Characteristic Evaluation of Different Carbonization Processes for Hydrochar, Torrefied Char, and Biochar Produced from Cattle Manure
Abstract
1. Introduction
2. Materials and Methods
2.1. Cattle Manure
2.2. Hydrothermal Carbonization
2.3. Torrefaction and Carbonization
2.4. Mass and Energy Yield
2.5. Thermogravimetric Analysis for Pyrolysis Behavior
3. Results
3.1. Comparison of the Properties of the Cattle Manure, Hydrochar, Torrefied Char, and Biochar
3.2. Characteristics of Ash in Cattle Manure, Hydrochar, Torrefied Char, and Biochar
3.3. Thermogravimetric Analysis of the Cattle Manure, Hydrochar, Torrefied Char, and Biochars during Pyrolysis
4. Conclusions
Author Contributions
Funding
Data Availability Statement
Conflicts of Interest
References
- Won, S.; You, B.G.; Ra, C. Investigation of Hanwoo manure management and estimation of nutrient loading coefficients on land application. J. Anim. Sci. Technol. 2015, 57, 20. [Google Scholar] [CrossRef]
 - Lee, J.H.; Yoon, Y.M. Comparison of nutrient balance and nutrient loading index for cultivated land nutrient management. Korean J. Environ. Biol. 2019, 37, 554–567. [Google Scholar] [CrossRef]
 - Korea Rural Economic Institute Report, Introduction Plan Research of Nutrition Balance and Load. Available online: https://scienceon.kisti.re.kr/srch/selectPORSrchReport.do?cn=TRKO201600011825 (accessed on 10 January 2023).
 - Korea Ministry of Environment, Press Release. Available online: http://www.me.go.kr/home/web/board/read.do?boardMasterId=1&boardId=1507030&menuId=10525 (accessed on 10 January 2023).
 - Kim, Y.; Ryoo, K.S. Study on the Morphological Change and Reduction Plan of Nitrogen and Phosphorous in Litter and Manure of Cow House. J. Korean Chem. Soc. 2021, 65, 249–253. [Google Scholar]
 - Korea Ministry of Trade, Industry and Energy, Press Release. Available online: http://www.motie.go.kr/motie/ne/presse/press2/bbs/bbsView.do?bbs_cd_n=81&cate_n=1&bbs_seq_n=164505 (accessed on 10 January 2023).
 - Korea Administrative Rule, Quality Standards of Timber and Timber Products. Available online: https://www.law.go.kr/LSW/admRulLsInfoP.do?admRulSeq=2100000190670 (accessed on 13 January 2023).
 - Korea Electric Power Statistics Information System, Statistical Data of Fuel Cost. Available online: https://epsis.kpx.or.kr/epsisnew/selectEkmaFucUpfChart.do?menuId=040100 (accessed on 13 January 2023).
 - Batidzirai, B.; Mignot, A.P.R.; Schakel, W.B.; Junginger, H.M.; Faaij, A.P.C. Biomass torrefaction technology: Techno-economic status and future prospects. Energy 2013, 62, 196–214. [Google Scholar] [CrossRef]
 - Sharma, H.B.; Panigrahi, S.; Dubey, B.K. Hydrothermal carbonization of yard waste for solid bio-fuel production: Study on combustion kinetic, energy properties, grindability and flowability of hydrochar. Waste Manag. 2019, 91, 108–119. [Google Scholar] [CrossRef]
 - Yu, S.; Park, J.; Kim, M.; Kim, H.; Ryu, C.; Lee, Y.; Yang, W.; Jeong, Y.G. Improving energy density and grindability of wood pellets by dry torrefaction. Energy Fuels 2019, 33, 8632–8639. [Google Scholar] [CrossRef]
 - Chen, W.H.; Lin, B.J.; Lin, Y.Y.; Chu, Y.S.; Ubando, A.T.; Show, P.L.; Ong, H.C.; Chang, J.S.; Ho, S.H.; Culaba, A.B.; et al. Progress in biomass torrefaction: Principles, applications and challenges. Prog. Energy Combust. Sci. 2021, 82, 100887. [Google Scholar] [CrossRef]
 - Davies, G.; El Sheikh, A.; Collett, C.; Yakub, I.; McGregor, J. Catalytic Carbon Materials from Biomass; Elsevier: Amsterdam, The Netherlands, 2021; pp. 161–195. [Google Scholar]
 - Goyal, H.B.; Seal, D.; Saxena, R.C. Bio-fuels from thermochemical conversion of renewable resources: A review. Renew. Sustain. Energy Rev. 2008, 12, 504–517. [Google Scholar] [CrossRef]
 - Manyà, J.J. Pyrolysis for biochar purposes: A review to establish current knowledge gaps and research needs. Environ. Sci Technol. 2012, 46, 7939–7954. [Google Scholar] [CrossRef] [PubMed]
 - Mosier, N.; Wyman, C.; Dale, B.; Elander, R.; Lee, Y.; Holtzapple, M.; Ladisch, M. Features of promising technologies for pretreatment of lignocellulosic biomass. Bioresour. Technol. 2005, 96, 673–686. [Google Scholar] [CrossRef]
 - Fokaides, P.A. Energy Recovery Alternatives for the Sustainable Management of Olive Oil Industry; Academic Press: Cambridge, MA, USA, 2017; pp. 79–96. [Google Scholar]
 - Guo, M.; Song, W.; Buhain, J. Bioenergy and biofuels: History, status, and perspective. Renew. Sustain. Energy Rev. 2015, 42, 712–725. [Google Scholar] [CrossRef]
 - Kambo, H.S.; Dutta, A. A comparative review of biochar and hydrochar in terms of production, physico-chemical properties and applications. Renew. Sustain. Energy Rev. 2015, 45, 359–378. [Google Scholar] [CrossRef]
 - Kusch-Brandt, S.; Mumme, J.; Nashalian, O.; Girotto, F.; Lavagnolo, M.C.; Udenigwe, C. Valorization of Residues from Beverage Production; Woodhead Publication: New Delhi, India, 2019; pp. 451–494. [Google Scholar]
 - Li, S.X.; Chen, C.Z.; Li, M.F.; Xiao, X. Torrefaction of corncob to produce charcoal under nitrogen and carbon dioxide atmospheres. Bioresour. Technol. 2018, 249, 348–353. [Google Scholar] [CrossRef]
 - Ren, X.; Sun, R.; Meng, X.; Vorobiev, N.; Schiemann, M.; Levendis, Y.A. Carbon, sulfur and nitrogen oxide emissions from combustion of pulverized raw and torrefied biomass. Fuel 2017, 188, 310–323. [Google Scholar] [CrossRef]
 - Chen, W.H.; Huang, M.Y.; Chang, J.S.; Chen, C.Y.; Lee, W.J. An energy analysis of torrefaction for upgrading microalga residue as a solid fuel. Bioresour. Technol. 2015, 185, 285–293. [Google Scholar] [CrossRef]
 - Cai, N.; Zhang, H.; Nie, J.; Deng, Y.; Baeyens, J. Biochar from biomass slow pyrolysis. In IOP Conference Series: Earth and Environmental Science; IOP Publishing: Bristol, UK, 2020; Volume 586, p. 012001. [Google Scholar]
 - Zhang, Y.; Cui, Y.; Chen, P.; Liu, S.; Zhou, N.; Ding, K.; Fan, L.; Peng, P.; Min, M.; Cheng, Y.; et al. Gasification Technologies and Their Energy Potentials; Elsevier: Amsterdam, The Netherlands, 2019; pp. 193–206. [Google Scholar]
 - Sizirici, B.; Fseha, Y.H.; Yildiz, I.; Delclos, T.; Khaleel, A. The effect of pyrolysis temperature and feedstock on date palm waste derived biochar to remove single and multi-metals in aqueous solutions. Sustain. Environ. Res. 2021, 31, 1–16. [Google Scholar] [CrossRef]
 - Chatterjee, R.; Sajjadi, B.; Chen, W.Y.; Mattern, D.L.; Hammer, N.; Raman, V.; Dorris, A. Effect of pyrolysis temperature on physicochemical properties and acoustic-based amination of biochar for efficient CO2 adsorption. Front. Energy Res. 2020, 8, 85. [Google Scholar] [CrossRef]
 - Schmidt, M.W.; Noack, A.G. Black carbon in soils and sediments: Analysis, distribution, implications, and current challenges. Glob. Biogeochem. Cycles 2000, 14, 777–793. [Google Scholar] [CrossRef]
 - Korea Administrative Rule, Announcement for Installation of Solid Fuel Production Facilities Derived from Livestock Excretions. Available online: https://www.law.go.kr/LSW/admRulLsInfoP.do?admRulSeq=2100000139032 (accessed on 15 January 2023).
 - Toufiq Reza, M.; Freitas, A.; Yang, X.; Hiibel, S.; Lin, H.; Coronella, C.J. Hydrothermal carbonization (HTC) of cow manure: Carbon and nitrogen distributions in HTC products. Environ. Prog. Sustain. Energy 2016, 35, 1002–1011. [Google Scholar] [CrossRef]
 - Marin-Batista, J.D.; Villamil, J.A.; Qaramaleki, S.V.; Coronella, C.J.; Mohedano, A.F.; de La Rubia, M.A. Energy valorization of cow manure by hydrothermal carbonization and anaerobic digestion. Renew. Energy 2020, 160, 623–632. [Google Scholar] [CrossRef]
 - Sitty, N.S.B.; Pyohei, Y.; Iw, A.K. Preliminary Study of Dairy Manure Torrefaction for Biochar Production. In Proceedings of the ISER 9th International Conference, Berlin, Germany, 30 October 2015. [Google Scholar]
 - Itoh, T.; Iwabuchi, K.; Maemoku, N.; Chen, S.; Taniguro, K. Role of ambient pressure in self-heating torrefaction of dairy cattle manure. PLoS ONE 2020, 15, e0233027. [Google Scholar] [CrossRef] [PubMed]
 - Tsai, W.T.; Huang, P.C.; Lin, Y.Q. Characterization of biochars produced from dairy manure at high pyrolysis temperatures. Agronomy 2019, 9, 634. [Google Scholar] [CrossRef]
 - Atienza-Martínez, M.; Ábrego, J.; Gea, G.; Marías, F. Pyrolysis of dairy cattle manure: Evolution of char characteristics. J. Anal. Appl. Pyrolysis 2020, 145, 104724. [Google Scholar] [CrossRef]
 - Li, X.; Li, M.F.; Bian, J.; Wang, B.; Xu, J.K.; Sun, R.C. Hydrothermal carbonization of bamboo in an oxalic acid solution: Effects of acid concentration and retention time on the characteristics of products. RSC Adv. 2015, 5, 77147–77153. [Google Scholar] [CrossRef]
 - Wu, W.; Yang, M.; Feng, Q.; McGrouther, K.; Wang, H.; Lu, H.; Chen, Y. Chemical characterization of rice straw-derived biochar for soil amendment. Biomass Bioenergy 2012, 47, 268–276. [Google Scholar] [CrossRef]
 - Rafiq, M.K.; Bachmann, R.T.; Rafiq, M.T.; Shang, Z.; Joseph, S.; Long, R. Influence of pyrolysis temperature on physico-chemical properties of corn stover (Zea mays L.) biochar and feasibility for carbon capture and energy balance. PLoS ONE 2016, 11, e0156894. [Google Scholar] [CrossRef]
 - Soka, O.; Oyekola, O. A feasibility assessment of the production of char using the slow pyrolysis process. Heliyon 2020, 6, e04346. [Google Scholar] [CrossRef]
 - Mundike, J.; Collard, F.X.; Görgens, J.F. Pyrolysis of Lantana camara and Mimosa pigra: Influences of temperature, other process parameters and incondensable gas evolution on char yield and higher heating value. Bioresour. Technol. 2017, 243, 284–293. [Google Scholar] [CrossRef]
 - Aich, S.; Nandi, B.K.; Bhattacharya, S. Utilization of sal leaves and sal leaves char to improve the combustion performance of reject coal. Energy Sources Part A Recover. Util. Environ. Eff. 2019, 41, 2299–2312. [Google Scholar] [CrossRef]
 - Liu, X.; Chen, M.; Wei, Y. Kinetics based on two-stage scheme for co-combustion of herbaceous biomass and bituminous coal. Fuel 2015, 143, 577–585. [Google Scholar] [CrossRef]
 - Aich, S.; Behera, D.; Nandi, B.K.; Bhattacharya, S. Relationship between proximate analysis parameters and combustion behaviour of high ash Indian coal. Int. J. Coal Sci. Technol. 2020, 7, 766–777. [Google Scholar] [CrossRef]
 - Gao, P.; Zhou, Y.; Meng, F.; Zhang, Y.; Liu, Z.; Zhang, W.; Xue, G. Preparation and characterization of hydrochar from waste eucalyptus bark by hydrothermal carbonization. Energy 2016, 97, 238–245. [Google Scholar] [CrossRef]
 - Fan, F.; Zheng, Y.; Huang, Y.; Lu, Y.; Wang, Z.; Chen, B.; Zheng, Z. Preparation and characterization of biochars from waste Camellia oleifera shells by different thermochemical processes. Energy Fuels 2017, 31, 8146–8151. [Google Scholar] [CrossRef]
 - Zhao, Y.; Su, R.; Zhang, W.; Yao, G.L.; Chen, J. Antibacterial activity of tea saponin from Camellia oleifera shell by novel extraction method. Ind. Crops Prod. 2020, 153, 112604. [Google Scholar] [CrossRef]
 - Schimmelpfennig, S.; Glaser, B. One step forward toward characterization: Some important material properties to distinguish biochars. J. Environ. Qual. 2012, 41, 1001–1013. [Google Scholar] [CrossRef] [PubMed]
 - Chun, Y.; Sheng, G.; Chiou, C.T.; Xing, B. Compositions and sorptive properties of crop residue-derived chars. Environ. Sci. Technol. 2004, 38, 4649–4655. [Google Scholar] [CrossRef] [PubMed]
 - Zevenhoven, M.; Yrjas, P.; Skrifvars, B.J.; Hupa, M. Characterization of ash-forming matter in various solid fuels by selective leaching and its implications for fluidized-bed combustion. Energy Fuels 2012, 26, 6366–6386. [Google Scholar] [CrossRef]
 - Moskal, T.; Scott, S. Economic Consequences of Boiler Cheanning Effectiveness; Technical Publication Report No. DPTP-98-1; Diamond Power International: Lancaster, OH, USA, 1998. [Google Scholar]
 - Singer, J.G. Combustion, Fossil Power Systems: A Reference Book on Fuel Burning and Steam Generation; Combustion Engineering Power Systems Group: Columbia, MD, USA, 1981. [Google Scholar]
 - Öhman, M.; Nordin, A.; Hedman, H.; Jirjis, R. Reasons for slagging during stemwood pellet combustion and some measures for prevention. Biomass Bioenergy 2004, 27, 597–605. [Google Scholar] [CrossRef]
 - Masiá, A.T.; Buhre, B.J.P.; Gupta, R.P.; Wall, T.F. Characterising ash of biomass and waste. Fuel Process. Technol. 2007, 88, 1071–1081. [Google Scholar] [CrossRef]
 - Munir, S.; Nimmo, W.; Gibbs, B.M. The effect of air staged, co-combustion of pulverised coal and biomass blends on NOx emissions and combustion efficiency. Fuel 2011, 90, 126–135. [Google Scholar] [CrossRef]
 - Öhman, M.; Boman, C.; Hedman, H.; Nordin, A.; Boström, D. Slagging tendencies of wood pellet ash during combustion in residential pellet burners. Biomass Bioenergy 2004, 27, 585–596. [Google Scholar] [CrossRef]
 - Gilbe, C.; Öhman, M.; Lindström, E.; Boström, D.; Backman, R.; Samuelsson, R.; Burvall, J. Slagging characteristics during residential combustion of biomass pellets. Energy Fuels 2008, 22, 3536–3543. [Google Scholar] [CrossRef]
 - Stirling, R.J.; Snape, C.E.; Meredith, W. The impact of hydrothermal carbonisation on the char reactivity of biomass. Fuel Process. Technol. 2018, 177, 152–158. [Google Scholar] [CrossRef]
 - Smith, A.M.; Singh, S.; Ross, A.B. Fate of inorganic material during hydrothermal carbonisation of biomass: Influence of feedstock on combustion behaviour of hydrochar. Fuel 2016, 169, 135–145. [Google Scholar] [CrossRef]
 - Wagner, W.; Pruß, A. The IAPWS formulation 1995 for the thermodynamic properties of ordinary water substance for general and scientific use. J. Phys. Chem. Ref. Data 2002, 31, 387–535. [Google Scholar] [CrossRef]
 - Archer, D.G.; Wang, P. The dielectric constant of water and Debye-Hückel limiting law slopes. J. Phys. Chem. Ref. Data 1990, 19, 371–411. [Google Scholar] [CrossRef]
 - Bandura, A.V.; Lvov, S.N. The ionization constant of water over wide ranges of temperature and density. J. Phys. Chem. Ref. Data 2006, 35, 15–30. [Google Scholar] [CrossRef]
 - Kruse, A.; Funke, A.; Titirici, M.M. Hydrothermal conversion of biomass to fuels and energetic materials. Curr. Opin. Chem. Biol. 2013, 17, 515–521. [Google Scholar] [CrossRef]
 - Jenkins, B.M.; Bakker, R.R.; Wei, J.B. On the properties of washed straw. Biomass Bioenergy 1996, 10, 177–200. [Google Scholar] [CrossRef]
 - Llorente, M.F.; Laplaza, J.M.; Cuadrado, R.E.; García, J.C. Ash behaviour of lignocellulosic biomass in bubbling fluidised bed combustion. Fuel 2006, 85, 1157–1165. [Google Scholar] [CrossRef]
 - Miles, T.R.; Miles, T.R., Jr.; Baxter, L.L.; Bryers, R.W.; Jenkins, B.M.; Oden, L.L. Boiler deposits from firing biomass fuels. Biomass Bioenergy 1996, 10, 125–138. [Google Scholar] [CrossRef]
 - Nutalapati, D.; Gupta, R.; Moghtaderi, B.; Wall, T.F. Assessing slagging and fouling during biomass combustion: A thermodynamic approach allowing for alkali/ash reactions. Fuel Process. Technol. 2007, 88, 1044–1052. [Google Scholar] [CrossRef]
 - Shen, Y. Dechlorination of poly (vinyl chloride) wastes via hydrothermal carbonization with lignin for clean solid fuel production. Ind. Eng. Chem. Res. 2016, 55, 11638–11644. [Google Scholar] [CrossRef]
 - Huang, N.; Zhao, P.; Ghosh, S.; Fedyukhin, A. Co-hydrothermal carbonization of polyvinyl chloride and moist biomass to remove chlorine and inorganics for clean fuel production. Appl. Energy 2019, 240, 882–892. [Google Scholar] [CrossRef]
 - Poerschmann, J.; Weiner, B.; Woszidlo, S.; Koehler, R.; Kopinke, F.D. Hydrothermal carbonization of poly (vinyl chloride). Chemosphere 2015, 119, 682–689. [Google Scholar] [CrossRef]
 - Tekin, K.; Karagöz, S.; Bektaş, S. A review of hydrothermal biomass processing. Renew. Sustain. Energy Rev. 2014, 40, 673–687. [Google Scholar] [CrossRef]
 - Yao, Z.; Ma, X. Characteristics of co-hydrothermal carbonization on polyvinyl chloride wastes with bamboo. Bioresour. Technol. 2018, 247, 302–309. [Google Scholar] [CrossRef]
 - Munir, S.; Nimmo, W.; Gibbs, B.M. Potential slagging and fouling problems associated with biomass-coal blends in coal-fired boilers. J. Pak. Inst. Chem. Eng 2010, 38, 1–11. [Google Scholar]
 - Pronobis, M. Evaluation of the influence of biomass co-combustion on boiler furnace slagging by means of fusibility correlations. Biomass Bioenergy 2005, 28, 375–383. [Google Scholar] [CrossRef]
 - Vamvuka, D.; Zografos, D. Predicting the behaviour of ash from agricultural wastes during combustion. Fuel 2004, 83, 2051–2057. [Google Scholar] [CrossRef]
 - Yuan, X.; He, T.; Cao, H.; Yuan, Q. Cattle manure pyrolysis process: Kinetic and thermodynamic analysis with isoconver-sional methods. Renew. Energy 2017, 107, 489–496. [Google Scholar] [CrossRef]
 - Mukherjee, A.; Okolie, J.A.; Niu, C.; Dalai, A.K. Experimental and modeling studies of torrefaction of spent coffee grounds and coffee husk: Effects on surface chemistry and carbon dioxide capture performance. ACS Omega 2021, 7, 638–653. [Google Scholar] [CrossRef]
 - Keiller, B.G.; Muhlack, R.; Burton, R.A.; van Eyk, P.J. Biochemical Compositional Analysis and Kinetic Modeling of Hy-drothermal Carbonization of Australian Saltbush. Energy Fuels 2019, 33, 12469–12479. [Google Scholar] [CrossRef]
 - Lucian, M.; Volpe, M.; Fiori, L. Hydrothermal carbonization kinetics of lignocellulosic agro-wastes: Experimental data and modeling. Energies 2019, 12, 516. [Google Scholar] [CrossRef]
 









| Properties | Cattle Manure | 
|---|---|
| Moisture (wt. %, ar 1) | 66.05 | 
| Proximate analysis (wt. %, db 2) | |
| Volatile matter | 56.17 | 
| Fixed carbon | 16.34 | 
| Ash | 27.49 | 
| Ultimate analysis (wt. %, db 2) | |
| Carbon | 36.19 | 
| Hydrogen | 4.36 | 
| Oxygen | 29.12 | 
| Nitrogen | 1.87 | 
| Sulfur | 0.97 | 
| Calorific analysis (MJ/kg, db 2) | |
| Lower heating value | 12.93 | 
| Descriptions | CM (Raw)  | CM-HTC  (190 °C)  | CM-HTC (210 °C)  | CM-TF  (250 °C)  | CM-TF  (300 °C)  | CM-CB  (400 °C)  | CM-CB  (450 °C)  | 
|---|---|---|---|---|---|---|---|
| Proximate analysis (wt.%, d.b. 1) | |||||||
| Volatiles | 56.17 | 46.37 | 38.04 | 35.59 | 26.56 | 12.50 | 11.49 | 
| Fixed carbon | 16.34 | 23.43 | 29.42 | 25.00 | 29.08 | 33.94 | 35.45 | 
| Ash | 27.49 | 30.20 | 32.54 | 39.40 | 44.36 | 53.56 | 53.06 | 
| Ultimate analysis (wt.%, db. 1) | |||||||
| Carbon | 36.19 | 37.52 | 41.13 | 37.6 | 37.97 | 35.35 | 35.53 | 
| Hydrogen | 4.36 | 3.88 | 4.46 | 3.13 | 2.67 | 1.75 | 1.41 | 
| Oxygen | 29.12 | 20.7 | 18.56 | 16.87 | 12.21 | 6.93 | 7.77 | 
| Nitrogen | 1.87 | 2.57 | 2.8 | 2.08 | 1.84 | 1.51 | 1.27 | 
| Sulfur | 0.97 | 0.52 | 0.71 | 0.92 | 0.95 | 0.9 | 0.96 | 
| Calorific value (MJ/kg, d.b. 1) | |||||||
| LHV | 12.93 | 13.35 | 15.23 | 14.77 | 13.77 | 12.59 | 12.85 | 
| Index | Slagging and Fouling Indices | |||
|---|---|---|---|---|
| Low | Medium | High | Extremely High | |
| SiO2 (%) | <20 | 20~25 | >25 | - | 
| Cl (%) | <0.2 | 0.2~0.3 | 0.3~0.5 | >0.5 | 
| B/A ratio | <0.5 | 0.5~1 | 1~1.75 | >1.75 | 
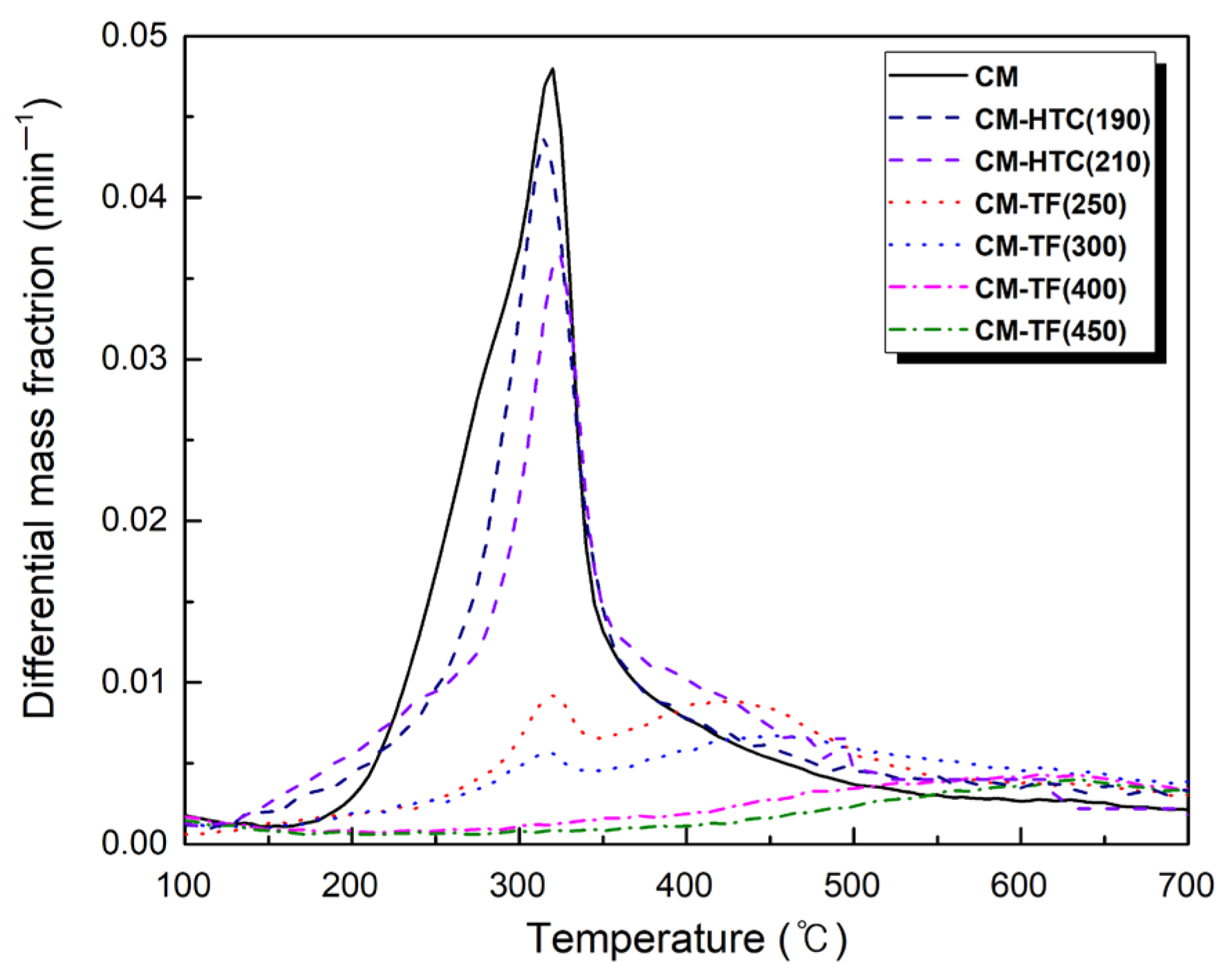
| Sample | Ti (°C)  | Tpk (°C)  | Tf (°C)  | Rpk (min−1)  | Mf (g/g)  | 
|---|---|---|---|---|---|
| CM | 185 | 320 | 675 | 4.80 × 10−2 | 0.47 | 
| CM-HTC (190 °C) | 140 | 315 | 675 | 4.38 × 10−2 | 0.51 | 
| CM-HTC (210 °C) | 135 | 335 | 675 | 3.64 × 10−2 | 0.59 | 
| CM-TF (250 °C) | 190 | 419 | 675 | 8.84 × 10−3 | 0.72 | 
| CM-TF (300 °C) | 200 | 460 | 675 | 6.71 × 10−3 | 0.74 | 
| CM-CB (400 °C) | 370 | 610 | 675 | 4.03 × 10−3 | 0.85 | 
| CM-CB (450 °C) | 450 | 635 | 680 | 4.02 × 10−3 | 0.88 | 
Disclaimer/Publisher’s Note: The statements, opinions and data contained in all publications are solely those of the individual author(s) and contributor(s) and not of MDPI and/or the editor(s). MDPI and/or the editor(s) disclaim responsibility for any injury to people or property resulting from any ideas, methods, instructions or products referred to in the content.  | 
© 2023 by the authors. Licensee MDPI, Basel, Switzerland. This article is an open access article distributed under the terms and conditions of the Creative Commons Attribution (CC BY) license (https://creativecommons.org/licenses/by/4.0/).
Share and Cite
Song, E.; Kim, H.; Kim, K.W.; Yoon, Y.-M. Characteristic Evaluation of Different Carbonization Processes for Hydrochar, Torrefied Char, and Biochar Produced from Cattle Manure. Energies 2023, 16, 3265. https://doi.org/10.3390/en16073265
Song E, Kim H, Kim KW, Yoon Y-M. Characteristic Evaluation of Different Carbonization Processes for Hydrochar, Torrefied Char, and Biochar Produced from Cattle Manure. Energies. 2023; 16(7):3265. https://doi.org/10.3390/en16073265
Chicago/Turabian StyleSong, Eunhye, Ho Kim, Kyung Woo Kim, and Young-Man Yoon. 2023. "Characteristic Evaluation of Different Carbonization Processes for Hydrochar, Torrefied Char, and Biochar Produced from Cattle Manure" Energies 16, no. 7: 3265. https://doi.org/10.3390/en16073265
APA StyleSong, E., Kim, H., Kim, K. W., & Yoon, Y.-M. (2023). Characteristic Evaluation of Different Carbonization Processes for Hydrochar, Torrefied Char, and Biochar Produced from Cattle Manure. Energies, 16(7), 3265. https://doi.org/10.3390/en16073265
        
