Numerical Analysis of Aerodynamic Thermal Properties of Hypersonic Blunt-Nosed Body with Angles of Fire
Abstract
:1. Introduction
2. Thermal Effect of Blunt Body
3. Physical Model and Numerical Method
3.1. Governing Equation
3.2. Source Term
3.3. Transport Properties
3.4. Thermodynamic Properties
3.5. Chemical Reaction Model
3.6. Turbulence Model
3.7. Computational Method
4. Validation of Numerical Models
5. Design of Numerical Experiment and Computation Details
5.1. Geometry of Blunt Body
5.2. Mesh and Boundary Conditions
5.3. Computational Cases
6. Results and Discussions
6.1. Thermal Nonequilibrium Effect of Shock Layer
6.2. Reaction Heat Release of Shock Layer
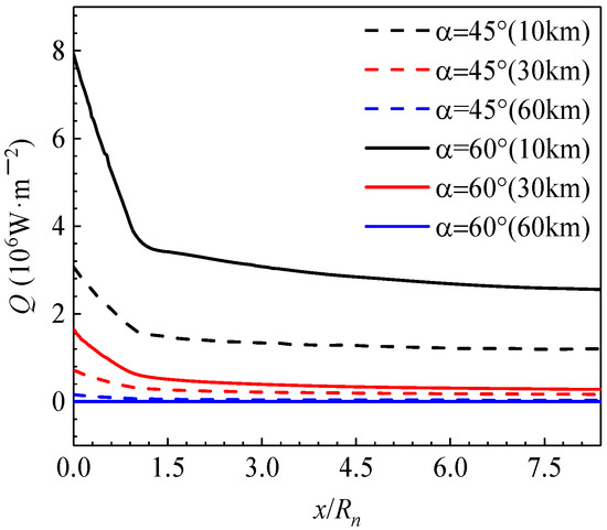
6.3. Aero-Heating Effect of Blunt Body
6.4. Surface Temperature of Blunt Body
7. Conclusions
- (1)
- The level and distribution of the translational rotation temperature and vibrational electron temperature along the stagnation line varied significantly according to the altitude. The translational rotation temperature was higher than the vibration selection temperature, and the thickness of the separated shock wave was different under the two temperature modes. The degree of thermal imbalance increased with the altitude. At α = 60°, the maximum thermal nonequilibrium degree was 1.4, which is higher than 1.25 at α = 45°.
- (2)
- The reaction heat release at α = 60° was higher than that at α = 45°. The reaction heat decreased with increasing altitude. At low altitudes, the NO concentration along the hysteresis line was more than three orders of magnitude higher than that at high altitudes.
- (3)
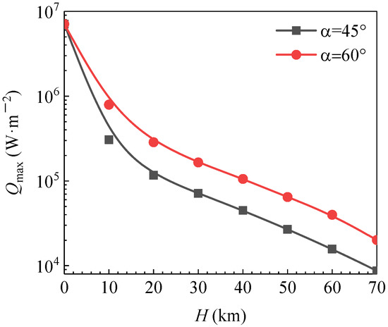
- At the two launch angles, the magnitude of the maximum heat flux decreased sharply. The heat flux dropped sharply from 7 MW/m2 at H = 0 km to approximately 2 MW/m2 at H = 70 km. In addition, the maximum heat flux at α = 60° was higher than that at α = 45°. The heat flux was approximately twice as high as that at an altitude of 20 km. The wall temperature distribution was similar to that of the heat flux distribution, and the surface temperature decreased less rapidly than did the heat flux.
Author Contributions
Funding
Data Availability Statement
Acknowledgments
Conflicts of Interest
References
- Lunan, D.A. Waverider, A Revised Chronology. In Proceedings of the 20th AIAA International Space Planes and Hypersonic Systems and Technologies Conference, Glasgow, Scotland, 6–9 July 2015. [Google Scholar]
- Fair, H. Advances in electromagnetic launch science and technology and its applications. IEEE Trans. Magn. 2009, 45, 225–230. [Google Scholar] [CrossRef]
- Wang, X.; Li, Y.; Shi, Z.; Cao, B.; Cao, Y.; Zhao, H.; Gong, X. Research on Vehicle-Mounted Electromagnetic Ejection Remote Fire Extinguishing System. Math. Probl. Eng. 2022, 2022, 2129942. [Google Scholar] [CrossRef]
- Ma, W.; Lu, J.; Liu, Y. Research progress of electromagnetic launch technology. IEEE Trans. Plasma Sci. 2019, 47, 2197–2205. [Google Scholar] [CrossRef]
- Dumm, J.; Murray, K. Electromagnetic propulsion systems: Multipurpose platforms of the future. In Proceedings of the Ninth Annual Freshman Conference, Pittsburgh, PA, USA, 4 April 2009. [Google Scholar]
- Miró, F.M.; Beyak, E.S.; Mullen, D.; Pinna, F.; Reed, H.L. Ionization and dissociation effects on hypersonic boundary-layer stability. In Proceedings of the 31st Congress of the International Council of the Aeronautical Sciences, Belo Horizonte, Brazil, 9–14 September 2018. [Google Scholar]
- Si, W.; Huang, G.; Zhu, Y.; Chen, S.; Lee, C. Hypersonic aerodynamic heating over a flared cone with wavy wall. Phys. Fluids 2019, 31, 051702. [Google Scholar]
- Yazdani, N.M.; Olyaei, M.H. Optimization of Electromagnetic Railgun and Projectile’s Trajectory by Genetic Algorithm. Majlesi J. Telecommun. Devices 2022, 11, 27–32. [Google Scholar] [CrossRef]
- Fair, H.D. Progress in electromagnetic launch science and technology. IEEE Trans. Magn. 2006, 43, 93–98. [Google Scholar] [CrossRef]
- Shen, J.; Fan, S.; Ji, Y.; Zhu, Q.; Duan, J. Aerodynamics analysis of a hypersonic electromagnetic gun launched projectile. Def. Technol. 2020, 16, 753–761. [Google Scholar] [CrossRef]
- Kasahara, H.; Matsuo, A. The effect of shape on the aerodynamic and thermal performance of hypersonic projectiles launched by a ground-based railgun. In Proceedings of the 2018 AIAA Aerospace Sciences Meeting, Kissimmee, FL, USA, 8–12 January 2018. [Google Scholar]
- Rahman, F.; Srinivas, G. Aerodynamic performance enhancement of electromagnetic gun projectile using numerical techniques. J. Adv. Res. Fluid Mech. Therm. Sci. 2021, 80, 136–152. [Google Scholar] [CrossRef]
- Justus, C.G. The NASA/MSFC Global Reference Atmospheric Model_1995 Version (GRAM-95); National Aeronautics and Space Administration, Marshall Space Flight Center: Alabama, AL, USA, 1995.
- Sarma, G. Physico–chemical modelling in hypersonic flow simulation. Prog. Aerosp. Sci. 2000, 36, 281–349. [Google Scholar] [CrossRef]
- Niu, Q.; Yuan, Z.; Dong, S.; Tan, H. Assessment of nonequilibrium air-chemistry models on species formation in hypersonic shock layer. Int. J. Heat Mass Transf. 2018, 127, 703–716. [Google Scholar] [CrossRef]
- Gnoffo, P.A.; Cheatwood, F.M. User’s Manual for the Langley Aerothermodynamic Upwind Relaxation Algorithm (LAURA); National Aeronautics and Space Administration, Langley Research Center: Hampton, VA, USA, 1996.
- Park, C. Nonequilibrium Hypersonic Aerothermodynamics; Wiley-Interscience: Hoboken, NJ, USA, 1989. [Google Scholar]
- Dutton, F.B. Dalton’s law of partial pressures. J. Chem. Educ. 1961, 38, A545. [Google Scholar] [CrossRef]
- Millikan, R.C.; White, D.R. Systematics of vibrational relaxation. J. Chem. Phys. 1963, 39, 3209–3213. [Google Scholar] [CrossRef]
- Gupta, R.N.; Yos, J.M.; Thompson, R.A.; Lee, K.-P. A Review of Reaction Rates and Thermodynamic and Transport Properties for an 11-Species Air Model for Chemical and Thermal Nonequilibrium Calculations to 30,000 K; National Aeronautics and Space Administration, Marshall Space Flight Center: Alabama, AL, USA, 1990.
- Lees, L. Hypersonic flow. J. Spacecr. Rocket. 2003, 40, 700–735. [Google Scholar] [CrossRef]
- Hayes, W. Hypersonic Flow Theory; Elsevier: Amsterdam, The Netherlands, 2012. [Google Scholar]
- Logan, S. The origin and status of the Arrhenius equation. J. Chem. Educ. 1982, 59, 279. [Google Scholar] [CrossRef]
- Park, C. Review of chemical-kinetic problems of future NASA missions. I-Earth entries. J. Thermophys. Heat Transf. 1993, 7, 385–398. [Google Scholar] [CrossRef]
- Myong, H.K.; Kasagi, N. A new approach to the improvement of k-ε turbulence model for wall-bounded shear flows. JSME Int. J. Ser 2 Fluids Eng. Heat Transf. Power Combust. Thermophys. Prop. 1990, 33, 63–72. [Google Scholar] [CrossRef]
- Bertolazzi, E.; Manzini, G. A triangle-based unstructured finite-volume method for chemically reactive hypersonic flows. J. Comput. Phys. 2001, 166, 84–115. [Google Scholar] [CrossRef]
- Yee, H.C. On Symmetric and Upwind TVD Schemes; Technical Memorandum 86842; National Aeronautics and Space Administration, Marshall Space Flight Center: Alabama, AL, USA, 1985.
- Harten, A. High resolution schemes for hyperbolic conservation laws. J. Comput. Phys. 1997, 49, 357–393. [Google Scholar] [CrossRef]
- Blazek, J. Computational Fluid Dynamics: Principles and Applications; Joe-Hayton: Sankt Augustin, Germany, 2015. [Google Scholar]
- Adamov, N.P.; Vasenev, L.G.; Zvegintsev, V.I.; Mazhul, I.I.; Nalivaichenko, D.G.; Novikov, A.V.; Kharitonov, A.M.; Shpak, S.I. Characteristics of the AT-303 hypersonic wind tunnel. Part 2. Aerodynamics of the HB-2 reference model. Thermophys. Aeromech. 2006, 13, 157–171. [Google Scholar] [CrossRef]
- Tissera, S. Assessment of High-Resolution Methods in Hypersonic Real-Gas Flows. Ph.D. Thesis, Cranfield University, Bedford, UK, 2010. [Google Scholar]
- Luo, H.; Kulakhmetov, M.; Alexeenko, A. Ab initio state-specific N2 + O dissociation and exchange modeling for molecular simulations. J. Chem. Phys. 2017, 146, 074303. [Google Scholar] [CrossRef] [PubMed]
- Andrienko, D.; Boyd, I.D. Simulation of O2-N Collisions on ab-initio Potential Energy Surfaces. In Proceedings of the 54th AIAA Aerospace Sciences Meeting, San Diego, CA, USA, 4–8 January 2016. [Google Scholar]














| Reaction | Park 93 |
|---|---|
| N2 + M1 → N + N + M1 | 3.0 × 1022 T−1.6 exp(−1.132 × 105/T) |
| O2 + M2 → O + O + M2 | 2.0 × 1021 T−1.5 exp(−5.95 × 104/T) |
| NO + M3 → N + O + M3 | 5.0 × 1015 exp(−7.55 × 104/T) |
| N2 + O → NO + N | 6.4 × 1017 T−1.0 exp(−3.84 × 104/T) |
| NO + O → O2 + N | 8.4 × 1012 exp(−1.945 × 104/T) |
| N + O → NO+ + e- | 8.8 × 108 T1.0 exp(−3.19 × 104/T) |
| N2 + e- → N + N + e- | 1.2 × 1025 |
| Reaction | Forward | Backward | ||
|---|---|---|---|---|
| a | b | a | b | |
| Dissociation | 0.5 | 0.5 | 1.0 | 0.0 |
| Neutral exchange | 1.0 | 0.0 | 1.0 | 0.0 |
| Associative ionization | 1.0 | 0.0 | 0.0 | 1.0 |
| Charge exchange | 1.0 | 0.0 | 1.0 | 0.0 |
| Electron impact dissociation | 0.0 | 1.0 | 0.5 | 0.5 |
| H, km | ρ∞, kg/m3 | T∞, K | P∞, Pa | U∞,45°, m/s | U∞,60°, m/s |
|---|---|---|---|---|---|
| 0 | 1.2250 | 288 | 101,325 | 3000 | 3000 |
| 10 | 0.4135 | 223 | 26,500 | 1737 | 2041 |
| 20 | 0.0725 | 216 | 5529 | 1500 | 1741 |
| 30 | 0.0184 | 226 | 1197 | 1409 | 1637 |
| 40 | 0.0040 | 250 | 287 | 1325 | 1575 |
| 50 | 0.0010 | 271 | 79 | 1236 | 1505 |
| 60 | 0.0003 | 247 | 22 | 1168 | 1450 |
| 70 | 0.000067 | 220 | 5.2 | 1099 | 1350 |
Disclaimer/Publisher’s Note: The statements, opinions and data contained in all publications are solely those of the individual author(s) and contributor(s) and not of MDPI and/or the editor(s). MDPI and/or the editor(s) disclaim responsibility for any injury to people or property resulting from any ideas, methods, instructions or products referred to in the content. |
© 2023 by the authors. Licensee MDPI, Basel, Switzerland. This article is an open access article distributed under the terms and conditions of the Creative Commons Attribution (CC BY) license (https://creativecommons.org/licenses/by/4.0/).
Share and Cite
Zhang, P.; Gao, W.; Niu, Q.; Dong, S. Numerical Analysis of Aerodynamic Thermal Properties of Hypersonic Blunt-Nosed Body with Angles of Fire. Energies 2023, 16, 1740. https://doi.org/10.3390/en16041740
Zhang P, Gao W, Niu Q, Dong S. Numerical Analysis of Aerodynamic Thermal Properties of Hypersonic Blunt-Nosed Body with Angles of Fire. Energies. 2023; 16(4):1740. https://doi.org/10.3390/en16041740
Chicago/Turabian StyleZhang, Pengjun, Wenqiang Gao, Qinglin Niu, and Shikui Dong. 2023. "Numerical Analysis of Aerodynamic Thermal Properties of Hypersonic Blunt-Nosed Body with Angles of Fire" Energies 16, no. 4: 1740. https://doi.org/10.3390/en16041740
APA StyleZhang, P., Gao, W., Niu, Q., & Dong, S. (2023). Numerical Analysis of Aerodynamic Thermal Properties of Hypersonic Blunt-Nosed Body with Angles of Fire. Energies, 16(4), 1740. https://doi.org/10.3390/en16041740

