Next Article in Journal
A Critical Review on the Thermal Transport Characteristics of Graphene-Based Nanofluids
Previous Article in Journal
State of the Art in Designing Fish-Friendly Turbines: Concepts and Performance Indicators
Previous Article in Special Issue
Chemical Looping Gasification of Wood Waste Using NiO-Modified Hematite as an Oxygen Carrier
 
 
Font Type:
Arial Georgia Verdana
Font Size:
Aa Aa Aa
Line Spacing:
Column Width:
Background:
Article

Evaluation of the Reactivity of Hematite Oxygen Carriers Modified Using Alkaline (Earth) Metals and Transition Metals for the Chemical Looping Conversion of Lignite

1
School of Mechanical and Electrical Engineering, Guangzhou University, Guangzhou 510640, China
2
Guangzhou Institute of Energy Conversion, Chinese Academy of Sciences (CAS), Guangzhou 510640, China
3
School of Environmental Science and Engineering, Sun Yat-sen University, No. 135, Xingang Xi Road, Guangzhou 510275, China
4
State Key Laboratory of Coal Conversion, Institute of Coal Chemistry Chinese Academy of Sciences, Taiyuan 030000, China
*
Author to whom correspondence should be addressed.
Energies 2023, 16(6), 2662; https://doi.org/10.3390/en16062662
Submission received: 27 February 2023 / Revised: 8 March 2023 / Accepted: 8 March 2023 / Published: 12 March 2023
(This article belongs to the Special Issue Chemical Looping for Syngas Production)

Abstract

Chemical looping (CL) technology is a novel technology for the clean and efficient use of energy. Oxygen carriers (OCs) are the cornerstone of CL technology. The development of low–cost, high–performance OCs is crucial for the application of CL conversion. Hematite, one of the natural Fe–based OCs, has several advantages (e.g., low cost and environmental friendliness), but its low reactivity limits its application in CL. The performance of hematite can be effectively improved by modifying some of its active components. This study explored the improvement of hematite reactivity by adding alkaline (earth) metals (K, Na, and Ca) and transition metals (Ni, Cu, and Mn). The crystal phases of the OCs were characterized using X-ray diffraction (XRD), and the results revealed that the addition of metals significantly changed the phase of the original hematite. The active solid solution of K–Fe–O and Na–Fe–O species exhibited strong catalytic activity to facilitate lignite char conversion. The addition of CaO promoted the devolatilization of lignite, while the formation of a solid CaFe2O4 solution with low reactivity inhibited the lattice oxygen release. The presence of CuO/CuFe2O4 in the Cu–modified sample could release a small amount of free O2 to promote volatile conversion. The high activity phases of NiO and NiFe2O4 in the Ni–modified OCs could improve the reaction activity of hematite. However, the MnFeO3 phase with low reaction activity was generated in the Mn–modified OC, decreasing the reaction rate of the Mn–modified OC with lignite char.

1. Introduction

Over the past decades, the combustion of fossil fuels has emitted excessive amounts of CO2, contributing to climate change globally [1]. Carbon capture, utilization, and storage technologies have been widely investigated to achieve the target of carbon neutrality [2]. However, conventional carbon capture technologies (e.g., precombustion, post–combustion, and oxygen–enriched combustion) are inefficient and expensive [3,4,5,6]. Chemical looping (CL) combustion technology is a novel approach for implementing CO2 capture with a low energy consumption since it directly generates high concentrations of pure CO2 flue gas without the use of gas separation devices [7,8,9]. Oxygen carriers (OCs) can be used as oxidants to transfer the required oxygen for fuel conversion between different reactors (air reactor (AR) and fuel reactor (FR)) and to prevent direct contact between fuel and air (Figure 1) [10,11,12]. Generally, CL separates the reduction–oxidation (redox) process into two stages. In the reduction stage, a reducing agent (fuel) converts the OC into a reduced OC. In the oxidation stage, the reduced OC (Me) recovers the initial state of the lattice oxygen [13].
Hence, OCs are essential in CL systems, and their reactivity determines the reaction rate and conversion efficiency in CL processes [14]. Expensive raw materials are unsuitable for CL because of the high consumption of OCs [15]. Consequently, inexpensive natural iron ore–based OCs, such as hematite, have gained considerable interest because of their good cyclic stability, mechanical strength, and environmental friendliness [16,17,18,19].
However, iron ores have limited application potential in CL because of their low reactivity. Thus, it is necessary to modify iron ores to improve their reactivity [20]. Some studies [21,22] have discovered that multimetal composite oxides formed by two or more active components (e.g., Ni, Fe, Cu, and Mn oxides) have higher reactivities (e.g., excellent redox capacity, good thermal stability, and mechanical strength) than single metal oxides because multimetal elements can produce synergistic effects. Consequently, adding exogenous active components is an effective strategy for improving the reactivity of iron–based OCs [23,24,25]. Yu et al. [26] investigated the catalytic reduction mechanism of K2CO3–modified iron–based OCs and discovered that the addition of K2CO3 to generate a porous Fe/K spinel structure with good stability evidently enhanced the cyclic performance and reaction rate of the OC. Yan et al. [27] proved that the introduction of Na can significantly reduce the strength of the Fe–O bond and facilitate the release of lattice oxygen, thereby improving the reactivity of Fe–based OCs. Yang et al. [28,29] discovered that CuFe2O4 with a spinel structure was formed in Cu–modified Fe–based OCs and that it positively affected the rapid oxidation of coal. Wei et al. [30,31,32] investigated the performance of a CaO–modified Fe–based OC and discovered that the addition of CaO promoted CO and H2 generation, while the main crystalline phase of CaO remained stable over 15 cyclic reactions. Meanwhile, it has been confirmed that CaO promotes lattice oxygen transfer in Fe–based OCs [33]. Sun et al. [34,35,36] discovered that the formation of NiFe2O4 species with a spinel structure in Ni–modified Fe–based OCs improved the tar cracking rate and the reactivity of the ilmenite–based OCs. Furthermore, Liu et al. [37,38] discovered that the addition of manganese formed abundant (Fe1−xMnx)2O3 crystal phases, which caused ilmenite–based OCs to exhibit significant O2 uncoupling behavior and promoted fuel conversion.
It is crucial to investigate the effect of exotic metals on the properties of hematite. During CL, coal undergoes dehydration, devolatilization, and char conversion as the temperature increases. However, the detailed effect of external metal modification on the dominant reaction (devolatilization and char conversion) remains unclear. A better understanding of how external metal modification affects the dominant reaction would result in improved OC design, which further promotes coal conversion. Therefore, this work aims to determine the effect of alkaline (earth) metals (K, Na, and Ca) and transition metals (Ni, Cu, and Mn) on lignite conversion using both thermogravimetric (TG) experiments and XRD analysis. The results are expected to provide a reference for optimizing the design of hematite OCs and promoting lignite conversion.

2. Materials and Methods

2.1. Raw Material

Lignite has high reserves and a high content of combustible components; the utilization of it can alleviate the current situation of energy stress. CL technology is an efficient fuel utilization technology and a better means for studying fuel utilization; meanwhile, lignite is suitable for CL technology since it is a low–rank coal with a high volatile content [39,40]. In this study, lignite was collected from Yunnan Province, and its composition is presented in Table 1.
A natural iron ore (hematite) from Australia was used in this study, and its elemental composition is listed in Table 2. To prepare the modified OCs, hematite and selected metal salts or oxides (KNO3, NaNO3, CaO, NiO, MnO2, or CuO) were mechanically mixed to the desired ratios in an agate mortar before being calcined in a muffle furnace at 950 °C for 3 h. Each sample was ground into powder after cooling. The mixed sample of original hematite and lignite is denoted as Hematite, and the mixed samples of hematite that were modified by adding 5%, 10%, and 15% mass ratios of foreign metal are denoted as M5, M10, and M15, respectively (where M = K, Na, Ca, Ni, Mn, or Cu). The particle diameter of the OCs and lignites used in this experiment are below 0.075 mm.

2.2. Experimental Apparatus and Procedures

The crystal structures of the OC samples were analyzed using an X-ray diffractometer (X’ Pert Pro MPD) with Cu Kα radiation ( λ = 0.1504 nm) operating at a voltage of 40 kV and a current of 40 mA. The scanning rate was 2°/min from 2θ = 5° to 80° at a step of 0.02°.
The reaction characteristics (redox reactivity) of the OCs and lignite were evaluated using a synchronous thermal analyzer (STA409, NETZSCH–Gerätebau GmbH). For all experimental runs, Ar was introduced as the protective gas and the purging gas at flow rates of 20 mL/min and 40 mL/min, respectively. The mixed samples were heated from 30 °C to 950 °C at a heating rate of 10 °C/min and then maintained at 950 °C for 1 h. The mass ratio of the OC to lignite was 1:1, and the total sample amount was 10 mg.

3. Results and Discussion

3.1. XRD Analysis

Figure 2 presents the XRD spectra of hematite and the various modified OCs. The predominant crystal phases of hematite were Fe2O3 and SiO2. As shown in Figure 2a, the K5 sample had a small K content, and no new phase was detected. The K10 and K15 samples displayed the formation of a new crystal phase (a solid K–Fe–O solution) due to the reaction between the K element and Fe2O3. As shown in Figure 2b, different Na contents in the sample formed different new crystal phases. NaAlSiO4 was formed in the Na5 sample, and a Na–Fe–Si–O structure was detected in the Na10 and Na15 samples. As shown in Figure 2c–f, the addition of Ca, Cu, Mn, and Ni contributed to the formation of an active solid solution of Ca2Fe2O5, CaFe2O4, CuFe2O4, MnFeO3, and NiFe2O4, respectively, in the modified OCs. Since some new crystal phases were formed, it can be predicted that the reactivity of the modified OCs changed noticeably.

3.2. Effect of Different Metal Modifications on the Reactivity of the Hematite OCs

The reactivity of the original hematite and lignite–modified hematite samples was thoroughly investigated to explore the effect of exogenous metals on the reactivity of the hematite OCs. Moreover, the reactivity of the doping metal salts or oxides (i.e., CaO, CuO, Mn2O3, and NiO) and the new crystal phases (i.e., CaFe2O4, CuFe2O4, MnFeO3, and NiFe2O4) are discussed. The reactivity of the Fe–K–O and Na–Fe–Si–O species are not discussed because it was difficult to determine the new crystal phase in the K–modified and Na–modified OCs.

3.2.1. Effect of K and Na Modifications

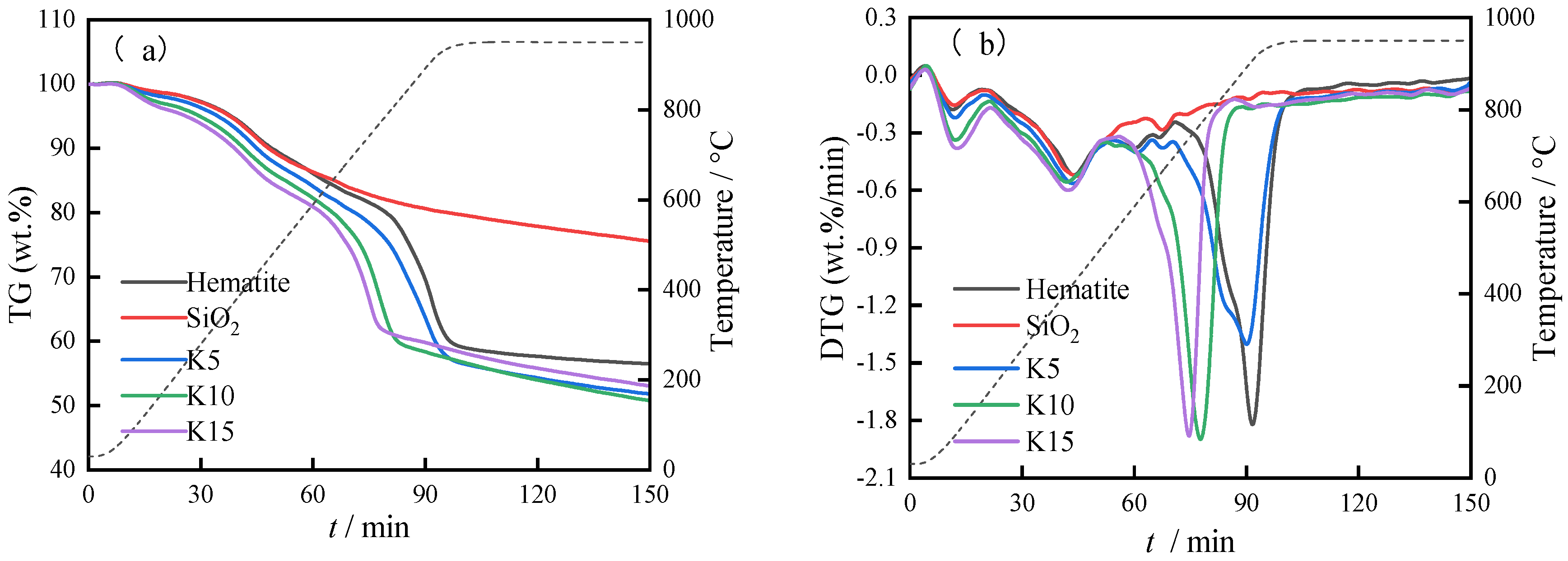
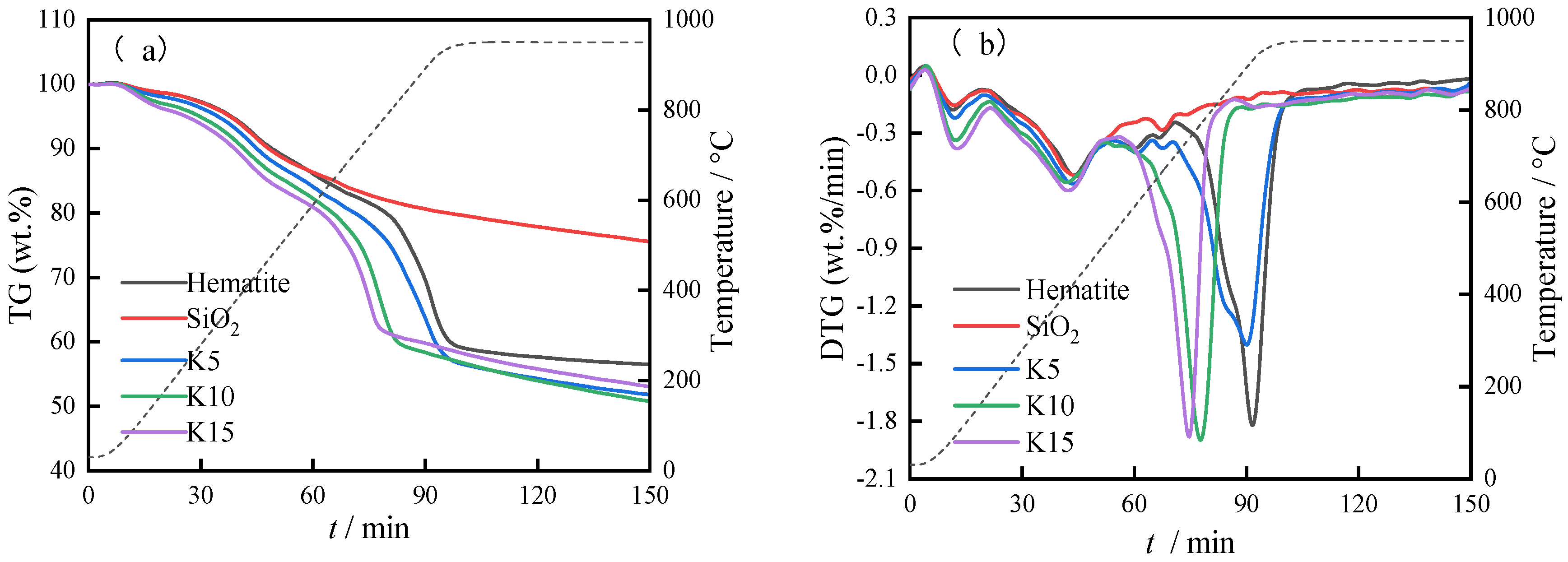
Figure 3 presents the TG and DTG curves of the different mixtures. As shown in Figure 3a, compared to the inert SiO2 sample, the active OC evidently promoted lignite conversion, and an apparent weightlessness process was observed. Furthermore, it was observed that the three mixtures (lignite–containing K–modified hematite) exhibited a slightly higher weight loss than hematite, indicating that the addition of K facilitates lignite conversion. Moreover, this trend became evident as the K content increased. These results preliminarily indicate that K modification improves the reactivity of hematite. As shown in Figure 3b, there are four weight loss peaks in the DTG curves, which correspond to the different reaction stages. The weight loss peak at 96 °C is attributed to the evaporation of the water in lignite and the OCs (stage I). The second weight loss peak at 420 °C is assigned to the devolatilization of lignite (stage II). The small weight loss peak at about 660 °C is due to the secondary devolatilization of lignite (stage III). The fourth weight loss peak, i.e., the largest weight loss peak, is attributed to the reaction between lattice oxygen and lignite char (stage IV) [41]. The former two weight loss peaks almost overlap in the DTG curves because the dehydration and devolatilization processes are not the rate–controlling steps of lignite conversion. The third weight loss peak for the inert SiO2 sample is very small because of the extremely low degree of secondary lignite devolatilization. A fourth weight loss peak was not observed for this sample because SiO2 could not provide lattice oxygen. An apparent weight loss peak (stage IV) was observed for the other four mixtures (the characteristics of this stage are shown in Table 3) because a large amount of active lattice oxygen reacted with the lignite char. Compared to those of the hematite sample (700 °C and 910 °C), the initial and peak temperatures of the K5 (698 °C and 900 °C), K10 (563 °C and 768 °C), and K15 (540 °C and 735 °C) samples exhibited a noticeable forward shift in stage IV. This is because the addition of K promoted the generation of an active solid solution of K–Fe–O species, which has a strong catalytic activity to facilitate lignite char conversion [42]. The lattice oxygen in K10 and K15 had a high reactivity and reacted with the lignite char at about 600 °C, causing the secondary devolatilization process to overlap with the char conversion process. Thus, the weight loss peak of the secondary volatilization of lignite was not observed. Moreover, the reactivity of the K–modified OCs exhibited an increasing trend as the K content increased because additional K–Fe–O species were generated. Thus, the K15 sample exhibited the highest reactivity among the four OCs in this work.
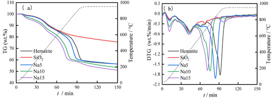
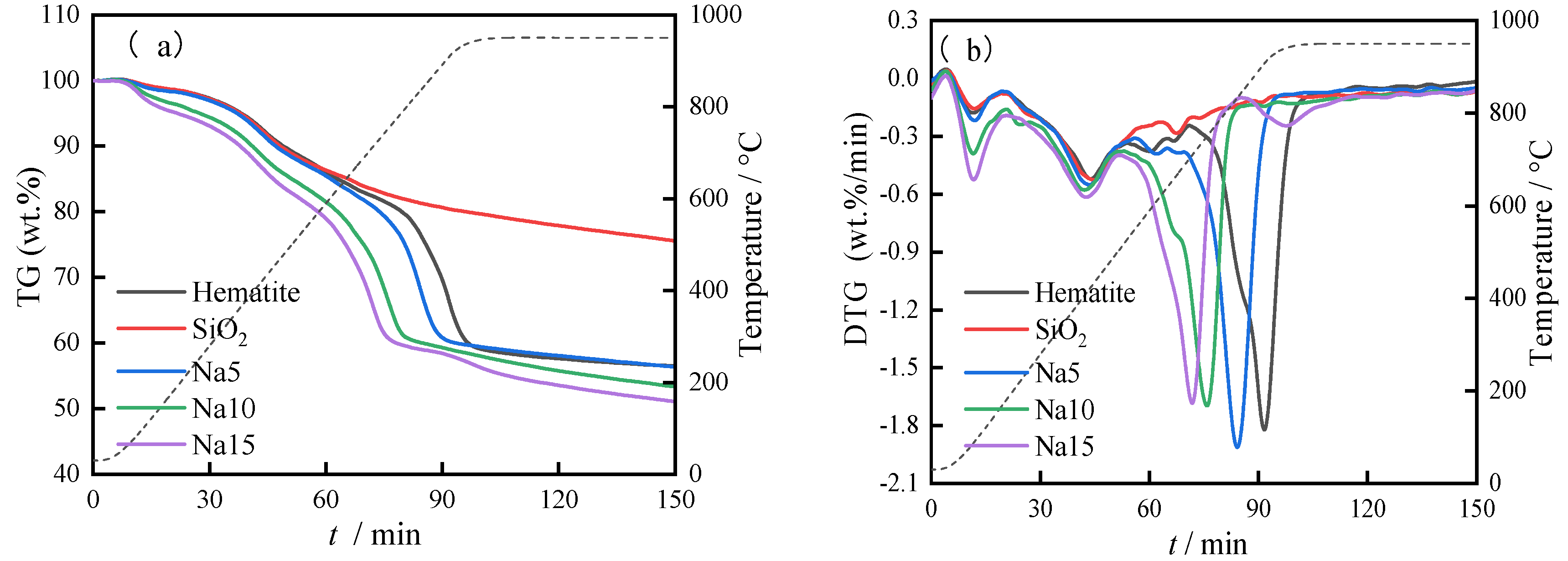
During the lignite conversion, the three mixtures (i.e., the lignite–containing Na5, Na10, and Na15 samples) exhibited weight losses of 43.6 wt.%, 46.7 wt.%, and 48.9 wt.%, respectively, which are slightly higher than that of hematite (43.5 wt.%), as shown in Figure 4a. These results preliminarily indicate that Na modification also enhances the reactivity of hematite, promoting lignite conversion.
Similar to the K–modified samples, the Na–modified samples contained lattice oxygen with a high reactivity (no weight loss peak of secondary volatilization of lignite was observed), and their DTG curves displayed three apparent weight loss peaks. The first and second weight loss peaks are ascribed to the dehydration and devolatilization processes, respectively. Since the Na element easily absorbs water in the air, the first weight loss peak sharpened as the Na content in the OCs increased. In terms of the third weight loss peak (corresponding to the secondary devolatilization and char conversion), the initial and peak temperatures of the Na5, Na10, and Na15 samples were 552 °C and 832 °C, 527 °C and 748 °C, and 516 °C and 705 °C, respectively, which are lower than those of the hematite sample (700 °C and 910 °C), as shown in Table 4. Furthermore, the initial and peak temperatures gradually decreased as the Na content in the OCs increased. These results suggest that Na modification increased the reactivity of hematite because of the formation of Fe–O–Na species in the modified OCs. Additionally, the OC reactivity increased as the Na content increased.

3.2.2. Effect of Ca Modification

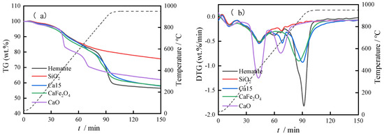
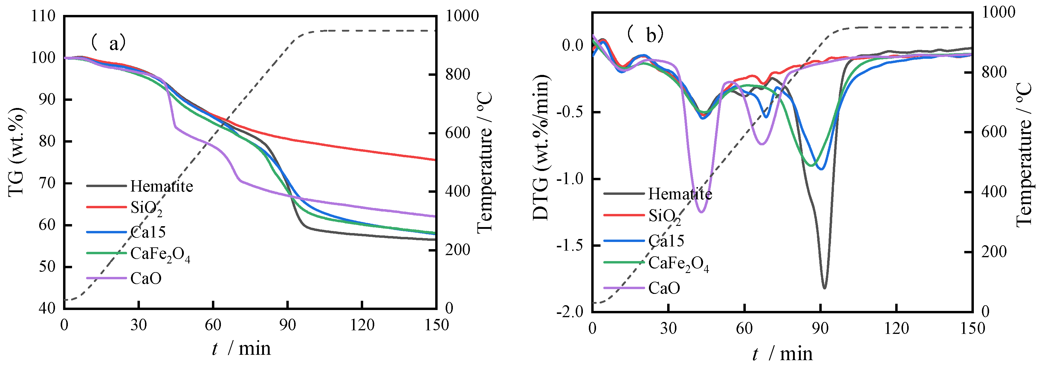
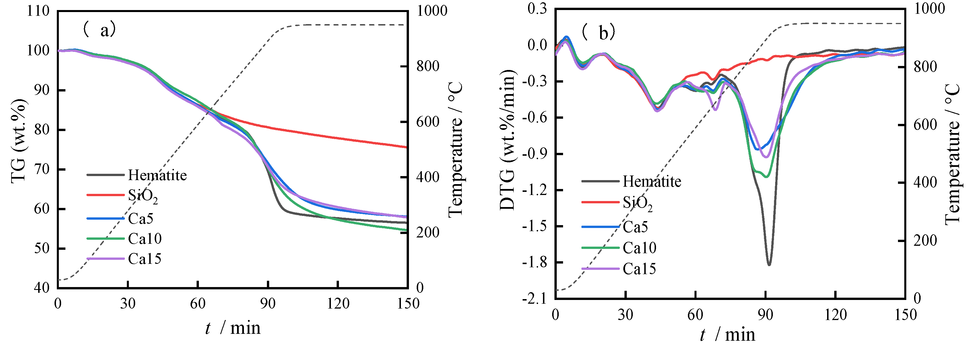
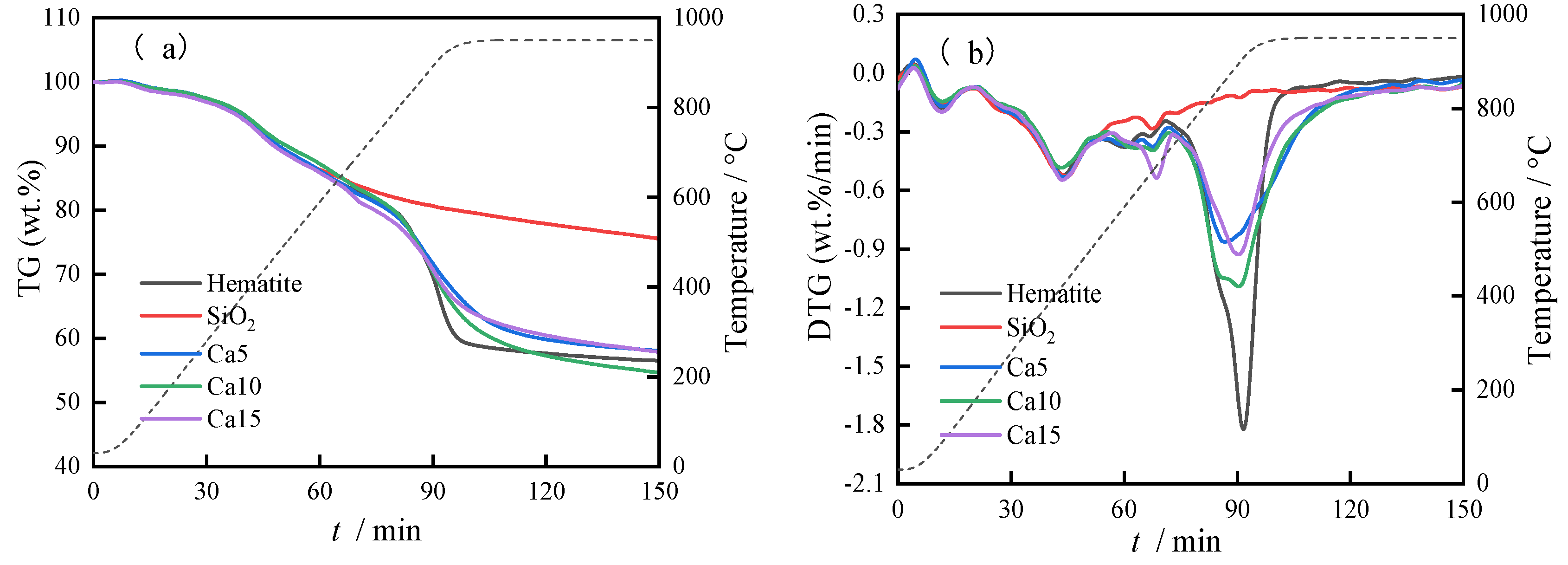
The effect of Ca modification on the reactivity of hematite is discussed, as shown in Figure 5 and Table 5. The four mixtures (lignite–containing Ca5, Ca10, Ca15, and hematite) exhibited similar weight losses, indicating that Ca modification did not promote lignite conversion. As shown in Figure 5b, two small weight loss peaks corresponding to the lignite dehydration (stage I) and devolatilization (stage II) processes, respectively, are almost overlapping, indicating that Ca modification did not promote the devolatilization of lignite. As the Ca content increased, the third weight loss peak (stage III) became more apparent (the weight loss peak at 673 °C for the Ca15 sample), suggesting that Ca modification can promote the secondary devolatilization of lignite, where the volatile products can react with lattice oxygen in this stage. The fourth weight loss peak is attributed to the lignite char conversion. The initial and peak temperatures of the Ca5 (709 °C and 851 °C), Ca10 (709 °C and 897 °C), and Ca15 (721 °C and 897 °C) samples were similar to those of hematite (700 °C and 910 °C). However, the reaction rates of the different lignite–containing OCs were substantially different. The Ca5, Ca10, and Ca15 samples had maximum reaction rates (i.e., the reaction rate of the OC and lignite char) of 0.86 wt.%/min, 1.09 wt.%/min, and 0.92 wt.%/min, respectively, which are lower than that of the hematite sample (1.82 wt.%/min). These results indicate that Ca modification decreases the reaction rate of OCs with lignite char.
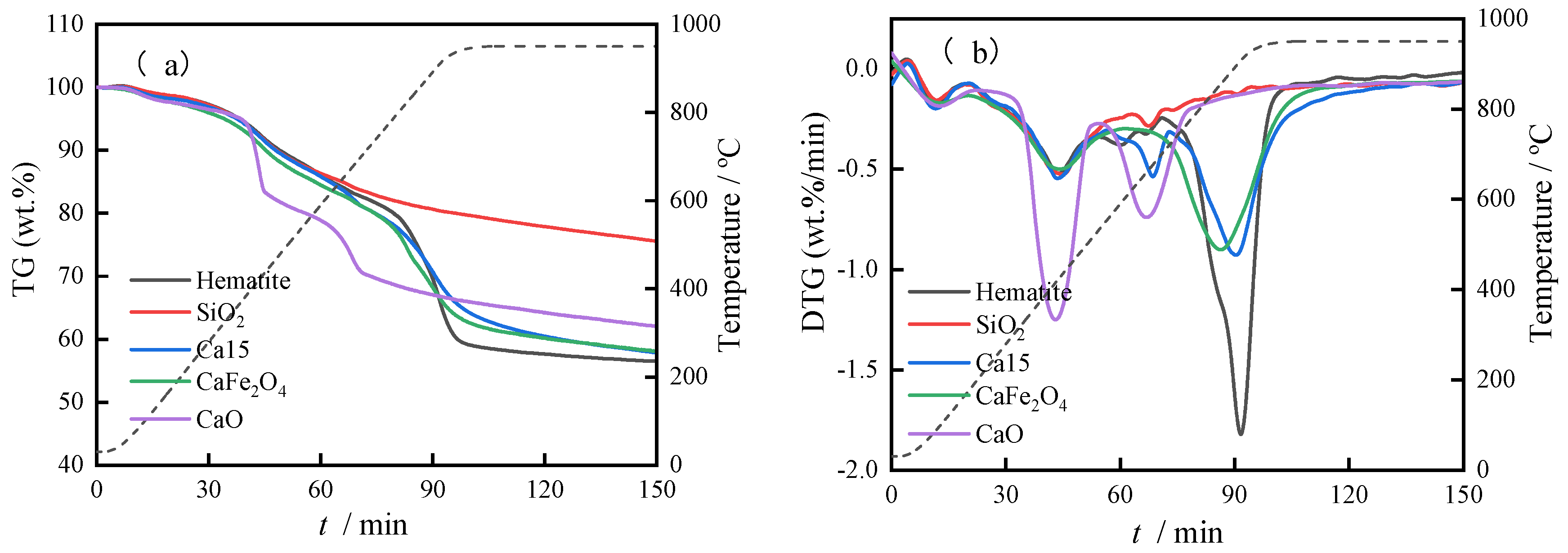
Comparative experiments were conducted on the reactivity of the different lignite–containing OCs (i.e., the lignite–containing SiO2, CaO, CaFe2O4, Ca15, and hematite) to determine why the reactivity of the Ca–modified hematite decreased, and the results are illustrated in Figure 6 and Table 6. CaO and CaFe2O4 were newly formed crystal phases in the Ca15 sample. Hematite was observed to exhibit the highest weight loss among those five mixtures, indicating that hematite of equal mass has the highest lattice oxygen content. As shown in Figure 6b, there is an overlap with the first weight loss peak ascribed to the dehydration process for all the samples. The CaO sample can be observed to exhibit two large weight loss peaks at 400 °C and 660 °C. The weight loss peak at 400 °C is noticeably stronger than that of the other four samples, which is attributed to the catalytic effect of CaO on the lignite devolatilization process [43]. The weight loss peak at about 660 °C is attributed to CaO, which can further promote the secondary devolatilization of lignite. Similar to the SiO2 sample, the CaO sample did not exhibit a char conversion peak (stage IV) because it could not provide lattice oxygen. Although the DTG curves of CaFe2O4 and hematite basically coincided in the first three stages (the third peak is not noticeable), the reaction rate of CaFe2O4 (0.89 wt.%/min) was significantly lower than that of hematite (1.82 wt.%/min) in stage IV (the reaction between lattice oxygen and lignite char), indicating that CaFe2O4 has a lower reactivity than hematite. This is consistent with a previous finding [44]. Consequently, the Ca–modified hematite had a lower reactivity than the original hematite because of the formation of large amounts of CaFe2O4.
Generally, it can be concluded that CaO plays a major role in promoting lignite devolatilization, while the formation of a solid CaFe2O4 solution inhibits lattice oxygen release, thereby decreasing the reactivity of OCs.

3.2.3. Effect of Cu, Mn, and Ni Modifications

The effects of the modification of transition metals (i.e., Cu, Mn, and Ni) on the reactivity of hematite are also discussed in this paper. As shown in Figure 7a, the three mixtures (the lignite–containing Cu5, Cu10, and Cu15 samples) exhibited weight losses of 41.1 wt.%, 40.1 wt.%, and 43.3 wt.%, respectively, which are lower than that of hematite (43.5 wt.%). This is attributed to the CuO sample having a lower lattice oxygen content (20 wt.%) than the Fe2O3 sample (30 wt.%). As shown in Figure 7b, the first weight loss peaks of all the samples overlap because of the dehydration process, but the second weight loss peak exhibits a slight increase as the Cu content increases, which is due to the small amount of free O2 released by CuO/CuFe2O4 [45,46]. The third weight loss peaks of all the samples are extremely small, and they also almost overlap. For the fourth weight loss peak, the initial temperature of the four mixtures was about 700 °C, but the peak temperatures of the Cu–modified OCs were higher than that of hematite (Table 7). Moreover, the Cu–modified OCs with lignite char had a lower reaction rate than hematite. These results reveal that Cu modification reduced the reactivity of hematite, inhibiting the reactions between lattice oxygen and lignite char; this trend became evident as the K content increased.
Furthermore, comparative experiments were conducted on the reactivity of the different OCs (i.e., the lignite–containing CuO, CuFe2O4, Cu15, and hematite), and the results are illustrated in Figure 8 and Table 8. The lignite–containing CuO and CuFe2O4 samples exhibited lower weight losses (35.5 wt.% and 39.5 wt.%) than hematite (43.5 wt.%) because the lattice oxygen content in CuO and CuFe2O4 was lower than that in Fe2O3. The CuO sample exhibited two noticeable weight loss peaks at 400 °C and 660 °C, which are attributed to the reactions between free O2 released by CuO and the volatiles, as well as the conversion of residual lattice oxygen and lignite char, respectively. The second weight loss peaks of CuFe2O4 and Cu15 are also slightly higher than that of hematite, suggesting that Cu modification promoted lignite volatile conversion, and that the promotion effect of CuO was more pronounced than that of CuFe2O4 (the order is CuO > CuFe2O4 > Cu15 > hematite). In stage IV, the reaction rates of CuFe2O4 (0.64 wt.%/min) and Cu15 (0.79 wt.%/min) were significantly lower than that of hematite (1.82 wt.%/min), owing to the release of lattice oxygen (i.e., lattice oxygen was converted into gas phase oxygen) during the initial reaction stage of the Cu–modified OCs.
In summary, the crystalline phases of CuO and CuFe2O4 formed by Cu doping can promote the conversion of lignite volatiles but inhibit the conversion of lignite char.
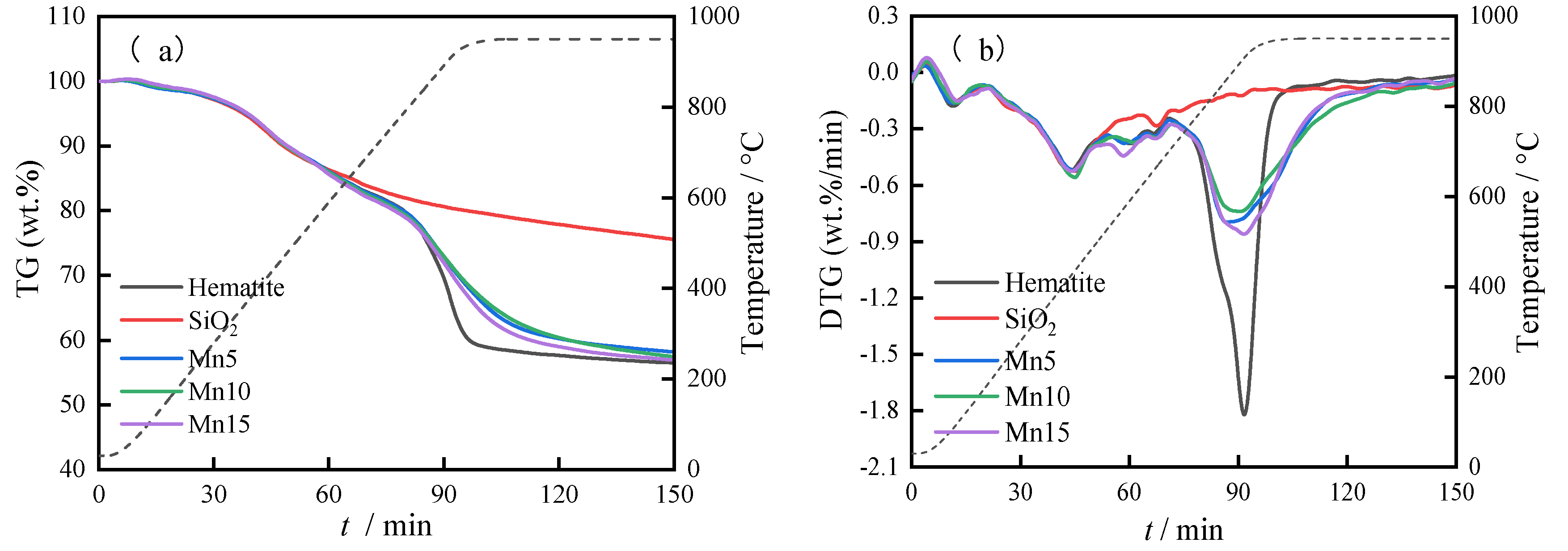
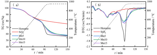
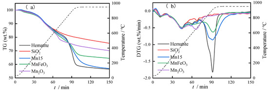
Similar to the Ca–modified samples, the Mn–modified samples did not significantly promote lignite conversion because their weight loss values before and after Mn modification were almost consistent, as shown in Figure 9a. Meanwhile, the first three small weight loss peaks of the four mixtures (i.e., the lignite–containing Mn5, Mn10, Mn15 and hematite samples) almost overlap (Figure 9b), indicating that Mn modification had no noticeable promoting effect on the dehydration (stage I), devolatilization (stage II), and secondary devolatilization (stage III) of lignite. In stage IV, Mn15 (0.85 wt.%/min), Mn10 (0.73 wt.%/min), and Mn5 (0.78 wt.%/min) had substantially lower maximum reaction rates than hematite (1.82 wt.%/min), as shown in Table 9, indicating that the addition of Mn decreases the reaction rate of OCs and lignite char.
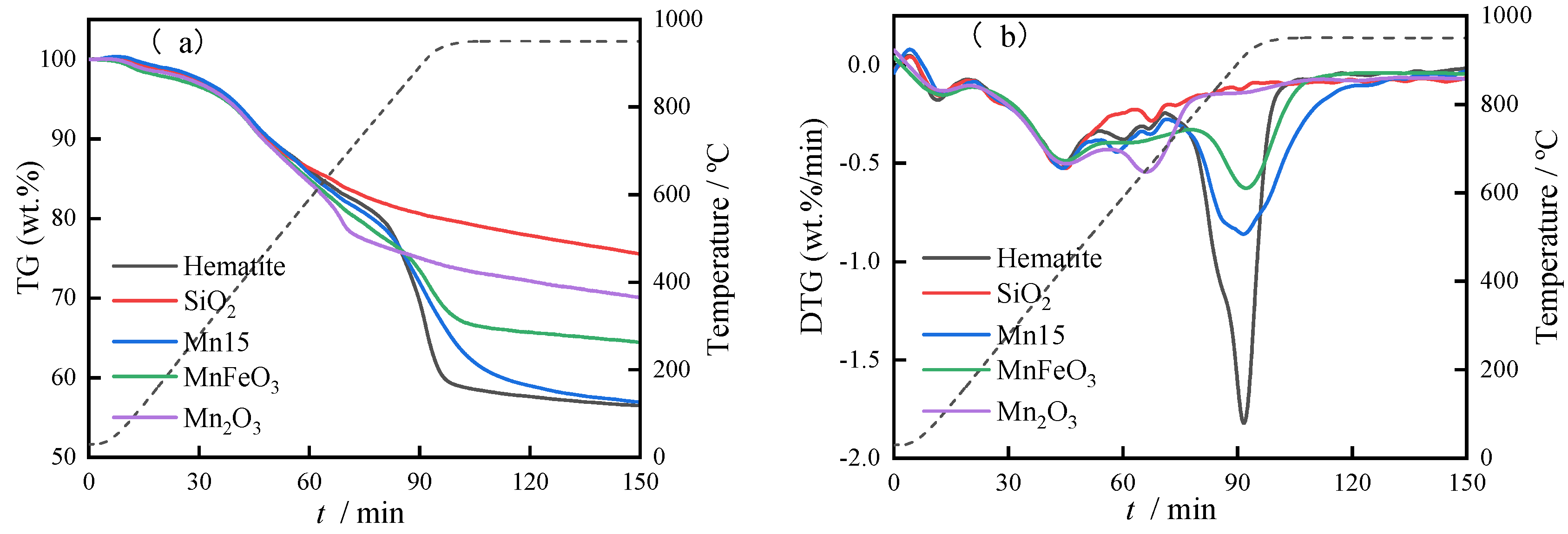
Experiments were conducted on the reactivity of the different OCs (i.e., the lignite–containing Mn2O3, MnFeO3, Mn15, and hematite samples), and the results are shown in Figure 10 and Table 10. As shown in Figure 10a, the lignite–containing Mn2O3 sample exhibited a small weight loss (30.1 wt.%) because the lattice oxygen content in Mn2O3 (2.43 wt.%) was substantially lower than that in Fe2O3 (30 wt.%). Additionally, the lignite–containing MnFeO3 sample exhibited a smaller weight loss (35.6 wt.%) than hematite (as shown in Table 10). A noticeable weight loss peak at 620 °C (in stage III) can be observed in the DTG curves of Mn2O3 (Figure 10b), which is attributed to the release of free O2 from Mn2O3 to promote lignite conversion [47]. Similar to that of the CuO sample, the char conversion process of the Mn2O3 sample advanced and coincided with the secondary devolatilization process because of the release of free O2. During the char conversion process, the weight loss rates of MnFeO3 (0.62 wt.%/min) and Mn15 (0.85 wt.%/min) were significantly lower than that of hematite (1.82 wt.%/min), indicating that the formation of the MnFeO3 phase decreased the reaction rate of the OCs and lignite char, thereby inhibiting the lignite conversion.
In conclusion, the Mn2O3 and MnFeO3 phases in the Mn–modified hematite OCs both inhibit reactions between the OC and lignite char, but the Mn2O3 phase alone promotes reactions between the OC and lignite volatiles.
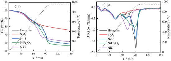
The effects of Ni modification on the reactivity of hematite were determined, and the results are shown in Figure 11 and Table 11. The TG curves (Figure 11a) show that the four mixtures (i.e., the lignite–containing Ni5, Ni10, Ni15, and hematite samples) exhibited weight losses of 43.88 wt.%, 46.09 wt.%, 41.31 wt.%, and 43.5 wt.%, respectively, with Ni15 exhibiting a noticeably smaller weight loss than hematite. This indicates that excessive Ni loading inhibits lignite conversion because high Ni contents cause surface carbon deposition [35,48]. Additionally, high Ni contents result in the sintering of OC particles. As shown in Figure 11b, the third weight loss peak increased slightly as the Ni content increased, demonstrating that the addition of Ni promotes the secondary devolatilization of lignite. Regarding the fourth weight loss peak, the initial and maximum reaction temperatures of the Ni5, Ni10, and Ni15 samples are consistent with those of the hematite sample (i.e., 700 °C and 910 °C, respectively), as shown in Table 11. Additionally, the reaction rate of the Ni15 sample (1.39 wt.%/min) was substantially lower than those of the Ni5 (1.68 wt.%/min), Ni10 (1.75 wt.%/min), and hematite (1.82 wt.%/min) samples, indicating that excessive Ni loading is ineffective for lignite char conversion.
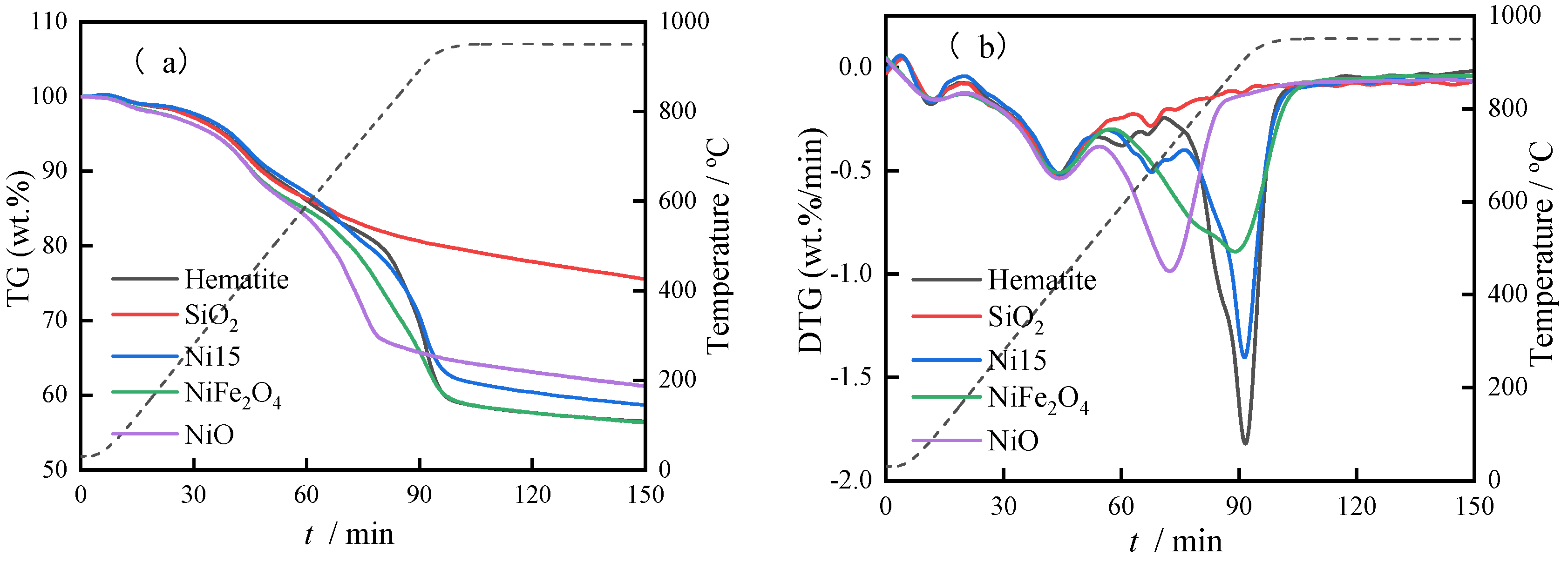
Figure 12 presents the experimental results for SiO2, hematite, Ni15, NiO, and NiFe2O4, which were all mixed with lignite. Similar to the CuO and Mn2O3 samples, the lignite–containing NiO samples exhibited a smaller weight loss (38.7 wt.%) than hematite (43.5 wt.%) because the lattice oxygen content in NiO (21.33 wt.%) was also lower than that in Fe2O3 (30 wt.%), as illustrated in Figure 12a. The DTG curves of the five mixtures almost overlap in the first two stages, indicating that the crystalline phases of NiO and NiFe2O4 did not affect the lignite dehydration and devolatilization processes, as illustrated in Figure 12b. The initial and peak temperatures for the maximum weight loss peak of NiO (526 °C and 720 °C) and NiFe2O4 (589 °C and 880 °C) were significantly lower than those of Ni15 (760 °C and 910 °C) and hematite (700 °C and 910 °C), as shown in Table 12, which is attributed to the high activity of NiO and NiFe2O4, which can react with lignite secondary devolatilization products and lignite char [49,50,51]. The third weight loss peak of the Ni15 sample is ascribed to the formation of the NiFe2O4 phase.
In conclusion, the high reactivity of the Ni–modified OCs was due to the formation of the NiO and NiFe2O4 crystal phases.
Comparative experiments were also conducted using the M10 OCs to compare the reactivity of the different metal–modified OCs containing lignite. The results are shown in Figure 13 and Table 13.
As shown in Figure 13, the largest weight loss peak (i.e., the reaction between lattice oxygen with lignite char) of K10 and Na10 are significantly forward–shifted in comparison to that of the other samples, with a significantly lower initial and peak temperature than that of the other samples (Table 13), while the maximum weight loss rate of K10 and Na10 was less different from that of hematite. This indicates that the reactivity of the K–modified and Na–modified hematite OCs was higher than that of the other OCs. The peak value of K10 is larger than Na10, indicating that the modification of K is better than Na.
The peak temperature of Ca10, Cu10, Mn10, and Ni10 are all around 800 °C, so the performance is mainly compared by the peak value of the OC with lignite char. The addition of Ni promoted the conversion of lignite volatiles, and the reaction rates of lattice oxygen in the Ni10 sample and lignite char were almost the same as that of the hematite sample (the maximum reaction rates for hematite and Ni10 were 1.82 wt.%/min and 1.75 wt.%/min, respectively), demonstrating that using an appropriate amount of Ni for modification improves the performance of hematite. The Ca–modified, Cu–modified, and Mn–modified OCs exhibited relatively weak reactivity during the lignite char conversion. The order of reactivity is as follows: hematite (1.82 wt.%/min) > Ca10 (1.09 wt.%/min) > Cu10 (0.89 wt.%/min) > Mn10 (0.73 wt.%/min).

4. Conclusions

In this study, alkaline (earth) metals and transition metals were used to modify hematite to improve its reactivity in the CL of lignite. The addition of exogenous metals significantly changed the phase of the original hematite. Furthermore, the reactivity of the modified hematite OCs mainly depended on the newly formed crystal phase.
(1)
The reactivity of the K–modified and Na–modified OCs significantly increased as the K and Na contents increased, owing to the catalytic effect of the active solid solution of K–Fe–O and Na–Fe–O in the samples.
(2)
Ca modification promoted the conversion of lignite volatiles but inhibited the conversion of lignite char because CaO promotes lignite devolatilization, while the formation of a solid CaFe2O4 solution with a low reactivity reduced the conversion of lignite char.
(3)
CuO and CuFe2O4 can release a small amount of free O2 at high temperatures to promote the conversion of volatiles; however, the conversion of lignite char is inhibited because of the partial depletion of lattice oxygen.
(4)
Regarding the Mn–modified OCs, the presence of MnFeO3 with a low reactivity significantly decreased the reaction rate between the OC and lignite char, thereby inhibiting the conversion of lignite.
(5)
The NiO and NiFe2O4 phases in the Ni–modified samples with a high reactivity could promote reactions between lattice oxygen, secondary devolatilization products, and lignite char, enhancing the performance of hematite.
(6)
Generally, K, Na, and Ni modifications can enhance the reaction performance of hematite with lignite volatiles and lignite char, while Ca and Cu modifications can only enhance the reaction performance of hematite with lignite volatiles. However, Mn modification inhibits the conversion of lignite char. Among these OCs, the K–modified hematite OCs exhibit the best promoting effect.

Author Contributions

Conceptualization, H.M.L.; Methodology, J.X. (Jiahui Xiong) and Z.H.; Investigation, J.X. (Jiahui Xiong); Data curation, H.W. and Y.L.; Writing—original draft, H.M.L. and J.X. (Jiahui Xiong); Writing—review & editing, X.C. and D.S.; Supervision, J.X. (Jinlong Xie), Y.L. and Y.X.; Project administration, H.H.; Funding acquisition, Z.H. All authors have read and agreed to the published version of the manuscript.

Funding

This research was funded by the financial support from the National Natural Science Foundation of China (52076209, 52006224), the Foundation and Applied Foundation Research of Guangdong Province (2019B1515120022, 2022B1515020045, 2021A1515010459), and the Joint Fund of the Yulin University and the Dalian National Laboratory for Clean Energy (2021021).

Data Availability Statement

Not applicable.

Conflicts of Interest

The authors declare no conflict of interest.

References

  1. Gizer, S.G.; Polat, O.; Ram, M.K.; Sahiner, N. Recent developments in CO2 capture, utilization, related materials, and challenges. Int. J. Energy Res. 2022, 46, 16241–16263. [Google Scholar] [CrossRef]
  2. Zheng, Y.; Gao, L.; Li, S.; Wang, D. A comprehensive evaluation model for full-chain CCUS performance based on the analytic hierarchy process method. Energy 2022, 239, 122033. [Google Scholar] [CrossRef]
  3. Liu, F.; Wu, X.; Yang, L.; Bu, H.; Zhang, X. Evaluation of a bauxite cement-bonded Fe-based oxygen carrier during a hundred of cycles under coal-fueled chemical looping combustion conditions. Fuel Process. Technol. 2020, 199, 106267. [Google Scholar] [CrossRef]
  4. Olabi, A.G.; Obaideen, K.; Elsaid, K.; Wilberforce, T.; Sayed, E.T.; Maghrabie, H.M.; Abdelkareem, M.A. Assessment of the pre-combustion carbon capture contribution into sustainable development goals SDGs using novel indicators. Renew. Sustain. Energy Rev. 2022, 153, 111710. [Google Scholar] [CrossRef]
  5. D’Alessandro, D.M.; Smit, B.; Long, J.R. Carbon dioxide capture: Prospects for new materials. Angew. Chem. Int. Ed. Engl. 2010, 49, 6058–6082. [Google Scholar] [CrossRef] [PubMed]
  6. Madejski, P.; Chmiel, K.; Subramanian, N.; Kuś, T. Methods and Techniques for CO2 Capture: Review of Potential Solutions and Applications in Modern Energy Technologies. Energies 2022, 15, 887. [Google Scholar] [CrossRef]
  7. Lee, M.; Lim, H.S.; Kim, Y.; Lee, J.W. Enhancement of highly-concentrated hydrogen productivity in chemical looping steam methane reforming using Fe-substituted LaCoO3. Energy Convers. Manag. 2020, 207, 112507. [Google Scholar] [CrossRef]
  8. Gu, Z.; Zhang, L.; Lu, C.; Qing, S.; Li, K. Enhanced performance of copper ore oxygen carrier by red mud modification for chemical looping combustion. Appl. Energy 2020, 277, 115590. [Google Scholar] [CrossRef]
  9. Liu, W. Controlling lattice oxygen activity of oxygen carrier materials by design: A review and perspective. React. Chem. Eng. 2021, 6, 1527–1537. [Google Scholar] [CrossRef]
  10. Linderholm, C.; Schmitz, M.; Knutsson, P.; Lyngfelt, A. Chemical-looping combustion in a 100-kW unit using a mixture of ilmenite and manganese ore as oxygen carrier. Fuel 2016, 166, 533–542. [Google Scholar] [CrossRef]
  11. Lyngfelt, A. Chemical-looping combustion of solid fuels—Status of development. Appl. Energy 2014, 113, 1869–1873. [Google Scholar] [CrossRef]
  12. Thorne, R.J.; Bouman, E.A.; Sundseth, K.; Aranda, A.; Czakiert, T.; Pacyna, J.M.; Pacyna, E.G.; Krauz, M.; Celinska, A. Environmental impacts of a chemical looping combustion power plant. Int. J. Greenh. Gas Control 2019, 86, 101–111. [Google Scholar] [CrossRef]
  13. Huang, Z.; Gao, N.; Lin, Y.; Wei, G.; Zhao, K.; Zheng, A.; Zhao, Z.; Yuan, H.; Li, H. Exploring the migration and transformation of lattice oxygen during chemical looping with NiFe2O4 oxygen carrier. Chem. Eng. J. 2022, 429, 132064. [Google Scholar] [CrossRef]
  14. Zeng, J.; Xiao, R.; Zhang, H.; Wang, Y.; Zeng, D.; Ma, Z. Chemical looping pyrolysis-gasification of biomass for high H2/CO syngas production. Fuel Process. Technol. 2017, 168, 116–122. [Google Scholar] [CrossRef]
  15. Zhang, S.; Xiao, R. Comparison of pyrite cinder with synthetic and natural iron-based oxygen carriers in coal-fueled chemical-looping combustion. Greenh. Gases Sci. Technol. 2018, 8, 106–119. [Google Scholar] [CrossRef]
  16. Adanez, J.; Abad, A.; Garcia-Labiano, F.; Gayan, P.; de Diego, L.F. Progress in Chemical-Looping Combustion and Reforming technologies. Prog. Energy Combust. Sci. 2012, 38, 215–282. [Google Scholar] [CrossRef]
  17. Zhu, M.; Chen, S.; Soomro, A.; Hu, J.; Sun, Z.; Ma, S.; Xiang, W. Effects of supports on reduction activity and carbon deposition of iron oxide for methane chemical looping hydrogen generation. Appl. Energy 2018, 225, 912–921. [Google Scholar] [CrossRef]
  18. Kuang, C.; Wang, S.Z.; Luo, M.; Cai, J.J.; Zhao, J. Investigation of CuO-based oxygen carriers modified by three different ores in chemical looping combustion with solid fuels. Renew. Energy 2020, 154, 937–948. [Google Scholar] [CrossRef]
  19. Ebrahimian, S.; Iranshahi, D. An investigative study on replacing the conventional furnaces of naphtha reforming with chemical looping combustion for clean hydrogen production. Int. J. Hydrogen Energy 2020, 45, 19405–19419. [Google Scholar] [CrossRef]
  20. Wang, L.-L.; Shen, L.-H.; Liu, W.; Jiang, S. Chemical Looping Hydrogen Generation Using Synthesized Hematite-Based Oxygen Carrier Comodified by Potassium and Copper. Energy Fuels 2017, 31, 8423–8433. [Google Scholar] [CrossRef]
  21. Siriwardane, R.; Riley, J.; Tian, H.; Richards, G. Chemical looping coal gasification with calcium ferrite and barium ferrite via solid–solid reactions. Appl. Energy 2016, 165, 952–966. [Google Scholar] [CrossRef]
  22. Abián, M.; Abad, A.; Izquierdo, M.T.; Gayán, P.; de Diego, L.F.; García-Labiano, F.; Adánez, J. Titanium substituted manganese-ferrite as an oxygen carrier with permanent magnetic properties for chemical looping combustion of solid fuels. Fuel 2017, 195, 38–48. [Google Scholar] [CrossRef]
  23. Feng, Y.; Wang, N.; Guo, X.; Zhang, S. Dopant screening of modified Fe2O3 oxygen carriers in chemical looping hydrogen production. Fuel 2020, 262, 116489. [Google Scholar] [CrossRef]
  24. Cheng, X.; Gu, Z.; Li, F.; Zhu, X.; Wei, Y.; Zheng, M.; Tian, D.; Wang, H.; Li, K. Enhanced resistance to carbon deposition in chemical-looping combustion of methane: Synergistic effect of different oxygen carriers via sequence filling. Chem. Eng. J. 2021, 421, 129776. [Google Scholar] [CrossRef]
  25. Liu, G.; Wang, H.; Deplazes, S.; Veksha, A.; Wirz-Töndury, C.; Giannis, A.; Lim, T.T.; Lisak, G. Ba–Al-decorated iron ore as bifunctional oxygen carrier and HCl sorbent for chemical looping combustion of syngas. Combust. Flame 2021, 223, 230–242. [Google Scholar] [CrossRef]
  26. Yu, Z.; Li, C.; Jing, X.; Zhang, Q.; Wang, Z.; Fang, Y.; Huang, J. Catalytic chemical looping combustion of carbon with an iron-based oxygen carrier modified by K2CO3: Catalytic mechanism and multicycle tests. Fuel Process. Technol. 2015, 135, 119–124. [Google Scholar] [CrossRef]
  27. Yan, J.; Shen, L.; Ou, Z.; Wu, J.; Jiang, S.; Gu, H. Enhancing the performance of iron ore by introducing K and Na ions from biomass ashes in a CLC process. Energy 2019, 167, 168–180. [Google Scholar] [CrossRef]
  28. Yang, W.; Zhao, H.; Ma, J.; Mei, D.; Zheng, C. Copper-Decorated Hematite as an Oxygen Carrier for in Situ Gasification Chemical Looping Combustion of Coal. Energy Fuels 2014, 28, 3970–3981. [Google Scholar] [CrossRef]
  29. Kuang, C.; Wang, S.; Lv, S.; Cai, J.; Luo, M.; Zhao, J. Comparison of metallic oxide, natural ore and synthetic oxygen carrier in chemical looping combustion process. Int. J. Hydrogen Energy 2021, 46, 18032–18041. [Google Scholar] [CrossRef]
  30. Wei, G.-Q.; Feng, J.; Hou, Y.-L.; Li, F.-Z.; Li, W.-Y.; Huang, Z.; Zheng, A.-Q.; Li, H.-B. Ca-enhanced hematite oxygen carriers for chemical looping reforming of biomass pyrolyzed gas coupled with CO2 splitting. Fuel 2021, 285, 119125. [Google Scholar] [CrossRef]
  31. Sun, Z.; Chen, S.; Hu, J.; Chen, A.; Rony, A.H.; Russell, C.K.; Xiang, W.; Fan, M.; Darby Dyar, M.; Dklute, E.C. Ca2Fe2O5: A promising oxygen carrier for CO/CH4 conversion and almost-pure H2 production with inherent CO2 capture over a two-step chemical looping hydrogen generation process. Appl. Energy 2018, 211, 431–442. [Google Scholar] [CrossRef]
  32. Niu, X.; Shen, L. Evolution of carbon and nitrogen during chemical looping gasification of rapeseed cake with Ca-Fe oxygen carrier. Chem. Eng. J. 2022, 431, 134232. [Google Scholar] [CrossRef]
  33. Wei, G.; Deng, L.; Yuan, H.; Yang, X.; Huang, Z.; Zheng, A.; Xu, L. Enhanced chemical looping gasification of biomass coupled with CO2 splitting based on carbon negative emission. Energy Convers. Manag. 2022, 260, 115597. [Google Scholar] [CrossRef]
  34. Sun, Z.; Lu, D.Y.; Symonds, R.T.; Hughes, R.W. Chemical looping reforming of CH4 in the presence of CO2 using ilmenite ore and NiO-modified ilmenite ore oxygen carriers. Chem. Eng. J. 2020, 401, 123481. [Google Scholar] [CrossRef]
  35. Hu, Z.; Miao, Z.; Wu, J.; Jiang, E. Nickel-iron modified natural ore oxygen carriers for chemical looping steam methane reforming to produce hydrogen. Int. J. Hydrogen Energy 2021, 46, 39700–39718. [Google Scholar] [CrossRef]
  36. Liang, S.; Liao, Y.; Li, W.; Li, C.; Ma, X. Enhanced stability of iron-nickel oxygen carriers in biomass chemical looping gasification by core-shell structure. Chem. Eng. J. 2023, 451, 138964. [Google Scholar] [CrossRef]
  37. Liu, X.; Li, L.; Zhou, Z.; Sun, Z.; Duan, L. Oxygen uncoupling behaviour for ilmenite ore oxygen carrier generated from a calcination treatment mixed with natural manganese ore. Can. J. Chem. Eng. 2022, 101, 805–818. [Google Scholar] [CrossRef]
  38. Sun, Z.; Lu, D.Y.; Ridha, F.N.; Hughes, R.W.; Filippou, D. Enhanced performance of ilmenite modified by CeO2, ZrO2, NiO, and Mn 2 O 3 as oxygen carriers in chemical looping combustion. Appl. Energy 2017, 195, 303–315. [Google Scholar] [CrossRef]
  39. Leion, H.; Mattisson, T.; Lyngfelt, A. Solid fuels in chemical-looping combustion. Int. J. Greenh. Gas Control 2008, 2, 180–193. [Google Scholar] [CrossRef]
  40. Cuadrat, A.; Abad, A.; García-Labiano, F.; Gayán, P.; de Diego, L.F.; Adánez, J. Relevance of the coal rank on the performance of the in situ gasification chemical-looping combustion. Chem. Eng. J. 2012, 195–196, 91–102. [Google Scholar] [CrossRef]
  41. Wei, G.; Yang, M.; Huang, Z.; Bai, H.; Chang, G.; He, F.; Yi, Q.; Huang, Y.; Zheng, A.; Zhao, K.; et al. Syngas production from lignite via chemical looping gasification with hematite oxygen carrier enhanced by exogenous metals. Fuel 2022, 321, 124119. [Google Scholar] [CrossRef]
  42. Gu, H.; Shen, L.; Xiao, J.; Zhang, S.; Song, T.; Chen, D. Iron ore as oxygen carrier improved with potassium for chemical looping combustion of anthracite coal. Combust. Flame 2012, 159, 2480–2490. [Google Scholar] [CrossRef]
  43. Jiang, C.; Jin, X.; Xu, T.; Xiao, B.; Hu, Z.; Wang, X. Biomass chemical looping gasification for syngas production using modified hematite as oxygen carriers. J. Environ. Sci. 2023, 125, 171–184. [Google Scholar] [CrossRef] [PubMed]
  44. Liu, G.; Liao, Y.; Wu, Y.; Ma, X. Application of calcium ferrites as oxygen carriers for microalgae chemical looping gasification. Energy Convers. Manag. 2018, 160, 262–272. [Google Scholar] [CrossRef]
  45. Kuang, C.; Wang, S.; Luo, M.; Zhao, J. Reactivity study and kinetic evaluation of CuO-based oxygen carriers modified by three different ores in chemical looping with oxygen uncoupling (CLOU) process. Chin. J. Chem. Eng. 2021, 37, 54–63. [Google Scholar] [CrossRef]
  46. Zhu, W.; Yetter, R.A.; Boyer, J.E.; van Duin, A.C.T. Mechanistic study of chemical looping reactions between solid carbon fuels and CuO. Combust. Flame 2022, 244, 112216. [Google Scholar] [CrossRef]
  47. Hosseini, D.; Donat, F.; Kim, S.M.; Bernard, L.; Kierzkowska, A.M.; Müller, C.R. Redox-Driven Restructuring of FeMnZr-Oxygen Carriers Enhances the Purity and Yield of H2 in a Chemical Looping Process. ACS Appl. Energy Mater. 2018, 1, 1294–1303. [Google Scholar] [CrossRef]
  48. Wei, G.; He, F.; Huang, Z.; Zhao, K.; Zheng, A.; Li, H. Chemical-Looping Reforming of Methane Using Iron Based Oxygen Carrier Modified with Low Content Nickel. Chin. J. Chem. 2014, 32, 1271–1280. [Google Scholar] [CrossRef]
  49. Huang, Z.; Deng, Z.; Feng, Y.; Chen, T.; Chen, D.; Zheng, A.; Wei, G.; He, F.; Zhao, Z.; Wu, J.; et al. Exploring the Conversion Mechanisms of Toluene as a Biomass Tar Model Compound on NiFe2O4 Oxygen Carrier. ACS Sustain. Chem. Eng. 2019, 7, 16539–16548. [Google Scholar] [CrossRef]
  50. Song, D.; Lin, Y.; Zhao, K.; Huang, Z.; He, F.; Xiong, Y. Migration Mechanism of Lattice Oxygen: Conversion of CO2 to CO Using NiFe2O4 Spinel Oxygen Carrier in Chemical Looping Reactions. Catalysts 2022, 12, 1181. [Google Scholar] [CrossRef]
  51. Huang, Z.; He, F.; Zhu, H.; Chen, D.; Zhao, K.; Wei, G.; Feng, Y.; Zheng, A.; Zhao, Z.; Li, H. Thermodynamic analysis and thermogravimetric investigation on chemical looping gasification of biomass char under different atmospheres with Fe2O3 oxygen carrier. Appl. Energy 2015, 157, 546–553. [Google Scholar] [CrossRef]
Figure 1. Schematic of the CL process.
Figure 1. Schematic of the CL process.
Energies 16 02662 g001
Figure 2. XRD spectra of the hematite OCs modified using (a) K, (b) Na, (c) Ca, (d) Cu, (e) Mn, and (f) Ni. i = Fe2O3, ii = SiO2, iii = Fe–K–O, iv = Na–Fe–Si–O, v = CaFe2O4, vi = Ca2Fe2O5, vii = CuFe2O4, viii = MnFeO3, ix = NiFe2O4, and x = NaAlSiO4.
Figure 2. XRD spectra of the hematite OCs modified using (a) K, (b) Na, (c) Ca, (d) Cu, (e) Mn, and (f) Ni. i = Fe2O3, ii = SiO2, iii = Fe–K–O, iv = Na–Fe–Si–O, v = CaFe2O4, vi = Ca2Fe2O5, vii = CuFe2O4, viii = MnFeO3, ix = NiFe2O4, and x = NaAlSiO4.
Energies 16 02662 g002
Figure 3. (a) TG and DTG (b) curves of hematite, lignite-containing SiO2, and the K–modified OCs. (The dashed line in the graph is the curve of temperature as a function of time, indicating the temperature corresponding to each moment).
Figure 3. (a) TG and DTG (b) curves of hematite, lignite-containing SiO2, and the K–modified OCs. (The dashed line in the graph is the curve of temperature as a function of time, indicating the temperature corresponding to each moment).
Energies 16 02662 g003
Figure 4. (a) TG and (b) DTG curves of hematite, lignite–containing SiO2, and the Na–modified OCs. (The dashed line in the graph is the curve of temperature as a function of time, indicating the temperature corresponding to each moment).
Figure 4. (a) TG and (b) DTG curves of hematite, lignite–containing SiO2, and the Na–modified OCs. (The dashed line in the graph is the curve of temperature as a function of time, indicating the temperature corresponding to each moment).
Energies 16 02662 g004
Figure 5. (a) TG and (b) DTG curves of lignite–containing SiO2, hematite, and Ca–modified OCs. (The dashed line in the graph is the curve of temperature as a function of time, indicating the temperature corresponding to each moment).
Figure 5. (a) TG and (b) DTG curves of lignite–containing SiO2, hematite, and Ca–modified OCs. (The dashed line in the graph is the curve of temperature as a function of time, indicating the temperature corresponding to each moment).
Energies 16 02662 g005
Figure 6. (a) TG and (b) DTG curves of lignite–containing SiO2, CaO, CaFe2O4, hematite, and Ca15. (The dashed line in the graph is the curve of temperature as a function of time, indicating the temperature corresponding to each moment).
Figure 6. (a) TG and (b) DTG curves of lignite–containing SiO2, CaO, CaFe2O4, hematite, and Ca15. (The dashed line in the graph is the curve of temperature as a function of time, indicating the temperature corresponding to each moment).
Energies 16 02662 g006
Figure 7. (a) TG and (b) DTG curves of lignite–containing SiO2, hematite, and various Cu–modified OCs. (The dashed line in the graph is the curve of temperature as a function of time, indicating the temperature corresponding to each moment).
Figure 7. (a) TG and (b) DTG curves of lignite–containing SiO2, hematite, and various Cu–modified OCs. (The dashed line in the graph is the curve of temperature as a function of time, indicating the temperature corresponding to each moment).
Energies 16 02662 g007
Figure 8. (a) TG and (b) DTG curves of hematite and the lignite–containing SiO2, CuO, CuFe2O4, and Cu15 samples. (The dashed line in the graph is the curve of temperature as a function of time, indicating the temperature corresponding to each moment).
Figure 8. (a) TG and (b) DTG curves of hematite and the lignite–containing SiO2, CuO, CuFe2O4, and Cu15 samples. (The dashed line in the graph is the curve of temperature as a function of time, indicating the temperature corresponding to each moment).
Energies 16 02662 g008
Figure 9. (a) TG and (b) DTG curves of lignite–containing SiO2, hematite, and the various Mn–modified OCs. (The dashed line in the graph is the curve of temperature as a function of time, indicating the temperature corresponding to each moment).
Figure 9. (a) TG and (b) DTG curves of lignite–containing SiO2, hematite, and the various Mn–modified OCs. (The dashed line in the graph is the curve of temperature as a function of time, indicating the temperature corresponding to each moment).
Energies 16 02662 g009
Figure 10. (a) TG and (b) DTG curves of lignite–containing SiO2, Mn2O3, MnFeO3, hematite, and Mn15. (The dashed line in the graph is the curve of temperature as a function of time, indicating the temperature corresponding to each moment).
Figure 10. (a) TG and (b) DTG curves of lignite–containing SiO2, Mn2O3, MnFeO3, hematite, and Mn15. (The dashed line in the graph is the curve of temperature as a function of time, indicating the temperature corresponding to each moment).
Energies 16 02662 g010
Figure 11. (a) TG and (b) DTG curves of lignite–containing SiO2, hematite, and the various Ni–modified OCs. (The dashed line in the graph is the curve of temperature as a function of time, indicating the temperature corresponding to each moment).
Figure 11. (a) TG and (b) DTG curves of lignite–containing SiO2, hematite, and the various Ni–modified OCs. (The dashed line in the graph is the curve of temperature as a function of time, indicating the temperature corresponding to each moment).
Energies 16 02662 g011
Figure 12. (a) TG and (b) DTG curves of lignite–containing SiO2, NiO, NiFe2O4, hematite, and Ni15. (The dashed line in the graph is the curve of temperature as a function of time, indicating the temperature corresponding to each moment).
Figure 12. (a) TG and (b) DTG curves of lignite–containing SiO2, NiO, NiFe2O4, hematite, and Ni15. (The dashed line in the graph is the curve of temperature as a function of time, indicating the temperature corresponding to each moment).
Energies 16 02662 g012
Figure 13. DTG curves of hematite and lignite–containing SiO2, K10, Na10, Ca10, Cu10, Mn10, and Ni10. (The dashed line in the graph is the curve of temperature as a function of time, indicating the temperature corresponding to each moment).
Figure 13. DTG curves of hematite and lignite–containing SiO2, K10, Na10, Ca10, Cu10, Mn10, and Ni10. (The dashed line in the graph is the curve of temperature as a function of time, indicating the temperature corresponding to each moment).
Energies 16 02662 g013
Table 1. Proximate and ultimate analyses of Yunnan lignite.
Table 1. Proximate and ultimate analyses of Yunnan lignite.
Ultimate Analysis (wt.%)Proximate Analysis (wt.%)
CHNSO aAshVolatilesFixed carbon bMoisture
51.724.131.141.2225.2216.5743.5332.986.92
a O = 100 − C − H − N − S − ash. b Fixed carbon = 100 − ash − volatiles − moisture.
Table 2. Elemental compositions of hematite.
Table 2. Elemental compositions of hematite.
ElementFeOSiAlKCaPTi
Content/wt.%61.8232.333.351.690.270.140.090.09
Table 3. Characteristics of the char conversion using hematite and the K–modified OCs.
Table 3. Characteristics of the char conversion using hematite and the K–modified OCs.
SampleInitial Temperature a (°C)Peak Temperature b (°C)Peak Value c (wt.%/min)
Hematite7009101.82
K56989001.39
K105637681.89
K155407351.87
a The temperature corresponding to the initiation weight loss of the samples during the reaction phase between the OCs and the lignite char. b The temperature corresponding to the maximum rate of weight loss during the reaction phase between the OCs and the lignite char. c The maximum reaction rate between the OCs and the lignite char.
Table 4. Characteristics of the char conversion using hematite and the Na–modified OCs.
Table 4. Characteristics of the char conversion using hematite and the Na–modified OCs.
SampleInitial Temperature (°C)Peak Temperature (°C)Peak Value (wt.%/min)
Hematite7009101.82
Na55528321.91
Na105277481.69
Na155167051.68
Table 5. Characteristics of the char conversion using hematite and Ca–modified OCs.
Table 5. Characteristics of the char conversion using hematite and Ca–modified OCs.
SampleInitial Temperature (°C)Peak Temperature (°C)Peak Value (wt.%/min)
Hematite7009101.82
Ca57098510.86
Ca107098971.09
Ca157218970.92
Table 6. Characteristics of the char conversion using hematite and the Ca–modified OCs.
Table 6. Characteristics of the char conversion using hematite and the Ca–modified OCs.
SampleInitial Temperature (°C)Peak Temperature (°C)Peak Value (wt.%/min)
Hematite7009101.82
CaO5436610.73
CaFe2O46408500.89
Ca157218970.92
Table 7. Characteristics of the char conversion using hematite and the Cu–modified OCs.
Table 7. Characteristics of the char conversion using hematite and the Cu–modified OCs.
SampleInitial Temperature (°C)Peak Temperature (°C)Peak Value (wt.%/min)
Hematite7009101.82
Cu57009401.09
Cu107009300.89
Cu157009200.79
Table 8. Characteristics of the char conversion using hematite and the Cu–modified OCs.
Table 8. Characteristics of the char conversion using hematite and the Cu–modified OCs.
SampleInitial Temperature (°C)Peak Temperature (°C)Peak Value (wt.%/min)
Hematite7009101.82
CuO5606500.49
CuFe2O47209010.64
Cu156959130.79
Table 9. Characteristics of the char conversion using hematite and the Mn–modified OCs.
Table 9. Characteristics of the char conversion using hematite and the Mn–modified OCs.
SampleInitial Temperature (°C)Peak Temperature (°C)Peak Value (wt.%/min)
Hematite7009101.82
Mn57008750.78
Mn107008850.73
Mn157009080.85
Table 10. Characteristics of the char conversion using hematite and the Mn–modified OCs.
Table 10. Characteristics of the char conversion using hematite and the Mn–modified OCs.
SampleInitial Temperature (°C)Peak Temperature (°C)Peak Value (wt.%/min)
Hematite7009101.82
Mn2O35606500.54
MnFeO37009160.62
Mn157009080.85
Table 11. Characteristics of the char conversion using hematite and the Ni–modified OCs.
Table 11. Characteristics of the char conversion using hematite and the Ni–modified OCs.
SampleInitial Temperature (°C)Peak Temperature (°C)Peak Value (wt.%/min)
Hematite7009101.82
Ni57609101.68
Ni107609101.75
Ni157609101.39
Table 12. Characteristics of the char conversion using hematite and the Ni–modified OCs.
Table 12. Characteristics of the char conversion using hematite and the Ni–modified OCs.
SampleInitial Temperature (°C)Peak Temperature (°C)Peak Value (wt.%/min)
Hematite7009101.82
NiO5267200.98
NiFe2O45898800.89
Ni157609100.92
Table 13. Characteristics of the char conversion using hematite and the exogenous metals–modified OCs.
Table 13. Characteristics of the char conversion using hematite and the exogenous metals–modified OCs.
SampleInitial Temperature (°C)Peak Temperature (°C)Peak Value (wt.%/min)
Hematite7009101.82
K105637681.89
Na105277481.69
Ca107098971.09
Cu107009300.89
Mn107008850.73
Ni107609101.75
Disclaimer/Publisher’s Note: The statements, opinions and data contained in all publications are solely those of the individual author(s) and contributor(s) and not of MDPI and/or the editor(s). MDPI and/or the editor(s) disclaim responsibility for any injury to people or property resulting from any ideas, methods, instructions or products referred to in the content.

Share and Cite

MDPI and ACS Style

Lee, H.M.; Xiong, J.; Chen, X.; Wang, H.; Song, D.; Xie, J.; Lin, Y.; Xiong, Y.; Huang, Z.; Huang, H. Evaluation of the Reactivity of Hematite Oxygen Carriers Modified Using Alkaline (Earth) Metals and Transition Metals for the Chemical Looping Conversion of Lignite. Energies 2023, 16, 2662. https://doi.org/10.3390/en16062662

AMA Style

Lee HM, Xiong J, Chen X, Wang H, Song D, Xie J, Lin Y, Xiong Y, Huang Z, Huang H. Evaluation of the Reactivity of Hematite Oxygen Carriers Modified Using Alkaline (Earth) Metals and Transition Metals for the Chemical Looping Conversion of Lignite. Energies. 2023; 16(6):2662. https://doi.org/10.3390/en16062662

Chicago/Turabian Style

Lee, Hsiao Mun, Jiahui Xiong, Xinfei Chen, Haitao Wang, Da Song, Jinlong Xie, Yan Lin, Ya Xiong, Zhen Huang, and Hongyu Huang. 2023. "Evaluation of the Reactivity of Hematite Oxygen Carriers Modified Using Alkaline (Earth) Metals and Transition Metals for the Chemical Looping Conversion of Lignite" Energies 16, no. 6: 2662. https://doi.org/10.3390/en16062662

APA Style

Lee, H. M., Xiong, J., Chen, X., Wang, H., Song, D., Xie, J., Lin, Y., Xiong, Y., Huang, Z., & Huang, H. (2023). Evaluation of the Reactivity of Hematite Oxygen Carriers Modified Using Alkaline (Earth) Metals and Transition Metals for the Chemical Looping Conversion of Lignite. Energies, 16(6), 2662. https://doi.org/10.3390/en16062662

Note that from the first issue of 2016, this journal uses article numbers instead of page numbers. See further details here.

Article Metrics

Back to TopTop