Transient Hydrodynamic Behavior of a Pump as Turbine with Varying Rotating Speed
Abstract
1. Introduction
2. Numerical Methods
2.1. Governing Equations and Turbulence Model
2.2. Models
2.3. Mesh Generation
2.4. Impeller Rational Speed
2.5. Numerical Setting
2.6. Numerical Method Validation
3. Result
3.1. Variation in Rotating Speed
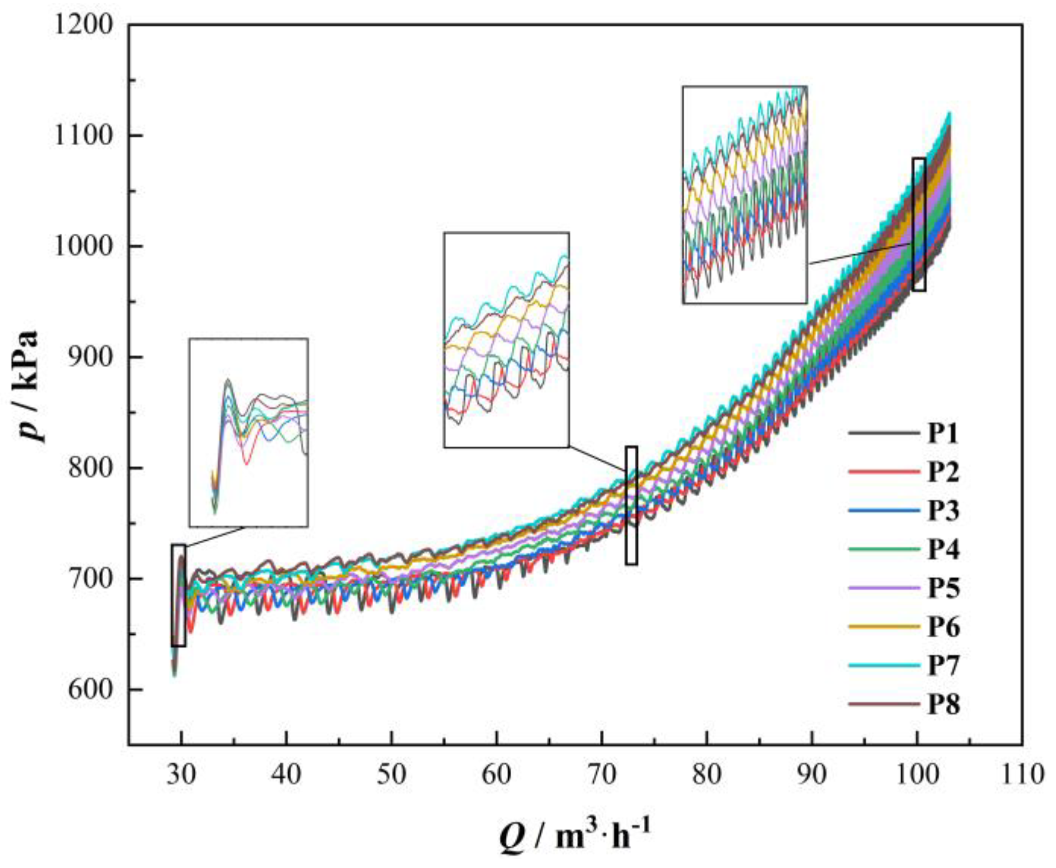
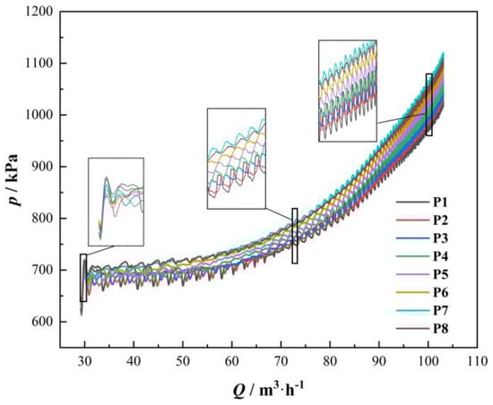
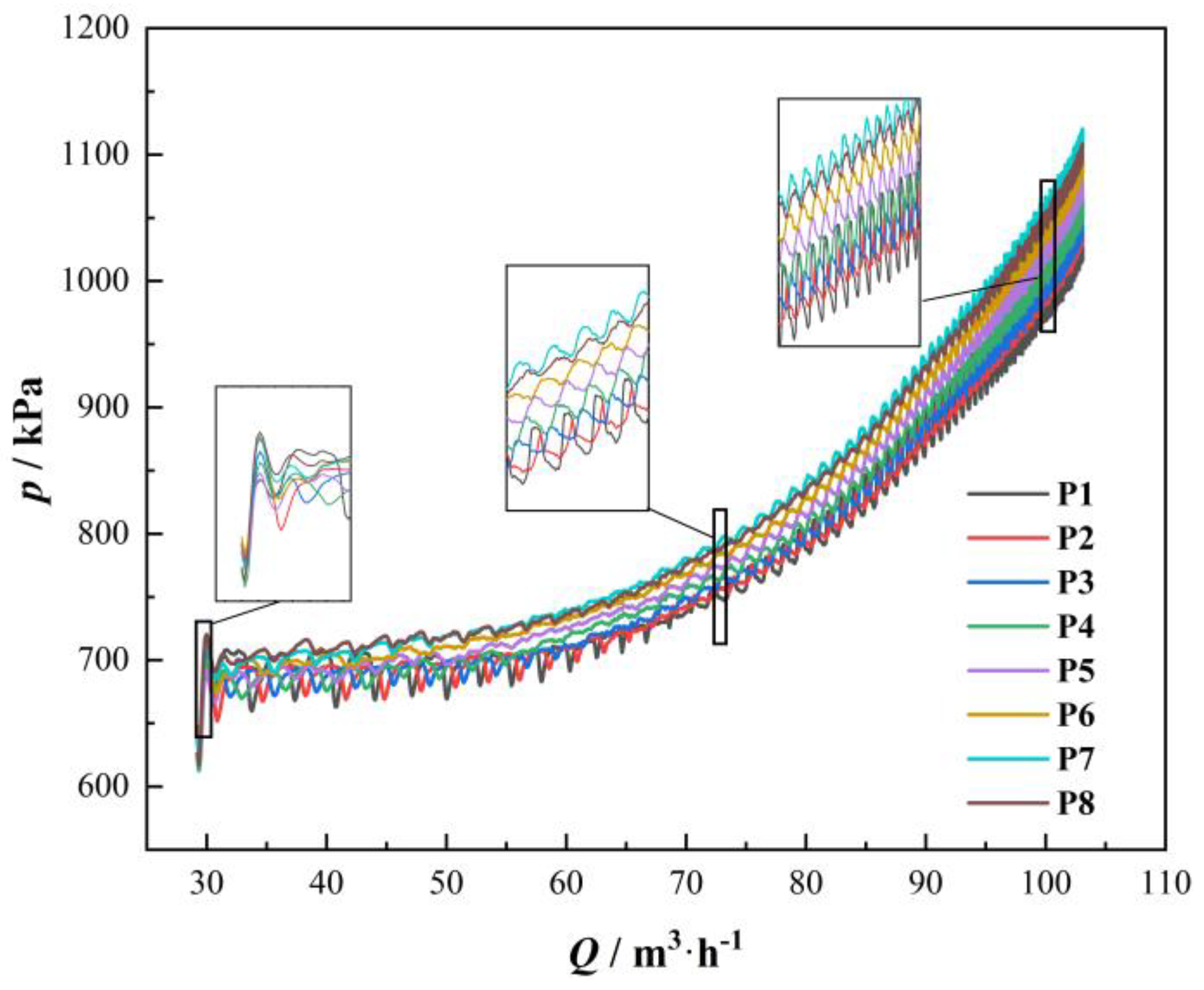
3.2. External Characteristic Curve
3.3. Internal Flow Field
3.4. Stability
3.5. Forces
4. Conclusions
Author Contributions
Funding
Institutional Review Board Statement
Data Availability Statement
Conflicts of Interest
References
- Williams, A.A. Pumps as Turbines Used with Induction Generators for Stand-Alone Micro-Hydroelectric Power Plants; ProQuest LLC: Ann Arbor, MI, USA, 1992. [Google Scholar]
- Chapallaz, J.M.; Eichenberger, P.; Fischer, G. Manual on Pumps Used as Turbines; Informatica International, Incorporated: Redwood City, CA, USA, 1992. [Google Scholar]
- Buono, D.; Frosina, E.; Mazzone, A.; Cesaro, U.; Senatore, S. Study of a pump as turbine for a hydraulic urban network using a tridimensional CFD modeling methodology. Energy Procedia 2015, 82, 201–208. [Google Scholar] [CrossRef]
- Ansari, B.; Aligholami, M.; Rostamzadeh Khosroshahi, A. An experimental and numerical investigation into using hydropower plant on oil transmission lines. Energy Sci. Eng. 2022, 10, 4397–4410. [Google Scholar] [CrossRef]
- Landry, M.; Gagnon, Y. Energy Storage: Technology Applications and Policy Options. Energy Procedia 2015, 79, 315–320. [Google Scholar] [CrossRef]
- Kong, Y.; Kong, Z.; Liu, Z.; Wei, C.; Zhang, J.; An, G. Pumped storage power stations in China: The past, the present, and the future. Renew. Sustain. Energy Rev. 2017, 71, 720–731. [Google Scholar] [CrossRef]
- Goyal, R.; Gandhi, B.K. Review of hydrodynamics instabilities in Francis turbine during off-design and transient operations. Renew. Energy 2017, 116, 697–709. [Google Scholar] [CrossRef]
- Weiyun, S. Theoretical analysis of statistical characteristics of casing pressure at turbine load rejection in Tianhuangping pumped storage station. J. Hydroelectr. Eng. 2005, 24, 79–82. [Google Scholar]
- Chen, S.; Zhang, J.; Li, G.; Yu, X. Influence Mechanism of Geometric Characteristics of Water Conveyance System on Extreme Water Hammer during Load Rejection in Pumped Storage Plants. Energies 2019, 12, 2854. [Google Scholar] [CrossRef]
- Derakhshan, S.; Nourbakhsh, A. Experimental study of characteristic curves of centrifugal pumps working as turbines in different specific speeds. Exp. Therm. Fluid Sci. 2008, 32, 800–807. [Google Scholar] [CrossRef]
- Stefanizzi, M.; Torresi, M.; Fortunato, B.; Camporeale, S.M. Experimental investigation and performance prediction modeling of a single stage centrifugal pump operating as turbine. Energy Procedia 2017, 126, 589–596. [Google Scholar] [CrossRef]
- Tsukamoto, H.; Yoneda, H.; Sagara, K. The Response of a Centrifugal Pump to Fluctuating Rotational Speed. J. Fluids Eng. 1995, 117, 479–484. [Google Scholar] [CrossRef]
- Grover, R.B.; Koranne, S.M. Analysis of pump start-up transients. Nucl. Eng. Des. 1981, 67, 137–141. [Google Scholar] [CrossRef]
- Dazin, A.; Caignaert, G.; Bois, G. Transient behavior of turbomachineries: Applications to radial flow pump startups. J. Fluids Eng. 2007, 129, 1436–1444. [Google Scholar] [CrossRef]
- Tanaka, T.; Toyomoto, T.; Nasu, K. (Eds.) Transient Characteristics of a Centrifugal Pump at Rapid Startup. J. Phys. Conf. Ser. 2021, 1909, 012032. [Google Scholar] [CrossRef]
- Chalghoum, I.; Elaoud, S.; Akrout, M.; Hadj Taieb, E. Transient behavior of a centrifugal pump during starting period. Appl. Acoust. 2016, 109, 82–89. [Google Scholar] [CrossRef]
- Feng, J.; Ge, Z.; Zhang, Y.; Zhu, G.; Wu, G.; Lu, J.; Luo, X. Numerical investigation on characteristics of transient process in centrifugal pumps during power failure. Renew. Energy 2021, 170, 267–276. [Google Scholar] [CrossRef]
- Gülich, J.F. Centrifugal Pumps; Springer: Berlin/Heidelberg, Germany, 2008. [Google Scholar]
- Wu, D.; Wu, P.; Li, Z.; Wang, L. The transient flow in a centrifugal pump during the discharge valve rapid opening process. Nucl. Eng. Des. 2010, 240, 4061–4068. [Google Scholar] [CrossRef]
- Li, Z.; Wu, D.; Wang, L.; Huang, B. Numerical simulation of the transient flow in a centrifugal pump during starting period. J. Fluids Eng. 2010, 132, 081102. [Google Scholar] [CrossRef]
- Zhou, W.; Yu, D.; Wang, Y.; Shi, J.; Gan, B. Research on the Fluid-Induced Excitation Characteristics of the Centrifugal Pump Considering the Compound Whirl Effect. Facta Univ. Ser. Mech. Eng. 2021. [Google Scholar] [CrossRef]
- Zhang, D.S.; Shi, W.D.; Bin, C.; Guan, X.-f. Unsteady flow analysis and experimental investigation of axial-flow pump. J. Hydrodyn. Ser. B 2010, 22, 35–43. [Google Scholar] [CrossRef]
- Su, X.H.; Huang, S.; Zhang, X.J.; Yang, S. Numerical research on unsteady flow rate characteristics of pump as turbine. Renew. Energy 2016, 94, 488–495. [Google Scholar] [CrossRef]
- Li, X.; Chang, J.; Tang, X. (Eds.) New calculated theory of hydraulic machine installation transients in large pumped storage plant. In Proceedings of the 2011 International Conference on Electric Technology and Civil Engineering (ICETCE), Lushan, China, 22–24 April 2011. [Google Scholar]
- Wilcox, D.C. Reassessment of the scale-determining equation for advanced turbulence models. AIAA J. 1988, 26, 1299–1310. [Google Scholar] [CrossRef]
- Mao, J.Y.; Yuan, S.Q.; Pei, J.; Zhang, J.F.; Wang, W.J. Applications of different turbulence models in simulations of a large annular volute-type pump with the diffuser. IOP Conf. Ser. Earth Environ. Sci. 2014, 22, 022019. [Google Scholar] [CrossRef]
- Hu, J.; Su, X.; Huang, X.; Wu, K.; Jin, Y.; Chen, C.; Chen, X. Hydrodynamic Behavior of a Pump as Turbine under Transient Flow Conditions. Processes 2022, 10, 408. [Google Scholar] [CrossRef]


















| Parameters | Value |
|---|---|
| Impeller inlet diameter, D1/mm | 169 |
| Impeller outlet diameter, D2/mm | 86 |
| Blade inlet width, b1/mm | 14 |
| Blade outlet width, b2/mm | 26 |
| Blade inlet angle, β1/° | 30 |
| Blade outlet angle, β2/° | 15 |
| Blade wrap angle, Φ/° | 142 |
| Number of blades, Z | 6 |
| Specific speed, Nsd | 90 |
| Design flow rate, Qd/m3·h−1 | 80 |
| Design head, Hd/m | 54 |
| Rated speed, Nd/rpm | 2900 |
Disclaimer/Publisher’s Note: The statements, opinions and data contained in all publications are solely those of the individual author(s) and contributor(s) and not of MDPI and/or the editor(s). MDPI and/or the editor(s) disclaim responsibility for any injury to people or property resulting from any ideas, methods, instructions or products referred to in the content. |
© 2023 by the authors. Licensee MDPI, Basel, Switzerland. This article is an open access article distributed under the terms and conditions of the Creative Commons Attribution (CC BY) license (https://creativecommons.org/licenses/by/4.0/).
Share and Cite
Hu, J.; Su, W.; Li, K.; Wu, K.; Xue, L.; He, G. Transient Hydrodynamic Behavior of a Pump as Turbine with Varying Rotating Speed. Energies 2023, 16, 2071. https://doi.org/10.3390/en16042071
Hu J, Su W, Li K, Wu K, Xue L, He G. Transient Hydrodynamic Behavior of a Pump as Turbine with Varying Rotating Speed. Energies. 2023; 16(4):2071. https://doi.org/10.3390/en16042071
Chicago/Turabian StyleHu, Jianxin, Wenfeng Su, Ke Li, Kexin Wu, Ling Xue, and Guolei He. 2023. "Transient Hydrodynamic Behavior of a Pump as Turbine with Varying Rotating Speed" Energies 16, no. 4: 2071. https://doi.org/10.3390/en16042071
APA StyleHu, J., Su, W., Li, K., Wu, K., Xue, L., & He, G. (2023). Transient Hydrodynamic Behavior of a Pump as Turbine with Varying Rotating Speed. Energies, 16(4), 2071. https://doi.org/10.3390/en16042071

