Review on Soft Computing-Based Controllers for Frequency Regulation of Diverse Traditional, Hybrid, and Future Power Systems
Abstract
1. Introduction
1.1. Motivation
1.2. Contributions
2. Survey of Various LFC Models and Optimisation Techniques
2.1. Single-Area Power System
2.2. Two-Area Power System
2.3. Three Area Power System
2.4. Four-Area Power System
2.5. Multi-Area Power System
2.6. Microgrid and Smart Grid
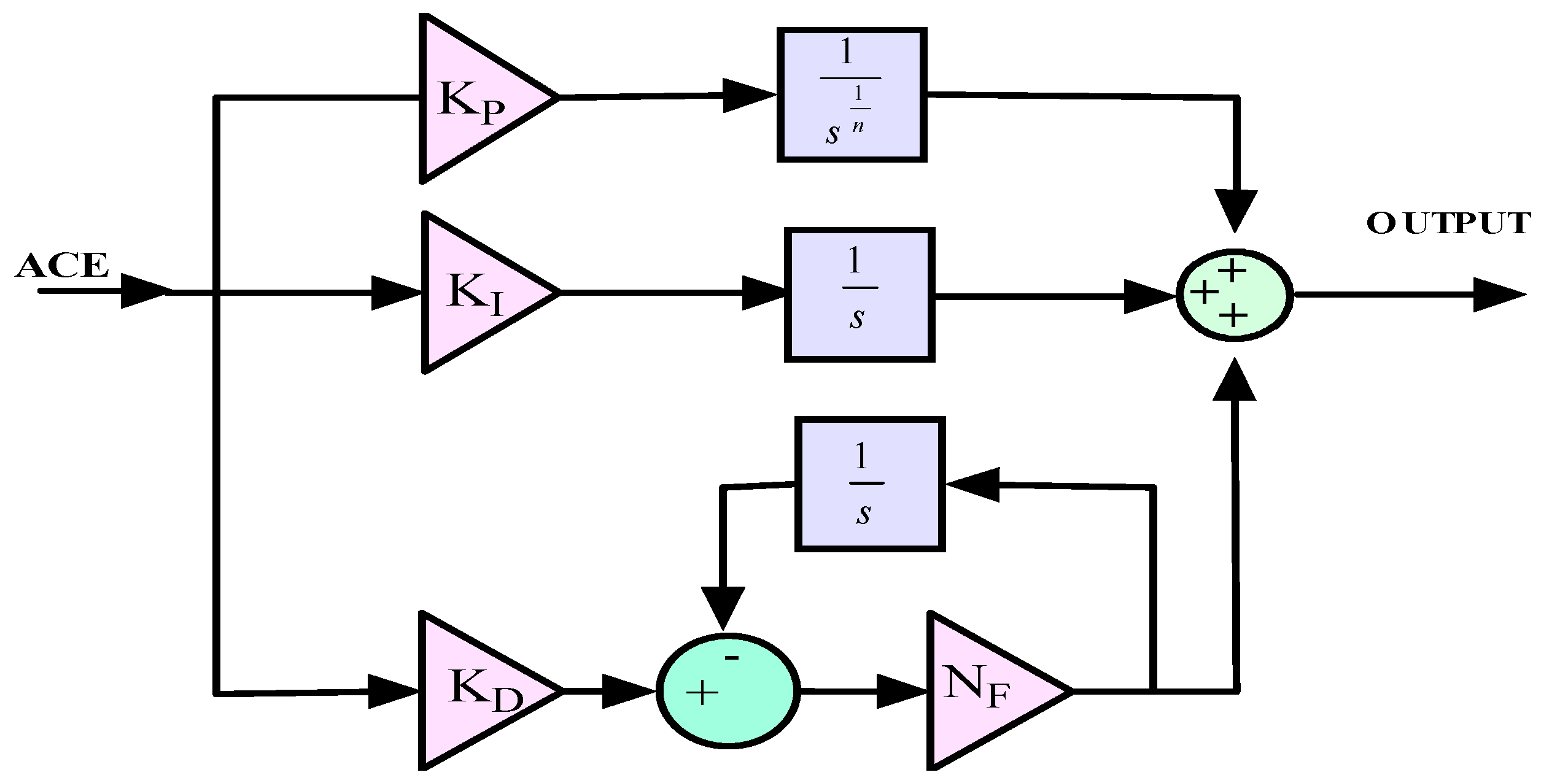
3. Soft-Computing-Based Controller for LFC
- (i)
- Primary frequency control: Changing a generating unit's power versus frequency in accordance with its static generation characteristic as stablished by the speed governor settings constitutes primary control. Restoring generation and demand balance within the synchronous area at a frequency other than the nominal value is the goal of primary control. This is done at the expense of the rotating masses of the producing units and associated motors' kinetic energy. After the generation and demand balance has been disturbed, the primary control action time is 0 to 30 s.
- (ii)
- Secondary frequency control: Utilizing a central regulator, secondary control modifies the active power set points of generating sets that are subject to secondary control in order to simultaneously restore the system frequency to its set-point value and power interchanges with neighbouring control areas to their planned values. Secondary control assures that the complete reserve of primary control power activated will be made accessible once again by changing the operating points of individual producing units. A few minutes pass more slowly under secondary management than under primary control. It starts acting roughly 30 s after a disruption or event and finishes within 15 min.
- (iii)
- Tertiary control: Tertiary controls are any automatic or manual adjustments made to the operating points of the participating generating units in order to replenish a sufficient secondary control reserve or to provide the desired (from an economic perspective) distribution of this reserve among the active generating units. Altering the set operating points of thermal power plant generation sets, around which primary and secondary control acts, connecting or disconnecting pump storage hydro power stations operating in an intervention mode, changing the power interchange programme, and controlling load are all examples of tertiary control.
3.1. Conventional Controller
3.2. Fractional Order Controller
3.3. Tilt Integral Derivative (TID)/Integral-Tilt Derivative (I-TD) Controller
3.4. Cascaded and Dual-Stage Controller
3.5. AI Approaches
3.5.1. ANN Approach
3.5.2. Neuro Fuzzy and Adaptive Neuro Fuzzy Approach
3.5.3. Fuzzy Approach
3.6. Other Modern Controllers
4. Future Scope
- Examine some recently discovered renewable resources and how they fit into LFC.
- The LFC problem in restructured renewable microgrids needs to be further investigated.
- The existing controllers tuned with novel optimisation techniques for fine-tuning the controller gains that improve the frequency profile need to be investigated.
- Recently considered controllers that have been applied for LFC on any power system need to be investigated.
- Create an innovative approach to optimal-robust control that can manage system dynamics, parametric variation, and variations in power output.
- Create some cutting-edge fractional order (FO) and dual/triple-stage cascaded controllers to improve system performance.
- Future load forecasting and prediction are essential for microgrid functioning. As a result, LFC system could leverage deep learning-based encryption algorithm.
- Look into a viable control strategy to locate and isolate LFC network faults.
- Create an ideal control method for real-time LFC.
- It is necessary to investigate more communication-based LFC techniques for power networks.
- Increasing the robustness of LFC-related control approaches.
- Optimal-robust control techniques for LFC that can manage changes in both plant parameters and power output.
- Developing new LFC objective functions that can enhance the performance of power systems, taking into account the dependability of LFC loops
- Improving the capacity of LFC models to handle cyber-attack glitches.
- Suggesting appropriate control strategies that can identify the sensor faults and isolate them from LFC loops.
- Developing new fault diagnosis techniques that work with LFC.
- Recommending appropriate control techniques to identify and isolate sensor defects in LFC loops.
- Developing new control strategies that utilise wide variation in the plant paramters and load demand.
- Developing control strategies for power systems modelled without assumptions.
5. Conclusions
Author Contributions
Funding
Institutional Review Board Statement
Informed Consent Statement
Data Availability Statement
Conflicts of Interest
Abbreviations
| PS | Power System |
| FR | Frequency Response |
| DG | Distributed Generation |
| FC | Fuel Cell |
| PID | Propotional Integral Derivative |
| PIDD | Proportional-Integral Plus Double Derivative |
| PSO | Particle Swarm Optimisation |
| SMES | Superconducting Magnetic Energy Storage System |
| TID | Tilt Integral Derivative |
| IDD | Integral Plus Double Derivative |
| BESS | Battery Energy Storage System |
| MPC | Model Productive Control |
| LADRC | Linear Active Disturbance Rejection Control |
| GCSC | Gate Controlled Series Capacitors |
| TTG | Tidal Turbine Genereation |
| CC-TI-TID | Fractional Order Calculus-Based Cascade Tilt-Integral–Tilt-Integral-Derivative |
| ID | Integral Derivative |
| SCO | Sine-Cosine Optimisation |
| ABC | Artificial Bee Colony |
| AE | Aqua Electrolyser |
| BFO | Bacterial Foraging Optimisation |
| BB-BC | Big-Bang Big-Crunch |
| MOEO | Multi-Objective Extremal Optimisation |
| CSA | Cuckoo Search Algorithm |
| DG | Distributed Generation |
| DISCOs | Distribution Companies |
| EVs | Electric Vehicles |
| GDB | Governor Dead Band |
| GENCOs | Generation Companies |
| GRC | Generation Rate Constraint |
| PDn | Proportional Derivative with Filter |
| ID | Integral Derivative |
References
- Sharma, D. Load Frequency Control: A Literature Review. Int. J. Sci. Technol. Res. 2020, 9, 6421–6437. [Google Scholar]
- Umrao, R.; Kumar, S.; Mohan, M.; Chaturvedi, D.K. Load Frequency Control methodologies for power system. In Proceedings of the ICPCES 2012—2012 2nd International Conference on Power, Control and Embedded Systems, Allahabad, India, 17–19 December 2012; pp. 1–10. [Google Scholar]
- Tungadio, D.H.; Sun, Y. Load frequency controllers considering renewable energy integration in power system. Energy Rep. 2019, 5, 436–453. [Google Scholar] [CrossRef]
- Ibraheem, A.; Kumar, P.; Kothari, D.P. Recent philosophies of automatic generation control strategies in power systems. IEEE Trans. Power Syst. 2005, 20, 346–357. [Google Scholar] [CrossRef]
- Pandey, S.K.; Mohanty, S.R.; Kishor, N. A literature survey on load—frequency control for conventional and distribution generation power systems. Renew. Sustain. Energy Rev. 2013, 25, 318–334. [Google Scholar] [CrossRef]
- Fernández-Muñoz, D.; Pérez-Díaz, J.I.; Guisández, I.; Chazarra, M.; Fernández-Espina, Á. Fast frequency control ancillary services: An international review. Renew. Sustain. Energy Rev. 2020, 120, 109662. [Google Scholar] [CrossRef]
- Tzoneva, E.R.; Krishnamurthy, S.; Krishnamurthy, S. Review of Automatic Generation Control in Deregulated Environment Review of Automatic Control in Deregulated Environment. IFAC-Pap. 2017, 50, 88–93. [Google Scholar]
- Gautam, S.K.; Goyal, N. Improved particle swarm optimization based load frequency control in a single area power system. In Proceedings of the 2010 Annual IEEE India Conference (INDICON), Kolkata, India, 17–19 December 2010; pp. 1–4. [Google Scholar]
- Ramakrishna, K.S.S.; Bhatti, T.S. Sampled-data automatic load frequency control of a single area power system with multi-source power generation. Electr. Power Compon. Syst. 2007, 35, 955–980. [Google Scholar] [CrossRef]
- Hanwate, S.D.; Hote, Y.V. Optimal PID design for Load frequency control using QRAWCP approach. IFAC-Pap. 2018, 51, 651–656. [Google Scholar] [CrossRef]
- Singh, K.; Shankar, G. PID parameters tuning using modified particle swarm optimization and its application in load frequency control. In Proceedings of the 2016 IEEE 6th International Conference on Power Systems (ICPS), New Delhi, India, 4–6 March 2016; pp. 1–5. [Google Scholar]
- Bensenouci, A.; Ghany, A.M.A. Performance analysis and comparative study of LMI-based iterative PID load-frequency controllers of a single-area power system. WSEAS Trans. Power Syst. 2010, 5, 85–97. [Google Scholar]
- Omar, M.; Soliman, M.; Ghany, A.M.A.; Bendary, F. Ant Colony Optimization based PID for single area load frequency control. In Proceedings of the 2013 5th International Conference on Modelling, Identification and Control (ICMIC), Cairo, Egypt, 31 August–2 September 2013; pp. 119–123. [Google Scholar]
- Sambariya, D.K.; Fagna, R. A novel Elephant Herding Optimization based PID controller design for Load frequency control in power system. In Proceedings of the 2017 International Conference on Computer, Communications and Electronics (Comptelix), Jaipur, India, 1–2 July 2017; pp. 595–600. [Google Scholar]
- Ali, S.; Yang, G.; Huang, C. Performance optimization of linear active disturbance rejection control approach by modified bat inspired algorithm for single area load frequency control concerning high wind power penetration. ISA Trans. 2018, 81, 163–176. [Google Scholar] [CrossRef]
- Lal, D.K.; Barisal, A.K. Load Frequency Control of AC Microgrid Interconnected Thermal Power System. IOP Conf. Ser. Mater. Sci. Eng. 2017, 225, 012090. [Google Scholar] [CrossRef]
- Mishra, S.; Nayak, P.C.; Prusty, U.C.; Prusty, R.C. Model predictive controller based load frequency control of isolated microgrid system integrated to plugged-in electric vehicle. In Proceedings of the 2021 1st Odisha International Conference on Electrical Power Engineering, Communication and Computing Technology (ODICON), Jaipur, India, 1–2 July 2017; pp. 1–5. [Google Scholar]
- Dhundhara, S.; Verma, Y.P. Application of micro pump hydro energy storage for reliable operation of microgrid system. IET Renew. Power Gener. 2020, 14, 1368–1378. [Google Scholar] [CrossRef]
- Yildirim, B. Gain and phase margins based stability region analysis of time-delayed shipboard microgrid with sea wave energy. IET Electr. Power Appl. 2020, 14, 1347–1359. [Google Scholar] [CrossRef]
- Wang, Y.; Zhou, R.; Wen, C. New robust adaptive load-frequency control with system parametric uncertainties. IEE Proc. Gener. Transm. Distrib. 1994, 141, 184–190. [Google Scholar] [CrossRef]
- Jiang, L.; Yao, W.; Wu, Q.H.; Wen, J.Y.; Cheng, S.J. Delay-dependent stability for load frequency control with constant and time-varying delays. IEEE Trans. Power Syst. 2012, 27, 932–941. [Google Scholar] [CrossRef]
- Parmar, K.P.S.; Majhi, S.; Kothari, D.P. Load frequency control of a realistic power system with multi-source power generation. Int. J. Electr. Power Energy Syst. 2012, 42, 426–433. [Google Scholar] [CrossRef]
- Wang, Y.; Zhou, R.; Wen, C. Robust load-frequency controller design for power systems. IEE Proc. C Gener. Transm. Distrib. 1993, 140, 11–16. [Google Scholar] [CrossRef]
- Doolla, S.; Bhatti, T.S. Load Frequency Control of an Isolated Small-Hydro Power Plant With Reduced Dump Load. IEEE Trans. Power Syst. 2006, 21, 1912–1919. [Google Scholar] [CrossRef]
- Concordia, C.; Kirchmayer, L.K. Tie-Line Power and Frequency Control of Electric Power Systems—Part II. Trans. Am. Inst. Electr. Eng. Part III Power Appar. Syst. 1954, 73, 133–146. [Google Scholar]
- Moorthi, V.R.; Aggarwal, R.P. Damping Effects of Excitation Control in Load-Frequency Control System. Proc. Inst. Electr. Eng. 1974, 121, 1409–1416. [Google Scholar] [CrossRef]
- Kumar, D.M.V. Intelligent controllers for automatic generation control. In Proceedings of the roceedings of IEEE TENCON ’98. IEEE Region 10 International Conference on Global Connectivity in Energy, Computer, Communication and Control (Cat. No.98CH36229), New Delhi, India, 17–19 December 1998; Volume 2, pp. 557–574. [Google Scholar]
- Gozde, H.; Taplamacioglu, M.C. Automatic generation control application with craziness based particle swarm optimization in a thermal power system. Int. J. Electr. Power Energy Syst. 2011, 33, 8–16. [Google Scholar] [CrossRef]
- Chen, D.; Kumar, S.; York, M.; Wang, L. Smart automatic generation control. In Proceedings of the 2012 IEEE Power and Energy Society General Meeting, San Diego, CA, USA, 22–26 July 2012; pp. 1–7. [Google Scholar]
- Bose, A.; Atiyyah, I. Regulation error in load frequency control. IEEE Trans. Power Appar. Syst. 1980, PAS-99, 650–657. [Google Scholar] [CrossRef]
- El Yakine Kouba, N.; Menaa, M.; Hasni, M.; Tehrani, K.; Boudour, M. A novel optimized fuzzy-PID controller in two-area power system with HVDC link connection. In Proceedings of the 2016 International Conference on Control, Decision and Information Technologies (CoDIT), Saint Julian’s, Malta, 6–8 April 2016; pp. 204–209. [Google Scholar]
- Kothari, M.L.; Nanda, J.; Kothari, D.P.; Das, D. Discrete-mode automatic generation control of a two-area reheat thermal system with new area control error. IEEE Trans. Power Syst. 1989, 4, 730–738. [Google Scholar] [CrossRef]
- Hsu, Y.Y.; Chan, W.C. Coordinated Frequency and Voltage Control of Synchronous Generators. IEEE Trans. Aerosp. Electron. Syst. 1987, AES-23, 2–10. [Google Scholar] [CrossRef]
- Kocaarslan, I.; Çam, E. Fuzzy logic controller in interconnected electrical power systems for load-frequency control. Int. J. Electr. Power Energy Syst. 2005, 27, 542–549. [Google Scholar] [CrossRef]
- Çam, E.; Kocaarslan, I. Load frequency control in two-area power systems using fuzzy logic controller. Energy Convers. Manag. 2005, 46, 233–243. [Google Scholar] [CrossRef]
- Khodabakhshian, A.; Hooshmand, R. A new PID controller design for automatic generation control of hydro power systems. Int. J. Electr. Power Energy Syst. 2010, 32, 375–382. [Google Scholar] [CrossRef]
- Saikia, L.C.; Bharali, A.; Dixit, O.; Malakar, T.; Sharma, B.; Kouli, S. Automatic generation control of multi-area hydro system using classical controllers. In Proceedings of the 2012 1st International Conference on Power and Energy in NERIST (ICPEN), Nirjuli, India, 28–29 December 2012; pp. 1–5. [Google Scholar]
- Ibraheem; Nizamuddin; Bhatti, T.S. AGC of two-area power system interconnected by AC/DC links with diverse sources in each area. Int. J. Electr. Power Energy Syst. 2014, 55, 297–304. [Google Scholar] [CrossRef]
- Verma, R.; Pal, S.; Sathan, S. Intelligent automatic generation control of two-area hydrothermal power system using ANN and fuzzy logic. In Proceedings of the 2013 International Conference on Communication Systems and Network Technologies, Gwalior, India, 6–8 April 2013; pp. 552–556. [Google Scholar]
- Kumar, P.; Varshana, P.; Das, J.K. Two-area LFC model reduction. In Proceedings of the IEEE TENCON '98. IEEE Region 10 International Conference on Global Connectivity in Energy, Computer, Communication and Control (Cat. No.98CH36229), New Delhi, India, 17–19 December 1998; Volume 1, pp. 186–188. [Google Scholar]
- Sharma, M.; Prakash, S.; Saxena, S. Robust Load Frequency Control Using Fractional-order TID-PD Approach Via Salp Swarm Algorithm. IETE J. Res. 2021, 1–17. [Google Scholar] [CrossRef]
- Tavakoli, M.; Pouresmaeil, E.; Adabi, J.; Godina, R.; Catalão, J.P.S. Load-frequency control in a multi-source power system connected to wind farms through multi terminal HVDC systems. Comput. Oper. Res. 2018, 96, 305–315. [Google Scholar] [CrossRef]
- Sharma, G.; Narayanan, K.; Davidson, I.E.; Akindeji, K.T. Integration and enhancement of load frequency control design for diverse sources power system via DFIG based wind power generation and interonnected via parallel HVDC/EHVAC tie-lines. Int. J. Eng. Res. Africa 2020, 46, 106–124. [Google Scholar]
- Sahu, R.K.; Gorripotu, T.S.; Panda, S. Automatic generation control of multi-area power systems with diverse energy sources using Teaching Learning Based Optimization algorithm. Eng. Sci. Technol. Int. J. 2016, 19, 113–134. [Google Scholar] [CrossRef]
- Biswas, S.; Roy, P.K.; Chatterjee, K. FACTS-based 3DOF-PID Controller for LFC of Renewable Power System Under Deregulation Using GOA. IETE J. Res. 2021, 1–14. [Google Scholar] [CrossRef]
- Selvaraju, R.K.; Somaskandan, G. Impact of energy storage units on load frequency control of deregulated power systems. Energy 2016, 97, 214–228. [Google Scholar] [CrossRef]
- Padhan, S.; Sahu, R.K.; Panda, S. Automatic generation control with thyristor controlled series compensator including superconducting magnetic energy storage units. Ain Shams Eng. J. 2014, 5, 759–774. [Google Scholar] [CrossRef]
- Choudhary, K.; Singh, B. Load Frequency Control in Two-area Power Systems Integrated with SMES Combination using Fuzzy-PID and ANFIS Controller. Int. Res. J. Eng. Technol. 2019, 6, 2335–2341. [Google Scholar]
- Dhandapani, L.; Abdulkareem, P.; Muthu, R. Two-area load frequency control with redox ow battery using intelligent algorithms in a restructured scenario. Turkish J. Electr. Eng. Comput. Sci. 2018, 26, 330–346. [Google Scholar] [CrossRef]
- Aryan, P.; Raja, G.L. Design and Analysis of Novel QOEO Optimized Parallel Fuzzy FOPI-PIDN Controller for Restructured AGC with HVDC and PEV. Iran. J. Sci. Technol.-Trans. Electr. Eng. 2022, 46, 565–587. [Google Scholar] [CrossRef]
- Ramesh, M.; Yadav, A.K.; Pathak, P.K. An extensive review on load frequency control of solar-wind based hybrid renewable energy systems. Energy Sources Part A Recover. Util. Environ. Eff. 2021, 1–25. [Google Scholar] [CrossRef]
- Sanki, P.; Basu, M.; Pal, P.S. Study of AGC as two-area thermal interconnected power system consisting WPG and SPG. In Proceedings of the 2018 Emerging Trends in Electronic Devices and Computational Techniques (EDCT), Kolkata, India, 8–9 March 2018; pp. 1–6. [Google Scholar]
- Latif, A.; Hussain, S.M.S.; Das, D.C.; Ustun, T.S. Double stage controller optimization for load frequency stabilization in hybrid wind-ocean wave energy based maritime microgrid system. Appl. Energy 2021, 282, 116171. [Google Scholar] [CrossRef]
- Khuntia, S.R.; Panda, S. Simulation study for automatic generation control of a multi-area power system by ANFIS approach. Appl. Soft Comput. J. 2012, 12, 333–341. [Google Scholar] [CrossRef]
- Sahu, R.K.; Panda, S.; Rout, U.K. DE optimized parallel 2-DOF PID controller for load frequency control of power system with governor dead-band nonlinearity. Int. J. Electr. Power Energy Syst. 2013, 49, 19–33. [Google Scholar] [CrossRef]
- Barisal, A.K. Comparative performance analysis of teaching learning based optimization for automatic load frequency control of multi-source power systems. Int. J. Electr. Power Energy Syst. 2015, 66, 67–77. [Google Scholar] [CrossRef]
- Pradhan, P.C.; Sahu, R.K.; Panda, S. Firefly algorithm optimized fuzzy PID controller for AGC of multi-area multi-source power systems with UPFC and SMES. Eng. Sci. Technol. Int. J. 2016, 19, 338–354. [Google Scholar] [CrossRef]
- Illias, H. Optimisation of PID controller for load frequency control in two-area power system using evolutionary particle swarm optimisation. J. Electr. Syst. 2016, 12, 315–324. [Google Scholar]
- Khezri, R.; Oshnoei, A.; Oshnoei, S.; Bevrani, H.; Muyeen, S.M. An intelligent coordinator design for GCSC and AGC in a two-area hybrid power system. Appl. Soft Comput. J. 2019, 76, 491–504. [Google Scholar] [CrossRef]
- Zaheeruddin; Singh, K. Primary frequency regulation of a microgrid by deloaded tidal turbines. Soft Comput. 2020, 24, 14667–14685. [Google Scholar] [CrossRef]
- Singh, B.; Slowik, A.; Bishnoi, S.K. A Dual-Stage Controller for Frequency Regulation in a Two-Area Realistic Diverse Hybrid Power System Using Bull–Lion Optimization. Energies 2022, 15, 8063. [Google Scholar] [CrossRef]
- Kumar, N.; Kumar, V.; Tyagi, B. Multi area AGC scheme using imperialist competition algorithm in restructured power system. Appl. Soft Comput. 2016, 48, 160–168. [Google Scholar] [CrossRef]
- Bhatt, P.; Roy, R.; Ghoshal, S.P. Optimized multi area AGC simulation in restructured power systems. Int. J. Electr. Power Energy Syst. 2010, 32, 311–322. [Google Scholar] [CrossRef]
- Nandi, M.; Shiva, C.K.; Mukherjee, V. TCSC based automatic generation control of deregulated power system using quasi-oppositional harmony search algorithm. Eng. Sci. Technol. Int. J. 2017, 20, 1380–1395. [Google Scholar] [CrossRef]
- Khamari, D.; Sahu, R.K.; Gorripotu, T.S.; Panda, S. Automatic generation control of power system in deregulated environment using hybrid TLBO and pattern search technique. Ain Shams Eng. J. 2020, 11, 553–573. [Google Scholar] [CrossRef]
- Kumari, S.; Shankar, G. Maiden application of cascade tilt-integral-derivative controller in load frequency control of deregulated power system. Int. Trans. Electr. Energy Syst. 2020, 30, e12257. [Google Scholar] [CrossRef]
- El-Ela, A.A.A.; El-Sehiemy, R.A.; Shaheen, A.M.; Diab, A.E.G. Design of cascaded controller based on coyote optimizer for load frequency control in multi-area power systems with renewable sources. Control Eng. Pract. 2022, 121, 105058. [Google Scholar] [CrossRef]
- Sharma, J.; Hote, Y.V.; Prasad, R. PID controller design for interval load frequency control system with communication time delay. Control Eng. Pract. 2019, 89, 154–168. [Google Scholar] [CrossRef]
- Civelek, Z.; Gorel, G.; Luy, M.; Barısci, N.; Cam, E. Effects on load-frequency control of a solar power system with a two-area interconnected thermal power plant and its control with a new BFA algorithm. Elektron. Ir Elektrotechnika 2018, 24, 3–10. [Google Scholar] [CrossRef]
- Cam, E.; Gorel, G.; Mamur, H. Use of the genetic algorithm-based fuzzy logic controller for load-frequency control in a two-area interconnected power system. Appl. Sci. 2017, 7, 308. [Google Scholar] [CrossRef]
- El-Fergany, A.A.; El-Hameed, M.A. Efficient frequency controllers for autonomous two-area hybrid microgrid system using social-spider optimiser. IET Gener. Transm. Distrib. 2017, 11, 637–648. [Google Scholar] [CrossRef]
- Latif, A.; Das, D.C.; Barik, A.K.; Ranjan, S. Illustration of demand response supported co-ordinated system performance evaluation of YSGA optimized dual stage PIFOD-(1 + PI) controller employed with wind-tidal-biodiesel based independent two-area interconnected microgrid system. IET Renew. Power Gener. 2020, 14, 1074–1086. [Google Scholar] [CrossRef]
- Dahab, Y.A. Adaptive Load Frequency Control of Power Systems Using Electro-Search Optimization Supported by the Balloon Effect. IEEE Access 2020, 8, 7408–7422. [Google Scholar] [CrossRef]
- Sekhar, G.T.C.; Kumar, R.; Baliarsingh, A.K.; Panda, S. Electrical Power and Energy Systems Load frequency control of power system under deregulated environment using optimal firefly algorithm. Int. J. Electr. Power Energy Syst. 2016, 74, 195–211. [Google Scholar] [CrossRef]
- Rosaline, A.D.; Somarajan, U. Structured H-Infinity controller for an uncertain deregulated power system. IEEE Trans. Ind. Appl. 2019, 55, 892–906. [Google Scholar] [CrossRef]
- Alhelou, H.H.; Hamedani-Golshan, M.E.; Heydarian-Forushani, E.; Al-Sumaiti, A.S.; Siano, P. Decentralized Fractional Order Control Scheme for LFC of Deregulated Nonlinear Power Systems in Presence of EVs and RER. In Proceedings of the 2018 International Conference on Smart Energy Systems and Technologies (SEST), Seville, Spain, 10–12 September 2018; pp. 1–6. [Google Scholar]
- Shayeghi, H.; Jalili, A.; Shayanfar, H.A. A robust mixed H2/H∞ based LFC of a deregulated power system including SMES. Energy Convers. Manag. 2008, 49, 2656–2668. [Google Scholar] [CrossRef]
- Morattab, A.; Shafiee, Q.; Bevrani, H. Decentralized Model Predictive load-frequency control for deregulated power systems in a tough situation. In Proceedings of the 2011 IEEE Trondheim PowerTech, Trondheim, Norway, 19–23 June 2011; pp. 1–5. [Google Scholar]
- Sudha, K.R.; Santhi, R.V. Robust decentralized load frequency control of interconnected power system with Generation Rate Constraint using Type-2 fuzzy approach. Int. J. Electr. Power Energy Syst. 2011, 33, 699–707. [Google Scholar] [CrossRef]
- Debbarma, S.; Saikia, L.C.; Sinha, N. AGC of a multi-area thermal system under deregulated environment using a non-integer controller. Electr. Power Syst. Res. 2013, 95, 175–183. [Google Scholar] [CrossRef]
- Tan, W.; Zhang, H.; Yu, M. Decentralized load frequency control in deregulated environments. Int. J. Electr. Power Energy Syst. 2012, 41, 16–26. [Google Scholar] [CrossRef]
- Villena, J.; Vigueras-Rodríguez, A.; Gómez-Lázaro, E.; Fuentes-Moreno, J.Á.; Muñoz-Benavente, I.; Molina-García, Á. An analysis of decentralized demand response as frequency control support under critical wind power oscillations. Energies 2015, 8, 12881–12897. [Google Scholar] [CrossRef]
- Yang, T.; Zhang, Y.; Li, W.; Zomaya, A.Y. Decentralized Networked Load Frequency Control in Interconnected Power Systems Based on Stochastic Jump System Theory. IEEE Trans. Smart Grid 2020, 11, 4427–4439. [Google Scholar] [CrossRef]
- Mi, Y.; Yang, Y.; Zhang, H.; Yu, A.; Wang, L.; Ren, L. Sliding mode based load frequency control for multi-area interconnected power system containing renewable energy. In Proceedings of the 2014 IEEE Conference and Expo Transportation Electrification Asia-Pacific (ITEC Asia-Pacific), Beijing, China, 31 August–3 September 2014; pp. 1–6. [Google Scholar]
- Shahalami, S.H.; Farsi, D. Analysis of Load Frequency Control in a restructured multi-area power system with the Kalman filter and the LQR controller. AEU-Int. J. Electron. Commun. 2018, 86, 25–46. [Google Scholar] [CrossRef]
- Lakshmi, D.; Fathima, A.P.; Muthu, R. Simulation of the Two-Area Deregulated Power System using Particle Swarm Optimization. Int. J. Electr. Eng. Inform. 2016, 8, 93–107. [Google Scholar] [CrossRef]
- Prakash, A.; Murali, S.; Shankar, R.; Bhushan, R. HVDC tie-link modeling for restructured AGC using a novel fractional order cascade controller. Electr. Power Syst. Res. 2019, 170, 244–258. [Google Scholar] [CrossRef]
- Arya, Y.; Kumar, N. AGC of a multi-area multi-source hydrothermal power system interconnected via AC/DC parallel links under deregulated environment. Int. J. Electr. Power Energy Syst. 2016, 75, 127–138. [Google Scholar] [CrossRef]
- Mohanty, B.; Hota, P.K. Comparative performance analysis of fruit fly optimisation algorithm for multi-area multisource automatic generation control under deregulated environment. IET Gener. Transm. Distrib. 2015, 9, 1845–1855. [Google Scholar] [CrossRef]
- Davison, E.J.; Tripathi, N.K. The Optimal Decentralized Control of a Large Power System: Load and Frequency Control. IEEE Trans. Automat. Contr. 1978, 23, 312–325. [Google Scholar] [CrossRef]
- Bevrani, H.; Daneshfar, F.; Daneshmand, P.R. Intelligent automatic generation control: Multi-agent Bayesian networks approach. In Proceedings of the 2010 IEEE International Symposium on Intelligent Control, Yokohama, Japan, 8–10 September 2010; pp. 773–778. [Google Scholar]
- Yousef, H.A.; Al-Kharusi, K.; Albadi, M.H.; Hosseinzadeh, N. Load frequency control of a multi-area power system: An adaptive fuzzy logic approach. IEEE Trans. Power Syst. 2014, 29, 1822–1830. [Google Scholar] [CrossRef]
- Saikia, L.C.; Paul, A.; Dash, P.; Choudhury, N.B.D. AGC of an interconnected multi-area hydrothermal system using a neuro-fuzzy controller. In Proceedings of the 2014 International Conference on Control, Instrumentation, Energy and Communication (CIEC), Calcutta, India, 31 January–2 February 2014; pp. 407–411. [Google Scholar]
- Shiva, C.K.; Mukherjee, V. A novel quasi-oppositional harmony search algorithm for automatic generation control of power system. Appl. Soft Comput. J. 2015, 35, 749–765. [Google Scholar] [CrossRef]
- Rahmani, M.; Sadati, N. Hierarchical optimal robust load-frequency control for power systems. IET Gener. Transm. Distrib. 2012, 6, 303–312. [Google Scholar] [CrossRef]
- Shiroei, M.; Toulabi, M.R.; Ranjbar, A.M. Robust multivariable predictive based load frequency control considering generation rate constraint. Int. J. Electr. Power Energy Syst. 2013, 46, 405–413. [Google Scholar] [CrossRef]
- Dong, L. A Robust Decentralized Load Frequency Controller for Interconnected Power Systems. Electr. Eng. Comput. Sci. Fac. Publ. 2012, 51, 410–419. [Google Scholar] [CrossRef]
- Bengiamin, N.N.; Chan, W.C. Multilevel load-frequency control of interconnected power systems. Proc. Inst. Electr. Eng. 1978, 125, 521. [Google Scholar] [CrossRef]
- Omar, M.; Soliman, M.; Ghany, A.M.A.; Bendary, F. Optimal tuning of PID controllers for hydrothermal load frequency control using Ant Colony Optimization. Int. J. Electr. Eng. Informatics 2013, 5, 348–360. [Google Scholar] [CrossRef]
- Kouba, N.E.Y.; Menaa, M.; Hasni, M.; Boudour, M. Load Frequency Control in multi-area power system based on Fuzzy Logic-PID Controller. In Proceedings of the 2015 IEEE International Conference on Smart Energy Grid Engineering (SEGE), Oshawa, ON, Canada, 17–19 August 2015. [Google Scholar]
- Acharyulu, B.V.S.; Mohanty, B.; Hota, P.K. Performance analysis of a cascade controller for conventional and deregulated power systems. Int. J. Model. Simul. 2020, 40, 260–278. [Google Scholar] [CrossRef]
- Bevrani, H.; Habibi, F.; Babahajyani, P.; Watanabe, M.; Mitani, Y. Intelligent Frequency Control in an AC Microgrid: Online PSO-Based Fuzzy Tuning Approach. IEEE Trans. Smart Grid 2012, 3, 1935–1944. [Google Scholar] [CrossRef]
- Bevrani, H.; Mitani, Y.; Tsuji, K. Robust decentralised load-frequency control using an iterative linear matrix inequalities algorithm. IEE Proc.-Gener. Transm. Distrib. 2004, 151, 347. [Google Scholar] [CrossRef]
- Yu, X.; Tomsovic, K. Application of Linear Matrix Inequalities for Load Frequency Control With Communication Delays. IEEE Trans. Power Syst. 2004, 19, 1508–1515. [Google Scholar] [CrossRef]
- Jagatheesan, K.; Anand, B.; Dey, N. Evolutionary algorithm based LFC of single area thermal power system with different steam configurations and non-linearity. Adv. Intell. Syst. Comput. 2016, 435, 185–194. [Google Scholar]
- Jagatheesan, K.; Anand, B.; Samanta, S.; Dey, N.; Santhi, V.; Ashour, A.S.; Balas, V.E. Application of flower pollination algorithm in load frequency control of multi-area interconnected power system with nonlinearity. Neural Comput. Appl. 2017, 28, 475–488. [Google Scholar] [CrossRef]
- Davison, E.; Tripathi, N. Decentralized tuning regulators: An application to solve the load and frequency control problem for a large power system. In Proceedings of the 1979 18th IEEE Conference on Decision and Control including the Symposium on Adaptive Processes, Fort Lauderdale, FL, USA, 12–14 December 1979; pp. 879–885. [Google Scholar]
- Tan, W. Decentralized load frequency controller analysis and tuning for multi-area power systems. Energy Convers. Manag. 2011, 52, 2015–2023. [Google Scholar] [CrossRef]
- Mohammadikia, R.; Aliasghary, M. A fractional order fuzzy PID for load frequency control of four-area interconnected power system using biogeography-based optimization. Int. Trans. Electr. Energy Syst. 2019, 29, e2735. [Google Scholar] [CrossRef]
- Prakash, S.; Sinha, S.K. Simulation based neuro-fuzzy hybrid intelligent PI control approach in four-area load frequency control of interconnected power system. Appl. Soft Comput. J. 2014, 23, 152–164. [Google Scholar] [CrossRef]
- Tan, W.; Zhou, H. Robust analysis of decentralized load frequency control for multi-area power systems. Int. J. Electr. Power Energy Syst. 2012, 43, 996–1005. [Google Scholar] [CrossRef]
- Padhan, D.G.; Majhi, S. A new control scheme for PID load frequency controller of single-area and multi-area power systems. ISA Trans. 2013, 52, 242–251. [Google Scholar] [CrossRef] [PubMed]
- Vrdoljak, K.; Perić, N.; Petrović, I. Sliding mode based load-frequency control in power systems. Electr. Power Syst. Res. 2010, 80, 514–527. [Google Scholar] [CrossRef]
- Malik, O.P.; Kumar, A.; Hope, G.S. A load frequency control algorithm based on a generalized approach. IEEE Trans. Power Syst. 1988, 3, 375–382. [Google Scholar] [CrossRef]
- Kumar, A.; Malik, O.P.; Hope, G.S. Discrete Variable Structure Controller for Load Frequency Control of Multiarea Interconnected Power Systems. IEE Proc. C Gener. Transm. Distrib. 1987, 134, 116–122. [Google Scholar] [CrossRef]
- Prakash, S.; Bhardwaj, A.K.; Sinha, S.K. Neuro fuzzy hybrid intelligent approach for four-area load frequency control of interconnected power system. In Proceedings of the ICPCES 2012—2012 2nd International Conference on Power, Control and Embedded Systems, Allahabad, India, 17–19 December 2012. [Google Scholar]
- Tan, W. Unified tuning of PID load frequency controller for power systems via IMC. IEEE Trans. Power Syst. 2010, 25, 341–350. [Google Scholar] [CrossRef]
- Du, X.; Li, P. Fuzzy Logic Control Optimal Realization Using GA for Multi-Area AGC Systems. J. Inf. Technol. 2006, 12, 63–72. [Google Scholar]
- Sharma, M.; Bansal, R.K.; Prakash, S.; Asefi, S. MVO Algorithm Based LFC Design of a Six-Area Hybrid Diverse Power System Integrating IPFC and RFB. IETE J. Res. 2021, 67, 394–407. [Google Scholar] [CrossRef]
- Prakash, S.; Sinha, S.K. Automatic Load Frequency Control of Six Areas’ Hybrid Multi-Generation Power Systems Using Neuro-Fuzzy Intelligent Controller. IETE J. Res. 2018, 64, 471–481. [Google Scholar] [CrossRef]
- Dutta, A.; Prakash, S. Utilizing Electric Vehicles and Renewable Energy Sources for Load Frequency Control in Deregulated Power System Using Emotional Controller. IETE J. Res. 2022, 68, 1500–1511. [Google Scholar] [CrossRef]
- Alhelou, H.H.; Zamani, R. Challenges and Opportunities of Load Frequency Control in Conventional, Modern and Future Smart Power Systems: A Comprehensive Review. Energies 2018, 11, 2497. [Google Scholar] [CrossRef]
- Alhelou, H.H.; Golshan, M.E.H.; Fini, M.H. Wind Driven Optimization Algorithm Application to Load Frequency Control in Interconnected Power Systems Considering GRC and GDB Nonlinearities. Electr. Power Components Syst. 2018, 46, 1223–1238. [Google Scholar] [CrossRef]
- Demiroren, A.; Zeynelgil, H.L. GA application to optimization of AGC in three-area power system after deregulation. Int. J. Electr. Power Energy Syst. 2007, 29, 230–240. [Google Scholar] [CrossRef]
- Falahati, S.; Taher, S.A.; Shahidehpour, M. Grid frequency control with electric vehicles by using of an optimized fuzzy controller. Appl. Energy 2016, 178, 918–928. [Google Scholar] [CrossRef]
- Shayeghi, H.; Shayanfar, H.A.; Jalili, A. Multi stage fuzzy PID load frequency controller in a restructured power system. J. Electr. Eng. 2007, 58, 61–70. [Google Scholar]
- Shree, S.B.; Kamaraj, N. Hybrid Neuro Fuzzy approach for automatic generation control in restructured power system. Int. J. Electr. Power Energy Syst. 2016, 74, 274–285. [Google Scholar] [CrossRef]
- Dhanalakshmi, R. ANFIS based Neuro-Fuzzy Controller in LFC of Wind- Micro Hydro-Diesel Hybrid Power System. Int. J. Comput. Appl. 2012, 42, 28–35. [Google Scholar]
- Bhatti, T.S.; Al-Ademi, A.A.F.; Bansal, N.K. Load-frequency control of isolated wind-diesel-microhydro hybrid power systems (WDMHPS). Energy 1997, 22, 461–470. [Google Scholar] [CrossRef]
- Piagi, P.; Lasseter, R.H. Autonomous Control of Microgrids. In Proceedings of the 2006 IEEE Power Engineering Society General Meeting, Montreal, QC, Canada, 18–22 June 2006; pp. 1–8. [Google Scholar]
- Guerrero, J.M.; Member, S.; Vasquez, J.C.; Matas, J.; De Vicuña, L.G.; Castilla, M. Hierarchical Control of Droop-Controlled AC and DC Microgrids—A General Approach Toward Standardization. IEEE Trans. Ind. Electron. 2011, 58, 158–172. [Google Scholar] [CrossRef]
- Lopes, J.A.P.; Moreira, C.L.; Madureira, A.G. Defining Control Strategies for MicroGrids Islanded Operation. IEEE Trans. Power Syst. 2006, 21, 916–924. [Google Scholar] [CrossRef]
- Singh, K.; Amir, M.; Ahmad, F.; Khan, M.A. An Integral Tilt Derivative Control Strategy for Frequency Control in Multimicrogrid System. IEEE Syst. J. 2021, 15, 1477–1488. [Google Scholar] [CrossRef]
- Yammani, C.; Maheswarapu, S. Load Frequency Control of Multi-microgrid System considering Renewable Energy Sources Using Grey Wolf Optimization. Smart Sci. 2019, 7, 198–217. [Google Scholar]
- Barik, A.K.; Das, D.C. Active power management of isolated renewable microgrid generating power from Rooftop solar arrays, sewage waters and solid urban wastes of a smart city using Salp swarm algorithm. In Proceedings of the 2018 Technologies for Smart-City Energy Security and Power (ICSESP), Bhubaneswar, India, 28–30 March 2018; Volume 2018, pp. 1–6. [Google Scholar]
- Singh, V.P.; Mohanty, S.R.; Kishor, N.; Ray, P.K. Robust H-infinity load frequency control in hybrid distributed generation system. Int. J. Electr. Power Energy Syst. 2013, 46, 294–305. [Google Scholar] [CrossRef]
- Khooban, M.-H.; Niknam, T.; Shasadeghi, M.; Dragicevic, T.; Blaabjerg, F. Load Frequency Control in Microgrids Based on a Stochastic Noninteger Controller. IEEE Trans. Sustain. Energy 2018, 9, 853–861. [Google Scholar] [CrossRef]
- Pahasa, J.; Ngamroo, I. Coordinated Control of Wind Turbine Blade Pitch Angle and PHEVs Using MPCs for Load Frequency Control of Microgrid. IEEE Syst. J. 2016, 10, 97–105. [Google Scholar] [CrossRef]
- Zaheeruddin; Singh, K. Intelligent Fractional-Order-Based Centralized Frequency Controller for Microgrid. IETE J. Res. 2022, 68, 2848–2862. [Google Scholar] [CrossRef]
- Shimizu, K.; Masuta, T.; Ota, Y.; Yokoyama, A. Load Frequency Control in Power System Using Vehicle-to-Grid System Considering the Customer Convenience of Electric Vehicles. In Proceedings of the International Conference on Power System Technology, Zhejiang, China, 24–28 October 2010; pp. 1–8. [Google Scholar]
- Samarakoon, K.; Ekanayake, J.; Jenkins, N. Investigation of Domestic Load Control to Provide Primary Frequency Response Using Smart Meters. IEEE Trans. Smart Grid 2012, 3, 282–292. [Google Scholar] [CrossRef]
- Palensky, P.; Dietrich, D. Demand side management: Demand response, intelligent energy systems, and smart loads. IEEE Trans. Ind. Inform. 2011, 7, 381–388. [Google Scholar] [CrossRef]
- Vachirasricirikul, S.; Ngamroo, I. Robust LFC in a smart grid with wind power penetration by coordinated V2G control and frequency controller. IEEE Trans. Smart Grid 2014, 5, 371–380. [Google Scholar] [CrossRef]
- Masuta, T.; Yokoyama, A. Supplementary load frequency control by use of a number of both electric vehicles and heat pump water heaters. IEEE Trans. Smart Grid 2012, 3, 1253–1262. [Google Scholar] [CrossRef]
- Kanchev, H.; Lu, D.; Colas, F.; Lazarov, V.; Francois, B. Energy management and operational planning of a microgrid with a PV-based active generator for smart grid applications. IEEE Trans. Ind. Electron. 2011, 58, 4583–4592. [Google Scholar] [CrossRef]
- Sargolzaei, A.; Yen, K.; Abdelghani, M. Delayed inputs attack on load frequency control in smart grid. In Proceedings of the ISGT 2014, Washington, DC, USA, 19–22 February 2014; pp. 1–5. [Google Scholar]
- Alhelou, H.H.; Golshan, M.E.H. Hierarchical plug-in EV control based on primary frequency response in interconnected smart grid. In Proceedings of the 2016 24th Iranian Conference on Electrical Engineering, ICEE 2016, Shiraz, Iran, 10–12 May 2016; pp. 561–566. [Google Scholar]
- Makdisie, C.; Haidar, B.; Alhelou, H.H. An optimal photovoltaic conversion system for future smart grids. In Handbook of Research on Power and Energy System Optimization; IGI Global: Hershey, PA, USA, 2018; pp. 601–657. [Google Scholar]
- Izadkhast, S.; Garcia-Gonzalez, P.; Frias, P.; Ramirez-Elizondo, L.; Bauer, P. Aggregation of plug-in electric vehicles in distribution networks for primary frequency control. In Proceedings of the 2014 IEEE International Electric Vehicle Conference, IEVC 2014, Florence, Italy, 17–19 December 2014. [Google Scholar]
- Liu, S.; Liu, X.P.; El Saddik, A. Denial-of-Service (dos) attacks on load frequency control in smart grids. In Proceedings of the 2013 IEEE PES Innovative Smart Grid Technologies Conference, ISGT 2013, Washington, DC, USA, 24–27 February 2013; pp. 1–6. [Google Scholar]
- Nanda, J.; Mishra, S.; Saikia, L.C. Maiden application of bacterial foraging-based optimization technique in multiarea automatic generation control. IEEE Trans. Power Syst. 2009, 24, 602–609. [Google Scholar] [CrossRef]
- Bevrani, H.; Hiyama, T. On Load–Frequency Regulation With Time Delays: Design and Real-Time Implementation. IEEE Trans. Energy Convers. 2009, 24, 292–300. [Google Scholar] [CrossRef]
- Ghoshal, S.P. Application of GA/GA-SA based fuzzy automatic generation control of a multi-area thermal generating system. Electr. Power Syst. Res. 2004, 70, 115–127. [Google Scholar] [CrossRef]
- Farahani, M.; Ganjefar, S.; Alizadeh, M. PID controller adjustment using chaotic optimisation algorithm for multi-area load frequency control. IET Control Theory Appl. 2012, 6, 1984–1992. [Google Scholar] [CrossRef]
- Chatterjee, K. Design of Dual Mode PI Controller for Load Frequency Control. Int. J. Emerg. Electr. Power Syst. 2010, 11. [Google Scholar] [CrossRef]
- Anwar, M.N.; Pan, S. A new PID load frequency controller design method in frequency domain through direct synthesis approach. Int. J. Electr. Power Energy Syst. 2015, 67, 567–569. [Google Scholar] [CrossRef]
- Safari, A.; Babaei, F.; Farrokhifar, M. A Load Frequency Control Using a PSO-based ANN for Micro-Grids in the Presence of Electric Vehicles A Load Frequency Control Using a PSO-based ANN for Micro-Grids in the Presence of Electric Vehicles. Int. J. Ambient Energy 2021, 42, 688–700. [Google Scholar] [CrossRef]
- Pahlavanzadeh, H.; Nooriasl, P. Entropy generation in liquid desiccant dehumidification system. Energy Procedia 2012, 14, 1855–1860. [Google Scholar] [CrossRef]
- Ahuja, A.; Narayan, S.; Kumar, J. Robust FOPID controller for load frequency control using Particle Swarm Optimization. In Proceedings of the 2014 6th IEEE Power India International Conference (PIICON), Delhi, India, 5–7 December 2014; pp. 1–6. [Google Scholar]
- Veerasamy, V.; Wahab, N.I.A.; Ramachandran, R.; Othman, M.L.; Hizam, H.; Irudayaraj, A.X.R.; Guerrero, J.M.; Kumar, J.S. A Hankel Matrix Based Reduced Order Model for Stability Analysis of Hybrid Power System Using PSO-GSA Optimized Cascade PI-PD Controller for Automatic Load Frequency Control. IEEE Access 2020, 8, 71422–71446. [Google Scholar] [CrossRef]
- Shayeghi, H.; Shayanfar, H.A.; Jalili, A. LFC Design of a Deregulated Power System with TCPS Using PSO. Int. J. Electr. Comput. Eng. 2009, 3, 632–640. [Google Scholar]
- Fathy, A.; Kassem, A.M.; Abdelaziz, A.Y. Optimal design of fuzzy PID controller for deregulated LFC of multi-area power system via mine blast algorithm. Neural Comput. Appl. 2020, 32, 4531–4551. [Google Scholar] [CrossRef]
- Mohanty, B.; Panda, S.; Hota, P.K. Controller parameters tuning of differential evolution algorithm and its application to load frequency control of multi-source power system. Int. J. Electr. Power Energy Syst. 2014, 54, 77–85. [Google Scholar] [CrossRef]
- Sahu, R.K.; Sekhar, G.T.C.; Panda, S. DE optimized fuzzy PID controller with derivative filter for LFC of multi source power system in deregulated environme nt. Ain Shams Eng. J. 2015, 6, 511–530. [Google Scholar] [CrossRef]
- Kumar, A.; Shankar, G. Quasi-oppositional harmony search algorithm based optimal dynamic load frequency control of a hybrid tidal-diesel power generation system. IET Gener. Transm. Distrib. 2018, 12, 1099–1108. [Google Scholar] [CrossRef]
- Kumar, B.; Adhikari, S.; Datta, S.; Sinha, N. Real Time Simulation for Load Frequency Control of Multisource Microgrid System Using Grey Wolf Optimization Based Modified Bias Coefficient Diagram Method (GWO-MBCDM) Controller. J. Electr. Eng. Technol. 2021, 16, 205–221. [Google Scholar] [CrossRef]
- Sharma, Y.; Saikia, L.C. Automatic generation control of a multi-area ST—Thermal power system using Grey Wolf Optimizer algorithm based classical controllers. Int. J. Electr. Power Energy Syst. 2015, 73, 853–862. [Google Scholar] [CrossRef]
- Dhillon, S.S.; Lather, J.S.; Marwaha, S. Multi objective load frequency control using hybrid bacterial foraging and particle swarm optimized PI controller. Int. J. Electr. Power Energy Syst. 2016, 79, 196–209. [Google Scholar] [CrossRef]
- Sharma, M.; Bansal, R.K.; Prakash, S.; Dhundhara, S. Frequency regulation in PV integrated Power System using MFO tuned PIDF controller. In Proceedings of the 2018 IEEE 8th Power India International Conference (PIICON), Kurukshetra, India, 10–12 December 2018; pp. 1–6. [Google Scholar]
- Sharma, D.; Yadav, N.K. Lion Algorithm with Levy Update: Load frequency controlling scheme for two-area interconnected multi-source power system. Trans. Inst. Meas. Control 2019, 41, 4084–4099. [Google Scholar] [CrossRef]
- Alomoush, M.I. Load frequency control and automatic generation control using fractional-order controllers. Electr. Eng. 2010, 91, 357–368. [Google Scholar] [CrossRef]
- Jain, S.; Hote, Y. Design of fractional PID for Load frequency control via Internal model control and Big bang Big crunch optimization. IFAC-Pap. 2018, 51, 610–615. [Google Scholar] [CrossRef]
- Kumar, N.; Tyagi, B.; Kumar, V. Application of fractional order PID controller for AGC under deregulated environment. Int. J. Autom. Comput. 2018, 15, 84–93. [Google Scholar] [CrossRef]
- Mishra, D.K.; Panigrahi, T.K.; Mohanty, A.; Ray, P.K. ScienceDirect Effect of Superconducting Magnetic Energy Storage on Two Agent Deregulated Power System Under Open Market. Mater. Today Proc. 2020, 21, 1919–1929. [Google Scholar] [CrossRef]
- Guha, D.; Roy, P.K.; Banerjee, S. Grasshopper optimization algorithm scaled fractional order PI-D controller applied to reduced order model of load frequency control system. Int. J. Model. Simul. 2020, 40, 217–242. [Google Scholar] [CrossRef]
- Kumar, K.V.; Ganesh, V. Design of fractional order proportional integral controller for load frequency control of multi-area power system under deregulated environment. Int. J. Power Energy Convers. 2020, 11, 223–247. [Google Scholar] [CrossRef]
- Saxena, S. Load frequency control strategy via fractional-order controller and reduced-order modeling. Int. J. Electr. Power Energy Syst. 2019, 104, 603–614. [Google Scholar] [CrossRef]
- Debbarma, S.; Dutta, A. Utilizing Electric Vehicles for LFC in Restructured Power Systems Using Fractional Order Controller. IEEE Trans. Smart Grid 2017, 8, 2554–2564. [Google Scholar] [CrossRef]
- Nithilasaravanan, K.; Thakwani, N.; Mishra, P.; Kumar, V.; Rana, K.P.S. Efficient control of integrated power system using self-tuned fractional-order fuzzy PID controller. Neural Comput. Appl. 2019, 31, 4137–4155. [Google Scholar] [CrossRef]
- Wang, H.; Zeng, G.; Dai, Y.; Bi, D.; Sun, J.; Xie, X. Design of a Fractional Order Frequency PID Controller for an Islanded Microgrid: A Multi-Objective Extremal Optimization Method. Energies 2017, 10, 1502. [Google Scholar] [CrossRef]
- Dash, P.; Saikia, L.C.; Sinha, N. Automatic generation control of multi-area thermal system using Bat algorithm optimized PD–PID cascade controller. Int. J. Electr. Power Energy Syst. 2015, 68, 364–372. [Google Scholar] [CrossRef]
- Debnath, M.K.; Jena, T.; Mallick, R.K. Novel PD-PID cascaded controller for automatic generation control of a multi-area interconnected power system optimized by grey wolf optimization (GWO). In Proceedings of the 2016 IEEE 1st International Conference on Power Electronics, Intelligent Control and Energy Systems (ICPEICES), Delhi, India, 4–6 July 2016; pp. 1–6. [Google Scholar]
- Gorripotu, T.S.; Ramana, P.; Sahu, R.K.; Panda, S. Sine Cosine Optimization Based Proportional Derivative-Proportional Integral Derivative Controller for Frequency Control of Hybrid Power System. In Computational Intelligence in Data Mining, Proceedings of the International Conference on ICCIDM 2018; Springer: Singapore, 2020; pp. 789–797. [Google Scholar]
- Dash, P.; Saikia, L.C.; Sinha, N. Flower Pollination Algorithm Optimized PI-PD Cascade Controller in Automatic Generation Control of a Multi-area Power System. Int. J. Electr. Power Energy Syst. 2016, 82, 19–28. [Google Scholar] [CrossRef]
- Padhy, S.; Panda, S. A hybrid stochastic fractal search and pattern search technique based cascade PI-PD controller for automatic generation control of multi-source power systems in presence of plug in electric vehicles. CAAI Trans. Intell. Technol. 2017, 2, 12–25. [Google Scholar] [CrossRef]
- Yakout, A.H.; Attia, M.A.; Kotb, H. Marine Predator Algorithm based Cascaded PIDA Load Frequency Controller for Electric Power Systems with Wave Energy Conversion Systems. Alexandria Eng. J. 2021, 60, 4213–4222. [Google Scholar] [CrossRef]
- Saha, D.; Saikia, L.C. Performance of FACTS and energy storage devices in a multi-area wind-hydro-thermal system employed with SFS optimized I-PDF controller. J. Renew. Sustain. Energy 2017, 9, 024103. [Google Scholar] [CrossRef]
- Saha, A.; Saikia, L.C. Utilisation of ultra-capacitor in load frequency control under restructured STPP-thermal power systems using WOA optimised PIDN- FOPD controller. IET Gener. Transm. Distrib. 2017, 11, 3318–3331. [Google Scholar] [CrossRef]
- Saha, A.; Saikia, L.C. Combined application of redox flow battery and DC link in restructured AGC system in the presence of WTS and DSTS in distributed generation unit. IET Gener. Transm. Distrib. 2018, 12, 2072–2085. [Google Scholar] [CrossRef]
- Sahoo, P.K.; Mohapatra, S.; Gupta, D.K.; Panda, S. Multi Verse Optimized Fractional Order PDPI Controller for Load Frequency Control. IETE J. Res. 2022, 68, 3302–3315. [Google Scholar] [CrossRef]
- Arya, Y. Improvement in automatic generation control of two-area electric power systems via a new fuzzy aided optimal PIDN-FOI controller. ISA Trans. 2018, 80, 475–490. [Google Scholar] [CrossRef] [PubMed]
- Guha, D.; Roy, P.K.; Banerjee, S. Equilibrium optimizer-tuned cascade fractional-order 3DOF-PID controller in load frequency control of power system having renewable energy resource integrated. Int. Trans. Electr. Energy Syst. 2021, 31, e12702. [Google Scholar] [CrossRef]
- Tasnin, W.; Saikia, L.C. Performance comparison of several energy storage devices in deregulated AGC of a multi-area system incorporating geothermal power plant. IET Renew. Power Gener. 2018, 12, 761–772. [Google Scholar] [CrossRef]
- Raju, M.; Saikia, L.C.; Sinha, N. Maiden application of two degree of freedom cascade controller for multi-area automatic generation control. Int. Trans. Electr. Energy Syst. 2018, 28, e2586. [Google Scholar] [CrossRef]
- Guha, D.; Roy, P.K.; Banerjee, S. Maiden application of SSA-optimised CC-TID controller for load frequency control of power systems. IET Gener. Transm. Distrib. 2019, 13, 1110–1120. [Google Scholar] [CrossRef]
- Mohamed, E.A.; Aly, M.; Watanabe, M. New Tilt Fractional-Order Integral Derivative with Fractional Filter (TFOIDFF) Controller with Artificial Hummingbird Optimizer for LFC in Renewable Energy Power Grids. Mathematics 2022, 10, 3006. [Google Scholar] [CrossRef]
- Çelik, E.; Öztürk, N. Novel fuzzy 1PD-TI controller for AGC of interconnected electric power systems with renewable power generation and energy storage devices. Eng. Sci. Technol. Int. J. 2022, 35, 101166. [Google Scholar] [CrossRef]
- Sharma, M.; Saxena, S.; Prakash, S.; Dhundhara, S.; Arya, Y. Frequency stabilization in sustainable energy sources integrated power systems using novel cascade noninteger fuzzy controller. Energy Sources Part A Recover. Util. Environ. Eff. 2022, 44, 6213–6235. [Google Scholar] [CrossRef]
- Saikia, L.C.; Mishra, S.; Sinha, N.; Nanda, J. Automatic generation control of a multi-area hydrothermal system using reinforced learning neural network controller. Int. J. Electr. Power Energy Syst. 2011, 33, 1101–1108. [Google Scholar] [CrossRef]
- Qian, D.; Tong, S.; Liu, H.; Liu, X. Load frequency control by neural-network-based integral sliding mode for nonlinear power systems with wind turbines. Neurocomputing 2016, 173, 875–885. [Google Scholar] [CrossRef]
- Shayeghi, H.; Shayanfar, H.A. Application of ANN technique based on μ-synthesis to load frequency control of interconnected power system. Int. J. Electr. Power Energy Syst. 2006, 28, 503–511. [Google Scholar] [CrossRef]
- Demiroren, A.; Zeynelgil, H.L.; Sengor, N.S. The application of ANN technique to load-frequency control for three-area power system. In Proceedings of the 2001 IEEE Porto Power Tech Proceedings (Cat. No.01EX502), Porto, Portugal, 10–13 September 2001; Volume 2, p. 5. [Google Scholar]
- Kassem, A.M. Neural predictive controller of a two-area load frequency control for interconnected power system. Ain Shams Eng. J. 2010, 1, 49–58. [Google Scholar] [CrossRef]
- Pal, A.K.; Bera, P.; Chakraborty, K. AGC in two-area deregulated power system using reinforced learning neural network controller. In Proceedings of the 2014 First International Conference on Automation, Control, Energy and Systems (ACES), Adisaptagram, India, 1–2 February 2014. [Google Scholar]
- Bhongade, S.; Gupta, H.O.; Tyagi, B. Artificial neural network based automatic generation control scheme for deregulated electricity market. In Proceedings of the 2010 Conference Proceedings IPEC, Singapore, 27–29 October 2010; pp. 1158–1163. [Google Scholar]
- Qu, Z.; Xu, C.; Ma, K.; Jiao, Z. Fuzzy neural network control of thermostatically controlled loads for demand-side frequency regulation. Energies 2019, 12, 2463. [Google Scholar] [CrossRef]
- Prakash, S.; Sinha, S.K. Neuro-Fuzzy Computational Technique to Control Load Frequency in Hydro-Thermal Interconnected Power System. J. Inst. Eng. Ser. B 2015, 96, 273–282. [Google Scholar] [CrossRef]
- Chidambaram, I.A.; Francis, R. Automatic generation control of a two-area reheat interconnected power system based on CPS using fuzzy neural network. In Proceedings of the 2011 International Conference on Emerging Trends in Electrical and Computer Technology, Nagercoil, India, 23–24 March 2011; pp. 200–205. [Google Scholar]
- Mosaad, M.I.; Salem, F. LFC based adaptive PID controller using ANN and ANFIS techniques. J. Electr. Syst. Inf. Technol. 2014, 1, 212–222. [Google Scholar] [CrossRef]
- Fathy, A.; Kassem, A.M. Antlion optimizer-ANFIS load frequency control for multi-interconnected plants comprising photovoltaic and wind turbine. ISA Trans. 2019, 87, 282–296. [Google Scholar] [CrossRef] [PubMed]
- Prakash, S.; Sinha, S.K. ALFC of hybrid multi-generation power system using UC and TCPS by ANFIS control technique. Int. J. Electron. 2019, 106, 174–211. [Google Scholar] [CrossRef]
- Pan, I.; Das, S. Fractional order fuzzy control of hybrid power system with renewable generation using chaotic PSO. ISA Trans. 2016, 62, 19–29. [Google Scholar] [CrossRef] [PubMed]
- Chang, C.S.; Fu, W.; Wen, F. Load frequency control using genetic-algorithm based fuzzy gain scheduling of pi controllers. Electr. Mach. Power Syst. 1998, 26, 39–52. [Google Scholar] [CrossRef]
- Khooban, M.H.; Niknam, T. A new intelligent online fuzzy tuning approach for multi-area load frequency control: Self Adaptive Modified Bat Algorithm. Int. J. Electr. Power Energy Syst. 2015, 71, 254–261. [Google Scholar] [CrossRef]
- Arya, Y. Automatic generation control of two-area electrical power systems via optimal fuzzy classical controller. J. Franklin Inst. 2018, 355, 2662–2688. [Google Scholar] [CrossRef]
- Rajesh, K.S.; Dash, S.S.; Rajagopal, R. Hybrid improved firefly-pattern search optimized fuzzy aided PID controller for automatic generation control of power systems with multi-type generations. Swarm Evol. Comput. 2019, 44, 200–211. [Google Scholar] [CrossRef]
- Kalyan, C.N.S.; Goud, B.S.; Reddy, C.R.; Ramadan, H.S.; Bajaj, M.; Ali, Z.M. Water cycle algorithm optimized type ii fuzzy controller for load frequency control of a multi-area, multi-fuel system with communication time delays. Energies 2021, 14, 5387. [Google Scholar] [CrossRef]
- Sabahi, K.; Ghaemi, S.; Pezeshki, S. Application of type-2 fuzzy logic system for load frequency control using feedback error learning approaches. Appl. Soft Comput. J. 2014, 21, 1–11. [Google Scholar] [CrossRef]
- Yesil, E. Interval type-2 fuzzy PID load frequency controller using Big Bang-Big Crunch optimization. Appl. Soft Comput. J. 2014, 15, 100–112. [Google Scholar] [CrossRef]
- Khooban, M.H.; Gheisarnejad, M. A Novel Deep Reinforcement Learning Controller Based Type-II Fuzzy System: Frequency Regulation in Microgrids. IEEE Trans. Emerg. Top. Comput. Intell. 2021, 5, 689–699. [Google Scholar] [CrossRef]
- Annamraju, A.; Nandiraju, S. Robust frequency control in a renewable penetrated power system: An adaptive fractional order-fuzzy approach. Prot. Control Modn Power Syst. 2019, 4, 16. [Google Scholar] [CrossRef]
- Yakout, A.H.; Kotb, H.; Hasanien, H.M.; Aboras, K.M. Optimal Fuzzy PIDF Load Frequency Controller for Hybrid Microgrid System Using Marine Predator Algorithm. IEEE Access 2021, 9, 54220–54232. [Google Scholar] [CrossRef]
- Rajesh, K.S.; Dash, S.S. Load frequency control of autonomous power system using adaptive fuzzy based PID controller optimized on improved sine cosine algorithm. J. Ambient Intell. Humaniz. Comput. 2019, 10, 2361–2373. [Google Scholar] [CrossRef]
- Prusty, U.C.; Nayak, P.C.; Prusty, R.C.; Panda, S. An improved moth swarm algorithm based fractional order type-2 fuzzy PID controller for frequency regulation of microgrid system. Energy Sources Part A Recover. Util. Environ. Eff. 2022, 1–23. [Google Scholar] [CrossRef]
- Sharma, M.; Prakash, S.; Saxena, S.; Dhundhara, S. Optimal Fractional-Order Tilted-Integral-Derivative Controller for Frequency Stabilization in Hybrid Power System Using Salp Swarm Algorithm. Electr. Power Compon. Syst. 2021, 48, 1912–1931. [Google Scholar] [CrossRef]
- Guha, D.; Roy, P.K.; Banerjee, S. Performance evolution of different controllers for frequency regulation of a hybrid energy power system employing chaotic crow search algorithm. ISA Trans. 2022, 120, 128–146. [Google Scholar] [CrossRef]
- Mohamed, E.A.; Ahmed, E.M.; Elmelegi, A.; Aly, M.; Elbaksawi, O.; Mohamed, A.-A.A. An Optimized Hybrid Fractional Order Controller for Frequency Regulation in Multi-Area Power Systems. IEEE Access 2020, 8, 213899–213915. [Google Scholar] [CrossRef]
- Topno, P.N.; Chanana, S. Load frequency control of a two-area multi-source power system using a tilt integral derivative controller. JVC/Journal Vib. Control 2018, 24, 110–125. [Google Scholar] [CrossRef]
- Kumari, S.; Shankar, G. Novel application of integral-tilt-derivative controller for performance evaluation of load frequency control of interconnected power system. IET Gener. Transm. Distrib. 2018, 12, 3550–3560. [Google Scholar] [CrossRef]
- Guha, D.; Roy, P.K.; Banerjee, S. Disturbance observer aided optimised fractional-order three-degree-of-freedom tilt-integral-derivative controller for load frequency control of power systems. IET Gener. Transm. Distrib. 2021, 15, 716–736. [Google Scholar] [CrossRef]
- Mi, Y.; Fu, Y.; Li, D.; Wang, C.; Loh, P.C.; Wang, P. The sliding mode load frequency control for hybrid power system based on disturbance observer. Int. J. Electr. Power Energy Syst. 2016, 74, 446–452. [Google Scholar] [CrossRef]
- Sarkar, M.K.; Dev, A.; Asthana, P.; Narzary, D. Chattering free robust adaptive integral higher order sliding mode control for load frequency problems in multi-area power systems. IET Control Theory Appl. 2018, 12, 1216–1227. [Google Scholar] [CrossRef]
- Kalyan, C.N.S.; Suresh, C. Higher Order Degree of Freedom Controller for Load Frequency Control of Multi-area Interconnected Power System with Time Delays. Glob. Transitions Proc. 2022, 3, 332–337. [Google Scholar] [CrossRef]
- Debbarma, S.; Saikia, L.C.; Sinha, N. Automatic generation control using two degree of freedom fractional order PID controller. Int. J. Electr. Power Energy Syst. 2014, 58, 120–129. [Google Scholar] [CrossRef]
- Ustun, T.S.; Aftab, M.A.; Ali, I.; Hussain, S.M.S. A novel scheme for performance evaluation of an iec 61850-based active distribution system substation. IEEE Access 2019, 7, 123893–123902. [Google Scholar] [CrossRef]
- Ali, I.; Hussain, S.M.S.; Tak, A.; Ustun, T.S. Communication Modeling for Differential Protection in IEC-61850-Based Substations. IEEE Trans. Ind. Appl. 2018, 54, 135–142. [Google Scholar] [CrossRef]











| Power System Models for Optimal Frequency Regulation | |||
|---|---|---|---|
| S. No. | Conventional Power System | RESs Integrated Power System | Islanded Microgrid(IMG)/Smart Grid |
| 1 | Single area | Single-area | Single-area IMG |
| 2 | Multi-area (Two area, Three Area, Four area, Etc.) | Multi-area (Two area, Three Area, Four area, Etc.) | Two-area IMG |
| 3 | Deregulated PS system | Deregulated PS | Distributed energy sources (DGs) |
| 4 | PS with HVDC | PS with HVDC | --- |
| 5 | PS with FACTS devices | PS with FACTS devices | -- |
| 6 | PS with energy storage | PS with energy storage | -- |
| Ref. No. | Power System Type | Sources | Devices | Optimisation Technique | Controller |
|---|---|---|---|---|---|
| [3] | Conventional | Thermal Unit | ---- | Improved Particle Swarm Optimisation (IPSO) | PID |
| [4] | Conventional | Thermal, Hydro, and Gas units | ---- | Genetic Algorithm (GA) | PI |
| [5] | Conventional | Thermal Unit | ---- | Quadratic Regulator Approach with Compensating Pole (QRAWCP) | PID |
| [6] | Conventional | Thermal, Hydro, and Gas units | HVDC Link | Modified PSO | PID |
| [7] | Conventional | Thermal Unit | ---- | Iterative Linear Matrix Inequality | iterative PID (IPID) |
| [8] | Conventional | Thermal Unit | ---- | Ant Colony Optimisation (ACO) | PID Controller |
| [9] | Conventional | Thermal Unit | ---- | Elephant Herding Optimisation (EHO) | PID |
| [10] | Hybird power plant | Thermal, wind units | ---- | Bat Inspired Algorithm | LADRC |
| [11] | Microgrid | Reheat thermal, diesel engine generation (DEG), wind | Battery energy storage (BESS), Fuel cell (FC) | Grey Wolf Optimiser (GWO) | Fuzzy PID |
| [12] | Microgird | DEG, PV, wind | BESS, FC | GA | MPC and PID |
| [13] | Microgrid | Wind turbine, BDG | Mini Pumped hydro energy storage and BESS | Coyote-Optimisation Algorithm | PI controller |
| Ref. No. | Power System Type | No. of Areas | Sources | Devices | Optimisation Technique | Controller |
|---|---|---|---|---|---|---|
| [53] | Conventional | 1,2 | Hydro-thermal gas Units | HVDC | Differential Evolution (DE) algorithm | I, PI, PID |
| [54] | Conventional | 2 | Thermal unit | ---- | Particle Swarm Optimisation | PID controller |
| [36] | Conventional | 2 | Thermal | ---- | Differential Evolution | 2-DOF PID |
| [55] | Conventional | 2 | Hydro-thermal gas | ---- | Teaching Learning Based Optimisation (TLBO) | PID controller |
| [56] | Conventional | 2 | Thermal | HVDC | Multi-Verse Optimiser | Fuzzy-PID controller |
| [26] | Conventional | 2 | Hydro-thermal gas | UPFC and SMES | Firefly Algorithm | Fuzzy-PID |
| [54] | Conventional | 2 | Hydro-thermal gas | (GCSC) | Sine Cosine Algorithm | Optimised fuzzy fine-tuning controller |
| [55] | Convetional | 2 | DEG and TTG | Additional inertia | Imperialist Competitive Algorithm (ICA) | FOPID controller |
| [56] | Conventional | 2 | Hydro-thermal gas units | HVDC, SMES | Bull-Lion Optimisation | PI-PDF controller |
| [57] | Deregulated | 2,3 | Thermal–hydro | -- | Imperialist Competitive Algorithm (ICA). | PID Controller |
| [58] | Deregulated | 4 | Thermal–hydro | ---- | Binary Coded Genetic Algorithm (BGA) and Real-Coded Genetic Algorithm (RGA) | PID controller |
| [59] | Deregulated | 2 | Thermal–thermal | TCSC | Quasi-Oppositional Harmony Search (QOHS) | PID controller |
| [60] | Deregulated | 2 | Thermal-gas power plants | TCPS, SMES | Teaching Learning Based Optimisation and Pattern Search | `TID controller |
| [61] | Deregulated | 4 | Thermal units | ---- | Water Cycle Algorithm (WCA) | CC-TI-TID |
| [62] | Hybrid PS | 2 | Thermal–thermal, PV power model | ---- | Genetic Algorithm (GA) | Fuzzy logic controller (FLC), PID |
| [63] | Hybrid PS | 2 | Diesel generator, photovoltaic power model | ---- | Bacterial Foraging Algorithm | PI, PID, Fuzzy Logic Controller |
| [64] | Hybrid PS | 2 | Thermal, wind, photovoltaic | -- | Salp Swarm Algorithm (SSA) | PID controller |
| [65] | Hybrid PS | 2 | Thermal and wind | ---- | Coyote Optimisation Algorithm (COA) | Cascaded PDn-PI |
| [66] | Microgrid | 2 | Diesel generator, wind and solar | SMES, BESS | Social-Spider Optimiser (SSO) | PID controller |
| [67] | Microgrid | 2 | BDG, wind, tidal units | ---- | Yellow Saddle Goatfish Algorithm (YSGA) | PIFOD-(1 + PI) |
| [68] | Microgrid | 1,2 | Thermal | ---- | Electro-Search Optimisation (ESO) with Balloon Effect | Adaptive controller |
| Controllers | Merits | Demerits |
|---|---|---|
| Conventional Controller |
|
|
| Fractional Order Controller |
|
|
| Tilt Integral Derivative/Integral- Tilt Derivative Controller |
|
|
| Cascade/Dual-Stage Controller |
|
|
| Fuzzy Logic Based Controller |
|
|
| ANN Controller |
|
|
Disclaimer/Publisher’s Note: The statements, opinions and data contained in all publications are solely those of the individual author(s) and contributor(s) and not of MDPI and/or the editor(s). MDPI and/or the editor(s) disclaim responsibility for any injury to people or property resulting from any ideas, methods, instructions or products referred to in the content. |
© 2023 by the authors. Licensee MDPI, Basel, Switzerland. This article is an open access article distributed under the terms and conditions of the Creative Commons Attribution (CC BY) license (https://creativecommons.org/licenses/by/4.0/).
Share and Cite
Singh, B.; Slowik, A.; Bishnoi, S.K. Review on Soft Computing-Based Controllers for Frequency Regulation of Diverse Traditional, Hybrid, and Future Power Systems. Energies 2023, 16, 1917. https://doi.org/10.3390/en16041917
Singh B, Slowik A, Bishnoi SK. Review on Soft Computing-Based Controllers for Frequency Regulation of Diverse Traditional, Hybrid, and Future Power Systems. Energies. 2023; 16(4):1917. https://doi.org/10.3390/en16041917
Chicago/Turabian StyleSingh, Balvender, Adam Slowik, and Shree Krishan Bishnoi. 2023. "Review on Soft Computing-Based Controllers for Frequency Regulation of Diverse Traditional, Hybrid, and Future Power Systems" Energies 16, no. 4: 1917. https://doi.org/10.3390/en16041917
APA StyleSingh, B., Slowik, A., & Bishnoi, S. K. (2023). Review on Soft Computing-Based Controllers for Frequency Regulation of Diverse Traditional, Hybrid, and Future Power Systems. Energies, 16(4), 1917. https://doi.org/10.3390/en16041917

