Comparison of Space Cooling Systems from Energy and Economic Perspectives for a Future City District in Sweden
Abstract
1. Introduction
1.1. Nearly Zero Energy Building and Primary Energy Number
1.2. Life Cycle Cost Analysis
1.3. Motivation and Aim
2. Materials and Methods
2.1. Framework
2.1.1. Cooling Alternatives
2.1.2. Energy Performance of the Buildings
2.2. Life Cycle Cost Analysis (LCCA)
2.2.1. Analysis Period
2.2.2. Inflation and Discount Rates
2.2.3. Energy Cost
3. Results and Discussion
3.1. Energy Performance of the Buildings
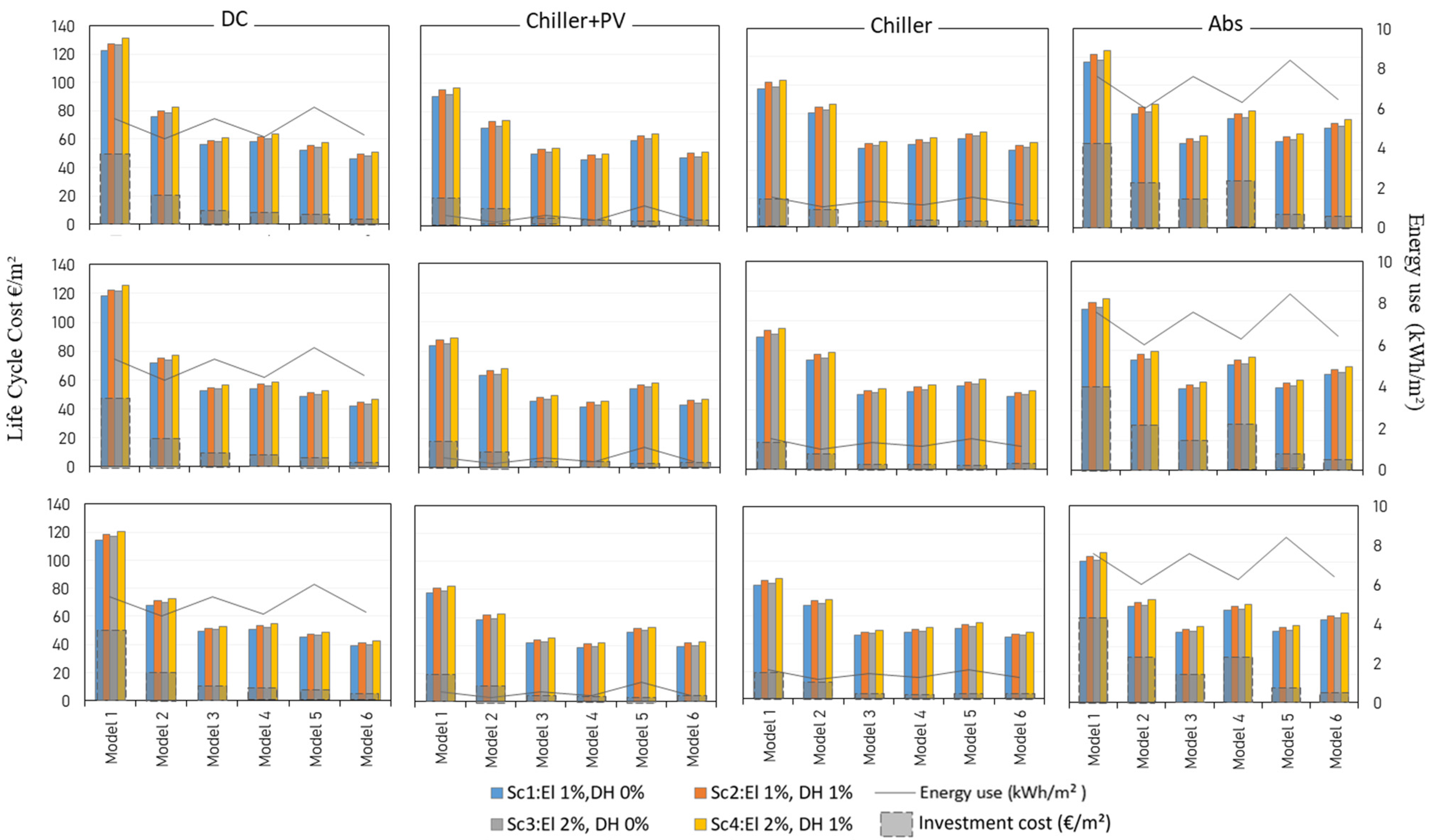
3.2. Life Cycle Cost Analysis
3.3. Techno-Economic Evaluation of the Studied Cooling Systems
4. Limitations
5. Future Work
6. Conclusions
Author Contributions
Funding
Data Availability Statement
Conflicts of Interest
References
- UN-Habitat Core Team. Urbanization and Development Emerging Futures; UN-Habitat Core Team: New York, NY, USA, 2016. [Google Scholar]
- United Nations Division of Economic Development Affairs. World Population Prospects 2019 Highlights; United Nations Division of Economic Development Affairs: New York, NY, USA, 2019. [Google Scholar]
- Inayat, A.; Raza, M. District Cooling System via Renewable Energy Sources: A Review. Renew. Sustain. Energy Rev. 2019, 107, 360–373. [Google Scholar] [CrossRef]
- OECD; IEA; IRENA. Perspectives for the Energy Transition: Investment Needs for a Low-Carbon Energy System; IEA Publications: Paris, France, 2017. [Google Scholar]
- European Commission a European Green Deal|European Commission. Available online: https://ec.europa.eu/info/strategy/priorities-2019-2024/european-green-deal_en (accessed on 27 May 2021).
- European Commission European Climate Law Climate Action. Available online: https://ec.europa.eu/clima/policies/eu-climate-action/law_en (accessed on 27 May 2021).
- European Commission European Climate Pact. Available online: https://ec.europa.eu/clima/eu-action/european-green-deal/european-climate-pact_en (accessed on 22 April 2022).
- European Commission EU Adaptation Strategy. Available online: https://ec.europa.eu/clima/eu-action/adaptation-climate-change/eu-adaptation-strategy_en (accessed on 22 April 2022).
- European Commission Energy and the Green Deal|European Commission. Available online: https://ec.europa.eu/info/strategy/priorities-2019-2024/european-green-deal/energy-and-green-deal_en (accessed on 22 April 2022).
- Zappa, W.; Junginger, M.; van den Broek, M. Is a 100% Renewable European Power System Feasible by 2050? Appl. Energy 2019, 233–234, 1027–1050. [Google Scholar] [CrossRef]
- Pleßmann, G.; Blechinger, P. How to Meet EU GHG Emission Reduction Targets? A Model Based Decarbonization Pathway for Europe’s Electricity Supply System until 2050. Energy Strategy Rev. 2017, 15, 19–32. [Google Scholar] [CrossRef]
- Heun, M.K.; Brockway, P.E. Meeting 2030 Primary Energy and Economic Growth Goals: Mission Impossible? Appl. Energy 2019, 251, 112697. [Google Scholar] [CrossRef]
- Vaillancourt, K.; Bahn, O.; Frenette, E.; Sigvaldason, O. Exploring Deep Decarbonization Pathways to 2050 for Canada Using an Optimization Energy Model Framework. Appl. Energy 2017, 195, 774–785. [Google Scholar] [CrossRef]
- European Commission Official Journal of the European Union L 153. Available online: https://eur-lex.europa.eu/legal-content/EN/TXT/?uri=OJ:L:2010:153:TOC (accessed on 28 May 2021).
- Latõšov, E.; Volkova, A.; Siirde, A.; Kurnitski, J.; Thalfeldt, M. Primary Energy Factor for District Heating Networks in European Union Member States. In Proceedings of the Energy Procedia, Seoul, Republic of Korea, 4–7 September 2017; Volume 116, pp. 69–77. [Google Scholar]
- Marszal, A.J.; Heiselberg, P.; Bourrelle, J.S.; Musall, E.; Voss, K.; Sartori, I.; Napolitano, A. Zero Energy Building—A Review of Definitions and Calculation Methodologies. Energy Build. 2011, 43, 971–979. [Google Scholar] [CrossRef]
- Attia, S.; Eleftheriou, P.; Xeni, F.; Morlot, R.; Ménézo, C.; Kostopoulos, V.; Betsi, M.; Kalaitzoglou, I.; Pagliano, L.; Cellura, M.; et al. Overview and Future Challenges of Nearly Zero Energy Buildings (NZEB) Design in Southern Europe. Energy Build. 2017, 155, 439–458. [Google Scholar] [CrossRef]
- Cellura, M.; Guarino, F.; Longo, S.; Mistretta, M. Energy Life-Cycle Approach in Net Zero Energy Buildings Balance: Operation and Embodied Energy of an Italian Case Study. Energy Build. 2014, 72, 371–381. [Google Scholar] [CrossRef]
- Lindkvist, C.; Karlsson, A.; Sørnes, K.; Wyckmans, A. Barriers and Challenges in NZEB Projects in Sweden and Norway. In Proceedings of the Energy Procedia, Trondheim, Norway, 22–24 January 2014; Volume 58, pp. 199–206. [Google Scholar]
- Sayadi, S.; Hayati, A.; Akander, J.; Cehlin, M. Cooling Demand Reduction Approaches for Typical Buildings in a Future City District in Mid-Sweden. In Proceedings of the Building Simulation 2021, Bruges, Belgium, 1–3 September 2021. [Google Scholar]
- Wrålsen, B.; O’Born, R.; Skaar, C. Life Cycle Assessment of an Ambitious Renovation of a Norwegian Apartment Building to NZEB Standard. Energy Build. 2018, 177, 197–206. [Google Scholar] [CrossRef]
- European Commission Official Journal of the European Union L 208. Available online: https://eur-lex.europa.eu/legal-content/EN/TXT/?uri=OJ:L:2016:208:TOC (accessed on 28 May 2021).
- European Commission Official Journal of the European Union L 81. Available online: https://eur-lex.europa.eu/legal-content/EN/TXT/?uri=OJ%3AL%3A2012%3A081%3ATOC (accessed on 28 May 2021).
- European Commission Official Journal of the European Union C 115. Available online: https://eur-lex.europa.eu/legal-content/EN/TXT/?uri=OJ%3AC%3A2012%3A115%3ATOC (accessed on 28 May 2021).
- D’Agostino, D. Assessment of the Progress towards the Establishment of Definitions of Nearly Zero Energy Buildings (NZEBs) in European Member States. J. Build. Eng. 2015, 1, 20–32. [Google Scholar] [CrossRef]
- Swing Gustafsson, M.; Gustafsson, M.; Myhren, J.A.; Dotzauer, E. Primary Energy Use in Buildings in a Swedish Perspective. Energy Build. 2016, 130, 202–209. [Google Scholar] [CrossRef]
- Gustafsson, M.; Thygesen, R.; Karlsson, B.; Ödlund, L. Rev-Changes in Primary Energy Use and CO2 Emissions—An Impact Assessment for a Building with Focus on the Swedish Proposal for Nearly Zero Energy Buildings. Energy 2017, 10, 978. [Google Scholar] [CrossRef]
- Boverket. Konsekvensutredning BFS 2020: Boverkets Föreskrifter Och Allmänna Råd Om Energimätning i Byggnader; Boverket: Karlskrona, Sweden, 2020. [Google Scholar]
- Häggström, A. Fjärrvärmeburen Kyla TT—Cooling with District Heating (Eng); Department of Applied Physics and Electronics, Faculty of Science and Technology, Umeå University: Umeå, Sweden, 2017. [Google Scholar]
- Boverket. Konsekvensutredning BFS 2020: 4 Boverkets Föreskrifter Om Ändring i Verkets Byggregler (2011:6)—Föreskrifter Och Allmänna Råd, BBR, Avsnitt 5 Och 9; Boverket: Karlskrona, Sweden, 2020. [Google Scholar]
- Gävle Kommun the Industry—One of Europe’s Most Sustainable Districts—Gävle Municipality. Available online: https://www.gavle.se/kommunens-service/bygga-trafik-och-miljo/planer-och-samhallsbyggnadsprojekt-i-gavle/pagaende-byggprojekt-i-gavle/naringen/ (accessed on 7 January 2022).
- Pombo, O.; Rivela, B.; Neila, J. The Challenge of Sustainable Building Renovation: Assessment of Current Criteria and Future Outlook. J. Clean. Prod. 2016, 123, 88–100. [Google Scholar] [CrossRef]
- Official Journal of the European Union COMMISSION DELEGATED REGULATION (EU) No 244/2012. Available online: http://data.europa.eu/eli/reg_del/2012/244/oj (accessed on 1 May 2022).
- Villa-Arrieta, M.; Sumper, A. Economic Evaluation of Nearly Zero Energy Cities. Appl. Energy 2019, 237, 404–416. [Google Scholar] [CrossRef]
- Ferrara, M.; Fabrizio, E.; Virgone, J.; Filippi, M. Energy Systems in Cost-Optimized Design of Nearly Zero-Energy Buildings. Autom. Constr. 2016, 70, 109–127. [Google Scholar] [CrossRef]
- Bonakdar, F.; Dodoo, A.; Gustavsson, L. Cost-Optimum Analysis of Building Fabric Renovation in a Swedish Multi-Story Residential Building. Energy Build. 2014, 84, 662–673. [Google Scholar] [CrossRef]
- Khadra, A.; Hugosson, M.; Akander, J.; Myhren, J.A. Economic Performance Assessment of Three Renovated Multi-Family Buildings with Different HVAC Systems. Energy Build. 2020, 224, 110275. [Google Scholar] [CrossRef]
- Congedo, P.M.; Baglivo, C.; Seyhan, A.K.; Marchetti, R. Worldwide Dynamic Predictive Analysis of Building Performance under Long-Term Climate Change Conditions. J. Build. Eng. 2021, 42, 103057. [Google Scholar] [CrossRef]
- Sengupta, A.; Al Assaad, D.; Bastero, J.B.; Steeman, M.; Breesch, H. Impact of Heatwaves and System Shocks on a Nearly Zero Energy Educational Building: Is It Resilient to Overheating? Build. Environ. 2023, 234, 110152. [Google Scholar] [CrossRef]
- TERMO—Värme Och Kyla För Framtidens Energisystem. Available online: https://www.energimyndigheten.se/utlysningar/utlysning-termo--varme-och-kyla-for-framtidens-energisystem/ (accessed on 1 December 2022).
- Sayadi, S.; Akander, J.; Hayati, A.; Cehlin, M. Analyzing the Climate-Driven Energy Demand and Carbon Emission for a Prototype Residential NZEB in Central Sweden. Energy Build. 2022, 261, 111960. [Google Scholar] [CrossRef]
- Bakhtiari, H.; Sayadi, S.; Akander, J.; Hayati, A.; Cehlin, M. How Will Mechanical Night Ventilation Affect the Electricity Use and the Electrical Peak Power Demand in 30 Years?—A Case Study of a Historic Office Building in Sweden. In Proceedings of the International Conference on Building Energy and Environment (COBEE 2022), Montreal, QC, Canada, 26 July 2022. [Google Scholar]
- Ylmén, P.; Schade, J. Termisk Inomhuskomfort Vid Värmeböljor; RISE Research Institutes of Sweden: Borås, Sweden, 2021; ISBN 978-91-89385-21-4.
- Machard, A.; Inard, C.; Alessandrini, J.M.; Pelé, C.; Ribéron, J. A Methodology for Assembling FutureWeather Files Including Heatwaves for Building Thermal Simulations from the European Coordinated Regional Downscaling Experiment (EURO-CORDEX) Climate Data. Energy 2020, 13, 3424. [Google Scholar] [CrossRef]
- Cannon, A.J. Multivariate Quantile Mapping Bias Correction: An N-Dimensional Probability Density Function Transform for Climate Model Simulations of Multiple Variables. Clim. Dyn. 2018, 50, 31–49. [Google Scholar] [CrossRef]
- Cannon, A.J.; Sobie, S.R.; Murdock, T.Q. Bias Correction of GCM Precipitation by Quantile Mapping: How Well Do Methods Preserve Changes in Quantiles and Extremes? J. Clim. 2015, 28, 6938–6959. [Google Scholar] [CrossRef]
- IEA EBC IEA EBC||Annex 80||Resilient Cooling||IEA EBC||Annex 80. Available online: https://annex80.iea-ebc.org/ (accessed on 31 January 2022).
- Nik, V.M.; Sasic Kalagasidis, A. Impact Study of the Climate Change on the Energy Performance of the Building Stock in Stockholm Considering Four Climate Uncertainties. Build. Environ. 2013, 60, 291–304. [Google Scholar] [CrossRef]
- Jylhä, K.; Jokisalo, J.; Ruosteenoja, K.; Pilli-Sihvola, K.; Kalamees, T.; Seitola, T.; Mäkelä, H.M.; Hyvönen, R.; Laapas, M.; Drebs, A. Energy Demand for the Heating and Cooling of Residential Houses in Finland in a Changing Climate. Energy Build. 2015, 99, 104–116. [Google Scholar] [CrossRef]
- Petersen, S. The Effect of Local Climate Data and Climate Change Scenarios on the Thermal Design of Office Buildings in Denmark. In Proceedings of the IBPSA-Nordic, Oslo, Norway, 13–14 October 2020; pp. 179–186. [Google Scholar]
- Zhang, C.; Kazanci, O.B.; Levinson, R.; Heiselberg, P.; Olesen, B.W.; Chiesa, G.; Sodagar, B.; Ai, Z.; Selkowitz, S.; Zinzi, M.; et al. Resilient Cooling Strategies—A Critical Review and Qualitative Assessment. Energy Build. 2021, 251, 111312. [Google Scholar] [CrossRef]
- Moazami, A.; Carlucci, S.; Nik, V.M.; Geving, S. Towards Climate Robust Buildings: An Innovative Method for Designing Buildings with Robust Energy Performance under Climate Change. Energy Build. 2019, 202, 109378. [Google Scholar] [CrossRef]
- Homaei, S.; Hamdy, M. A Robustness-Based Decision Making Approach for Multi-Target High Performance Buildings under Uncertain Scenarios. Appl. Energy 2020, 267, 114868. [Google Scholar] [CrossRef]
- Gustafsson, M.; Åberg, M.; Berner Wik, P. Fjärrvärme i Framtidens Hållbara Bostadsområden 2021-812; Energiforsk AB: Stockholm, Sweden, 2021. [Google Scholar]
- SCB Statistikmyndigheten (SCB). Available online: https://www.scb.se/ (accessed on 17 January 2022).
- Wik, P.B. Perspectives of a Climate-Neutral Urban District Evaluation of Greenhouse Gas Emissions, Exergy and Energy Balances; University of Gävle: Gävle, Sweden, 2020. [Google Scholar]
- Equa Simulation Building Performance-Simulation Software|EQUA. Available online: https://www.equa.se/en/ (accessed on 19 August 2020).
- ANSI/ASHRAE Standard 140-2017: Standard Method of Test for the Evaluation of Building Energy Analysis Computer Programs; ASHRAE Standard: Atlanta, GA, USA; ISBN 1041-2336.
- Sahlin, P.; Eriksson, L.; Grozman, P.; Johnsson, H.; Shapovalov, A.; Vuolle, M. Whole-Building Simulation with Symbolic DAE Equations and General Purpose Solvers. Build. Environ. 2004, 39, 949–958. [Google Scholar] [CrossRef]
- Moosberger, S. IDA ICE CIBSE-Validation Test of IDA Indoor Climate and Energy Version 4.0 According to CIBSE TM33, Issue 3 Report 2007-12-17; Hochschule Luzern–Technik & Architektur: Horw, Switzerland, 2007. [Google Scholar]
- Validation & Certifications—Simulation Software|EQUA. Available online: https://www.equa.se/en/ida-ice/validation-certifications (accessed on 18 August 2020).
- ESGF ESGF-LLNL—Home|ESGF-CoG. Available online: https://esgf-node.llnl.gov/projects/esgf-llnl/ (accessed on 10 June 2021).
- Sveby Sveby|Branchstandard För Energi i Byggnader. Available online: http://www.sveby.org/ (accessed on 21 June 2021).
- Energimyndigheten Energistatistik För Småhus, Flerbostadshus Och Lokaler. Available online: https://www.energimyndigheten.se/statistik/den-officiella-statistiken/statistikprodukter/energistatistik-for-smahus-flerbostadshus-och-lokaler/ (accessed on 23 August 2022).
- Gävle Energi Gävle Energi AB. Available online: https://www.gavleenergi.se/ (accessed on 4 June 2021).
- Sayadi, S.; Akander, J.; Hayati, A.; Cehlin, M. Review on District Cooling and Its Application in Energy Systems. In Urban Transition-Perspectives on Urban Systems and Environments; IntechOpen: London, UK, 2021. [Google Scholar]
- Dahlberg Larsson, C.; Selinder, P.; Walletun, H. Fastighetsanpassning För 4GDH Cilla Dahlberg Larsson; Energiforsk AB: Stockholm, Sweden, 2018. [Google Scholar]
- Stockholm Exergi Stockholm Exergi. Available online: https://www.stockholmexergi.se/en/ (accessed on 25 June 2022).
- Official Journal of the European Union Commission Regulation (EU) No 206/2012 of 6 March 2012. Available online: https://eur-lex.europa.eu/eli/reg/2012/206/oj (accessed on 24 April 2023).
- Park, W.Y.; Shah, N.; Choi, J.Y.; Kang, H.J.; Kim, D.H.; Phadke, A. Lost in Translation: Overcoming Divergent Seasonal Performance Metrics to Strengthen Air Conditioner Energy-Efficiency Policies. Energy Sustain. Dev. 2020, 55, 56–68. [Google Scholar] [CrossRef]
- Matera, N.; Mazzeo, D.; Baglivo, C.; Congedo, P.M. Will Climate Change Affect Photovoltaic Performances? A Long-Term Analysis from 1971 to 2100 in Italy. Energies 2022, 15, 9546. [Google Scholar] [CrossRef]
- Cillari, G.; Franco, A.; Fantozzi, F. Sizing Strategies of Photovoltaic Systems in NZEB Schemes to Maximize the Self-Consumption Share. Energy Rep. 2021, 7, 6769–6785. [Google Scholar] [CrossRef]
- Carrier Carrier Luftkonditionering, Värme Och Ventilation. Available online: https://www.carrier.com/commercial/sv/se/ (accessed on 3 June 2022).
- Svea Solar Svea Solar—Solar, Chargers, Batteries, Energy. Available online: https://sveasolar.com/ (accessed on 16 June 2022).
- Global data Rooftop Solar Photovoltaic (PV) Market Size, Share and Trends Analysis by Technology, Installed Capacity, Generation, Drivers, Constraints, Key Players and Forecast. 2021–2030. Available online: https://www.globaldata.com/data/ (accessed on 26 June 2022).
- Skoczkowski, T.; Bielecki, S.; Wojtyńska, J. Long-Term Projection of Renewable Energy Technology Diffusion. Energies 2019, 12, 4261. [Google Scholar] [CrossRef]
- Bank, E.C. European Central Bank. Available online: https://www.ecb.europa.eu/home/html/index.sv.html (accessed on 18 April 2023).
- Amiri, S. Economic and Environmental Benefits of CHP-Based District Heating Systems in Sweden; Energiforsk AB: Linköping, Sweden, 2013. [Google Scholar]
- Yazaki Yazaki Energy Systems, Inc. Available online: https://www.yazakienergy.com/index.htm (accessed on 3 June 2022).
- Gävle Municipality Gävle Strand—Etapp 3—Gävle Kommun. Available online: https://www.gavle.se/kommunens-service/bygga-trafik-och-miljo/planer-och-samhallsbyggnadsprojekt-i-gavle/pagaende-byggprojekt-i-gavle/gavle-strand-etapp-3/ (accessed on 7 January 2022).
- Sveby Brukarindata Bostäder. Branschstandard För Energi I Byggnader; Version 1; SVEBY: Stockholm, Sweden, 2012; p. 28. [Google Scholar]
- Westin, R. Hushållsel I Nybyggda Flerbostadshus; Skanska Teknik: Hudiksvall, Sweden, 2019. [Google Scholar]
- Berggren, B.; Wall, M.; Flodberg, K.; Sandberg, E. Net ZEB Office in Sweden—A Case Study, Testing the Swedish Net ZEB Definition. Int. J. Sustain. Built Environ. 2012, 1, 217–226. [Google Scholar] [CrossRef]
- Petrović, B.; Zhang, X.; Eriksson, O.; Wallhagen, M. Life Cycle Cost Analysis of a Single-Family House in Sweden. Buildings 2021, 11, 215. [Google Scholar] [CrossRef]
- Gustafsson, M.; Gustafsson, M.S.; Myhren, J.A.; Bales, C.; Holmberg, S. Techno-Economic Analysis of Energy Renovation Measures for a District Heated Multi-Family House. Appl. Energy 2016, 177, 108–116. [Google Scholar] [CrossRef]
- Kneifel, J.; Webb, D. Life Cycle Costing Manual for the Federal Energy Management Program; National Institute of Standards and Technology: Washington, DC, USA, 2020.
- Historic Inflation Sweden—Historic CPI Inflation Sweden. Available online: https://www.inflation.eu/en/inflation-rates/sweden/historic-inflation/cpi-inflation-sweden.aspx (accessed on 7 May 2022).
- Startsida|Sveriges Riksbank. Available online: https://www.riksbank.se/ (accessed on 7 May 2022).
- Steinbach, J.; Staniaszek, D. Discount Rates in Energy System Analysis; BPIE Fraunhofer ISI: West Bengal, India, 2015; Volume 6, pp. 1–20. [Google Scholar]
- Energimyndighetens. Scenarier Över Sveriges Energisystem 2020; Energimyndigheten: Eskilstuna, Sweden, 2021. [Google Scholar]
- Sveriges Riksdag Klimatrapporteringsförordning (2014:1434) Svensk Författningssamling 2014:2014:1434 t.o.m. SFS 2021:1292—Riksdagen. Available online: https://www.riksdagen.se/sv/dokument-lagar/dokument/svensk-forfattningssamling/klimatrapporteringsforordning-20141434_sfs-2014-1434 (accessed on 9 May 2022).
- European Commissions. Europaparlamentets Och Rådets Förordning (EU) Nr 525/2013; European Commissions: Brussels, Belgium, 2013.
- Nils Holgersson Nils Holgersson. Available online: https://nilsholgersson.nu/ (accessed on 25 June 2022).
- Kartläggning av Marknaden för Fjärrkyla. Kartläggning av Marknaden för Fjärrkyla; Kartläggning av Marknaden för Fjärrkyla: Eskilstuna, Sweden, 2013. [Google Scholar]
- EQUA IDA-Indoor Climate and Energy Support. Available online: http://www.equaonline.com/iceuser/new_documentation.html (accessed on 7 February 2021).
- Energiföretagen Sverige—Swedenergy—AB. Available online: https://www.energiforetagen.se/ (accessed on 26 March 2021).
- Stephan, A.; Crawford, R.H. The Relationship between House Size and Life Cycle Energy Demand: Implications for Energy Efficiency Regulations for Buildings. Energy 2016, 116, 1158–1171. [Google Scholar] [CrossRef]
- Carlander, J.; Moshfegh, B.; Akander, J.; Karlsson, F. Effects on Energy Demand in an Office Building Considering Location, Orientation, Façade Design and Internal Heat Gains-A Parametric Study. Energies 2020, 13, 6170. [Google Scholar] [CrossRef]
- Carpio, M.; Carrasco, D. Impact of Shape Factor on Energy Demand, CO2 Emissions and Energy Cost of Residential Buildings in Cold Oceanic Climates: Case Study of South Chile. Sustainability 2021, 13, 9491. [Google Scholar] [CrossRef]
- Schibuola, L.; Tambani, C. Performance Assessment of Seawater Cooled Chillers to Mitigate Urban Heat Island. Appl. Eng. 2020, 175, 115390. [Google Scholar] [CrossRef]
- Alrwashdeh, S.S.; Ammari, H. Life Cycle Cost Analysis of Two Different Refrigeration Systems Powered by Solar Energy. Case Stud. Therm. Eng. 2019, 16, 100559. [Google Scholar] [CrossRef]
- Krakowski, V.; Assoumou, E.; Mazauric, V.; Maïzi, N. Feasible Path toward 40–100% Renewable Energy Shares for Power Supply in France by 2050: A Prospective Analysis. Appl. Energy 2016, 171, 501–522. [Google Scholar] [CrossRef]
- Tigas, K.; Giannakidis, G.; Mantzaris, J.; Lalas, D.; Sakellaridis, N.; Nakos, C.; Vougiouklakis, Y.; Theofilidi, M.; Pyrgioti, E.; Alexandridis, A.T. Wide Scale Penetration of Renewable Electricity in the Greek Energy System in View of the European Decarbonization Targets for 2050. Renew. Sustain. Energy Rev. 2015, 42, 158–169. [Google Scholar] [CrossRef]







| Compression Chiller | Absorption Chiller | ||||
|---|---|---|---|---|---|
| Model | Number of Buildings | Capacity (kW) | Number of Systems | Capacity (kW) | Number of Systems |
| 1 | 4 | 17 | 1 | 17 | 1 |
| 2 | 12 | 17 | 6 | 35 | 3 |
| 3 | 18 | 21 | 9 | 35 | 6 |
| 4 | 20 | 21 | 10 | 17 | 5 |
| 35 | 5 | ||||
| 5 | 39 | 17 | 39 | 35 | 19 |
| 6 | 53 | 17 | 106 | 17 | 106 |
| Parameter | Values | Parameter | Values |
|---|---|---|---|
| Uvalues Windows (W/(m2·K)) | 0.92 | Heating set-point [81] | 21 °C |
| Uvalues External walls (W/(m2·K)) | 0.1 | Cooling set-point | 25 °C |
| Uvalues Roofs (W/(m2·K)) | 0.06 | Heat exchanger efficiency | 0.85–0.9 |
| Window to floor ratio (%) | 10 | Number of residents [81] | 1.42–2.18 |
| Total area (m2) | 400–4000 | Internal heat gain (kWh/m2 per year) [82] | 25–28 |
| Scenarios | Carrier | Price Escalation | Carrier | Price Escalation |
|---|---|---|---|---|
| Sc 1 | El&DC | 1% | DH | 0% |
| Sc 2 | El&DC | 1% | DH | 1% |
| Sc 3 | El&DC | 2% | DH | 0% |
| Sc 4 | El&DC | 2% | DH | 1% |
Disclaimer/Publisher’s Note: The statements, opinions and data contained in all publications are solely those of the individual author(s) and contributor(s) and not of MDPI and/or the editor(s). MDPI and/or the editor(s) disclaim responsibility for any injury to people or property resulting from any ideas, methods, instructions or products referred to in the content. |
© 2023 by the authors. Licensee MDPI, Basel, Switzerland. This article is an open access article distributed under the terms and conditions of the Creative Commons Attribution (CC BY) license (https://creativecommons.org/licenses/by/4.0/).
Share and Cite
Sayadi, S.; Akander, J.; Hayati, A.; Gustafsson, M.; Cehlin, M. Comparison of Space Cooling Systems from Energy and Economic Perspectives for a Future City District in Sweden. Energies 2023, 16, 3852. https://doi.org/10.3390/en16093852
Sayadi S, Akander J, Hayati A, Gustafsson M, Cehlin M. Comparison of Space Cooling Systems from Energy and Economic Perspectives for a Future City District in Sweden. Energies. 2023; 16(9):3852. https://doi.org/10.3390/en16093852
Chicago/Turabian StyleSayadi, Sana, Jan Akander, Abolfazl Hayati, Mattias Gustafsson, and Mathias Cehlin. 2023. "Comparison of Space Cooling Systems from Energy and Economic Perspectives for a Future City District in Sweden" Energies 16, no. 9: 3852. https://doi.org/10.3390/en16093852
APA StyleSayadi, S., Akander, J., Hayati, A., Gustafsson, M., & Cehlin, M. (2023). Comparison of Space Cooling Systems from Energy and Economic Perspectives for a Future City District in Sweden. Energies, 16(9), 3852. https://doi.org/10.3390/en16093852

