Influence of Molasses on the Explosion and Decomposition Properties of the Coal Dust Deposited in Underground Mines
Abstract
1. Introduction
2. Material and Methods
2.1. Material Preparation
2.1.1. Sample Method for Coal Dust Deposited in Underground Coal Mines
2.1.2. Preparation of Explosion Coal Dust
2.2. Experiments
2.2.1. Coal Dust Explosion Experiment
2.2.2. Thermal Decomposition of Coal Dust
2.3. Data Analysis Methods
2.3.1. The Extraction Method for Explosion Characteristics of Coal Dust
2.3.2. Calculation of the Decomposition Characteristics of Coal Dust
3. Results
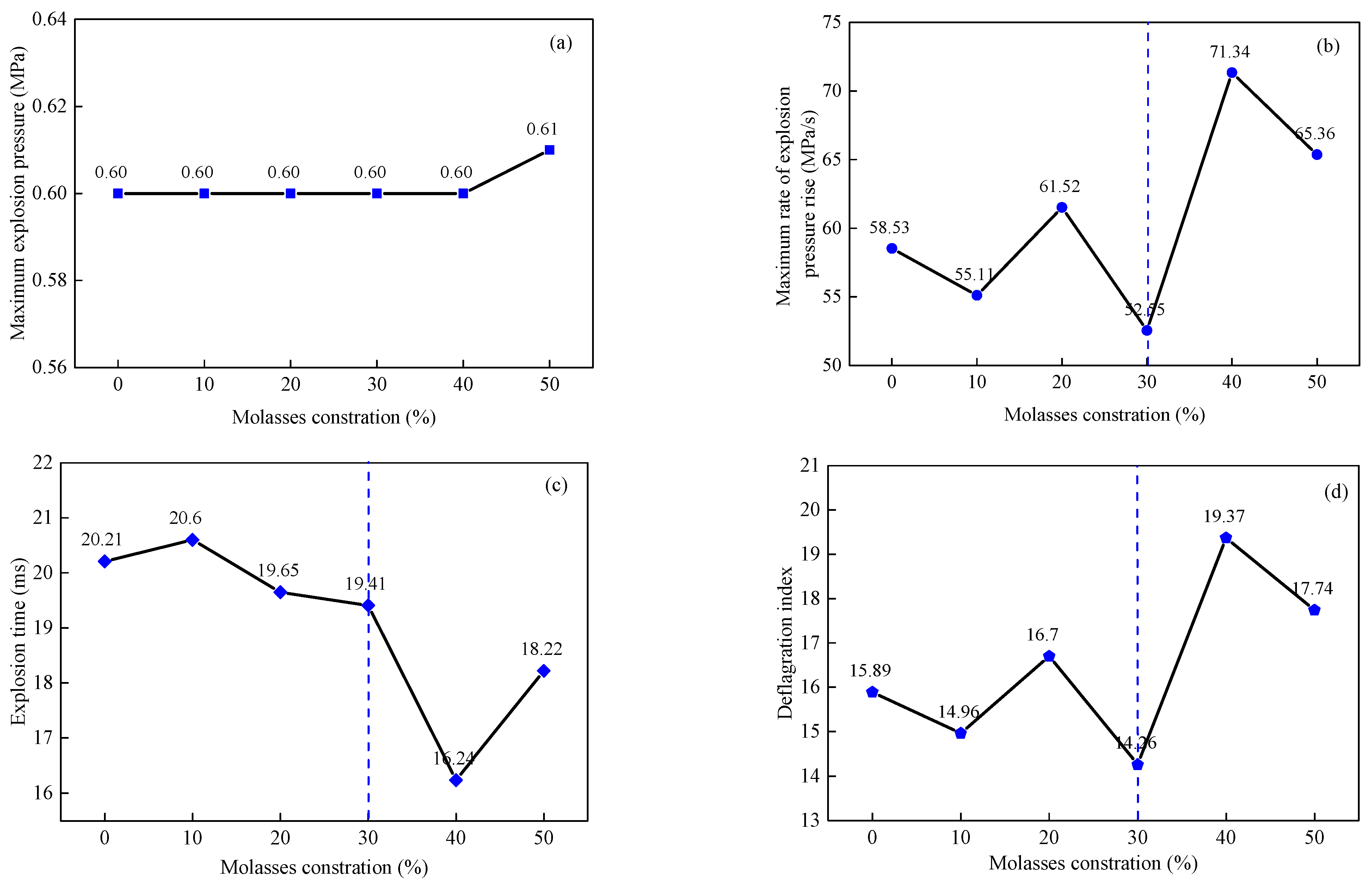
3.1. Effect of Molasses Solution on the Explosion Characteristics of the Coal Dust
3.2. Effect of Molasses Solution on the Decomposition Characteristics of the Coal Dust
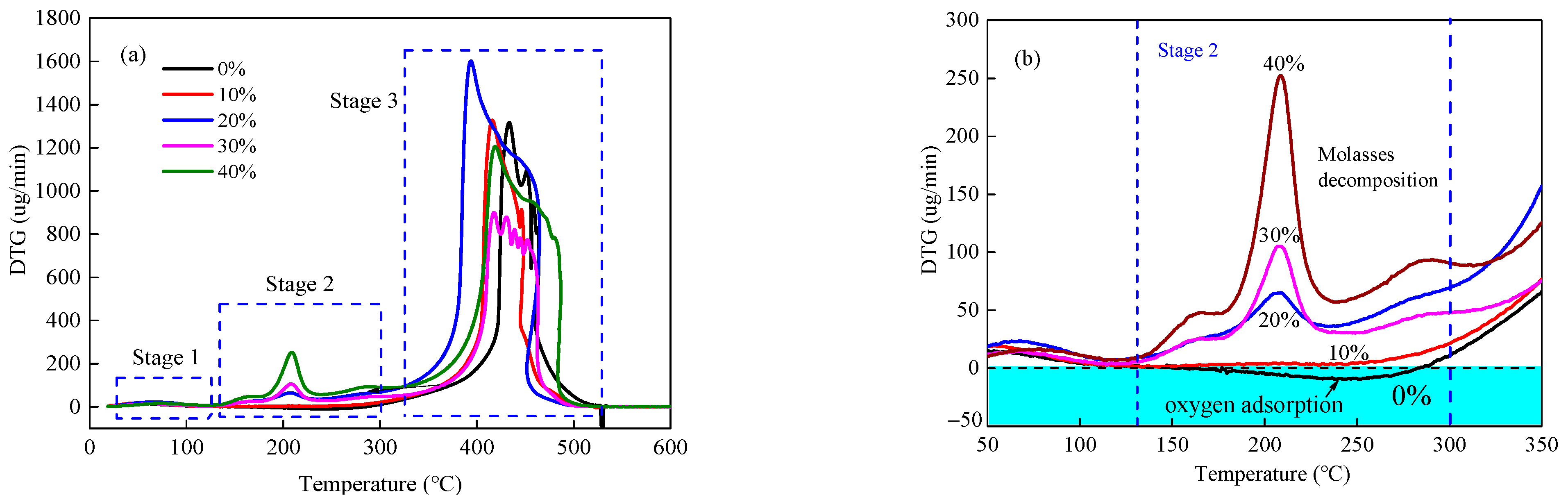
3.2.1. TG-DTG Analysis
3.2.2. DTA Analysis
4. Discussion
5. Conclusions
- (1)
- With the increasing of coal dust concentration, the Pmax, (dP/dt)max, and Kst of the coal dust samples all increased first and decreased then; in contrast, the te of the coal dust samples decreased first and increased then, with the turning points located around 400 g/m3. According to the result, the molasses can weakly promote the explosion of coal dust at low coal dust concentrations (less than 400 g/m3) but has no significant effect on the coal dust explosion at high coal dust concentrations (larger than 400 g/m3).
- (2)
- The maximum explosion intensity of the coal dust samples was achieved at around 400 g/m3. At the coal dust concentration of 400 g/m3, molasses has no significant effect on the coal dust explosion when its concentration is less than 30%, but molasses has a weak promotion effect on the coal dust explosion when its concentration is greater than 30%. Therefore, the molasses concentration is better ≤30% when using molasses as a coal dust suppressant.
- (3)
- The coal dust decomposition process mixed with molasses included three stages: moisture evaporation (0–150 °C), molasses decomposition (150–300 °C), and coal dust decomposition (300–500 °C). The characteristic decomposition temperature (Td) of coal dust first decreased and then increased as molasses concentration increased.
- (4)
- Molasses has a lower decomposition temperature than coal dust. Molasses oxidation produces heat, consumes oxygen, and produces a non-combustible gas. At low coal dust concentrations, the heat produced by molasses oxidation promotes the decomposition of coal dust and accelerates combustible gas generation, thereby enhancing coal dust explosions. At high coal dust concentrations, molasses oxidation consumes massive amounts of oxygen, resulting in the combustible gas, decomposed by coal dust, cannot be fully burned; with the co-influence of the generation-heat and consumption-oxygen, molasses has no significant influence on the coal dust explosion.
Author Contributions
Funding
Data Availability Statement
Conflicts of Interest
References
- Aydin, G. The application of trend analysis for coal demand modeling. Energy Sources B 2015, 10, 183–191. [Google Scholar] [CrossRef]
- Aydin, G. The modeling and projection of primary energy consumption by the sources. Energy Sources B 2015, 10, 67–74. [Google Scholar] [CrossRef]
- Chen, K.; Liu, X.; Nie, B.; Zhang, C.; Song, D.; Wang, L.; Yang, T. Mineral dissolution and pore alteration of coal induced by interactions with supercritical CO2. Energy 2022, 248, 123627. [Google Scholar] [CrossRef]
- Zhang, Q.; Liu, X.; Nie, B.; Wu, W.; Wang, R. Methane sorption behavior on tectonic coal under the influence of moisture. Fuel 2022, 327, 125150. [Google Scholar] [CrossRef]
- Zhou, Q.; Qin, B.; Li, H.; Hou, J. Changes of physical properties of coal dust with crush degrees and their effects on dust control ability of the surfactant solution spray. Environ. Sci. Pollut. Res. Int. 2022, 29, 33785–33795. [Google Scholar] [CrossRef]
- Trechera, P.; Querol, X.; Lah, R.; Johnson, D.; Wrana, A.; Williamson, B.; Moreno, T. Chemistry and particle size distribution of respirable coal dust in underground mines in Central Eastern Europe. Int. J. Coal Sci. Technol. 2022, 9, 3. [Google Scholar] [CrossRef]
- Kobylianskyi, B.; Mykhalchenko, H. Improvement of safety management system at the mining enterprises of Ukraine. Min. Miner. Depos. 2020, 14, 34–42. [Google Scholar] [CrossRef]
- Liu, J.; Wang, S.; Jin, L.; Wang, T.; Zhou, Z.; Xu, J. Water-retaining properties of NCZ composite dust suppressant and its wetting ability to hydrophobic coal dust. Int. J. Coal Sci. Technol. 2021, 8, 240–247. [Google Scholar] [CrossRef]
- Liu, J.; Jin, L.; Wang, J.; Ou, S.; Wang, T. Co-influencing mechanisms of physicochemical properties of blasting dust in iron mines on its wettability. Int. J. Miner. Metall. Mater. 2019, 26, 1080–1091. [Google Scholar] [CrossRef]
- Zhang, Q.; Fan, L.; Wang, H.; Han, H.; Zhu, Z.; Zhao, X.; Wang, Y. A review of physical and chemical methods to improve the performance of water for dust reduction. Process Saf. Environ. Prot. 2022, 166, 86–98. [Google Scholar] [CrossRef]
- Zhao, Z.; Chang, P.; Xu, G.; Xie, Q.; Ghosh, A. Comparison of static tests and dynamic tests for coal dust surfactants evaluation: A review. Fuel 2022, 330, 125625. [Google Scholar] [CrossRef]
- Dai, H.; Liang, G.; Yin, H.; Zhao, Q.; Chen, X.; He, S. Experimental investigation on the inhibition of coal dust explosion by the composite inhibitor of carbamide and zeolite. Fuel 2022, 308, 121981. [Google Scholar] [CrossRef]
- Zavialova, O.; Kostenko, V.; Liashok, N.; Grygorian, M.; Kostenko, T.; Pokaliuk, V. Theoretical basis for the formation of damaging factors during the coal aerosol explosion. Min. Miner. Depos. 2021, 15, 130–138. [Google Scholar] [CrossRef]
- Qian, J.; Liu, Z.; Lin, S.; Li, X.; Ali, M. Study on microstructure characteristics of material evidence in coal dust explosion and its significance in accident investigation. Fuel 2020, 265, 116992. [Google Scholar] [CrossRef]
- Da, H.; Yin, H.; Liang, G. Explosion inhibition of coal dust clouds under coal gasification atmosphere by talc powder. Process Saf. Environ. Prot. 2022, 165, 286–294. [Google Scholar] [CrossRef]
- Song, Y.; Nassim, B.; Zhang, Q. Explosion energy of methane/deposited coal dust and inert effects of rock dust. Fuel 2018, 228, 112–122. [Google Scholar] [CrossRef]
- Wang, X.; Zhang, Y.; Liu, B.; Liang, P.; Zhang, Y. Effectiveness and mechanism of carbamide/fly ash cenosphere with bilayer spherical shell structure as explosion suppressant of coal dust. J. Hazard. Mater. 2019, 365, 555–564. [Google Scholar] [CrossRef]
- Yu, H.; Wang, C.; Pang, L.; Cui, Y.; Chen, D. Inhibiting effect of coal fly ash on minimum ignition temperature of coal dust clouds. J. Loss Prev. Process Ind. 2019, 61, 24–29. [Google Scholar] [CrossRef]
- Du, B.; Huang, W.; Kuai, N.; Yuan, J.; Li, Z.; Gan, Y. Experimental investigation on inerting mechanism of dust explosion. Procedia Eng. 2012, 43, 338–342. [Google Scholar] [CrossRef]
- Yuan, J.; Wei, W.; Huang, W.; Du, B.; Liu, L.; Zhu, J. Experimental investigations on the roles of moisture in coal dust explosion. J. Taiwan Inst. Chem. Eng. 2014, 45, 2325–2333. [Google Scholar] [CrossRef]
- Gan, B.; Li, B.; Jiang, H.; Bi, M.; Gao, W. Suppression of polymethyl methacrylate dust explosion by ultrafine water mist/additives. J. Hazard. Mater. 2018, 351, 346–355. [Google Scholar] [CrossRef] [PubMed]
- Liu, B.J.; Wang, S.; Jin, L.; Wei, Y.; Ou, S.; Wang, T.; Xu, J.; Liu, X.; Tao, G. Surface pore characteristics of original coal dust produced in underground mining sites and their impact on the moisture content. Process Saf. Environ. Prot. 2022, 167, 284–298. [Google Scholar] [CrossRef]
- Ma, Y.; Sun, J.; Ding, J.; Liu, Z. Synthesis and characterization of a penetrating and pre-wetting agent for coal seam water injection. Powder Technol. 2021, 380, 368–376. [Google Scholar] [CrossRef]
- Dong, L.; Tong, X.; Li, X.; Zhou, J.; Wang, S.; Liu, B. Some developments and new insights of environmental problems and deep mining strategy for cleaner production in mines. J. Clean. Prod. 2019, 210, 1562–1578. [Google Scholar] [CrossRef]
- Shoueir, K.; Mohanty, A.; Janowska, I. Industrial molasses waste in the performant synthesis of few-layer graphene and its Au/Ag nanoparticles nanocomposites. Photocatalytic and supercapacitance applications. J. Clean. Prod. 2022, 351, 131540. [Google Scholar] [CrossRef]
- Dirbeba, M.J.; Brink, A.; Lindberg, D.; Hupa, M.; Hupa, L. Thermal conversion characteristics of molasses. ACS Omega 2021, 6, 21631–21645. [Google Scholar] [CrossRef]
- Huang, G.; Pudasainee, D.; Gupta, R.; Liu, W.V. Utilization and performance evaluation of molasses as a retarder and plasticizer for calcium sulfoaluminate cement-based mortar. Constr. Build. Mater. 2020, 243, 118201. [Google Scholar] [CrossRef]
- Zhong, Q.; Yang, Y.; Li, Q.; Xu, B.; Jiang, T. Coal tar pitch and molasses blended binder for production of formed coal briquettes from high volatile coal. Fuel Process Technol. 2017, 157, 12–19. [Google Scholar] [CrossRef]
- Malanda, N.; Mfoutou, N.N.; Madila, E.E.N.; Louzolo-Kimbembe, P. Microstructure of fine clay soils stabilized with sugarcane molasses. Open J. Civ. Eng. 2022, 12, 247–269. [Google Scholar] [CrossRef]
- Gotosa, J.; Nyamadzawo, G.; Mtetwa, T.; Kanda, A.; Dudu, V. Comparative road dust suppression capacity of molasses stillage and water on gravel road in Zimbabwe. Adv. Res. 2015, 3, 198–208. [Google Scholar] [CrossRef]
- Parsakhoo, A.; Hosseini, S.A.; Lotfalian, M.; Mohammadi, J.; Salarijazi, M. Effects of molasses, polyacrylamide and bentonite on dust control in forest roads. J. Forest Sci. 2020, 66, 218–225. [Google Scholar] [CrossRef]
- Omane, D.; Liu, W.V.; Pourrahimian, Y. Comparison of chemical suppressants under different atmospheric temperatures for the control of fugitive dust emission on mine hauls roads. Atmos. Pollut. Res. 2018, 9, 561–568. [Google Scholar] [CrossRef]
- Liu, J.; Wang, T.; Jin, L.; Li, G.; Wang, S.; Wei, Y.; Liu, X. Suppression Characteristics and Mechanism of Molasses Solution on Coal Dust: A Low-Cost and Environment-Friendly Suppression Method in Coal Mines. Int. J. Environ. Res. Public Health 2022, 19, 16472. [Google Scholar] [CrossRef] [PubMed]
- Deseo, M.A.; Elkins, A.; Rochfort, S.; Kitchen, B. Antioxidant activity and polyphenol composition of sugarcane molasses extract. Food Chem. 2020, 314, 126180. [Google Scholar] [CrossRef] [PubMed]
- Palmonari, A.; Cavallini, D.; Sniffen, C.J.; Fernandes, L.; Holder, P.; Fagioli, L.; Fusaro, I.; Biagi, G.; Formigoni, A.; Mammi, L. Short communication: Characterization of molasses chemical composition. J. Dairy Sci. 2020, 103, 6244–6249. [Google Scholar] [CrossRef] [PubMed]
- Tan, B.; Shao, Z.; Xu, B.; Wei, H.; Wang, T. Analysis of explosion pressure and residual gas characteristics of micro-Nano coal dust in confined space. J. Loss Prev. Process Ind. 2020, 64, 104056. [Google Scholar] [CrossRef]
- Lin, S.; Liu, Z.; Zhao, E.; Qian, J.; Li, X.; Zhang, Q.; Ali, M. A study on the FTIR spectra of pre- and post-explosion coal dust to evaluate the effect of functional groups on dust explosion. Process Saf. Environ. Prot. 2019, 130, 48–56. [Google Scholar] [CrossRef]
- Lin, S.; Liu, Z.; Qian, J.; Li, X. Comparison on the explosivity of coal dust and of its explosion solid residues to assess the severity of re-explosion. Fuel 2019, 251, 438–446. [Google Scholar] [CrossRef]
- Fumagalli, A.; Derudi, M.; Rota, R.; Copelli, S. Estimation of the deflagration index K St for dust explosions: A review. J. Loss Prev. Process Ind. 2016, 44, 311–322. [Google Scholar] [CrossRef]
- Bartknecht, W. Brenngas und Staubexplosionen Forschungsbericht f45; Bundesinstitut fur Arbeitsschutz (Bifa): Koblenz, Germany, 1971. [Google Scholar]
- Janković, M.; Janković, B.; Marinović-Cincović, M.; Porobić, S.; Nikolić, J.K.; Sarap, N. Experimental study of low-rank coals using simultaneous thermal analysis (TG–DTA) techniques under air conditions and radiation level characterization. J. Therm. Anal. Calorim. 2020, 142, 547–564. [Google Scholar] [CrossRef]
- Liu, J.; Zhou, Z.; Jin, L.; Wang, T.; Ou, S.; Wang, S.; Wei, Y.; Jueraiti, M. Effect of coal dust content on the low-temperature oxidation of silo coal. ACS Omega 2022, 7, 37442–37451. [Google Scholar] [CrossRef]
- Man, C.K.; Harris, M.L. Participation of large particles in coal dust explosions. J. Loss Prev. Process Ind. 2014, 27, 49–54. [Google Scholar] [CrossRef]
- Zhang, J.; Xu, P.; Sun, L.; Zhang, W.; Jin, J. Factors influencing and a statistical method for describing dust explosion parameters: A review. J. Loss Prev. Process Ind. 2018, 56, 386–401. [Google Scholar] [CrossRef]
- Cao, W.; Huang, L.; Zhang, J.; Xu, S.; Qiu, S.; Pan, F. Research on characteristic parameters of coal-dust explosion. Procedia Eng. 2012, 45, 442–447. [Google Scholar] [CrossRef]












| Location | Ultimate Contents (%) | Proximate Contents (%) | |||||||
|---|---|---|---|---|---|---|---|---|---|
| C | H | O | N | S | Mad | Vdaf | Aad | FCad | |
| Datong City | 59.04 | 3.83 | 35.32 | 0.91 | 0.91 | 1.16 | 26.01 | 25.79 | 47.04 |
| Number | Components | Contents (wt.) |
|---|---|---|
| 1 | Sugar (sucrose) | ~45% |
| 2 | Moisture | ~10% |
| 3 | Crude protein | ~10% |
| 4 | Ash (K, Ca, etc.) | ~10% |
| 5 | Others (Other carbohydrates such as gums, starch, etc.) | ~25% |
Disclaimer/Publisher’s Note: The statements, opinions and data contained in all publications are solely those of the individual author(s) and contributor(s) and not of MDPI and/or the editor(s). MDPI and/or the editor(s) disclaim responsibility for any injury to people or property resulting from any ideas, methods, instructions or products referred to in the content. |
© 2023 by the authors. Licensee MDPI, Basel, Switzerland. This article is an open access article distributed under the terms and conditions of the Creative Commons Attribution (CC BY) license (https://creativecommons.org/licenses/by/4.0/).
Share and Cite
Liu, J.; Lin, M.; Jin, L.; Li, G.; Ou, S.; Wang, Y.; Wang, T.; Jueraiti, M.; Tian, Y.; Wang, J. Influence of Molasses on the Explosion and Decomposition Properties of the Coal Dust Deposited in Underground Mines. Energies 2023, 16, 2758. https://doi.org/10.3390/en16062758
Liu J, Lin M, Jin L, Li G, Ou S, Wang Y, Wang T, Jueraiti M, Tian Y, Wang J. Influence of Molasses on the Explosion and Decomposition Properties of the Coal Dust Deposited in Underground Mines. Energies. 2023; 16(6):2758. https://doi.org/10.3390/en16062758
Chicago/Turabian StyleLiu, Jianguo, Minglei Lin, Longzhe Jin, Gang Li, Shengnan Ou, Yapeng Wang, Tianyang Wang, Mulati Jueraiti, Yunqi Tian, and Jiahui Wang. 2023. "Influence of Molasses on the Explosion and Decomposition Properties of the Coal Dust Deposited in Underground Mines" Energies 16, no. 6: 2758. https://doi.org/10.3390/en16062758
APA StyleLiu, J., Lin, M., Jin, L., Li, G., Ou, S., Wang, Y., Wang, T., Jueraiti, M., Tian, Y., & Wang, J. (2023). Influence of Molasses on the Explosion and Decomposition Properties of the Coal Dust Deposited in Underground Mines. Energies, 16(6), 2758. https://doi.org/10.3390/en16062758

