Economic Operation Strategy of an EV Parking Lot with Vehicle-to-Grid and Renewable Energy Integration
Abstract
:1. Introduction
- 1.
- An energy management strategy is proposed to maximise the benefit of the parking lot under multiple charging modes considering the uncertainty of RESs, energy storage system (ESS) degradation, and different parking status of EVs;
- 2.
- EVs connected to chargers are classified by different parking times to indicate whether they can participate in V2G services. Different charging or reward strategies are determined accordingly;
- 3.
- Dynamic charging price is proposed based on the charging demand and parking status of EVs, which ensures that EVs will get economic charging/parking/reward while the parking lot can have satisfactory profit as well.
2. Problem Formulation
2.1. RESs Modelling
2.2. EV Modelling
2.3. ESS Modelling
2.4. Battery Degradation Cost
2.5. Constraints for the Grid
2.6. Balance Equation
2.7. Objective Function
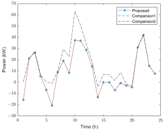
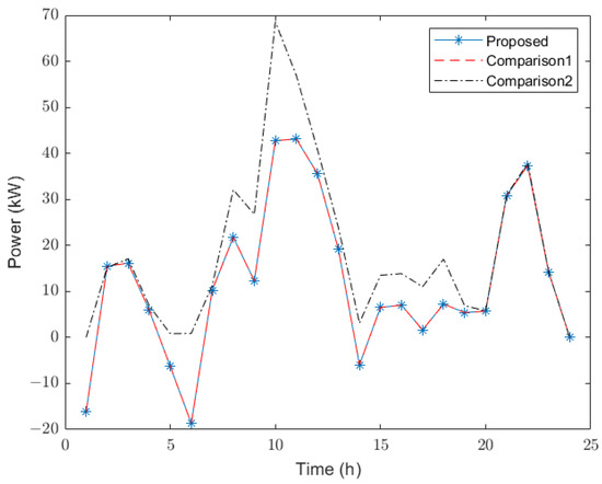
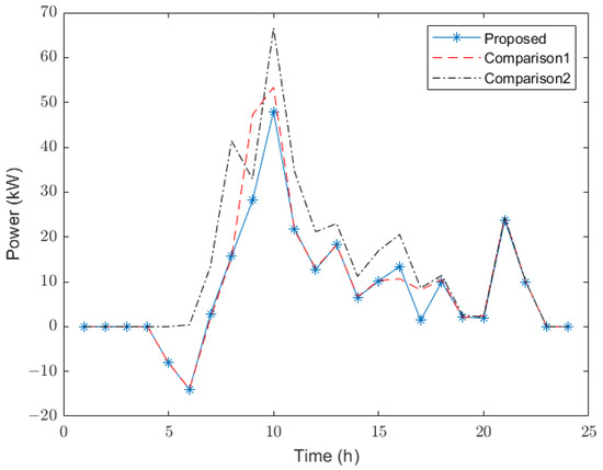
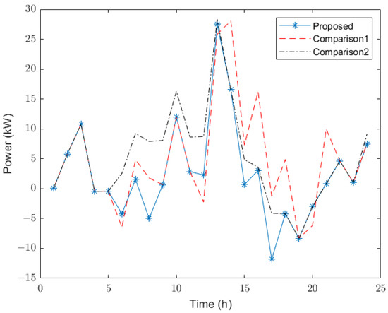
3. Case Study
3.1. Parameter and Case Settings
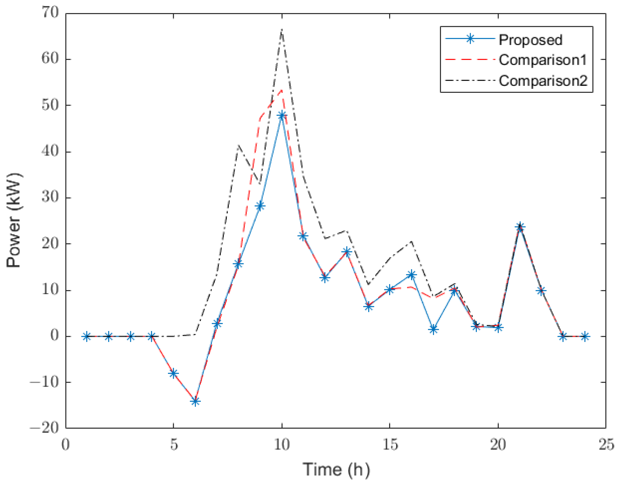
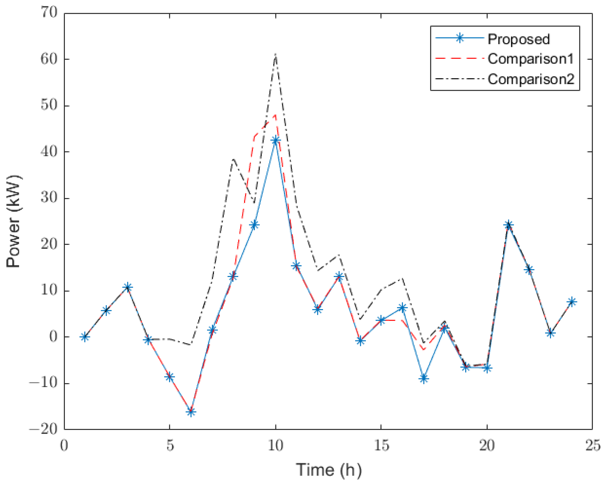
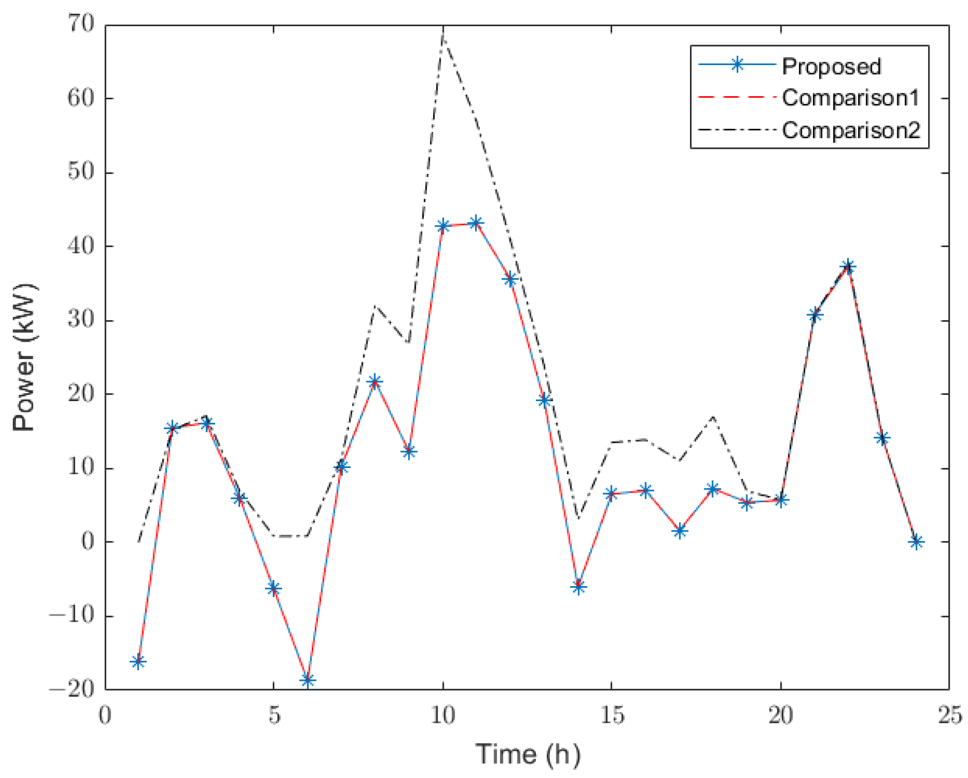
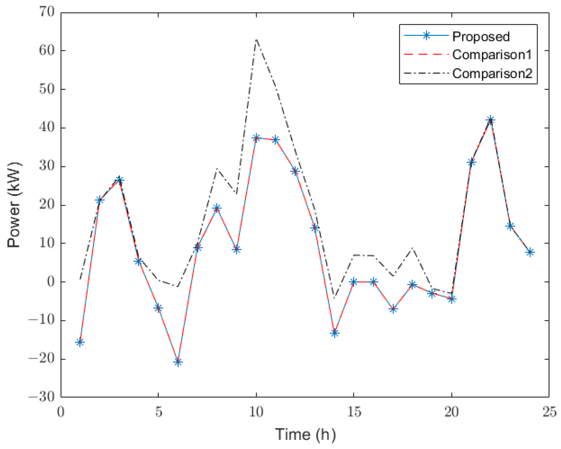
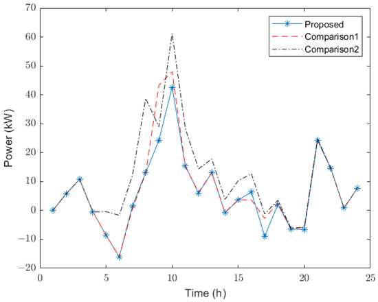
- Proposed model: This is the proposed model. EVs will use the parking lot and its charging stations with corresponding charging costs. For long-term parking EVs, they will offer V2G service in return for getting a charging price discount or may even get monetary reward payback. The charging price of short-term parking EVs is dynamic and determined by their charging demand.
- Comparison model 1: The pricing strategy of this model is based on [14,23]. Both long-term and short-term parking EVs will pay the same fixed rate for their charging. Also, V2G is considered as feed-in power to provide profit for the parking lot, and the participating EVs will receive incentive payments from the parking lot. It is assumed that all short-term parked EVs will charge as much as they can.
- Comparison model 2: This model does not consider V2G services. The pricing strategy is based on [4], where the charging price of EVs is determined by their required charging energy.
3.2. Results and Comparison
4. Conclusions
Author Contributions
Funding
Data Availability Statement
Conflicts of Interest
Nomenclature
| ESS charging efficiency | |
| EV charging efficiency | |
| ESS discharging efficiency | |
| EV discharging efficiency | |
| Price upper bound | |
| Price lower bound | |
| Electricity feed-in price at time t in scenario s | |
| Electricity purchase price at time t in scenario s | |
| V2G incentive rate | |
| Charging price for the i-th EV | |
| Operating cost coefficient of PV panels | |
| Operating cost coefficient of WT | |
| Binary variable of EV charging/discharging status | |
| Possibility of scenario s | |
| Binary variable of EV parking status | |
| Binary variable of ESS charging/discharging status | |
| Binary variable of grid export/import status | |
| Square root of the roundtrip efficiency of the battery | |
| Maximum required energy of EV | |
| Demand energy of EV | |
| Initial energy of ESS | |
| Upper bounds of the EV energy | |
| Lower bounds of the EV energy | |
| Energy of i-th EV at at time t in scenario s | |
| Upper bounds of the ESS energy | |
| Lower bounds of the ESS energy | |
| PV panel efficiency | |
| ESS discharged energy at time t in scenario s | |
| ESS energy at time T in scenario s | |
| Energy of ESS at time t in scenario s | |
| i | Index of EV |
| L | Battery lifetime throughput |
| N | Total number of EVs |
| Total number of scenarios | |
| Maximum EV charging power | |
| Maximum EV discharging power | |
| EV charging power at time t in scenario s | |
| EV discharging power at time t in scenario s | |
| Maximum ESS charging power | |
| Maximum ESS discharging power | |
| ESS charging power | |
| ESS discharging power | |
| Grid feed-in power at time t in scenario s | |
| Grid import power at time t in scenario s | |
| R | Battery purchase cost |
| Solar radiation at time t in scenario s | |
| s | Index of scenario |
| Surface area of PV panels | |
| T | Simulation time |
| t | Index of time step |
| EV’s arrival time | |
| EV’s departure time | |
| Cut-in wind speed | |
| Cut-out wind speed | |
| Rated wind speed | |
| Wind speed at time t in scenario s | |
| Rated power output of wind turbine | |
| Power generated by the PV panel at time t in scenario s | |
| Power generated by the wind turbine at time t in scenario s |
References
- International Energy Agency. Global EV Outlook 2020. Available online: https://www.iea.org/reports/global-ev-outlook-2021 (accessed on 17 January 2022).
- Survey of Motor Vehicle Use, Australia. June 2020. Available online: https://www.abs.gov.au/statistics/industry/tourism-and-transport/survey-motor-vehicle-use-australia/latest-release (accessed on 17 January 2022).
- Median Driving Range of All-Electric Vehicles Tops 250 Miles for Model Year 2020. Available online: https://www.energy.gov/eere/vehicles/articles/fotw-1167-january-4-2021-median-driving-range-all-electric-vehicles-tops-250 (accessed on 17 January 2022).
- Awad, A.S.; Shaaban, M.F.; El-Fouly, T.H.; El-Saadany, E.F.; Salama, M.M. Optimal resource allocation and charging prices for benefit maximization in smart PEV-parking lots. IEEE Trans. Sustain. Energy 2016, 8, 906–915. [Google Scholar] [CrossRef]
- Zanvettor, G.G.; Casini, M.; Smith, R.S.; Vicino, A. Stochastic Energy Pricing of an Electric Vehicle Parking Lot. IEEE Trans. Smart Grid 2022, 13, 3069–3081. [Google Scholar] [CrossRef]
- Fallah-Mehrjardi, O.; Yaghmaee, M.H.; Leon-Garcia, A. Charge scheduling of electric vehicles in smart parking-lot under future demands uncertainty. IEEE Trans. Smart Grid 2020, 11, 4949–4959. [Google Scholar] [CrossRef]
- Jhala, K.; Natarajan, B.; Pahwa, A.; Erickson, L. Coordinated electric vehicle charging for commercial parking lot with renewable energy sources. Electr. Power Compon. Syst. 2017, 45, 344–353. [Google Scholar] [CrossRef]
- Alinejad, M.; Rezaei, O.; Kazemi, A.; Bagheri, S. An optimal management for charging and discharging of electric vehicles in an intelligent parking lot considering vehicle owner’s random behaviors. J. Energy Storage 2021, 35, 102245. [Google Scholar] [CrossRef]
- Mouli, G.R.C.; Kefayati, M.; Baldick, R.; Bauer, P. Integrated PV charging of EV fleet based on energy prices, V2G, and offer of reserves. IEEE Trans. Smart Grid 2017, 10, 1313–1325. [Google Scholar] [CrossRef]
- Salvatti, G.A.; Carati, E.G.; Cardoso, R.; da Costa, J.P.; Stein, C.M.d.O. Electric Vehicles Energy Management with V2G/G2V Multifactor Optimization of Smart Grids. Energies 2020, 13, 1191. [Google Scholar] [CrossRef]
- Tostado-Véliz, M.; Jordehi, A.R.; Mansouri, S.A.; Jurado, F. A two-stage IGDT-stochastic model for optimal scheduling of energy communities with intelligent parking lots. Energy 2023, 263, 126018. [Google Scholar] [CrossRef]
- Mozaffari, M.; Abyaneh, H.A.; Jooshaki, M.; Moeini-Aghtaie, M. Joint expansion planning studies of EV parking lots placement and distribution network. IEEE Trans. Ind. Inform. 2020, 16, 6455–6465. [Google Scholar] [CrossRef]
- Liao, J.T.; Huang, H.W.; Yang, H.T.; Li, D. Decentralized V2G/G2V scheduling of EV charging stations by considering the conversion efficiency of bidirectional chargers. Energies 2021, 14, 962. [Google Scholar] [CrossRef]
- Qi, J.; Li, L.; Lei, G. Economic Operation of a Workplace EV Parking Lot under Different Operation Modes. In Proceedings of the 2021 31st Australasian Universities Power Engineering Conference (AUPEC), Virtual Conference, 26–30 September 2021; pp. 1–6. [Google Scholar]
- Azizivahed, A.; Arefi, A.; Ghavidel, S.; Shafie-Khah, M.; Li, L.; Zhang, J.; Catalão, J.P. Energy management strategy in dynamic distribution network reconfiguration considering renewable energy resources and storage. IEEE Trans. Sustain. Energy 2019, 11, 662–673. [Google Scholar] [CrossRef]
- Ju, L.; Tan, Z.; Yuan, J.; Tan, Q.; Li, H.; Dong, F. A bi-level stochastic scheduling optimization model for a virtual power plant connected to a wind–photovoltaic–energy storage system considering the uncertainty and demand response. Appl. Energy 2016, 171, 184–199. [Google Scholar] [CrossRef]
- Sadati, S.M.B.; Moshtagh, J.; Shafie-khah, M.; Catalão, J.P. Smart distribution system operational scheduling considering electric vehicle parking lot and demand response programs. Electr. Power Syst. Res. 2018, 160, 404–418. [Google Scholar] [CrossRef]
- Amirioun, M.H.; Kazemi, A. A new model based on optimal scheduling of combined energy exchange modes for aggregation of electric vehicles in a residential complex. Energy 2014, 69, 186–198. [Google Scholar] [CrossRef]
- Faraji, J.; Abazari, A.; Babaei, M.; Muyeen, S.; Benbouzid, M. Day-ahead optimization of prosumer considering battery depreciation and weather prediction for renewable energy sources. Appl. Sci. 2020, 10, 2774. [Google Scholar] [CrossRef]
- Bordin, C.; Anuta, H.O.; Crossland, A.; Gutierrez, I.L.; Dent, C.J.; Vigo, D. A linear programming approach for battery degradation analysis and optimization in offgrid power systems with solar energy integration. Renew. Energy 2017, 101, 417–430. [Google Scholar] [CrossRef]
- Eldeeb, H.H.; Faddel, S.; Mohammed, O.A. Multi-Objective Optimization Technique for the Operation of Grid tied PV Powered EV Charging Station. Electr. Power Syst. Res. 2018, 164, 201–211. [Google Scholar] [CrossRef]
- My Electric Avenue. Available online: https://www.myelectricavenue.info/ (accessed on 3 February 2022).
- Shafie-khah, M.; Heydarian-Forushani, E.; Osório, G.J.; Gil, F.A.S.; Aghaei, J.; Barani, M.; Catalão, J.P.S. Optimal Behavior of Electric Vehicle Parking Lots as Demand Response Aggregation Agents. IEEE Trans. Smart Grid 2018, 7, 2654–2665. [Google Scholar] [CrossRef]
- van der Meer, D.; Chandra Mouli, G.R.; Morales-España Mouli, G.; Elizondo, L.R.; Bauer, P. Energy Management System With PV Power Forecast to Optimally Charge EVs at the Workplace. IEEE Trans. Ind. Inform. 2018, 14, 311–320. [Google Scholar] [CrossRef]
- Baboli, P.T.; Bahramara, S.; Moghaddam, M.P.; Haghifam, M.R. A mixed-integer linear model for optimal operation of hybrid AC-DC microgrid considering Renewable Energy Resources and PHEVs. In Proceedings of the 2015 IEEE Eindhoven PowerTech, Eindhoven, The Netherlands, 29 June–2 July 2015. [Google Scholar]
- Honarm, M.; Zakariazadeh, A.; Jadid, S. Integrated scheduling of renewable generation and electric vehicles parking lot in a smart microgrid. Energy Convers. Manag. 2014, 86, 745–755. [Google Scholar] [CrossRef]
- Visualcrossing. Available online: https://www.visualcrossing.com/weather-data (accessed on 10 January 2022).
- LNesp. Scenred. 2003. Available online: https://gitlab.com/supsi-dacd-isaac/scenred (accessed on 22 December 2022).
- V2G Hub. Available online: https://www.v2g-hub.com/ (accessed on 12 February 2022).













| Proposed Model | Comparison Model 1 | Comparison Model 2 | |
|---|---|---|---|
| Case 1 | $27.08 | $21.11 | $−1.48 |
| Case 2 | $21.06 | $21.06 | $−12.55 |
| Case 3 | $36.90 | $17.60 | $22.06 |
Disclaimer/Publisher’s Note: The statements, opinions and data contained in all publications are solely those of the individual author(s) and contributor(s) and not of MDPI and/or the editor(s). MDPI and/or the editor(s) disclaim responsibility for any injury to people or property resulting from any ideas, methods, instructions or products referred to in the content. |
© 2023 by the authors. Licensee MDPI, Basel, Switzerland. This article is an open access article distributed under the terms and conditions of the Creative Commons Attribution (CC BY) license (https://creativecommons.org/licenses/by/4.0/).
Share and Cite
Qi, J.; Li, L. Economic Operation Strategy of an EV Parking Lot with Vehicle-to-Grid and Renewable Energy Integration. Energies 2023, 16, 1793. https://doi.org/10.3390/en16041793
Qi J, Li L. Economic Operation Strategy of an EV Parking Lot with Vehicle-to-Grid and Renewable Energy Integration. Energies. 2023; 16(4):1793. https://doi.org/10.3390/en16041793
Chicago/Turabian StyleQi, Jiwen, and Li Li. 2023. "Economic Operation Strategy of an EV Parking Lot with Vehicle-to-Grid and Renewable Energy Integration" Energies 16, no. 4: 1793. https://doi.org/10.3390/en16041793
APA StyleQi, J., & Li, L. (2023). Economic Operation Strategy of an EV Parking Lot with Vehicle-to-Grid and Renewable Energy Integration. Energies, 16(4), 1793. https://doi.org/10.3390/en16041793

