Improving the Efficiency of Renewable Energy Assets by Optimizing the Matching of Supply and Demand Using a Smart Battery Scheduling Algorithm
Abstract
1. Introduction
- Solar photovoltaic(s) or wind turbine(s) encapsulated as generated power;
- Battery energy storage system (BESS) of a community or household;
- Household or community represented as prosumer demand;
- Central grid attachment via some dynamic energy plan.
2. Related Work
3. Heuristics of a Smart Battery Scheduling Algorithm
3.1. Case Analysis
3.1.1. Order of Covering Demand
- If , then Method 2 can completely cover d using g, resulting in remainder . Similarly, an amount of d can be imported from the grid, resulting in a total remainder of g (. The battery needs to be charged with amount b, which can be achieved using the available g, resulting in a leftover of . Thus, s can be exported to the grid.
- If , then Method 2 covers d using g, yielding a remaining demand of (since ). Similarly, an amount of d can be imported from the grid, which can be used to cover the remaining demand and results in g remaining (). The battery needs to be charged with amount b, which can be achieved using the available g, resulting in a leftover of . Thus, s can be exported to the grid.
- If , then Method 4 can completely cover d using g, resulting in remainder . Similarly to Method 3, r can be imported from the grid and b can be discharged, resulting in . In total, this results in which can be exported.
- If , then only g can be covered, resulting in a remaining demand of . Similarly to Method 3, r can be imported from the grid and b can be discharged, resulting in . With this, the remaining demand can be covered and results in , which can be exported.
3.1.2. Matching Demand with Battery Capacity
3.1.3. Expensive Future Excess Demand
3.1.4. Maximizing Profit Exported Energy
3.1.5. Mandatory Profits and Losses
3.1.6. Expensive Charging Exploit
3.2. Definition of the Smart Battery Scheduling Algorithm
3.2.1. Step 1: Skipping Excess Power
3.2.2. Step 2: Using Battery Power
3.2.3. Step 3: Using Past Excess Power
3.2.4. Step 4: Using Previously Discharged Energy
3.2.5. Step 5: Using Previously Imported Energy
3.2.6. Step 6: Directly Importing Energy
3.2.7. Output of the Algorithm
- , denoting the leftover energy that will be exported (values in g have been altered to reflect actions taken within the lookahead window), referred to as .
- , denoting the leftover energy that will be imported (values in d have been altered to reflect actions taken within the lookahead window), referred to as .
- , denoting the optimal amount to charge at t, referred to as (which is the energy change in the battery, not the actual input).
- , denoting the optimal amount to discharge at t, referred to as (which is the energy change in the battery, not the actual output).
- Bill (cost) at
3.2.8. Constraints of the Algorithm
3.3. Processing an Example Scenario Using the Smart Battery Scheduling Algorithm
4. Methods and Data Used in Experimental Validation
4.1. Baseline Comparison and Generated Power Data
4.2. Data for Demand and Tariffs Used in Experimental Validation
4.3. Battery Data Used in Experiments
4.4. Simulation of Forecasting Methods
4.4.1. Constant Uncertainty Margins
4.4.2. Linear Uncertainty Margins
4.4.3. Complex Uncertainty Margins
4.5. Calculating the Bill of a Community or Prosumer
5. Experimental Results
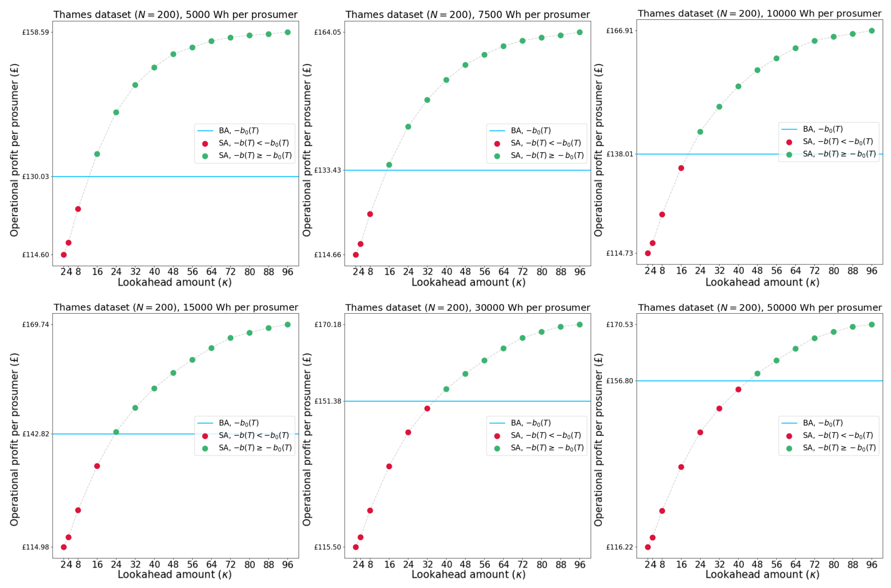
5.1. Performance of Perfect Forecasts
- [kWh per prosumer].
- [#timestamps in lookahead window].
5.2. Robustness of the Smart Battery Scheduling Algorithm
5.2.1. Robustness of Constant Uncertainty Margins
5.2.2. Robustness of Linear Uncertainty Margins
5.2.3. Robustness of Converging and Diverging Uncertainty Margins
6. Discussion
7. Conclusions and Further Work
- A battery should never be filled more than needed as otherwise the surplus of energy could have been sold.
- If battery power is considered to be utilised, while in the future excess demand needs to be covered by buying energy for a higher price than the current price, it would be beneficial to buy energy now and use battery power in the future.
- If energy can be sold to the central grid on multiple occasions, it should be sold at times when the selling price is as high as possible.
- If the battery is able to charge using imported energy from the grid, charging the battery with bought energy should be considered if it is more profitable than having to buy energy later at a substantially higher price.
- If the available generated power and battery power cannot cover the demand, there is no other option than to buy energy. Similarly, if the battery cannot be charged more or at a higher rate, energy needs to be sold to the central grid.
Author Contributions
Funding
Data Availability Statement
Acknowledgments
Conflicts of Interest
Nomenclature and Abbreviations
| Abbreviations | |
| BESS | Battery Energy Storage System |
| DoD | Depth of Discharge |
| MILP | Mixed-Integer Linear Programming |
| PV | Photovoltaic |
| RMSE | Root Mean Squared Error |
| RtC | Room to Charge |
| SoC | State of Charge |
| Parameters | |
| Battery charging efficiency | |
| Battery discharging efficiency | |
| Size of lookahead window [timestamps] | |
| Maximum power that battery can charge/discharge [kW] | |
| Initial battery SoC [%] | |
| Maximum battery SoC [%] | |
| Minimum battery SoC [%] | |
| Import tariff at t [pence/kWh] | |
| Export tariff at t [pence/kWh] | |
| Battery capacity [kWh] | |
| Subscripts and Sets | |
| N | Number of households in energy community |
| T | Number of time periods |
| t | Particular timestamp |
| Variables | |
| Annual bill, where T = 1 year [£] | |
| Baseline annual bill, where T = 1 year [£] | |
| Duration of time period t [h] | |
| −, charging boundary at t [kW] | |
| −, discharging boundary at t [kW] | |
| Demand at t [kW] | |
| Imported energy at t [kWh] | |
| Exported energy at t [kWh] | |
| Generated power at t [kW] | |
| Savings on annual bill, where T = 1 year [£] | |
| Charging power of the battery at t [kW] | |
| Discharging power of the battery at t [kW] | |
| Room to charge in battery at t [kWh] | |
| State of charge of battery at t [%] | |
Appendix A. Detailed Results of Forecasts on London Dataset


Appendix B. Detailed Results of Forecasts on Thames Dataset


References
- BP. Statistical Review of World Energy; Technical Report; BP: London, UK, 2021. [Google Scholar]
- Bilgen, S.; Kaygusuz, K.; Sari, A. Renewable Energy for a Clean and Sustainable Future. Energy Sources 2004, 26, 1119–1129. [Google Scholar] [CrossRef]
- Farhangi, H. The path of the smart grid. IEEE Power Energy Mag. 2010, 8, 18–28. [Google Scholar] [CrossRef]
- United Nations. Paris Agreement (Treaty No. XXVII-7-d). 2015. Available online: https://treaties.un.org/pages/ViewDetails.aspx?src=TREATY&mtdsg_no=XXVII-7-d&chapter=27&clang=_en (accessed on 22 December 2022).
- European Commission. Best Practices on Renewable Energy Self-Consumption. 2015. Available online: https://eur-lex.europa.eu/legal-content/EN/TXT/PDF/?uri=CELEX:52015SC0141 (accessed on 1 March 2023).
- Gielen, D.; Boshell, F.; Saygin, D.; Bazilian, M.D.; Wagner, N.; Gorini, R. The role of renewable energy in the global energy transformation. Energy Strategy Rev. 2019, 24, 38–50. [Google Scholar] [CrossRef]
- Zafar, B.; Slama, S.A.B. PV-EV integrated home energy management using vehicle-to-home (V2H) technology and household occupant behaviors. Energy Strategy Rev. 2022, 44, 101001. [Google Scholar] [CrossRef]
- Chakir, A.; Abid, M.; Tabaa, M.; Hachimi, H. Demand-side management strategy in a smart home using electric vehicle and hybrid renewable energy system. Energy Rep. 2022, 8, 383–393. [Google Scholar] [CrossRef]
- Ari, A.; Arregui, N.; Black, S.; Celasun, O.; Iakova, D.; Mineshima, A.; Mylonas, V.; Parry, I.; Teodoru, I.; Zhunussova, K. Surging Energy Prices in Europe in the Aftermath of the War: How to Support the Vulnerable and Speed Up the Transition Away from Fossil Fuels; International Monetary Fund: Washington, DC, USA, 2022. [Google Scholar]
- Ritchie, H.; Roser, M.; Rosado, P. CO2 and Greenhouse Gas Emissions. Our World in Data. 2020. Available online: https://ourworldindata.org/co2-and-other-greenhouse-gas-emissions (accessed on 22 December 2022).
- Dunn, B.; Kamath, H.; Tarascon, J.M. Electrical Energy Storage for the Grid: A Battery of Choices. Science 2011, 334, 928–935. [Google Scholar] [CrossRef]
- Ibrahim, H.; Ilinca, A.; Perron, J. Energy storage systems-Characteristics and comparisons. Renew. Sustain. Energy Rev. 2008, 12, 1221–1250. [Google Scholar] [CrossRef]
- Argyrou, M.C.; Christodoulides, P.; Kalogirou, S.A. Energy storage for electricity generation and related processes: Technologies appraisal and grid scale applications. Renew. Sustain. Energy Rev. 2018, 94, 804–821. [Google Scholar] [CrossRef]
- Iqbal, M.; Azam, M.; Naeem, M.; Khwaja, A.; Anpalagan, A. Optimization classification, algorithms and tools for renewable energy: A review. Renew. Sustain. Energy Rev. 2014, 39, 640–654. [Google Scholar] [CrossRef]
- Roslan, M.; Hannan, M.; Ker, P.; Mannan, M.; Muttaqi, K.; Mahlia, T.I. Microgrid control methods toward achieving sustainable energy management: A bibliometric analysis for future directions. J. Clean. Prod. 2022, 348, 131340. [Google Scholar] [CrossRef]
- Torres, D.; Crichigno, J.; Padilla, G.; Rivera, R. Scheduling coupled photovoltaic, battery and conventional energy sources to maximize profit using linear programming. Renew. Energy 2014, 72, 284–290. [Google Scholar] [CrossRef]
- Luna, A.C.; Diaz, N.L.; Graells, M.; Vasquez, J.C.; Guerrero, J.M. Mixed-Integer-Linear-Programming-Based Energy Management System for Hybrid PV-Wind-Battery Microgrids: Modeling, Design, and Experimental Verification. IEEE Trans. Power Electron. 2017, 32, 2769–2783. [Google Scholar] [CrossRef]
- Elkazaz, M.; Sumner, M.; Davies, R.; Pholboon, S.; Thomas, D. Optimization based Real-Time Home Energy Management in the Presence of Renewable Energy and Battery Energy Storage. In Proceedings of the 2019 International Conference on Smart Energy Systems and Technologies (SEST), Porto, Portugal, 9–11 September 2019. [Google Scholar] [CrossRef]
- Nguyen, A.D.; Bui, V.H.; Hussain, A.; Nguyen, D.H.; Kim, H.M. Impact of Demand Response Programs on Optimal Operation of Multi-Microgrid System. Energies 2018, 11, 1452. [Google Scholar] [CrossRef]
- Couraud, B.; Norbu, S.; Andoni, M.; Robu, V.; Gharavi, H.; Flynn, D. Optimal Residential Battery Scheduling with Asset Lifespan Consideration. In Proceedings of the 2020 IEEE PES Innovative Smart Grid Technologies Europe (ISGT-Europe), The Hague, The Netherlands, 26–28 October 2020; IEEE: Piscataway, NJ, USA, 2020. [Google Scholar] [CrossRef]
- Zhang, B.; Li, Q.; Wang, L.; Feng, W. Robust optimization for energy transactions in multi-microgrids under uncertainty. Appl. Energy 2018, 217, 346–360. [Google Scholar] [CrossRef]
- Yoon, Y.; Kim, Y.H. Effective scheduling of residential energy storage systems under dynamic pricing. Renew. Energy 2016, 87, 936–945. [Google Scholar] [CrossRef]
- Ratnam, E.L.; Weller, S.R.; Kellett, C.M. An optimization-based approach to scheduling residential battery storage with solar PV: Assessing customer benefit. Renew. Energy 2015, 75, 123–134. [Google Scholar] [CrossRef]
- Paul, T.G.; Hossain, S.J.; Ghosh, S.; Mandal, P.; Kamalasadan, S. A Quadratic Programming Based Optimal Power and Battery Dispatch for Grid-Connected Microgrid. IEEE Trans. Ind. Appl. 2018, 54, 1793–1805. [Google Scholar] [CrossRef]
- Teng, J.H.; Luan, S.W.; Lee, D.J.; Huang, Y.Q. Optimal Charging/Discharging Scheduling of Battery Storage Systems for Distribution Systems Interconnected with Sizeable PV Generation Systems. IEEE Trans. Power Syst. 2013, 28, 1425–1433. [Google Scholar] [CrossRef]
- Raghavan, A.; Maan, P.; Shenoy, A.K.B. Optimization of Day-Ahead Energy Storage System Scheduling in Microgrid Using Genetic Algorithm and Particle Swarm Optimization. IEEE Access 2020, 8, 173068–173078. [Google Scholar] [CrossRef]
- Hossain, M.A.; Pota, H.R.; Squartini, S.; Zaman, F.; Guerrero, J.M. Energy scheduling of community microgrid with battery cost using particle swarm optimisation. Appl. Energy 2019, 254, 113723. [Google Scholar] [CrossRef]
- Lee, T.Y. Operating Schedule of Battery Energy Storage System in a Time-of-Use Rate Industrial User With Wind Turbine Generators: A Multipass Iteration Particle Swarm Optimization Approach. IEEE Trans. Energy Convers. 2007, 22, 774–782. [Google Scholar] [CrossRef]
- Faisal, M.; Hannan, M.; Ker, P.J.; Rahman, M.; Begum, R.; Mahlia, T. Particle swarm optimised fuzzy controller for charging–discharging and scheduling of battery energy storage system in MG applications. Energy Rep. 2020, 6, 215–228. [Google Scholar] [CrossRef]
- Nurmanova, V.; Abedinia, O.; Naderi, M.S.; Ghadimi, N. Renewable Energy Sources and Battery Forecasting Effects in Smart Power System Performance. Energies 2019, 12, 373. [Google Scholar] [CrossRef]
- Muriithi, G.; Chowdhury, S. Optimal Energy Management of a Grid-Tied Solar PV-Battery Microgrid: A Reinforcement Learning Approach. Energies 2021, 14, 2700. [Google Scholar] [CrossRef]
- Jayaraj, S.; TP, I.A. Application of Reinforcement Learning Algorithm for Scheduling of Microgrid. In Proceedings of the 2019 Global Conference for Advancement in Technology (GCAT), Bangaluru, India, 18–20 October 2019; IEEE: Piscataway, NJ, USA, 2019. [Google Scholar] [CrossRef]
- P, I.A.T.; Roy, R.; Siyad, S.; Santhosh, S.; Rajeev, V. Investigation of Choice of State Space for Reinforcement Learning Based Battery Scheduling in Microgrid. In Proceedings of the 2022 IEEE International Conference on Signal Processing, Informatics, Communication and Energy Systems (SPICES), Thiruvananthapuram, India, 10–12 March 2022; IEEE: Piscataway, NJ, USA, 2022. [Google Scholar] [CrossRef]
- Norbu, S.; Couraud, B.; Robu, V.; Andoni, M.; Flynn, D. Modelling the redistribution of benefits from joint investments in community energy projects. Appl. Energy 2021, 287, 116575. [Google Scholar] [CrossRef]
- Ouedraogo, S.; Faggianelli, G.A.; Pigelet, G.; Duchaud, J.L.; Voyant, C.; Notton, G. Comparison of Energy Management Strategies in a Microgrid with Photovoltaic/Battery System. In Proceedings of the 2021 17th Conference on Electrical Machines, Drives and Power Systems (ELMA), Sofia, Bulgaria, 1–4 July 2021; IEEE: Piscataway, NJ, USA, 2021. [Google Scholar] [CrossRef]
- O’Brien, E.; Ralph, A. Operational Evaluation of a Wind-farm Forecasting System. Energy Procedia 2015, 76, 216–222. [Google Scholar] [CrossRef]
- Forbes, K.F.; Zampelli, E.M. Accuracy of wind energy forecasts in Great Britain and prospects for improvement. Util. Policy 2020, 67, 101111. [Google Scholar] [CrossRef]
- Suárez-Cetrulo, A.L.; Burnham-King, L.; Haughton, D.; Carbajo, R.S. Wind power forecasting using ensemble learning for day-ahead energy trading. Renew. Energy 2022, 191, 685–698. [Google Scholar] [CrossRef]
- Torabi, A.; Mousavy, S.A.K.; Dashti, V.; Saeedi, M.; Yousefi, N. A New Prediction Model Based on Cascade NN for Wind Power Prediction. Comput. Econ. 2018, 53, 1219–1243. [Google Scholar] [CrossRef]
- Skittides, C.; Früh, W.G. Wind forecasting using Principal Component Analysis. Renew. Energy 2014, 69, 365–374. [Google Scholar] [CrossRef]
- Gellert, A.; Fiore, U.; Florea, A.; Chis, R.; Palmieri, F. Forecasting Electricity Consumption and Production in Smart Homes through Statistical Methods. Sustain. Cities Soc. 2022, 76, 103426. [Google Scholar] [CrossRef]
- Faraji, J.; Ketabi, A.; Hashemi-Dezaki, H.; Shafie-Khah, M.; Catalao, J.P.S. Optimal Day-Ahead Self-Scheduling and Operation of Prosumer Microgrids Using Hybrid Machine Learning-Based Weather and Load Forecasting. IEEE Access 2020, 8, 157284–157305. [Google Scholar] [CrossRef]
- Lu, H.; Ma, X.; Ma, M.; Zhu, S. Energy price prediction using data-driven models: A decade review. Comput. Sci. Rev. 2021, 39, 100356. [Google Scholar] [CrossRef]
- Pavićević, M.; Popović, T. Forecasting Day-Ahead Electricity Metrics with Artificial Neural Networks. Sensors 2022, 22, 1051. [Google Scholar] [CrossRef]
- Hiscott, G. You Can Get Paid to Use Electricity in Your Own Home over Bank Holiday Weekend. 2020. Available online: https://www.mirror.co.uk/news/business/how-you-could-paid-use-22067181 (accessed on 22 December 2022).
- McHugh, S. We Paid Customers to Use Less Power at Peak Times. Here’s What Happened. 2022. Available online: https://octopus.energy/blog/results-big-dirty-turn-down-trial-paid-off-peak-energy/ (accessed on 22 December 2022).
- de Bekker, P. Smart Control Algorithm (v1.0.0). 2022. Available online: https://doi.org/10.5281/zenodo.7264002 (accessed on 22 December 2022).
- Scottish & Southern Electricity Networks. Energy Consumption Data of Thames Valley Vision, 2018. Data Retrieved from Scottish & Southern Electricity Networks. Available online: https://ukerc.rl.ac.uk/DC/cgi-bin/edc_search.pl?WantComp=147 (accessed on 1 March 2023).
- UK Power Networks. SmartMeter Energy Consumption Data in London Households, 2015. Data retrieved from London Datastore. Available online: https://data.london.gov.uk/dataset/smartmeter-energy-use-data-in-london-households (accessed on 22 December 2022).
- EnergyStatsUK. Octopus Agile Tariff Data London, 2022. Data Retrieved from EnergyStatsUK. Available online: https://www.energy-stats.uk/download-historical-pricing-data/ (accessed on 22 December 2022).
- May, G.J.; Davidson, A.; Monahov, B. Lead batteries for utility energy storage: A review. J. Energy Storage 2018, 15, 145–157. [Google Scholar] [CrossRef]
- Yanamandra, K.; Pinisetty, D.; Daoud, A.; Gupta, N. Recycling of Li-Ion and Lead Acid Batteries: A Review. J. Indian Inst. Sci. 2022, 102, 281–295. [Google Scholar] [CrossRef]
- Kebede, A.A.; Coosemans, T.; Messagie, M.; Jemal, T.; Behabtu, H.A.; Van Mierlo, J.; Berecibar, M. Techno-economic analysis of lithium-ion and lead-acid batteries in stationary energy storage application. J. Energy Storage 2021, 40, 102748. [Google Scholar] [CrossRef]
- Bila, M.; Opathella, C.; Venkatesh, B. Grid connected performance of a household lithium-ion battery energy storage system. J. Energy Storage 2016, 6, 178–185. [Google Scholar] [CrossRef]
- Hernández, L.; Baladrón, C.; Aguiar, J.M.; Calavia, L.; Carro, B.; Sánchez-Esguevillas, A.; Cook, D.J.; Chinarro, D.; Gómez, J. A Study of the Relationship between Weather Variables and Electric Power Demand inside a Smart Grid/Smart World Framework. Sensors 2012, 12, 11571–11591. [Google Scholar] [CrossRef]
- Antonopoulos, I.; Robu, V.; Couraud, B.; Kirli, D.; Norbu, S.; Kiprakis, A.; Flynn, D.; Elizondo-Gonzalez, S.; Wattam, S. Artificial intelligence and machine learning approaches to energy demand-side response: A systematic review. Renew. Sustain. Energy Rev. 2020, 130, 109899. [Google Scholar] [CrossRef]
- Robu, V.; Gerding, E.H.; Stein, S.; Parkes, D.C.; Rogers, A.; Jennings, N.R. An Online Mechanism for Multi-Unit Demand and Its Application to Plug-in Hybrid Electric Vehicle Charging. J. Artif. Intell. Res. (JAIR) 2013, 48, 175–230. [Google Scholar] [CrossRef]
- Gerding, E.; Stein, S.; Ceppi, S.; Robu, V. Online mechanism design for vehicle-to-grid car parks. In Proceedings of the 25th International Joint Conference on Artificial Intelligence (IJCAI’16), New York, NY, USA, 9–15 July 2016; ACM Press: New York, NY, USA, 2016; pp. 286–293. [Google Scholar]
- Kota, R.; Chalkiadakis, G.; Robu, V.; Rogers, A.; Jennings, N.R. Cooperatives for demand side management. In Proceedings of the 7th Conference on Prestigious Applications of Intelligent Systems (PAIS @ ECAI 2012), Montpellier, France, 29–30 August 2012; pp. 969–974. [Google Scholar]
- Ma, H.; Robu, V.; Li, N.; Parkes, D.C. Incentivizing reliability in demand-side response. In Proceedings of the 25th International Joint Conference on Artificial Intelligence (IJCAI’16), New York, NY, USA, 9–15 July 2016; pp. 352–358. [Google Scholar]
- Ma, H.; Parkes, D.; Robu, V. Generalizing demand response through reward bidding. In Proceedings of the 16th International Conference on Autonomous Agents and Multiagent Systems, AAMAS 2017, Sao Paulo, Brazil, 8–12 May 2017; pp. 60–68. [Google Scholar]
- Royapoor, M.; Pazhoohesh, M.; Davison, P.J.; Patsios, C.; Walker, S. Building as a virtual power plant, magnitude and persistence of deferrable loads and human comfort implications. Energy Build. 2020, 213, 109794. [Google Scholar] [CrossRef]













| Setup | Thames Dataset | London Dataset |
|---|---|---|
| No generated power and no battery | ||
| Generated power and no battery |
| Base Comparison | Thames Dataset | London Dataset |
|---|---|---|
| No generated power and no battery | Avg: , Max: | Avg: , Max: |
| Generated power and no battery | Avg: , Max: | Avg: , Max: |
| Base Comparison | Thames Dataset | London Dataset |
|---|---|---|
| No generated power and no battery | Avg: , Min: | Avg: , Min: |
| Generated power and no battery | Avg: , Min: | Avg: , Min: |
| Base Comparison | Thames Dataset | London Dataset |
|---|---|---|
| No generated power and no battery | Avg: , Min: | Avg: , Min: |
| Generated power and no battery | Avg: , Min: | Avg: , Min: |
| Base Comparison | Thames Dataset | London Dataset |
|---|---|---|
| No generated power and no battery | Avg: , Min: | Avg: , Min: |
| Generated power and no battery | Avg: , Min: | Avg: , Min: |
Disclaimer/Publisher’s Note: The statements, opinions and data contained in all publications are solely those of the individual author(s) and contributor(s) and not of MDPI and/or the editor(s). MDPI and/or the editor(s) disclaim responsibility for any injury to people or property resulting from any ideas, methods, instructions or products referred to in the content. |
© 2023 by the authors. Licensee MDPI, Basel, Switzerland. This article is an open access article distributed under the terms and conditions of the Creative Commons Attribution (CC BY) license (https://creativecommons.org/licenses/by/4.0/).
Share and Cite
de Bekker, P.; Cremers, S.; Norbu, S.; Flynn, D.; Robu, V. Improving the Efficiency of Renewable Energy Assets by Optimizing the Matching of Supply and Demand Using a Smart Battery Scheduling Algorithm. Energies 2023, 16, 2425. https://doi.org/10.3390/en16052425
de Bekker P, Cremers S, Norbu S, Flynn D, Robu V. Improving the Efficiency of Renewable Energy Assets by Optimizing the Matching of Supply and Demand Using a Smart Battery Scheduling Algorithm. Energies. 2023; 16(5):2425. https://doi.org/10.3390/en16052425
Chicago/Turabian Stylede Bekker, Philippe, Sho Cremers, Sonam Norbu, David Flynn, and Valentin Robu. 2023. "Improving the Efficiency of Renewable Energy Assets by Optimizing the Matching of Supply and Demand Using a Smart Battery Scheduling Algorithm" Energies 16, no. 5: 2425. https://doi.org/10.3390/en16052425
APA Stylede Bekker, P., Cremers, S., Norbu, S., Flynn, D., & Robu, V. (2023). Improving the Efficiency of Renewable Energy Assets by Optimizing the Matching of Supply and Demand Using a Smart Battery Scheduling Algorithm. Energies, 16(5), 2425. https://doi.org/10.3390/en16052425

