decades, there have been very few commercial PVT systems developed and launched on the market [11]. Nonetheless, a great deal of uncertainty persists due to the PVT system’s design based on parameters and sensitivity. For instance, questions still arise like what the best design is, which has additional features, a better method of heat extraction, and what would be the PVT’s annual output [12].

1.2. Literature Survey

A brief overview of current studies on thermal solar collectors for photovoltaic systems is described in [13]. It provides the motivation for the introduction of a PVT system due to the elevation of temperature. It is only limited to efficiency analysis based on heat exchangers for water and an air-based system. A mathematical model for both a PV and modified PVT system’s performance evaluation using balanced heat transfer equations, thermo-physical, and electrical properties is developed in [14]. This work was developed in a MATLAB simulation environment using a numerical method, but it does not provide a complete simplified mathematical model for performance analysis of the system.
Modeling and an extensive study of a hybrid PVT system is studied in [12]. A mathematical model for both PV and thermal is presented but no detailed mathematical model of an electrical equivalent circuit is developed. Modeling and simulation using MATLAB/Simulink for a commercial PVT system is provided in [15]. It shows only the ambient temperature and irradiance variation impact on the PVT panel. For better elaboration and performance analysis, other important parameters variation impacts on the electrical power output is discussed in this work. For a solar photovoltaic system, a coupled model for both electrical and thermal is shown in [16]. It shows electrical–thermal model development and a procedure for obtaining optimal output establishing a heat and electricity relationship. It develops PV modules and an electrical–thermal model based on conditions like wind velocity, ambient temperature, and irradiance in an unstable state. However, other significant parameters like panel temperature and humidity are ignored in this work but are included in our research. No such concrete research has been found yet that provides the complete electrical model of a photovoltaic section and thermal model of a thermal part based on mathematical modeling and parametric with sensitivity analysis.
A research study based on performance analysis of a hybrid PVT system for a specific location is established in [17]. A numerical analysis for a solar domestic hot water system is investigated and related output including thermal and electrical performance is analyzed. It also develops PVT collector equations, a heat exchanger model, a storage tank equation, and a simulation based on numerical solutions. It neither provides electrical equivalent circuit development nor a mathematical model for performance and efficiency analysis of a photovoltaic layer. Performance analysis for a hybrid PVT system still needs to be studied and considered with the development and sensitivity analysis of the related parameters. Parameters are the most significant factor for the PVT system that is also responsible for the overall electrical and thermal output. An innovative idea about the classification and details about the related parameters of the system is discussed in [18]. The effects of several parameters on the efficiency of the PVT system are considered for investigation purposes. PVT classification considering several parameters is obtained and no sensitive parameters are identified there.
A comparison of a PVT system’s performance and sensitivity analysis with radiative cooling is described in [19]. It develops efficiency calculations and evaluates performance based on indicators given by a mathematical model. Parameters like ambient temperature, total water column, air mass flow rate, and top surface emissivity variation effects for both PV and thermal part is studied. It did not develop and study a separate significant parameters variation effect for only the photovoltaic part of the PVT system. The separate study of the parameters variation effect for both the PV and thermal section will enhance the possibility of obtaining a robust and energy-efficient PVT model.

1.3. Motivations and Contributions

Sensitivity analysis [19,20] and overall optimization of a PVT system in a residential building is developed in [21]. A novel PVT system with a linear Fresnel reflector and related parameters sensitivity analysis is presented in [22]. In the parametric analysis, they considered thermal efficiency of the system improvement with increasing fluids’ flow velocity, ambient temperature, and by reduction of the coefficient of convective heat transfer and fluids temperature. The negative impact of enhanced ambient temperature in the photovoltaic section and in the electrical power output is not discussed. The influence and impact on the electrical energy output due to an increase in the ambient temperature variation including other relevant parameters is established in this work.
Sensitivity analysis due to parameters variation is extremely important to understand the behavior of a PVT panel. Parameters variation and sensitivity analysis with maximum power point calculation has not been studied and developed in recent years. Several research works have provided a parameters variation effect and sensitivity analysis for the combined photovoltaic and thermal section but have not provided the impact on the MPP output of the PV of the hybrid system due to this change, which is described in this research work. By this way, it is possible to analyze and find the most- and least-sensitive parameters of the proposed hybrid system.
The main contribution of this research work is the establishment of an innovative and developed simple PVT system that can explain the behavior of the parameters effect and analyze significant sensitiveness. It shows a complete PVT system electrical modeling and a developed performance model. Thermal modeling of a PVT system is also developed using a mathematical model. A brief analysis and the impact of both internal and external parameters are discussed. Three-dimensional figures are also presented to understand the appropriate behavior. The relationship between efficiency and other parameters is also obtained here. A related MPP curve for this parameters variation and its effect are also analyzed.
The most recent advancements in the field of PVT technology are studied in this paper. This paper focus on the following main parts and subparts. The organization of the work is as follows: Section 2 is Hybrid PVT System Modeling and Analysis and consists of the PVT system concept, modeling, and performance analysis. Mathematical modeling of PVT is composed of PVT electrical modeling and overall thermal modeling. Section 3 is Parameter and Sensitivity Analysis of the PVT System. It is the most important part of this paper and shows the parameters variation, sensitivity, and related output. Several parameters variation and its output MPP variation results are observed in this part. Finally, the conclusions and observations of the investigated work are performed in Section 4.

2. Hybrid PVT System Modeling and Analysis

In situations where solar radiation is very intense, solar photovoltaic panels are among the most suitable devices to utilize this energy since they can perform in an efficient way under diffuse irradiance. As a result, the use of solar technology has become attractive all over the world. On the other side, the energy market is concerned about the solar PV panels’ efficiency. This is because only around 20% of solar radiation can be converted to electricity due to the contentious “green planet” theory of climate change [23]. Temperature in a PV panel rises with increasing ambient temperature, affecting the electrical output of the photovoltaic system. Numerous studies have demonstrated that high temperatures cause a PV system’s open circuit voltage to decrease, which lowers the system’s overall electrical efficiency. The idea of a photovoltaic thermal system was introduced to mitigate this issue and to optimally use the produced heat in the panel that will produce electricity and thermal energy at the same time.
The hybrid PVT system was first recommended by Kern and Russel [24] in the middle of the 1970s. The issue was addressed in response to the problem of falling solar efficiency with an increase in cell temperature [25]. Most of the solar energy is wasted as heat if this waste heat is not collected/converted in the photovoltaic energy conversion system. The reduced efficiency in a PV panel is also the main reason for excessive heat. A probable and efficient way of solving this issue is to use a suitable contacting fluid that can flow below or above the solar cells to cool them. The PV cell’s temperature is lowered by the cooling fluid flow, but it also creates a flow of hot fluid that is used for water heating or spaces, for example, producing an advantageous thermal output (as an increase in enthalpy). For the development of a “hybrid PVT” solar energy system, this has been a major driving force. Consequently, a PVT system integrates a PV module with a heat exchanger that holds an appropriate heat transfer fluid in a single unit [26].
The electrical output is frequently the primary consideration in many hybrid PVT system applications; hence, the heat transfer unit’s operating parameters are optimized to maximize this output. To achieve this, though, the cooling fluid, usually air/water, must be maintained at a low temperature in order to prevent an unfavorable drop in the electrical efficiency of the PV cell, which would reduce the thermal output’s usefulness. In contrast, the PV cell efficiency will somewhat decrease in relation to the ideal electrical power generation setting if the system is built to achieve a higher outlet fluid temperature [26]. The idea and principles of a PVT system are shown in Figure 1 below [18].
Figure 1 shows the overall view of a hybrid PVT system. In general, the photovoltaic and thermal systems exist, where the photovoltaic produces electrical energy and the thermal system produces thermal energy. But, according to the provided figure, we can see that a hybrid PVT system is the combined solution of the photovoltaic and thermal panels that produces electrical and thermal energy simultaneously. The profound benefit of a PVT system is insisting that consumers install this kind of system in both residential and industrial settings.
There are several ways to classify PVT systems and their kinds based on structural, operational, and design. The three main criteria discussed to classify hybrid PVT systems are the heat extraction medium, the system’s overall classification, and the PVT system’s design. An upgraded and optimized classification system is proposed in [18]. Classification of an upgraded system is shown in Figure 2 below.
This optimized and upgraded system proposes classification based on five major parts: design configurations, integration system, application, heat extraction method, and energy storage. Each part also contains subparts based on their definition and characteristics. This classification system provides an extensive idea about the hybrid PVT technology. The most significant and comprehensive part of this classification is the heat extraction method, as the thermal efficiency depends mostly on it.
The following Figure 3 shows the proposed PVT system considered for the analysis purpose of this work. It shows two parts including a photovoltaic section that contains a PV module, receives irradiance from the sun, and converts it into electrical energy. This electrical output is used for electrical loads and can also be stored. On the back side of the panel, a serpentine or any other straight metal tube is considered so that it can be used to carry the thermal fluid and exchange the heat generated in the module using heat transfer fluid. By employing this methodology, thermal energy is extracted and it is possible to supply this at the consumer level. In this work, only parameters impact and sensitivity analysis on the photovoltaic part of the PVT system are considered.
Figure 4 shows the system description of a hybrid PVT system, including a general overview of its operation. We can see in the figure that there are two main parts in the system: the electrical part, which is the photovoltaic system, and the thermal part that produces thermal energy. The electrical part consists of a PV panel and paste; on the other side, the thermal part consists of an absorber, thermal pipe, and insulation.
Incident radiation falls in the upper part of the layer that produces electrical energy using a photovoltaic method and heat extraction is obtained in the lower part of the system that produces thermal energy. Heat extraction is obtained by using several methods like fluid flowing, using phase change material, and many other techniques. Two general categories exist for the use of solar energy: solar heat energy converts irradiance to thermal and electrical energy is gained using photovoltaic energy. PV thermal collectors are modules that extract heat in a variety of ways and are utilized in various thermal collectors. For both residential and commercial heating, a liquid or gas is used to extract thermal energy for daily use. PVT technology improves the energy efficiency of photovoltaic technology by recovering temperature gained in the solar panels as low temperature heat radiation, thus, this is how the efficiency of electrical energy conversion is increased [25].
A PVT system’s low-cost device is important so far as it indicates the overall cost of the main system, and it can be obtained by parametric and sensitivity analysis that is established in this work. To calculate the value of the electricity generated in relation to the obtained heat from the panel, the efficiency of the PVT system should be estimated. The hybrid system’s overall efficiency outperforms due to the recovery of the lost heat compared to any single PV system [27]. Even though research into PVT systems began in the early 1970s, it is still in the early phases of development. Because of their increased electrical power and possible lower cost, PVT systems will be an effective and profitable alternative to individual PV systems [28].
Depending on the number of spaces on rooftops, research and development focuses on the incorporation of PV systems with buildings. The main purpose is to develop PVT systems with reasonable and cheap costs that can generate both thermal and electrical energy in an efficient way. It implies that the system’s overall costs need to be minimized in a possible way. This objective can be accomplished by implementing an optimal system with the right vision, the right design, and precise production for cost reduction [3].

2.1. PVT Performance Analysis

Evaluation of a PVT system’s electrical performance is simple because storage is optional and electricity usage may happen instantaneously. When it comes to thermal performance, things are different. The PVT system is merely one component of a larger heat-supply system, which is composed of numerous subsystems, or the balance of the system, such as flow pipes, mechanical components, thermal storage, and auxiliary heaters, to mention a few. To achieve the highest overall benefits, the system designer must choose the right solar proportion and other design criteria [29]. The overall efficiency of a PVT system is calculated as follows [5,18]:
η T o t a l = η T h e r m a l + η E l e c t r i c a l
Here, total efficiency is the summation of thermal efficiency η T h e r m a l and electrical efficiency η E l e c t r i c a l . The PVT system’s thermal efficiency is calculated as follows [30]:
η T h e r m a l = Q u G s × A P a n e l
where Q u is the useful heat, G s is the solar irradiance, and A P a n e l is the panel area. The PVT system’s thermal efficiency can be calculated as follows if it appears to be a typical flat plate solar collector [3]:
η T h e r m a l = Q U s e f u l h e a t I s × A C o l l e c t o r
Useful heat Q U s e f u l h e a t is calculated as [1]:
Q U s e f u l h e a t = m ˙ C p Δ T
where C p is the specific heat of the used fluid, mass flow rate of the fluid-like air/water is m ˙ , and the fluid temperature differential between the input and obtained output is represented by Δ T . In conventional form, electrical efficiency is calculated as [3]:
Q E l e c t r i c a l = I × V I I r r × A P a n e l
where I denotes the current, V denotes the voltage, the intensity of solar irradiance is I I r r , and the panel/collector area is A P a n e l . On the other hand, taking into account using the produced thermal energy inside the panel, panel-dependent electrical efficiency considering its temperature is formulated as [3]:
η E l e c t r i c a l = η Ref ( 1 β ( T P a n e l T Ref ) )
where panel reference temperature is T Ref , PV panel temperature is T P a n e l , PV panel reference efficiency is η Ref , and the temperature coefficient is β with a value of 0.0045 °C−1. It shows that the simplest way to calculate thermal and electrical efficiency is by using the last equation instead of this one. These equations became more complex as mathematical and numerical modeling were advanced due to the inclusion of different variables. The PVT system’s electrical power can be calculated as [31]:
P max = V M P × I M P
Another method to obtain the PV cell’s total power is to measure the short circuit current ( I S C ) and open circuit voltage ( V O C ) and then multiply the obtained results. The module efficiency of electrical power is calculated as [32]:
Q E l e c t r i c a l = P M a x G × A P a n e l
where P M a x is the maximum obtained power, G is the irradiance, and A P a n e l is the panel area. It is necessary to specify the electrical load demands in order to build a suitable PV system. Calculation of the battery storage and the PV panels number is also required [33]. The values are calculated as:
P P V = E d a i l y η s × η i n v P S H S f a c t o r
where the energy consumption per day is E d a i l y , peak sun hours is PSH, systems components efficiency is η s and η i n v , and S f a c t o r is the safety factor reference for losses in PV temperature and resistive losses. The electrical energy generated by the PV system is measured in kWh and is determined by [34]:
E P V = A P V × I I r r _ d a i l y × η mod u l e × η w i r e
where the PV panel is A P V , daily irradiance is I I r r _ d a i l y , wire efficiency is η w i r e , and module efficiency is η mod u l e .
This set of equations evaluates both the electrical and thermal performance, including the efficiency of a PVT system.

2.2. PVT System Electrical Modeling

A PVT panel is composed of many solar cells connected in series and parallel to increase the PVT system’s voltage and current levels. Electrical modeling of current–voltage analysis is significant for PVT system power designing and analysis. A common method for the simulation of PV system performance is to utilize an equivalent electrical circuit which is also required in a PVT system. The electrical equivalent circuit is shown in Figure 5.
This electrical model consists of photo current ( I p h ), diode current ( I D ), series resistance ( R s ), shunt resistance ( R s h ), and the current passing through shunt resistance is I s h . The mathematical model to obtain load current ( I ) of the electrical equivalent circuit is [35]:
I = I p h I s exp q V + q R s I N K T 1 V + R s I R s h
where the diode reverse saturation current is I s , ideality factor of the diode is N, Boltzmann’s constant is K (1.381 × 10−23 J/K), and q is the charge of an electron (−1.602 × 10−19 C). The voltage expression is obtained as:
V = I p h R s h I R s h + I s exp q V + q R s I N K T 1 I R s
The relationship between output voltage and output current is shown as [36]:
I = I p h I s exp 1 V t V N s + R s I 1 1 R s h V N s + R s I
where the thermal voltage of the diode is V t and in each module, the number of solar cells in series is N s . All the unknown parameters in the electrical model are dependent on the cell temperature and irradiance. The primary specifications that manufacturers provide are derived under standard test conditions and are not reflective of the real-world situation.

2.3. PVT System Thermal Modeling

The common practice is that the typical methods of measuring electronic junction temperature cannot be used to access the temperature inside and outside a PVT panel. Rather, the value is estimated using models. The popular approach uses a single thermal heat balance equation (HBE) and considers a PVT module as a single material block. The heat balance equation is formulated as [37]:
H A b s = H C o n v + H L o s t
where the absorbed energy is H A b s , converted energy is H C o n v , and H L o s t is lost energy. The total energy input for the PVT system is represented by the absorbed energy from the incident solar irradiance collected by the front surface of the module. In the PVT module, thermal and electrical energy is obtained by converting this incident solar irradiance and generated heat. The amount of heat lost mentioned in the previous Equation (14) is the loss to the environment through various heat transfer processes. Heat losses can be classified into two parts. The primary factor influencing the first part is the temperature differential between the panel and its surroundings, while the second part can be due to various effects like the accumulation of dirt, diode losses, and wire contacts joule heat.
The PVT module’s total energy gained from the short wave irradiance that was captured is known as absorbed energy. There are various parameters and factors that influence the overall absorbed energy, including the following [38,39]:
PVT panels supporting framework;
Diffused radiation and direct radiation intensity when it strikes the panel;
Defects in materials, its quality, and physical properties/limitations;
The front layer’s optical characteristics, such as transmittance, scattering, reflectivity, and absorptivity.
The heat transfer method involves several mechanisms like conduction, convection, and radiation in the PVT module. Normally, the heat transfer between the structural interfaces of the module is known as conduction. As there is a very small part between the PVT module and the holding structure, and also minimal difference of temperature, conduction in this part is neglected. For the PVT module, each layer’s thermal capacity and thermal resistivity are considered to analyze heat transfer by conduction in each layer [40].
Convection heat transfer occurs between the interfaces of the PVT module and the air that surrounds it, conforming to Newton’s cooling law [41]. The related heat transfer coefficients are used to model it. The following formula is used to calculate the overall heat convection amount per unit area:
q C o n v = h C · A · T P a n e l T A m b
where the heat transfer coefficient is ( h C ), module temperature is T P a n e l , and air temperature is T A m b . It normally occurs by both the forced and free convection methods.
Long-wave radiation is the element of radiation heat exchange in a PVT system. The Stefan–Boltzmann law is utilized to determine per unit area radiative energy:
q r a d = · F · σ · T O b j e c t 4 T S u r f a c e 4
where the surface emissivity is , view factor is F , Stefan–Boltzmann constant is σ , object temperature from radiation is T O b j e c t , and nearby temperature is T S u r f a c e .
To investigate the PVT system’s thermal and electrical performance, a one-dimensional steady-state model can be used considering the flat plate collector. For this reason, the modified Hottel–Willier equations are considered [42,43]. The heat generated by the incident solar irradiation is obtained as [16]:
G = G α τ 1 η e r c α
Here, the incident solar radiation is G, α is the solar absorbance, the glass cover transmittance is τ , the electrical efficiency is η e , and the packing factor is r c . The PVT system’s total loss coefficient can be described as [14]:
U = U G · τ · η r e f · r c β r e f
In the above equation, the collector heat loss coefficient from absorber to ambient is U , η r e f is the reference temperature electrical efficiency of the module, and β r e f is the PV cell temperature coefficient.
The maximum heat transfer and the actual heat transfer ratio is considered as the heat removal factor ( F R ) and can be calculated as [16]:
F ˜ R = m h C p w A A U ˜ 1 exp U ˜ A A m n C p w
Here, A A is the surface area of the collector, the water mass flow rate is m h , and C p w is the specific heat of water. The efficiency factor of the collector can be described as:
F = 1 U W 1 U [ 2 a + ( W 2 a ) F ] + 1 C b + 1 π D i h j
In the above equation, the tube distance is W, the average bond width is a, the thermal conductance of the bond is C b , D j is the inner tube diameter, and F is the fin efficiency. The general obtained equation for the useful heat gain is:
Q u = A A F R G U ( T h o T a )
In the above equation, the collector outlet water temperature is T h o . Determination of the heat removal factor is achieved by the following equation:
F R = ϕ · C p A C · U L 1 e A C · U L · F ϕ · C p
where F is the efficiency factor of the collector, the surface area is A C , the specific heat is C p , and the total loss coefficient is U L . The overall loss coefficient is described as:
U L = U b + U e + U t
where the top loss coefficient is U t , the coefficient of edge loss is U e , and the coefficient of bottom loss is U b . The coefficient of bottom loss is formulated as:
U b = K b L b
The coefficient of edge loss is defined as:
U e = U A e d g e A C
The coefficient of top loss is defined as:
U t = 1 N c T p m T p m T a N + f e + 1 h w + σ T p m + T a · T p m   2 + T a   2 1 ε p + 0.00591 · N · h w + 2 · N + f 1 + 0.133 · ε p ε g N
Also:
f = 1 + 0.089 h w 0.1166 h w ε p 1 + 0.07866 N
c = 520 1 0.00051 β 2
e = 0.43 . 1 100 T p m
The equation that follows can be used to determine the mean plate temperature:
T p m = T i + Q u A C F R · U L 1 F R
The total thermal energy input is calculated as:
E i n = A C × I T
The system’s thermal efficiency is calculated as:
η t = Q u E i n
Here, the obtained useful energy fraction is Q u and the overall energy from input is E i n .
If we consider from the optical perspective, the glass of the PVT panel has two parallel boundaries: air to glass and glass to air which transmits and reflects the light. Fresnel equations derive the coefficient of reflection in a boundary. P-polarization is formulated as:
r p = n r e l 2 cos θ i n r e l 2 sin θ i 2 n r e l 2 cos θ i n r e l 2 sin θ i 2 2
The formula for s-polarization is:
r s = cos θ i n r e l 2 sin θ i 2 cos θ i n r e l 2 sin θ i 2 2
Total reflection is calculated as:
r = 1 2 r p + r s
Due to neglected absorption presence, the transmittance is calculated as:
t = 1 r
Snell’s law is used to calculate the incidence angle on the second boundary, and it comes after the first boundary:
n 1 sin θ 1 = n 2 sin θ 2
After entering the glass, a part of the light is absorbed by per unit length constant probability. It results in the transmittance coefficient of the glass decreasing exponentially with distance travelled:
τ g = exp α g d g cos θ 2
Upon reaching the second boundary, it reflects and transmits using Fresnel equations again. The light is reflected and captured inside the glass and reflects back and forth between the two boundaries until it is totally absorbed. The sum of the infinite geometric series represents the system’s total reflection and transmission coefficients, yielding the following outcome:
T g = t 1 τ g t 2 1 r 1 r 2 τ g   2
R g = r 1 + t 1   2 τ g   2 r 2 1 r 1 r 2 τ g   2
A g = 1 T g R g
For a counter flow heat exchanger, it can be evaluated by the hot and cold outlet temperatures. The analysis of the heat transfer unit (NTU- ε ) of an effective number is calculated as [44]:
ε = 1 e N T U 1 C r 1 C r e N T U 1 C r C r 1 N T U N T U + 1 C r = 1
Here, the capacity ratio is defined as C r = C min C max and the heat exchange unit number is N T U = U A u C min . As a result, the solar energy received by the storage tank is:
Q S T = ε C min T h i T c i
The heat exchanger’s hot temperature at the outlet is calculated as:
T h o = T h i Q S T C h
The heat exchanger’s cold temperature at the outlet is calculated as:
T c o = T c i Q S T C c
For determining long-term performance, the energy balance should be integrated over time. The heat loss to the environment of the domestic water heater is:
Q L = U S A S T s T a
The supplied energy of the domestic water heater is:
Q L S = m S C p w T s T m
Here, Q L S is the storage-tank-to-load extracted heat and T m is the makeup temperature of the water. Finally, at any moment, the energy balance of a well-mixed storage tank is [39]:
C p w ρ w V T d T s d t = Q S T Q L S Q L
On the basis of the above PVT system modeling for parameters’ identification, mathematical modeling of a simulation is carried out to obtain the performance of a PVT system. The simulation model will provide the idea and relevance for the described mathematical and parameters model. The obtained results can be compared with the results of the available literature for validation purposes.

3. Parameter and Sensitivity Analysis of the PVT System

An innovative PVT system’s classification and parametric study is required to establish a comprehensive and energy-efficient solar technology. The hybrid system’s optimization and parameter analysis are fundamental to the performance assessment. In order to achieve a higher performance, parametric and optimization systems are discussed in many research papers.
A deeper knowledge of the several parameters pertaining to hybrid PVT performance is provided by parametric research and analysis. Several internal, external, geometrical, geographical, meteorological, and climatic parameters are classified and described in [16]. Climatic parameters, commonly referred to as external parameters, are a significant parametric section in the hybrid PVT system. The considered significant parameters are irradiance, temperature, wind speed, and air speed [18]. This section of the paper mostly focuses on irradiance and temperature impact on the PVT panel.
Different types of parameters like mass flow rate, water’s inlet temperature, and geometric variables are some of the characteristics that go into designing a PVT collector. Each of these factors affects the system’s efficiency in a different way. To create an ideal system, one needs to understand the impact of every essential aspect. For this reason, a sensitivity analysis on the PVT system’s temperature and irradiance is performed in this study, and the findings are shown using a number of graphs. The parameters used for the simulation of the proposed hybrid PVT system is provided in the Table A1.

3.1. Impact of Irradiance on the PVT System

Irradiance is one of the primary factors responsible for both maintaining life on the earth and influencing climate patterns. Solar radiation is the term used to describe radiant energy, especially the electromagnetic energy that the Sun emits. It is a combined effect of ultraviolet, visible light, and infrared. Normally, the sun emits radiation in all directions, from radio signals to gamma. The photocurrent in a photovoltaic cell is dependent on temperature and sun energy. The equation for the photocurrent is stated by [45]:
I p h = I s + k i T 298 I r 1000
The dependence of the photocurrent is mostly on solar radiation and temperature, as described above. Additionally, it is dependent upon the temperature coefficient and also the short circuit current. The performance of the PVT system is significantly influenced by several of the PVT system’s parameters.
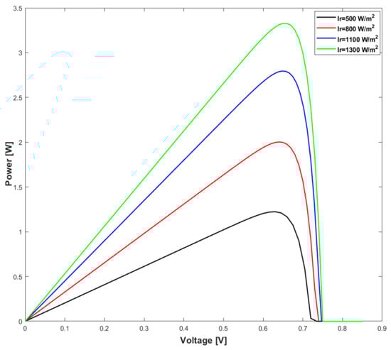
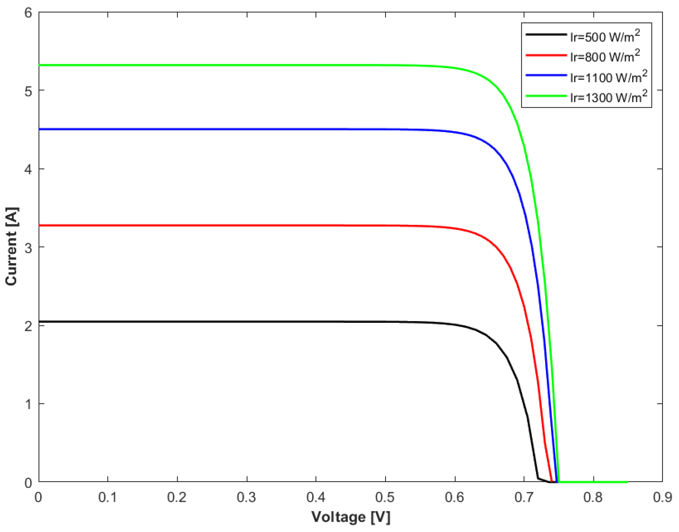
The following Figure 6 represents the impact of varying irradiances on the PVT system. It implies that with an increase in irradiances values, there is an increase in the open circuit voltage and short circuit current. The considered values for irradiances are 500 Wm−2, 800 Wm−2, 1100 Wm−2, and 1300 Wm−2. The position of the current–voltage (I–V) curve [46] slightly increases from 500 to 800 Wm−2, then it continues to 1300 Wm−2.
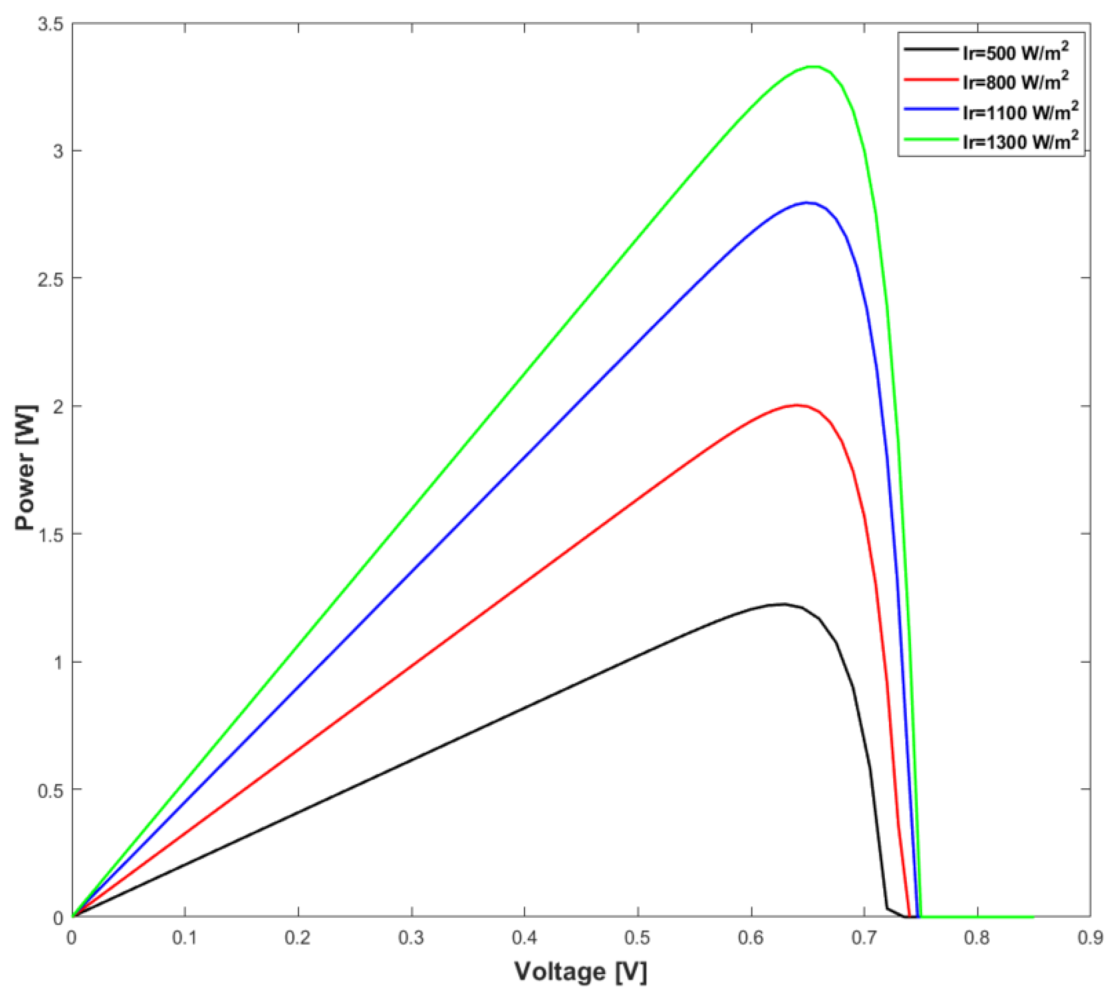
Similarly, Figure 7 provides the power–voltage (P–V) curve of a PVT system for varying irradiances. It also indicates an increase in the output of the PVT system. As a result of the increasing tendency of the P–V curve in the system, the maximum power point (MPP) [47] that provides higher power output of the system also increases. The considered values for varying irradiances are the same as the varying I–V curve values.
It has already been mentioned that the value of the maximum power point in a PV system increases with the increasing value of irradiances. The maximum power point value variation based on variable irradiances is shown in Table 1 below.
From the above table, we can see that with an increasing value of irradiance, there is an increase in the maximum power output value. The following Figure 8 shows the changes in the MPP value with varying irradiances.
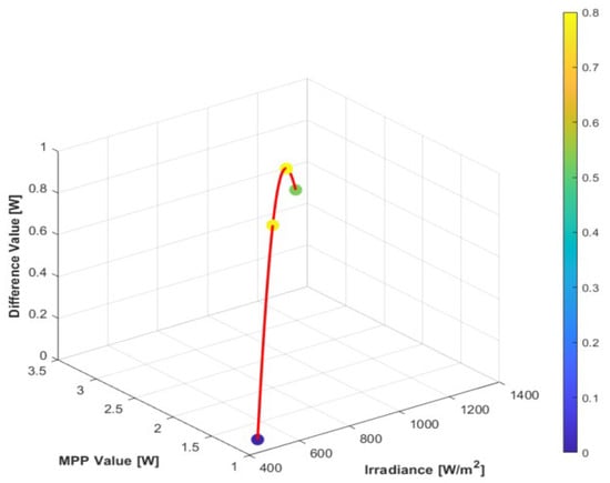
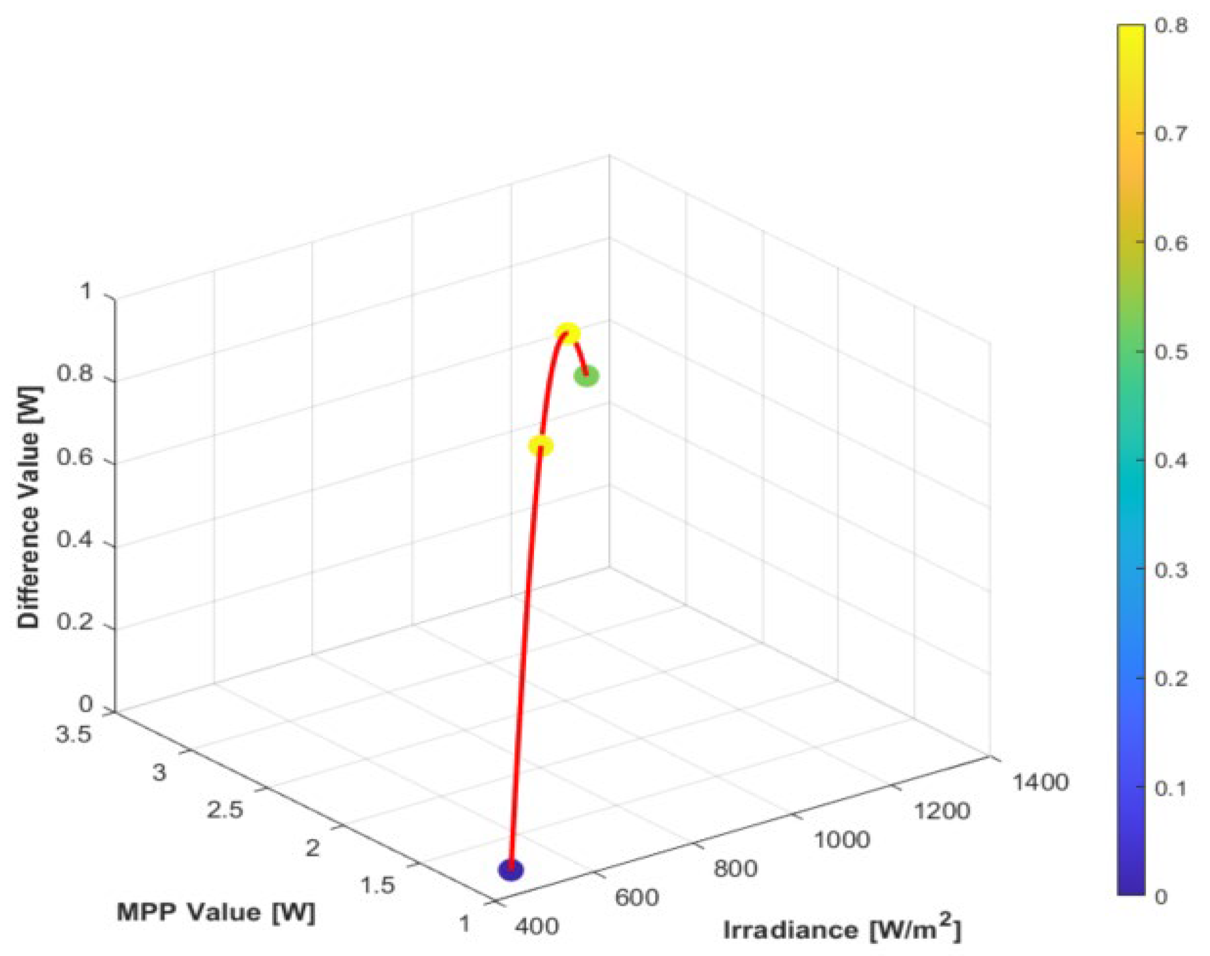
These data illustrate how the MPP of the device responds to changes in irradiance levels, showing an increasing trend with some variation in the rate of increase. It also implies an increase in the MPP value at an exponential rate with the varying irradiances. The following Figure 9 provides a three-dimensional view of the MPP value and MPP value differences with varying irradiances in the PVT system.
The above figure shows a clear picture of the irradiance variation impact in reference to the MPP values.

3.2. Impact of Temperature on the PVT System

One of the important factors in accurately evaluating the performance of a solar module is its temperature [48]. The impact of temperature on the PVT system is very important to consider as the overall output has a continuous impact due to this parameter. The performance of the PVT system mostly depends on the temperature of its surroundings and its cell temperature. The relationship between the PVT panel temperature and ambient temperature is shown in Figure 10 below.
Upon thorough examination of the data, it becomes apparent that there exists a direct correlation between the ambient temperature and the temperature of the panel. As ambient temperature escalates, panel temperature exhibits a corresponding increase, demonstrating a parallel relationship. The effect of varying ambient temperature and panel temperature on the overall output and efficiency of the PVT system is described next.

3.2.1. Impact of Ambient Temperature on the PVT System

There is a direct effect of ambient temperature in the PVT module and cell temperature. The effect of varying ambient temperatures on the PVT panel and the related I–V curve is shown in the figure below.
The below Figure 11 shows that with an increase in ambient temperature [49], the I–V curve has a reducing tendency. It means that while the temperature of the environment increases, the output including maximum power in a PVT panel decreases. The behavior of varying ambient temperatures on a PVT panel is better understood by a three-dimensional figure, which is illustrated below.
Figure 12 shows the variable ambient temperature variation impact on a PVT panel. The considered temperatures for the variation are 25 °C, 30 °C, 35 °C, 40 °C, and 50 °C.
Additionally, there is also a significant impact of varying ambient temperatures on the power–voltage (P–V) curve of a PVT system, which affects the overall output. The impact of ambient temperature variation on the P–V curve is depicted in Figure 13 below.
The figure above shows that the various P–V curves for varying ambient temperatures results in a negative impact on the PVT system. It is clearly shown that while the temperature increases, the curve has an inward tendency, resulting in a decrease in the overall output. A three-dimensional view of this behavior is shown in Figure 14.
This figure describes that the effect of increasing ambient temperature reduces the overall output as it reduces the maximum power point position. In a general situation, an ambient temperature increase has a negative impact on the PVT panel and its electrical output.
The maximum power point (MPP) of a PVT module is the point at which the module has its maximum achievable power [45]. The tracking of MPP is very significant to determine the optimum output of a PVT system. MPP fluctuates when a PVT system’s internal and external factors change. An external factor like ambient temperature also has an impact on the PVT system output. The following Figure 15 shows the MPP variation with varying ambient temperature values.
From the above figure, it is shown that while there is increase in the ambient temperature value, the value of the MPP decreases. The MPP values regarding ambient temperature are explained in Table 2 below.
From the table above, it is shown that an increase in ambient temperature in a PVT panel has a negative impact on output, because it decreases the electrical energy output value. The difference between the MPP values with varying ambient temperatures is shown in the three-dimensional Figure 16 below.
The above figure describes the MPP values for varying ambient temperatures and MPP differences values. It is shown that when ambient temperature increases from 25 °C to 30 °C, the output value of MPP decreases, and if the values rise to 35 °C, then it decreases again and the differences increase between the values.
Figure 17 below shows the relationship between the efficiency and ambient temperature. The figure describes that the electrical efficiency of a PVT system reduces with increasing ambient temperature. The following Figure 18 describes the detailed impact of increasing ambient temperature values on the efficiency of a PVT system.
The figure above shows the impact of ambient temperature on the efficiency of a PVT panel. It shows that the value of electrical efficiency decreases with increasing ambient temperature. It also shows that while ambient temperature increases from 25 °C to 50 °C, the difference between the efficiency of 25 °C and 50 °C also increases.

3.2.2. Impact of Panel Temperature on the PVT System

The variation of panel temperature affects solar cells. The panel temperature change will have an impact on the PVT system’s power production. Temperature has a significant influence on voltage, and rising temperatures cause voltage to fall. The impact of increasing panel temperature on a PVT module is shown in Figure 19 below.
The considered values for varying panel temperatures are 60 °C, 65 °C, 70 °C, 75 °C, and 80 °C. It is observed from the above figure that with an increase in panel temperature, the current–voltage (I–V) curve has a reducing tendency. It results in a reduction of the electrical output of the PVT system. The illustration is better observable in the following Figure 20.
The impact of varying panel temperatures is more visible in Figure 17. It clarifies that panel temperature acts negatively on the PVT panel.
The power–voltage (P–V) curve for varying panel temperatures is provided in Figure 21 below.
The P–V curve for varying panel temperatures shows the impact of increasing or decreasing temperature values. The results show that while the temperature of a PVT panel increases, the P–V curve tends to decrease. It means that the output value with maximum power also decreases.
The below Figure 22 shows the reduction in maximum power due to a rise in the panel temperature value. It also reduces the maximum power point of the curve, which results in a decrease in overall output. The values are shown in Table 3 below.
The representation of the compared values of panel temperature and its related output is shown in Figure 23 below.
This figure shows the maximum power point value variation in regard to the variation of panel temperature. The results show that the MPP value increases if there is a decrease in panel temperature; on the contrary, if there is an increase in panel temperature, the value of MPP decreases. The following Figure 24 shows the more visible three-dimensional view of the MPP comparison.
This figure shows a clear picture of the MPP values variation due to panel temperature changes in the PVT panel. It always degrades the value of the overall electrical output of the PVT system due to an increase in panel temperature. This problem can be solved by cooling or by using any other possible thermal extraction methodology.

3.3. Impact of Wind Speed on the PVT System

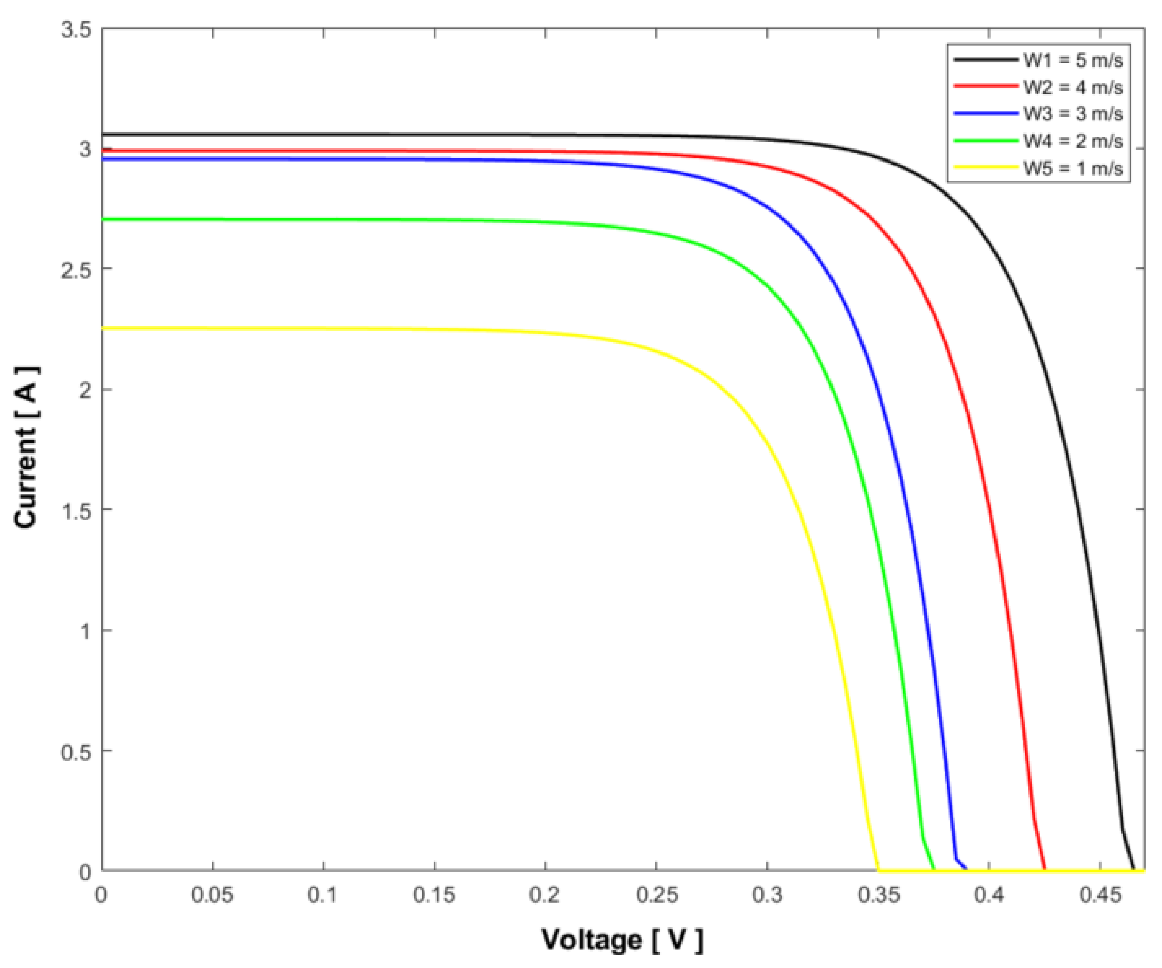
The main issue with a PV and PVT system is the panel’s low conversion energy efficiency. This is an additional environmental factor that somewhat affects how well a PVT system performs. The following Figure 25 shows the current–voltage (I–V) curve behavior for varying wind speeds [50] on the PVT system.
The considered values for wind speed [51] are 1 ms−1, 2 ms−1, 3 ms−1, 4 ms−1, and 5 ms−1. From this plot, it is found that the increasing value of wind speed increases the open circuit current and short circuit voltage values. It means that with an increase in the I–V curve, there will be an increase in the overall electrical power of the system. The impact due to an increase in wind speed on the power–voltage (P–V) curve is shown in the Figure 26 below.
The P–V curve shows that with an increase in wind speed, there is an increase in the P–V curve and with a decrease in wind speed, there is decrease in the P–V curve. It means that increasing wind speed has a positive impact on output. The maximum power point (MPP) values difference due to the wind speed variation is shown in Table 4 below.
Table 4 shows the MPP value for each wind speed variation and a comparison between the values. The comparison shows a positive impact on the PVT system due to an increase in wind speed. So, the overall electrical power of the system increases due to an increase in wind speed. The following Figure 27 shows MPP values and a comparison for each wind speed value’s variation.
This figure shows the comparison between the MPP values due to the changes in wind speed. The related MPP values are also indicated in the figure. This figure reveals that there is always a positive MPP gain due to the wind speed increase. This behavior is better described by the following Figure 28.
It has already been established that the wind speed increase has a positive impact on the overall electrical output of the PVT system. After analyzing the above figure, it is confirmed that the maximum power point increases and, thus, how the electrical efficiency of the PVT system also increases by increasing the value of the wind speed. However, it has been mentioned in several research papers that the wind speed decreases the thermal output, which still needs to be confirmed by further studies.
There are other external parameters that also impact the behavior and output of the PVT module. The most considered parameters are wind speed humidity and dust effects. The humidity effects on a PV panel are discussed in many research works [52]. The panel’s behavior based on a varied humid atmosphere is examined here. The results of this research show that variation in humidity levels also varies the output. The maximum power decreases with increases in the humidity level. Furthermore, ambient factors like dust, wind, ambient temperature, and humidity have a significant impact on irradiance and temperature. It has been noted in various research publications that dust and shadowing on the surface of the panel helps to raise its temperature [53]. However, there is not much information regarding humidity and panel temperature in the literature.
The amount of water in the atmosphere air is known as humidity. A diffraction optical path is created for the incoming sunlight due to the presence of humidity in the air. This results in a decrease in the useful solar radiation that reaches the panel surface [54].
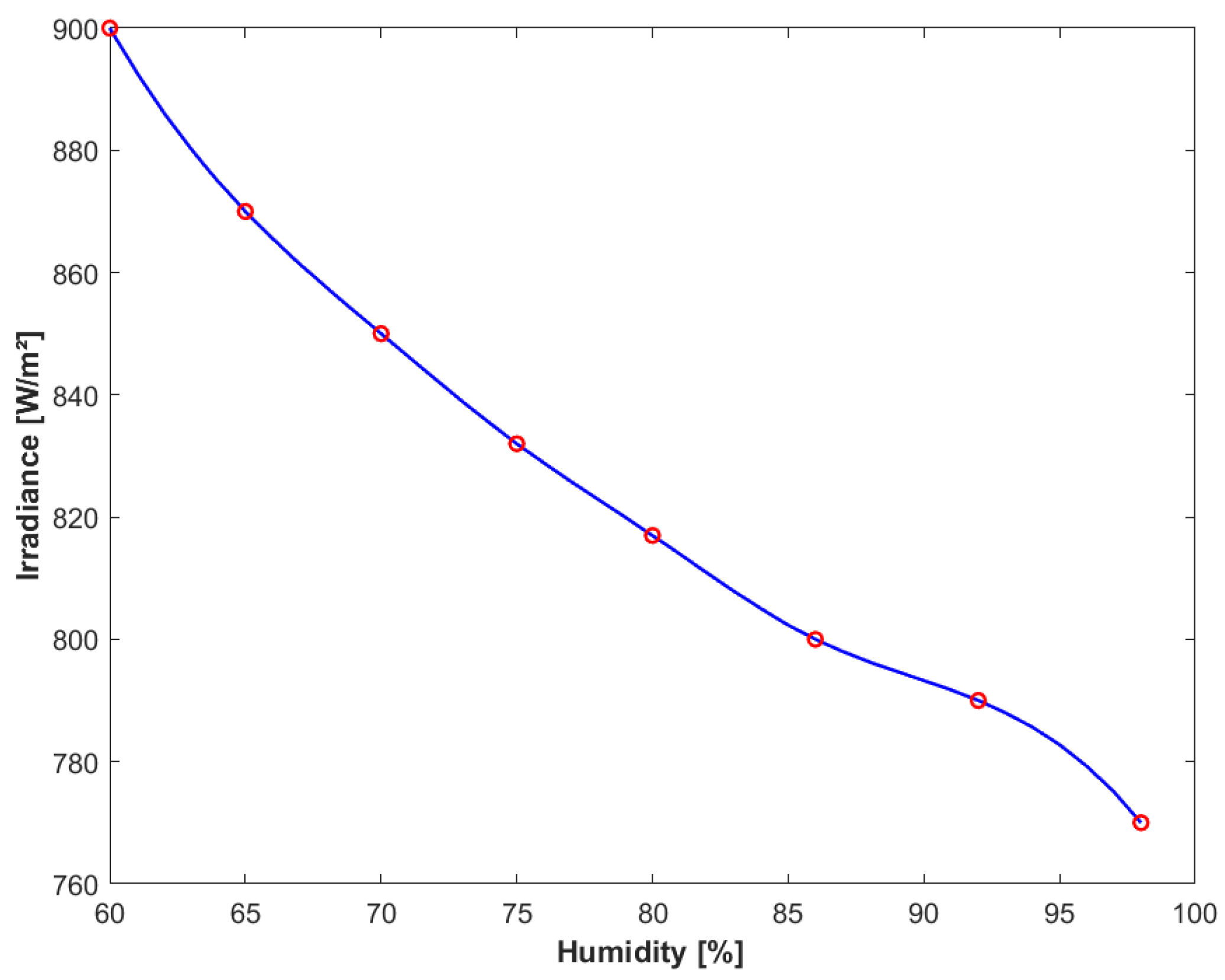
There is an impact of changing humidity on the PVT panel. It also affects the irradiance level of the system. A study and scientific investigation is also performed to understand the behavior of the PVT panel’s output variation according to the humidity variation. The following Figure 29 shows the relationship between the irradiance level and humidity value.
Figure 29 shows the changes in irradiance values in relation to the variation in humidity in the PVT panel. From the above figure, we can see that if there is a rise in the humidity level, the irradiance incident on the panel decreases. The value of the increase or decrease in irradiance and its difference is shown in Table 5 below.
The values from the table describe that the irradiance value changes at a significant level due to an increase in the humidity level in the PVT system. As there is a decrease in the irradiance level, there is also a decrease in the overall output of the system. So, the MPP of the PVT system decreases with an increase in the humidity level. It is also found that, in reality, power output reduces to almost 50% with an increase of 80% in the humidity level.
Dust is also another important parameter that has an impact on the PVT system. The impact of increasing dust on the PVT system is analyzed in [55]. Dust raises the temperature of the modules and reduces the amount of power that they can produce. However, the overheating impact can be mitigated by using the thermal mechanism of the PVT system. Despite this, dust is still another factor that reduces the productivity of the system.

4. Discussion

This work provides modeling, development, and evaluation of a hybrid PVT system. It also shows the concept and overview that will help to identify the principles of its working methodology. The output is divided into two main sections, electrical and thermal, which are shown here. The working methodology and its related output will provide an enhanced understanding of the proposed system. A mathematical model for PVT performance analysis is established in this research. The performance and efficiency of a system is obtained through this mathematical model which will contribute to future research work. PVT system electrical modeling and related parameters with a mathematical model are established in order to analyze and simulate the hybrid system. This model is used to obtain the parametric variation analysis. An electrical equivalent circuit model and an obtained current and voltage equation with other related parameters are calculated.
This study describes the parameters that need to be considered for the modeling of an updated PVT system. A simulation model for the photovoltaic section of the proposed mathematical system using MATLAB is obtained to study the parameters variation effect and analyze the sensitivity of the panel. Mostly, the system’s external parameters are considered, and they show a significant impact on the system, which also changes the overall output. The most sensitive parameters among those examined are irradiance and temperature. Irradiance shows a positive impact with its increase and on the other side, temperature shows a negative impact on photovoltaic output. Additionally, other parameters also have an impact on the electrical output of the system.
Mainly external parameters are considered to show the impact and sensitivity of the system, namely, irradiance, temperature, wind speed, and humidity. The two considered temperatures are ambient and panel temperature. An irradiance value increase shows a positive impact in the sense of an overall output increase. It is also sensitive in relation to the rise or fall of the value. The results show that when the irradiance value changes from 500 Wm−2 to 800 Wm−2, MPP increases by 0.78 W in the cell level. It continues to increase to 1300 Wm−2 finally and we obtain a 2.11 W increase in the MPP value. Due to a rise of the irradiance value, there is an increasing efficiency of the system. So, in general, an irradiance value increase is positively correlated with an increase in the energy.
Temperature is found to be one of the most significant elements of the hybrid PVT system. There is a remarkable relationship between ambient and panel temperatures; that is, an increase in ambient temperature gradually increases panel temperature. From the results, it is determined that ambient temperature increases gradually have a negative impact on overall output. At the cell level, when the value changes from 25 °C to 30 °C, MPP changes from 94.8 mW to 89.6 mW; when the temperature reaches 45 °C, MPP drops to 68.2 mW. It clearly shows an MPP reduction due to the ambient temperature increase. In the above figure of ambient temperature, section variation also demonstrates the radical decrease in efficiency due to an increase in ambient temperature.
Due to a rise in ambient temperature, panel temperature also rises, which has a negative impact on output. The MPP value is a minimum at a panel temperature of 80 °C, while it is a maximum at a panel temperature of 60 °C. The value shifts from 106 mW to 76 mW, while ambient temperature changes from 60 °C to 80 °C. The MPP curve versus panel temperature shows the real relationship between these two parameters. To obtain thermal energy and reduce panel temperature, the proposed PVT system is very useful. That is why active or passive cooling is also mentioned in several research papers.
A parameter like wind speed is also slightly helpful to cool the panel, which is also shown in this work. That is why when wind speed increases, the output, including MPP, and efficiency of the panel increases. The obtained I–V and P–V curve also justifies the impact of wind speed on the PVT system. From these results, it is found that the MPP value is 0.0560 mW at a wind speed of 1 ms−1. The MPP value reaches 0.0728 mW at a wind speed of 2 ms−1. Gradually, it reaches 0.1069 mW when the wind speed is 5 ms−1. The impact of wind speed on the maximum power output is depicted by a figure which also claims a positive impact on the system.
The humidity level of air is also another parameter that is considered for sensitivity analysis purposes. The results show that a humidity level increase decreases the irradiance level, resulting in a decrease in output. The obtained results show that the irradiance level is 900 Wm−2 at a humidity level of 60%; on the other side, the irradiance level drops to 770 Wm−2 at a humidity level of 98%.
Three-dimensional figures are also presented for better understanding of the obtained results. MPP values are calculated and compared with one another for each parameter’s variation. A slight change in the parameter’s value has a significant impact on the MPP of the system. Sensitiveness of the parameters in the system is also briefly studied and shows the high sensitivity of several parameters.

5. Conclusions

The goal of the current work is to mathematically model and simulate the overall performances of a hybrid PVT system according to the related output evaluation. It provides an extensive idea about the hybrid PVT system, classification and design, and operation methodology which provides the primary information and idea about the system. The hybrid PVT system’s performance analysis is obtained by using a specific set of mathematical equations. Performance analysis can be used to model and develop an energy-efficient system. It includes electrical and thermal efficiency modeling and also maximum power output evaluation. The electrical equivalent circuit of the PVT system is also shown here. The related mathematical model of the electrical equivalent circuit is described. A set of mathematical equations is analyzed in order to develop the electrical model of the PVT system, which helps to design and model an efficient system. Thermal modeling of the PVT system is also obtained by analyzing heat equation formulas. The established mathematical model helps to obtain an extensive energy-efficient thermal system of the PVT module.
Parameters variation effects including sensitivity analysis are required to establish an energy-efficient hybrid system. The considered parameters for the observation of its variation and sensitivity analysis are irradiance, ambient temperature, panel temperature, wind speed, and humidity. A three-dimensional view of the parameters variation effect on the PVT system is also generated. It provides a clear view of the generated output for the parameters variation. The increase in the solar irradiance value in the PVT system shows a positive impact on it. It helps to increase the overall output, including the MPP of the system. Additionally, a decrease in the irradiance value shows a negative impact. MPP values regarding variable irradiances are also shown here. The effect of temperature variation on the panel is also studied in this work. The MPP of the panel also increases with an increase in the irradiance value. The relationship between panel temperature and ambient temperature shows a positive correlation in this work. It shows that with increasing ambient temperature, panel temperature also increases at the same time. The impact of increasing ambient temperature and panel temperature on the system shows a reducing electrical power output and at the same time, decreasing ambient and panel temperature shows a positive impact, which also increases maximum power output. Related three-dimensional images are also illustrated in this work.
The study of increasing wind speed in the PVT system shows that it has a positive impact and decreasing wind speed has a negative impact. And the humidity level is the opposite of wind speed, which describes that its increase has a negative impact on the hybrid system, reducing the overall output. For all the parameters, the obtained maximum power output and differences values due to the variation are also shown in the given tables. The results imply that the investigated parameters variation is very sensitive, not only to the PVT system but also to the overall output including maximum power point. The developed mathematical model, performance analysis, parameters effect, and sensitivity analyzed in this work will highly contribute to the area of solar energy engineering. For future work, more internal parameters related to geometry, physical structure of the system, heat transfer, and fluid-related parameters will be studied and analyzed.
Finally, this work provides a simulation of the photovoltaic section of the hybrid PVT system. A mathematical model for both the photovoltaic and thermal sections is also established here. Thermal parameters that impact on the thermal section will be analyzed in future work. Experimental work will be exercised to confirm the simulation results in reality. In this way, an efficient and improved PVT system will be introduced.

Author Contributions

Conceptualization, M.T.A. and M.R.R.; methodology, M.T.A. and M.A.-A.-W.; software, M.T.A. and T.T.H.; validation, M.T.A., M.R.R. and M.A.-A.-W.; formal analysis, M.T.A. and T.T.H.; resources, M.T.A., M.R.R. and T.T.H.; writing—original draft preparation, M.T.A.; writing—review and editing, M.T.A. and M.R.R.; visualization, M.T.A., F.M.J. and M.T.; supervision, F.M.J. and M.T. All authors have read and agreed to the published version of the manuscript.

Funding

The authors extend their appreciation to the Researchers Supporting Project, King Saud University, Saudi Arabia, for funding this research work through project No. RSPD2024R951. Additionally, the first author would like to extend gratitude to the Foundation for Science and Technology (FCT) for the research grant 2020.06312.BD (https://doi.org/10.54499/2020.06312.BD, accessed on 4 May 2024).

Data Availability Statement

The data presented in this study are available in the article.

Acknowledgments

The authors acknowledge the ICT of the University of Evora for providing the research scope and enabling this work.

Conflicts of Interest

The authors declare no conflicts of interest.

Abbreviations

PVPhotovoltaic
PVTPhotovoltaic Thermal
MPPMaximum Power Point
HBEHeat Balance Equation

Appendix A

The parameters used for simulation purposes are provided in Table A1 below.
Table A1. Simulation parameters for the photovoltaic section.
Table A1. Simulation parameters for the photovoltaic section.
NameSymbolUnitValue
Ideality FactorNn/a1.2
Electron ChargeQ(C)1.6 × 10−19
Series Resistance R s (Ω)0.00001
Shunt Resistance R s h (Ω) 10,000
Solar Radiation I r (Wm−2)1000
Boltzmann’s ConstantK(m2kgs−2K−1)1.3806488 × 10−23
Saturation Current I s (A)1 × 10−10
Junction TemperatureT(K)293.15
Temperature Coefficient k i (A/°C)0.0017
Short Circuit Current I s c (A)3.885
Open Circuit Voltage V o c (V)0.74
Table A1 above provides a simulation parameters value for the hybrid PVT system photovoltaic part. All related parameters for the thermal part are shown in Table A2.
Table A2. Considered parameters for the thermal section.
Table A2. Considered parameters for the thermal section.
NameUnitValue
Pipe Length(m)6
Pipe Area(m2)0.00075
Pipe Shape FactorNone64
Nusselt NumberNone3.68
Heat Exchanger Mass(kg)16
Back Cover Mass(kg)6
Glass EmissivityNone0.80
Table A2 above provides the considered general parameters for the thermal section of the hybrid PVT system.

References

  1. El-Sebaey, M.S.; Hegazy, A.; Essa, F.A. Performance enhancement of a tubular solar still by using stepped basins: An experimental approach. J. Clean. Prod. 2024, 437, 140746. [Google Scholar] [CrossRef]
  2. Sathyamurthy, R.; Ali, H.M.; Said, Z.; El-Sebaey, M.S.; Gopalsamy, S.; Nagaraj, M.; Alomar, T.S. Enhancing solar still thermal performance: The role of surface coating and thermal energy storage in repurposed soda cans. J. Energy Storage 2024, 77, 109807. [Google Scholar] [CrossRef]
  3. Al-Waeli, A.H.A.; Sopina, K.; Kazem, H.A.; Chaichan, M.T. Photovoltaic/Thermal (PV/T) systems: Status and future prospects. Renew. Sustain. Energy Rev. 2017, 77, 109–130. [Google Scholar] [CrossRef]
  4. Erdil, E.; Ilkan, M.; Egelioglu, F. An experimental study on energy generation with a photovoltaic (PV)–solar thermal hybrid system. Energy 2008, 33, 1241–1245. [Google Scholar] [CrossRef]
  5. Jia, Y.; Alva, G.; Fang, G. Development and applications of photovoltaic–thermal systems: A review. Renew. Sustain. Energy Rev. 2019, 102, 249–265. [Google Scholar] [CrossRef]
  6. Calise, F.; Dentice d’Accadia, M.; Palombo, A.; Vanoli, L. Dynamic simulation of a novel high–temperature solar trigeneration system based on concentrating photovoltaic/thermal collectors. Energy 2013, 61, 72–86. [Google Scholar] [CrossRef]
  7. Madhi, H.; Aljabair, S.; Imran, A.A. A review of photovoltaic/thermal system cooled using mono and hybrid nanofluids. Int. J. Thermofluids 2024, 22, 100679. [Google Scholar] [CrossRef]
  8. Shaik, F.; Lingala, S.S.; Veeraboina, P. Effect of various parameters on the performance of solar PV power plant: A review and the experimental study. Sustain. Energy Res. 2023, 10, 6. [Google Scholar] [CrossRef]
  9. Qin, L.; Shen, J.; Li, Q.; Shang, Z. Effects of convection patterns on freckle formation of directionally solidified Nickel-based superalloy casting with abruptly varying cross-sections. J. Cryst. Growth 2017, 466, 45–55. [Google Scholar] [CrossRef]
  10. Rekha, L.; Vazhappilly, C.V.; Melvinraj, C.R. Numerical simulation for solar hybrid photovoltaic thermal air collector. Procedia Technol. 2016, 24, 513–522. [Google Scholar]
  11. Zondag, H.A. Flat-plate PV-thermal collectors and systems: A review. Renew. Sustain. Energy Rev. 2008, 12, 891–959. [Google Scholar] [CrossRef]
  12. Khelifa, A.; Touafek, K.; Moussa, H.B.; Tabet, I. Modeling and detailed study of hybrid photovoltaic thermal (PV/T) solar collector. Sol. Energy 2016, 135, 169–176. [Google Scholar] [CrossRef]
  13. Jha, P.; Das, B.; Gupta, R.; Mondol, J.D.; Ehyaei, M.A. Review of recent research on photovoltaic thermal solar collectors. Sol. Energy 2023, 257, 164–195. [Google Scholar] [CrossRef]
  14. Boumaaraf, B.; Boumaaraf, H.; Slimani, M.E.A.; Tchoketch_Kebir, S.; Ait-Cheikh, M.S.; Touafek, K. Performance evaluation of a locally modified PV module to a PV/T solar collector under climatic conditions of semi-arid region. Math. Comput. Simul. 2020, 167, 135–154. [Google Scholar] [CrossRef]
  15. Pop, T.; Buzduga, C.; Ifrim, V.C.; Pentiuc, R.-D.; Bejenar, C. Modeling and Simulation of a Commercial PV/T in MATLAB/Simulink Software Environment. In Proceedings of the 2022 International Conference and Exposition on Electrical and Power Engineering, Iasi, Romania, 20–22 October 2022. [Google Scholar]
  16. Gu, W.; Ma, T.; Shen, L.; Li, M.; Zhang, Y.; Zhang, W. Coupled electrical-thermal modelling of photovoltaic modules under dynamic conditions. Energy 2019, 188, 116043. [Google Scholar] [CrossRef]
  17. Hamdoon, O.M.; Alomar, O.R.; Salim, B.M. Performance analysis of hybrid photovoltaic thermal solar system in Iraq climate condition. Therm. Sci. Eng. Prog. 2020, 17, 100359. [Google Scholar] [CrossRef]
  18. Ahmed, M.T.; Rashel, M.R.; Islam, M.; Islam, A.K.; Tlemcani, M. Classification and Parametric Analysis of Solar Hybrid PVT System: A Review. Energies 2024, 17, 588. [Google Scholar] [CrossRef]
  19. Ahmed, S.; Li, Z.; Ma, T.; Javed, M.S.; Yang, H. A comparative performance evaluation and sensitivity analysis of a photovoltaic-thermal system with radiative cooling. Sol. Energy Mater. Sol. Cells 2021, 221, 110861. [Google Scholar] [CrossRef]
  20. Mesbahi, O.; Tlemçani, M.; Janeiro, F.M.; Hajjaji, A.; Kandoussi, K. Sensitivity analysis of a new approach to photovoltaic parameters extraction based on the total least squares method. Metrol. Meas. Syst. 2021, 28, 751–765. [Google Scholar] [CrossRef]
  21. Farshchimonfared, M.; Bilbao, J.I.; Sproul, A.B. Full optimisation and sensitivity analysis of a photovoltaic–thermal (PV/T) air system linked to a typical residential building. Sol. Energy 2016, 136, 15–22. [Google Scholar] [CrossRef]
  22. Wang, G.; Wang, B.; Yuan, X.; Lin, J.; Chen, Z. Novel design and analysis of a solar PVT system using LFR concentrator and nano-fluids optical filter. Case Stud. Therm. Eng. 2021, 27, 101328. [Google Scholar] [CrossRef]
  23. Hamid, A.K.; Mbungu, N.T.; Elnady, A.; Bansal, R.C.; Ismail, A.A.; AlShabi, M.A. A systematic review of grid-connected photovoltaic and photovoltaic/thermal systems: Benefits, challenges and mitigation. Energy Environ. 2023, 34, 2775–2814. [Google Scholar] [CrossRef]
  24. Kern, E.C., Jr.; Russell, M.C. Combined Photovoltaic and Thermal Hybrid Collector Systems. In Proceedings of the IEEE Photovoltaic Specialists Conference, Washington, DC, USA, 5 June 1978. [Google Scholar]
  25. Tiwari, A.K.; Chatterjee, K.; Agrawal, S.; Singh, G.K. A comprehensive review of photovoltaic-thermal (PVT) technology: Performance evaluation and contemporary development. Energy Rep. 2023, 10, 2655–2679. [Google Scholar] [CrossRef]
  26. Herrando, M.; Markides, C.N. Hybrid PV and solar-thermal systems for domestic heat and power provision in the UK: Techno-economic considerations. Appl. Energy 2016, 161, 512–532. [Google Scholar] [CrossRef]
  27. Chow, T.T.; He, W.; Chan, A.L.S.; Fong, K.F.; Lin, Z.; Ji, J. Computer modeling and experimental validation of a building-integrated photovoltaic and water heating system. Appl. Therm. Eng. 2008, 28, 1356–1364. [Google Scholar] [CrossRef]
  28. Sardarabadi, M.; Naghdbishi, A.; Fard, M.P.; Sardarabadi, H.; Heris, S.Z. Computer modelling and experimental validation of a photovoltaic thermal (PV/T) Water Based collector system. In Proceedings of the International Conference on Power and Energy Systems, Pune, India, 17–18 November 2012. [Google Scholar]
  29. Chow, T.T. A review on photovoltaic/thermal hybrid solar technology. Appl. Energy 2009, 87, 365–379. [Google Scholar] [CrossRef]
  30. Wolf, M. Performance analyses of combined heating and photovoltaic power systems for residences. Energy Convers. 1976, 16, 79–90. [Google Scholar] [CrossRef]
  31. Al-Waeli, A.H.; Kazem, H.A.; Yousif, J.H.; Chaichan, M.T.; Sopian, K. Mathematical and neural network models for predicting the electrical performance of a PV/T system. Int. J. Energy Res. 2019, 43, 8100–8117. [Google Scholar] [CrossRef]
  32. Al-Waeli, A.H.; Chaichan, M.T.; Kazem, H.A.; Sopian, K. Comparative study to use nano-(Al2O3, CuO, and SiC) with water to enhance photovoltaic thermal PV/T collectors. Energy Convers. Manag. 2017, 148, 963–973. [Google Scholar] [CrossRef]
  33. Kazem, H.A.; Khatib, T.; Sopian, K.; Elmenreich, W. Performance and feasibility assessment of a 1.4 kW roof top grid-connected photovoltaic power system under desertic weather conditions. Energy Build. 2014, 82, 123–129. [Google Scholar] [CrossRef]
  34. Hu, M.; Zheng, R.; Pei, G.; Wang, Y.; Li, J.; Ji, J. Experimental study of the effect of inclination angle on the thermal performance of heat pipe photovoltaic/thermal (PV/T) systems with wickless heat pipe and wire-meshed heat pipe. Appl. Therm. Eng. 2016, 106, 651–660. [Google Scholar] [CrossRef]
  35. Ahmed, M.T.; Gonçalves, T.; Tlemcani, M. Single diode model parameters analysis of photovoltaic cell. In Proceedings of the 2016 IEEE International Conference on Renewable Energy Research and Applications, Birmingham, UK, 20–23 November 2016. [Google Scholar]
  36. Tian, H.; Mancilla-David, F.; Ellis, K.; Muljadi, E.; Jenkins, P. A cell-to-module-to-array detailed model for photovoltaic panels. Sol. Energy 2012, 86, 2695–2706. [Google Scholar] [CrossRef]
  37. Abdulrazzaq, A.K.; Plesz, B.; Bognár, G. A novel method for thermal modelling of photovoltaic modules/cells under varying environmental conditions. Energies 2020, 13, 3318. [Google Scholar] [CrossRef]
  38. Chopde, A.; Magare, D.; Patil, M.; Gupta, R.; Sastry, O.S. Parameter extraction for dynamic PV thermal model using particle swarm optimisation. Appl. Therm. Eng. 2016, 100, 508–517. [Google Scholar] [CrossRef]
  39. Aly, S.P.; Ahzi, S.; Barth, N.; Figgis, B.W. Two-dimensional finite difference-based model for coupled irradiation and heat transfer in photovoltaic modules. Sol. Energy Mater. Sol. Cells 2018, 180, 289–302. [Google Scholar] [CrossRef]
  40. Santiago, I.; Trillo-Montero, D.; Moreno-Garcia, I.M.; Pallarés-López, V.; Luna-Rodríguez, J.J. Modeling of photovoltaic cell temperature losses: A review and a practice case in South Spain. Renew. Sustain. Energy Rev. 2018, 90, 70–89. [Google Scholar] [CrossRef]
  41. Cengel, Y.A.; Ghajar, A.J.; Kanoglu, M. Heat and Mass Transfer: Fundamentals and Applications, 5th ed.; McGraw Hill Education: New York, NY, USA, 2015. [Google Scholar]
  42. Anderson, T.N.; Duke, M. Analysis of a photovoltaic/thermal solar collector for building integration. In Proceedings of the SB07 NZ Conference-Transforming Our Built Environment, Auckland, New Zealand, 14–16 November 2007. [Google Scholar]
  43. Vokas, G.; Christandonis, N.; Skittides, F. Hybrid photovoltaic-thermal systems for domestic heating and cooling-A theoretical approach. Sol. Energy 2006, 80, 607–615. [Google Scholar] [CrossRef]
  44. Ko, M.J. Analysis and optimization design of a solar water heating system based on life cycle cost using a genetic algorithm. Energies 2015, 8, 11380–11403. [Google Scholar] [CrossRef]
  45. Ahmed, T. Modelization and Characterization of Photovoltaic Panels. Master’s Dissertation, University of Évora, Évora, Portugal, June 2017. [Google Scholar]
  46. Ahmed, M.T.; Gonçalves, T.; Tlemçani, M. Analysis of Noise with Curve Fitting Method of a PV cell. EAI Endorsed Trans. Energy Web 2017, 3, e2. [Google Scholar] [CrossRef][Green Version]
  47. Ahmed, M.T.; Rashel, M.R.; Faisal, F.; Tlemçani, M. Non-iterative MPPT Method: A Comparative Study. Int. J. Renew. Energy Res. 2020, 10, 2. [Google Scholar]
  48. Good, C. Environmental impact assessments of hybrid photovoltaic–thermal (PV/T) systems–A review. Renew. Sustain. Energy Rev. 2016, 55, 234–239. [Google Scholar] [CrossRef]
  49. Sarhaddi, F.; Farahat, S.; Ajam, H.; Behzadmehr, A.M.I.N.; Adeli, M.M. An improved thermal and electrical model for a solar photovoltaic thermal (PV/T) air collector. Appl. Energy 2010, 87, 2328–2339. [Google Scholar] [CrossRef]
  50. Zhe, L.W.; Irwan, Y.M.; Irwanto, M.; Amelia, A.R.; Safwati, I. Influence of wind speed on the performance of photovoltaic panel. Indones. J. Electr. Eng. Comput. Sci. 2019, 15, 62. [Google Scholar] [CrossRef]
  51. Shalash, N.A.; Lafta, Y.N. PSS/E based placement wind/PV hybrid system to improve stability of Iraqi grid. Int. J. Electr. Comput. Eng. 2020, 10, 91. [Google Scholar] [CrossRef]
  52. Tripathi, A.K.; Ray, S.; Aruna, M.; Prasad, S. Evaluation of solar PV panel performance under humid atmosphere. Mater. Today Proc. 2021, 45, 5916–5920. [Google Scholar] [CrossRef]
  53. Jiang, H.; Lu, L.; Sun, K. Experimental investigation of the impact of airborne dust deposition on the performance of solar photovoltaic (PV) modules. Atmos. Environ. 2011, 45, 4299–4304. [Google Scholar] [CrossRef]
  54. Touati, F.A.; Al-Hitmi, M.A.; Bouchech, H.J. Study of the effects of dust, relative humidity, and temperature on solar PV performance in Doha: Comparison between monocrystalline and amorphous PVS. Int. J. Green Energy 2013, 10, 680–689. [Google Scholar] [CrossRef]
  55. Kazem, H.A.; Chaichan, M.T.; Al-Waeli, A.H.; Al-Badi, R.; Fayad, M.A.; Gholami, A. Dust impact on photovoltaic/thermal system in harsh weather conditions. Sol. Energy 2022, 245, 308–321. [Google Scholar] [CrossRef]
Figure 1. Concept of a hybrid PVT system.
Figure 1. Concept of a hybrid PVT system.
Energies 17 02887 g001
Figure 2. An optimized classification of a hybrid PVT system [18].
Figure 2. An optimized classification of a hybrid PVT system [18].
Energies 17 02887 g002
Figure 3. Schematic of a proposed hybrid PVT system.
Figure 3. Schematic of a proposed hybrid PVT system.
Energies 17 02887 g003
Figure 4. PVT system design and its operation methodology.
Figure 4. PVT system design and its operation methodology.
Energies 17 02887 g004
Figure 5. Electrical equivalent circuit model of a PVT system.
Figure 5. Electrical equivalent circuit model of a PVT system.
Energies 17 02887 g005
Figure 6. I–V curve for varying irradiances of the PVT system.
Figure 6. I–V curve for varying irradiances of the PVT system.
Energies 17 02887 g006
Figure 7. P–V curve for varying irradiances of the PVT system.
Figure 7. P–V curve for varying irradiances of the PVT system.
Energies 17 02887 g007
Figure 8. MPP value for varying irradiances of the PVT system.
Figure 8. MPP value for varying irradiances of the PVT system.
Energies 17 02887 g008
Figure 9. MPP value and differences for varying irradiances of the PVT system (3D view).
Figure 9. MPP value and differences for varying irradiances of the PVT system (3D view).
Energies 17 02887 g009
Figure 10. Relationship between panel temperature and ambient temperature.
Figure 10. Relationship between panel temperature and ambient temperature.
Energies 17 02887 g010
Figure 11. I–V curve for varying ambient temperatures.
Figure 11. I–V curve for varying ambient temperatures.
Energies 17 02887 g011
Figure 12. I–V curve for varying ambient temperatures (3D view).
Figure 12. I–V curve for varying ambient temperatures (3D view).
Energies 17 02887 g012
Figure 13. P–V curve for varying ambient temperatures.
Figure 13. P–V curve for varying ambient temperatures.
Energies 17 02887 g013
Figure 14. P–V curve for varying ambient temperatures (3D view).
Figure 14. P–V curve for varying ambient temperatures (3D view).
Energies 17 02887 g014
Figure 15. MPP curve for varying ambient temperatures of the PVT system.
Figure 15. MPP curve for varying ambient temperatures of the PVT system.
Energies 17 02887 g015
Figure 16. MPP curve for varying ambient temperatures (3D view).
Figure 16. MPP curve for varying ambient temperatures (3D view).
Energies 17 02887 g016
Figure 17. Ambient temperature and efficiency relation.
Figure 17. Ambient temperature and efficiency relation.
Energies 17 02887 g017
Figure 18. Ambient temperature and efficiency relation (3D view).
Figure 18. Ambient temperature and efficiency relation (3D view).
Energies 17 02887 g018
Figure 19. I–V curve for varying panel temperatures.
Figure 19. I–V curve for varying panel temperatures.
Energies 17 02887 g019
Figure 20. I–V curve for varying panel temperatures (3D view).
Figure 20. I–V curve for varying panel temperatures (3D view).
Energies 17 02887 g020
Figure 21. P–V curve for varying panel temperatures.
Figure 21. P–V curve for varying panel temperatures.
Energies 17 02887 g021
Figure 22. P–V curve for varying panel temperatures (3D view).
Figure 22. P–V curve for varying panel temperatures (3D view).
Energies 17 02887 g022
Figure 23. MPP curve for varying panel temperatures.
Figure 23. MPP curve for varying panel temperatures.
Energies 17 02887 g023
Figure 24. MPP curve for varying panel temperatures (3D view).
Figure 24. MPP curve for varying panel temperatures (3D view).
Energies 17 02887 g024
Figure 25. I–V curve for varying wind speeds.
Figure 25. I–V curve for varying wind speeds.
Energies 17 02887 g025
Figure 26. P–V curve for varying wind speeds.
Figure 26. P–V curve for varying wind speeds.
Energies 17 02887 g026
Figure 27. MPP curve for varying wind speeds.
Figure 27. MPP curve for varying wind speeds.
Energies 17 02887 g027
Figure 28. MPP curve for varying wind speeds (3D view).
Figure 28. MPP curve for varying wind speeds (3D view).
Energies 17 02887 g028
Figure 29. Irradiance curve for varying humidity levels.
Figure 29. Irradiance curve for varying humidity levels.
Energies 17 02887 g029
Table 1. MPP values regarding variable irradiances.
Table 1. MPP values regarding variable irradiances.
Irradiance (Wm−2)MPP (W)MPP Difference (W)
5001.220
8002.000.78
11002.800.80
13003.330.53
Table 2. MPP values regarding variable ambient temperatures.
Table 2. MPP values regarding variable ambient temperatures.
Temperature (°C)MPP (mW)MPP Difference (mW)
2594.80
3089.65.2
3583.75.9
4078.38.4
4568.210.1
Table 3. MPP values regarding variable panel temperatures.
Table 3. MPP values regarding variable panel temperatures.
Temperature (°C)MPP (mW)MPP Difference (mW)
601060
651006
70937
75876
807611
Table 4. MPP values regarding variable wind speeds.
Table 4. MPP values regarding variable wind speeds.
Wind Speed (ms−1)MPP (mW)MPP Difference (mW)
10.05600
20.07280.0168
30.08310.0103
40.0940.0109
50.10690.0129
Table 5. Irradiance values regarding variable humidity levels.
Table 5. Irradiance values regarding variable humidity levels.
Humidity (%)Irradiance (Wm−2)Difference (Wm−2)
609000
6587030
7085020
7583218
8081715
8680017
9279010
9877020
Disclaimer/Publisher’s Note: The statements, opinions and data contained in all publications are solely those of the individual author(s) and contributor(s) and not of MDPI and/or the editor(s). MDPI and/or the editor(s) disclaim responsibility for any injury to people or property resulting from any ideas, methods, instructions or products referred to in the content.

Share and Cite

MDPI and ACS Style

Ahmed, M.T.; Rashel, M.R.; Abdullah-Al-Wadud, M.; Hoque, T.T.; Janeiro, F.M.; Tlemcani, M. Mathematical Modeling, Parameters Effect, and Sensitivity Analysis of a Hybrid PVT System. Energies 2024, 17, 2887. https://doi.org/10.3390/en17122887

AMA Style

Ahmed MT, Rashel MR, Abdullah-Al-Wadud M, Hoque TT, Janeiro FM, Tlemcani M. Mathematical Modeling, Parameters Effect, and Sensitivity Analysis of a Hybrid PVT System. Energies. 2024; 17(12):2887. https://doi.org/10.3390/en17122887

Chicago/Turabian Style

Ahmed, Md Tofael, Masud Rana Rashel, Mohammad Abdullah-Al-Wadud, Tania Tanzin Hoque, Fernando M. Janeiro, and Mouhaydine Tlemcani. 2024. "Mathematical Modeling, Parameters Effect, and Sensitivity Analysis of a Hybrid PVT System" Energies 17, no. 12: 2887. https://doi.org/10.3390/en17122887

APA Style

Ahmed, M. T., Rashel, M. R., Abdullah-Al-Wadud, M., Hoque, T. T., Janeiro, F. M., & Tlemcani, M. (2024). Mathematical Modeling, Parameters Effect, and Sensitivity Analysis of a Hybrid PVT System. Energies, 17(12), 2887. https://doi.org/10.3390/en17122887

Note that from the first issue of 2016, this journal uses article numbers instead of page numbers. See further details here.

Article Metrics

Back to TopTop