Reservoir Characteristics of Normally Pressured Shales from the Periphery of Sichuan Basin: Insights into the Pore Development Mechanism
Abstract
1. Introduction
2. Geological Background
3. Sample and Experiments
3.1. Sample Preparation
3.2. Experiments
3.2.1. X-ray Diffraction Analysis
3.2.2. Total Organic Carbon Content
3.2.3. Pore Size Distribution by Low-Temperature Nitrogen Adsorption
3.2.4. Porosity and Permeability
4. Results
4.1. Mineralogy
4.2. Organic Matter Characteristics
4.3. Pore Types from SEM
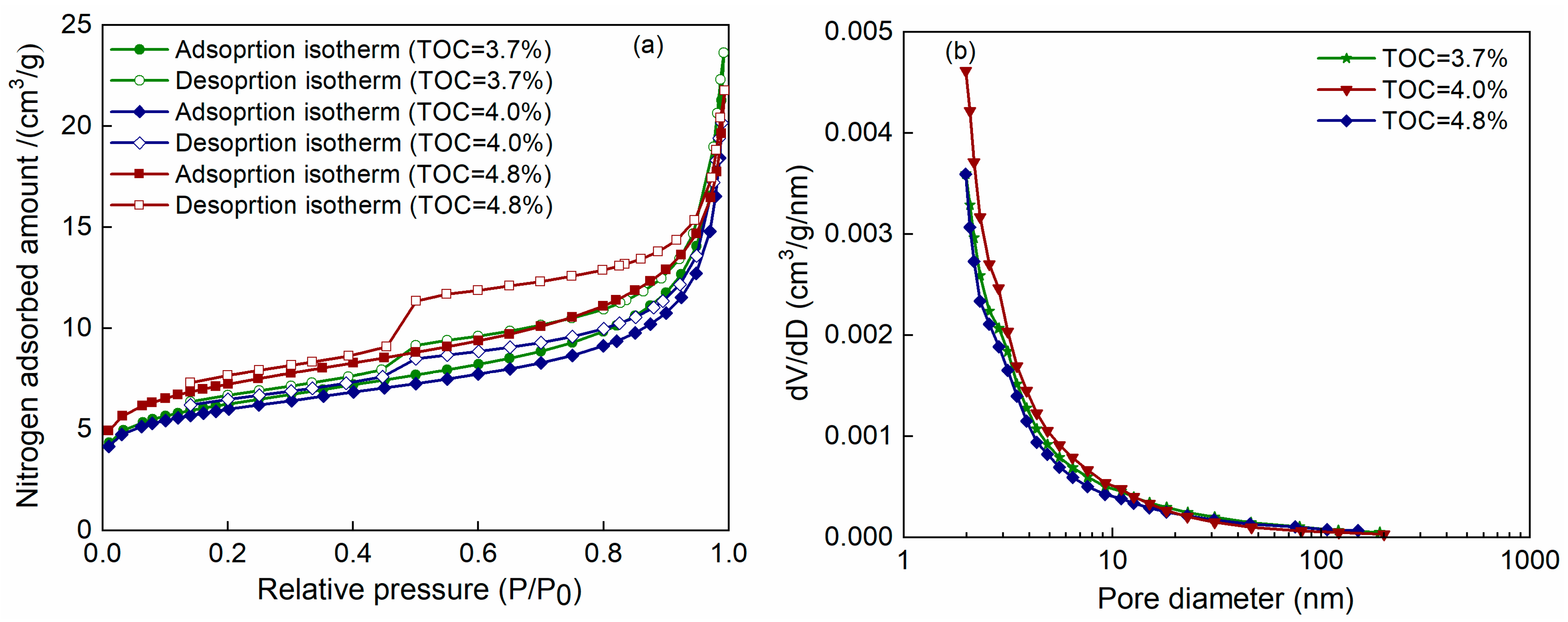
4.4. Pore Size Distribution by Low-Temperature Nitrogen Adsorption
4.5. Porosity and Permeability of Shales
5. Discussion
5.1. Effect of Organic and Inorganic Minerals on Pore Development of Shales
5.2. Effect of Preservation Conditions on the Normally Pressured Shale Reservoir
6. Conclusions
- (1)
- Shales from the O3W-S1L Formation of the Anchang syncline are mainly siliceous lithofacies with high quartz contents and TOC contents. The quartz content of these shales ranges between 50% and 65.1%, with an average of more than 57%, while the TOC contents of the studied shales are mainly between 3–6%, with an average of 4.4%. The quartz of these shales in the studied area outside of the Sichuan Basin is of biogenic origin.
- (2)
- The total porosity of shales in the studied area outside of the Sichuan Basin is low, with an average value of about 2.9%. Organic matter pores create the main space for the normally pressured shale gas, which is verified by the relationship between the TOC content and porosity of these shales. Organic matter contributes about 48–72% to the porosity, while clays contribute about 24.2–50% to the porosity of the investigated shales. However, the organic matter pores are poorly preserved or compressed due to severe tectonic movements at the Anchang syncline. Pore sizes of the organic matter pores of the normally pressured shales at the Anchang syncline are small, while the inorganic matter-related pores are mainly polygonal pores or narrow slit pores.
- (3)
- Tectonic movement significantly affects the shale gas reservoir characteristics and gas pressure in the periphery of the Sichuan Basin. Compared with the interior Sichuan Basin, shale formations at the Anchang syncline are uplifted earlier and denuded seriously. Compared to shales inside the Sichuan Basin, the effective thickness of shale formation outside of Sichuan Basin is thinner (23–25 m, compared to 40 m inside Sichuan Basin) and the dip angle of the shale formation is larger (20~45°, compared to 5° inside Sichuan Basin). The thin formation thickness and high dip angle lead to the significant dissipation of natural gas along the bedding plane of the shale formation.
- (4)
- The O3W-S1L shales on the Anchang syncline outside the Sichuan Basin have similar provenance to that of the interior Sichuan Basin. Both the TOC contents and the brittle minerals contents of shales outside of the Sichuan Basin are close to that of shales inside the Sichuan Basin. However, the preservation conditions for shale gas at the periphery of the Sichuan Basin are unfavorable. The severe shale gas leaking leads to reservoir pressure decreasing to that of normal pressure. This is probably why shale gas outside of the Sichuan Basin is normally pressured.
Author Contributions
Funding
Data Availability Statement
Conflicts of Interest
References
- Rezaee, R. Fundamentals of Gas Shale Reservoirs; John Wiley & Sons: New York, NY, USA, 2015. [Google Scholar]
- Wang, S.; Wang, J.; Zhang, Y.; Li, D.; Jiao, W.; Wang, J.; Lei, Z.; Yu, Z.; Zha, X.; Tan, X. Relationship between Organic Geochemistry and Reservoir Characteristics of the Wufeng-Longmaxi Formation Shale in Southeastern Chongqing, SW China. Energies 2021, 14, 6716. [Google Scholar] [CrossRef]
- Li, Z.; Jiang, Z.; Yu, H.; Liang, Z. Organic Matter Pore Characterization of the Wufeng-Longmaxi Shales from the Fuling Gas Field, Sichuan Basin: Evidence from Organic Matter Isolation and Low-Pressure CO2 and N-2 Adsorption. Energies 2019, 12, 1207. [Google Scholar] [CrossRef]
- Piane, C.D.; Ansari, H.; Li, Z.; Mata, J.; Rickard, W.; Pini, R.; Dewhurst, D.N.; Sherwood, N. Influence of organic matter type on porosity development in the Wufeng-Longmaxi Shale: A combined microscopy, neutron scattering and physisorption approach. Int. J. Coal Geol. 2021, 249, 103880. [Google Scholar] [CrossRef]
- Curtis, M.E.; Sondergeld, C.H.; Ambrose, R.J.; Rai, C.S. Microstructural investigation of gas shales in two and three dimensions using nanometer-scale resolution imaging. AAPG Bull. 2012, 96, 665–677. [Google Scholar] [CrossRef]
- Ross, D.J.K.; Bustin, R.M. The importance of shale composition and pore structure upon gas storage potential of shale gas reservoirs. Mar. Petrol. Geol. 2009, 26, 916–927. [Google Scholar] [CrossRef]
- Ma, Y.; Cai, X.; Zhao, P. China’s shale gas exploration and development: Understanding and practice. Petrol. Explor. Dev. 2018, 45, 589–603. [Google Scholar] [CrossRef]
- Yang, F.; Ning, Z.; Wang, Q.; Liu, H. Pore structure of Cambrian shales from the Sichuan Basin in China and implications to gas storage. Mar. Petrol. Geol. 2016, 70, 14–26. [Google Scholar] [CrossRef]
- Topór, T.; Derkowski, A.; Ziemiański, P.; Szczurowski, J.; Mccarty, D.K. The effect of organic matter maturation and porosity evolution on methane storage potential in the Baltic Basin (Poland) shale-gas reservoir. Int. J. Coal Geol. 2017, 180, 46–56. [Google Scholar] [CrossRef]
- Zhan, H.; Fang, F.; Li, X.; Hu, Z.; Zhang, J. Shale Reservoir Heterogeneity: A Case Study of Organic-Rich Longmaxi Shale in Southern Sichuan, China. Energies 2022, 15, 913. [Google Scholar] [CrossRef]
- Soto, J.; Hudec, M.R.; Mondol, N.H.; Heidari, M. Shale transformations and physical properties—Implications for seismic expression of mobile shales. Earth-Sci. Rev. 2021, 220, 103746. [Google Scholar] [CrossRef]
- Hart, B.S.; Schieber, J.; Kalinec, J. Clay diagenesis and overpressure development in Upper Cretaceous and Tertiary shales of South Texas. Mar. Petrol. Geol. 2023, 147, 105978. [Google Scholar] [CrossRef]
- Xu, S.; Gou, Q.; Hao, F.; Zhang, B.; Shu, Z.; Lu, Y.; Wang, Y. Shale pore structure characteristics of the high and low productivity wells, Jiaoshiba shale gas field, Sichuan Basin, China: Dominated by lithofacies or preservation condition? Mar. Petrol. Geol. 2020, 114, 104211. [Google Scholar] [CrossRef]
- Clarkson, C.R.; Solano, N.; Bustin, R.M.; Bustin, A.M.M.; Chalmers, G.R.L.; He, L.; Melnichenko, Y.B.; Radlinski, A.P.; Blach, T.P. Pore structure characterization of North American shale gas reservoirs using USANS/SANS, gas adsorption, and mercury intrusion. Fuel 2013, 103, 606–616. [Google Scholar] [CrossRef]
- Schwartz, B.; Huffman, K.; Thornton, D.; Elsworth, D. The effects of mineral distribution, pore geometry, and pore density on permeability evolution in gas shales. Fuel 2019, 257, 116005. [Google Scholar] [CrossRef]
- Ko, L.T.; Ruppel, S.C.; Loucks, R.G.; Hackley, P.C.; Zhang, T.; Shao, D. Pore-types and pore-network evolution in Upper Devonian-Lower Mississippian Woodford and Mississippian Barnett mudstones: Insights from laboratory thermal maturation and organic petrology. Int. J. Coal Geol. 2018, 190, 3–28. [Google Scholar] [CrossRef]
- Milliken, K.L.; Olson, T. Silica diagenesis, porosity evolution, and mechanical behavior in siliceous mudstones, Mowry Shale (Cretaceous), Rocky Mountains, U.S.A. J. Sediment. Res. 2017, 87, 366–387. [Google Scholar] [CrossRef]
- Zhang, D.; Li, Y.; Zhang, J.; Qiao, D.; Jiang, W.; Zhang, J. Investigation and Evaluation of Shale Gas Resource Potential in China; Geological Publishing House: Beijing, China, 2012. [Google Scholar]
- Jing, T.; Zhang, J.; Xu, S.; Liu, Z.; Han, S. Critical geological characteristics and gas-bearing controlling factors in Longmaxi shales in southeastern Chongqing, China. Energ. Explor. Exploit. 2016, 34, 42–60. [Google Scholar] [CrossRef]
- Lan, B.; Zhao, F.; Li, S.; Jiang, H.; Liu, S.; Zhang, Z. Investigation of the enrichment and accumulation of normal pressure shale gas in Anchang syncline outside of Sichuan Basin. Front. Earth Sci. 2022, 9, 802142. [Google Scholar] [CrossRef]
- Zhang, Q.; Grohmann, S.; Xu, X.; Littke, R. Depositional environment and thermal maturity of the coal-bearing Longtan Shale in southwest Guizhou, China: Implications for shale gas resource potential. Int. J. Coal Geol. 2020, 231, 103607. [Google Scholar] [CrossRef]
- Hao, F.; Zou, H.; Lu, Y. Mechanisms of shale gas storage: Implications for shale gas exploration in China. AAPG Bull. 2013, 97, 1325–1346. [Google Scholar] [CrossRef]
- Sun, W.; Zuo, Y.; Wu, Z.; Liu, H.; Zheng, L.; Wang, H.; Shui, Y.; Lou, Y.; Xi, S.; Li, T.; et al. Pore characteristics and evolution mechanism of shale in a complex tectonic area: Case study of the Lower Cambrian Niutitang Formation in Northern Guizhou, Southwest China. J. Petrol. Sci. Eng. 2020, 193, 107373. [Google Scholar] [CrossRef]
- Guo, T.; Zhang, H. Formation and enrichment mode of Jiaoshiba shale gas field, Sichuan Basin. Petrol. Explor. Dev. 2014, 41, 31–40. [Google Scholar] [CrossRef]
- GB/T 19145-2003; Determination of total organic carbon in sedimentary rock. Standards Press of China: Beijing, China, 2003.
- Gregg, S.J.; Sing, K.S.W. Adsorption, Surface Area and Porosity, 2nd ed.; Academic Press: New York, NY, USA, 1982. [Google Scholar]
- Bertier, P.; Schweinar, K.; Stanjek, H.; Ghanizadeh, A.; Clarkson, C.R.; Busch, A.; Kampman, N.; Prinz, D.; Amann-Hildenbrand, A.; Krooss, B.M.; et al. On the Use and Abuse of N2 Physisorption for the Characterisation of the Pore Structure of Shales; The Clay Minerals Society Workshop Lectures Series; Clay Minerals Society: Chantilly, VA, USA, 2016; Volume 21, Chapter 12; pp. 151–161. [Google Scholar]
- Fink, R.; Krooss, B.M.; Amann-Hildenbrand, A. Stress-dependence of porosity and permeability of the Upper Jurassic Bossier shale: An experimental study. Geol. Soc. Spec. Public 2017, 454, 107–130. [Google Scholar] [CrossRef]
- Yang, F.; Zheng, H.; Lyu, B.; Wang, F.; Guo, Q.; Xu, H. Experimental Investigation about Gas Transport in Tight Shales: An Improved Relationship between Gas Slippage and Petrophysical Properties. Energy Fuels 2021, 35, 3937–3950. [Google Scholar] [CrossRef]
- Yang, F.; Xu, S.; Hao, F.; Hu, B.; Zhang, B.; Shu, Z.; Long, S. Petrophysical characteristics of shales with different lithofacies in Jiaoshiba area, Sichuan Basin, China: Implications for shale gas accumulation mechanism. Mar. Petrol. Geol. 2019, 109, 394–407. [Google Scholar] [CrossRef]
- Xu, S.; Hao, F.; Shu, Z.; Zhang, A.; Yang, F. Pore structures of different types of shales and shale gas exploration of the Ordovician Wufeng and Silurian Longmaxi successions in the eastern Sichuan Basin, South China. J. Asian Earth Sci. 2020, 193, 104271. [Google Scholar] [CrossRef]
- Rybacki, E.; Meier, T.; Dresen, G. What controls the mechanical properties of shale rocks?—Part II: Brittleness. J. Pet. Sci. Eng. 2016, 144, 39–58. [Google Scholar] [CrossRef]
- Moghadam, A.; Harris, N.B.; Ayranci, K.; Gomez, J.S.; Angulo, N.A.; Chalaturnyk, R. Brittleness in the Devonian horn river shale, British columbia, Canada. J. Nat. Gas Sci. Eng. 2019, 62, 247–258. [Google Scholar] [CrossRef]
- Gholami, R.; Rasouli, V.; Sarmadivaleh, M.; Minaeian, V.; Fakhari, N. Brittleness of gas shale reservoirs: A case study from the north Perth basin, Australia. J. Nat. Gas. Sci. Eng. 2016, 33, 1244–1259. [Google Scholar] [CrossRef]
- Yang, F.; Ning, Z.; Zhang, R.; Zhao, H.; Krooss, B.M. Investigations on the methane sorption capacity of marine shales from Sichuan Basin, China. Int. J. Coal Geol. 2015, 146, 104–117. [Google Scholar] [CrossRef]
- Mei, L.; Liu, Z.; Tang, J.; Shen, C.; Fan, Y. Mesozoic Intra-Continental Progressive Deformation in Western Hunan-Hubei-Eastern Sichuan Provinces of China: Evidence from Apatite Fission Track and Balanced Cross-Section. Earth Sci. J. China Univ. Geosci. 2010, 35, 161–174. [Google Scholar]
- Guo, X.; Hu, D.; Li, Y.; Wei, Z.; Wei, X.; Liu, Z. Geological factors controlling shale gas enrichment and high production in Fuling shale gas field. Petrol. Explor. Dev. 2017, 44, 513–523. [Google Scholar] [CrossRef]
- Landry, C.J.; Eichhubl, P.; Prodanović, M.; Wilkins, S. Nanoscale grain boundary channels in fracture cement enhance flow in mudrocks. J. Geophys. Res. Solid Earth 2016, 121, 3366–3376. [Google Scholar] [CrossRef]
- Yin, Y.; Qu, Z.G.; Zhang, T.; Zhang, J.F.; Wang, Q.Q. Three-dimensional pore-scale study of methane gas mass diffusion in shale with spatially heterogeneous and anisotropic features. Fuel 2020, 273, 117750. [Google Scholar] [CrossRef]
- Yudhowijoyo, A.; Rafati, R.; Sharifi Haddad, A.; Raja, M.S.; Hamidi, H. Subsurface methane leakage in unconventional shale gas reservoirs: A review of leakage pathways and current sealing techniques. J. Nat. Gas Sci. Eng. 2018, 54, 309–319. [Google Scholar] [CrossRef]
- Schwartz, M.O. Modelling the hypothetical methane-leakage in a shale-gas project and the impact on groundwater quality. Environ. Earth Sci. 2015, 73, 4619. [Google Scholar] [CrossRef]
- Schowalter, T.T. Mechanics of secondary hydrocarbon migration and entrapment. AAPG Bull. 1979, 63, 723–760. [Google Scholar]
- Zhang, Y.; Jiang, S.; He, Z.; Li, Y.; Xiao, D.; Chen, G.; Zhao, J. Coupling between Source Rock and Reservoir of Shale Gas in Wufeng-Longmaxi Formation in Sichuan Basin, South China. Energies 2021, 14, 2679. [Google Scholar] [CrossRef]
- Knapp, L.J.; Ardakani, O.H.; Uchida, S.; Nanjo, T.; Otomo, C.; Hattori, T. The influence of rigid matrix minerals on organic porosity and pore size in shale reservoirs: Upper Devonian Duvernay Formation, Alberta, Canada. Int. J. Coal Geol. 2020, 227, 103525. [Google Scholar] [CrossRef]
- Lohr, S.C.; Baruch, E.T.; Hall, P.A.; Kennedy, M.J. Is organic pore development in gas shales influenced by the primary porosity and structure of thermally immature organic matter? Org. Geochem. 2015, 87, 119–132. [Google Scholar] [CrossRef]









Disclaimer/Publisher’s Note: The statements, opinions and data contained in all publications are solely those of the individual author(s) and contributor(s) and not of MDPI and/or the editor(s). MDPI and/or the editor(s) disclaim responsibility for any injury to people or property resulting from any ideas, methods, instructions or products referred to in the content. |
© 2023 by the authors. Licensee MDPI, Basel, Switzerland. This article is an open access article distributed under the terms and conditions of the Creative Commons Attribution (CC BY) license (https://creativecommons.org/licenses/by/4.0/).
Share and Cite
Feng, B.; Yu, J.; Yang, F.; Zhang, Z.; Xu, S. Reservoir Characteristics of Normally Pressured Shales from the Periphery of Sichuan Basin: Insights into the Pore Development Mechanism. Energies 2023, 16, 2166. https://doi.org/10.3390/en16052166
Feng B, Yu J, Yang F, Zhang Z, Xu S. Reservoir Characteristics of Normally Pressured Shales from the Periphery of Sichuan Basin: Insights into the Pore Development Mechanism. Energies. 2023; 16(5):2166. https://doi.org/10.3390/en16052166
Chicago/Turabian StyleFeng, Bing, Jiliang Yu, Feng Yang, Zhiyao Zhang, and Shang Xu. 2023. "Reservoir Characteristics of Normally Pressured Shales from the Periphery of Sichuan Basin: Insights into the Pore Development Mechanism" Energies 16, no. 5: 2166. https://doi.org/10.3390/en16052166
APA StyleFeng, B., Yu, J., Yang, F., Zhang, Z., & Xu, S. (2023). Reservoir Characteristics of Normally Pressured Shales from the Periphery of Sichuan Basin: Insights into the Pore Development Mechanism. Energies, 16(5), 2166. https://doi.org/10.3390/en16052166

