A Low Q Three-Phase Series Resonant Converter for PV Applications
Abstract
:1. Introduction
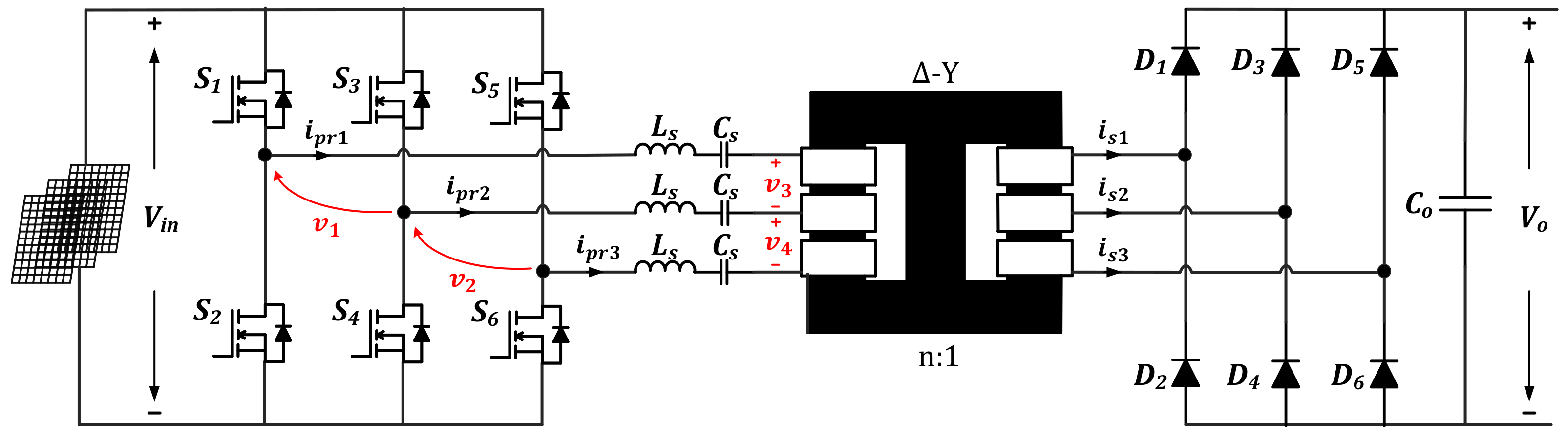
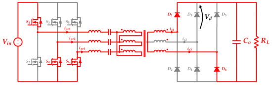
2. Three-Phase Series Resonant Converter
3. Steady-State Analysis of Converter
- The semiconductor devices are considered to have ideal characteristics.
- The magnetic components and capacitors are considered to be ideal and hence their resistances are neglected in the analysis.
- The impact of dead time is neglected.
3.1. Equivalent Circuit of the Converter
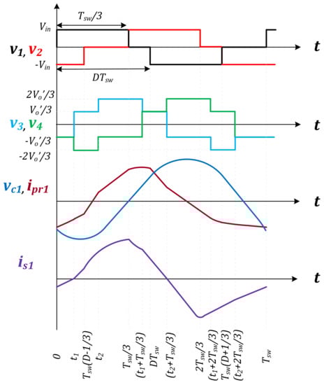
3.2. Continuous Conduction Modes
3.2.1. Stage 1 to
3.2.2. Stage 2 [ to ]
3.2.3. Stage 3 [ to ]
3.2.4. Stage 4 [ to ]
3.2.5. Stage 5 [ to ]
3.2.6. Stage 6 [ to ]
3.2.7. Stage 7 [ to ]
3.2.8. Stage 8 [ to ]
3.2.9. Stage 9 [ to ]
3.2.10. Stage 10 [ to ]
3.2.11. Stage 11 [ to ]
3.2.12. Stage 12 [ to ]
3.3. Discontinuous Conduction Modes
3.4. Mode Boundaries and ZVS Region
4. Operating Modes of the Converter
4.1. Design Specifications of the Converter
4.2. Three-Phase Operating Mode
4.3. Single-Phase Operating Mode
4.4. Proposed Operating Modes
5. Experimental Results
6. Conclusions
Author Contributions
Funding
Data Availability Statement
Conflicts of Interest
Appendix A. Variable Definitions
Appendix B. Equations for Different Conduction Modes
References
- Pahlevani, M.; Pan, S.; Jain, P. A Hybrid Phase-Shift Modulation Technique for DC/DC Converters with a Wide Range of Operating Conditions. IEEE Trans. Ind. Electron. 2016, 63, 7498–7510. [Google Scholar] [CrossRef]
- Shakib, S.M.S.I.; Mekhilef, S. A Frequency Adaptive Phase Shift Modulation Control Based LLC Series Resonant Converter for Wide Input Voltage Applications. IEEE Trans. Power Electron. 2017, 32, 8360–8370. [Google Scholar] [CrossRef]
- Suryawanshi, H.M.; Pachpor, S.; Ajmal, T.; Talapur, G.G.; Sathyan, S.; Ballal, M.S.; Borghate, V.B.; Ramteke, M.R. Hybrid Control of High-Efficient Resonant Converter for Renewable Energy System. IEEE Trans. Ind. Inform. 2018, 14, 1835–1845. [Google Scholar] [CrossRef]
- Zhou, K.; Liu, Y.; Wu, X. Research on Wide Input Voltage LLC Resonant Converter and Compound Control Strategy. Electronics 2022, 11, 3379. [Google Scholar] [CrossRef]
- Shen, Y.; Wang, H.; Shen, Z.; Yang, Y.; Blaabjerg, F. A 1-MHz Series Resonant DC–DC Converter With a Dual-Mode Rectifier for PV Microinverters. IEEE Trans. Power Electron. 2019, 34, 6544–6564. [Google Scholar] [CrossRef]
- Awasthi, A.; Bagawade, S.; Jain, P.K. Analysis of a Hybrid Variable-Frequency-Duty-Cycle-Modulated Low-QLLC Resonant Converter for Improving the Light-Load Efficiency for a Wide Input Voltage Range. IEEE Trans. Power Electron. 2021, 36, 8476–8493. [Google Scholar] [CrossRef]
- Krishnaswami, H. Photovoltaic microinverter using single-stage isolated high-frequency link series resonant topology. In Proceedings of the IEEE Energy Conversion Congress and Exposition, Phoenix, AZ, USA, 17–22 September 2011; pp. 495–500. [Google Scholar] [CrossRef]
- Zhao, X.; Zhang, L.; Born, R.; Lai, J. A High-Efficiency Hybrid Resonant Converter With Wide-Input Regulation for Photovoltaic Applications. IEEE Trans. Ind. Electron. 2017, 64, 3684–3695. [Google Scholar] [CrossRef]
- Tayebi, S.M.; Hu, H.; Abdel-Rahman, S.; Batarseh, I. Dual-Input Single-Resonant Tank LLC Converter with Phase Shift Control for PV Applications. IEEE Trans. Ind. Appl. 2019, 55, 1729–1739. [Google Scholar] [CrossRef]
- LaBella, T.; Lai, J. A Hybrid Resonant Converter Utilizing a Bidirectional GaN AC Switch for High-Efficiency PV Applications. IEEE Trans. Ind. Appl. 2014, 50, 3468–3475. [Google Scholar] [CrossRef]
- Tang, C.Y.; Wu, H.J.; Liao, C.Y.; Wu, H.H. An Optimal Frequency-Modulated Hybrid MPPT Algorithm for the LLC Resonant Converter in PV Power Applications. IEEE Trans. Power Electron. 2022, 1, 944–954. [Google Scholar] [CrossRef]
- Altin, N.; Ozdemir, S.; Khayamy, M.; Nasiri, A. A Novel Topology for Solar PV Inverter Based on an LLC Resonant Converter With Optimal Frequency and Phase-Shift Control. IEEE Trans. Ind. Appl. 2022, 4, 5042–5054. [Google Scholar] [CrossRef]
- Benda, V.; Černá, L. PV cells and modules—State of the art, limits and trends. Heliyon 2020, 6, e05666. [Google Scholar] [CrossRef] [PubMed]
- Luceño-Sánchez, J.A.; Díez-Pascual, A.M.; Peña Capilla, R. Materials for Photovoltaics: State of Art and Recent Developments. Int. J. Mol. Sci. 2019, 20, 976. [Google Scholar] [CrossRef] [PubMed]
- Dharmadasa, I.M.; Alam, A.E. How to Achieve Efficiencies beyond 22.1% for CdTe-Based Thin-Film Solar Cells. Energies 2022, 15, 9510. [Google Scholar] [CrossRef]
- Prasad, A.R.; Ziogas, P.D.; Manias, S. A three-phase resonant PWM DC-DC converter. In Proceedings of the PESC’91 Record 22nd Annual IEEE Power Electronics Specialists Conference, Cambridge, MA, USA, 24–27 June 1991; pp. 463–473. [Google Scholar] [CrossRef]
- Bhat, A.K.S.; Zheng, L. A three-phase series-parallel resonant converter-analysis, design, simulation and experimental results. In Proceedings of the Conference Record of the 1995 IEEE Industry Applications Conference Thirtieth IAS Annual Meeting, Orlando, FL, USA, 8–12 October 1995; Volume 3, pp. 2373–2380. [Google Scholar] [CrossRef]
- Almardy, M.S.; Bhat, A.K.S. Three-Phase (LC)(L)-Type Series-Resonant Converter With Capacitive Output Filter. IEEE Trans. Power Electron. 2011, 26, 1172–1183. [Google Scholar] [CrossRef]
- Arshadi, S.A.; Ordonez, M.; Eberle, W.; Craciun, M.; Botting, C. Three-Phase LLC Battery Charger: Wide Regulation and Improved Light-Load Operation. IEEE Trans. Power Electron. 2021, 2, 1519–1531. [Google Scholar] [CrossRef]
- Harischandrappa, N.; Bhat, A.K.S. A Fixed-Frequency ZVS Integrated Boost Dual Three-Phase Bridge DC–DC LCL-Type Series Resonant Converter. IEEE Trans. Power Electron. 2018, 33, 1007–1023. [Google Scholar] [CrossRef]
- Liu, F.; Chen, Y.; Chen, X. Comprehensive Analysis of Three-Phase Three-Level LC-Type Resonant DC/DC Converter With Variable Frequency Control—Series Resonant Converter. IEEE Trans. Power Electron. 2017, 32, 5122–5131. [Google Scholar] [CrossRef]
- Liu, F.; Chen, Y.; Hu, G.; Ruan, X. Modified Three-Phase Three-Level DC/DC Converter With Zero-Voltage-Switching Characteristic-Adopting Asymmetrical Duty Cycle Control. IEEE Trans. Power Electron. 2014, 29, 6307–6318. [Google Scholar] [CrossRef]
- Li, B.; Li, Q.; Lee, F.C. A WBG based three phase 12.5 kW 500 kHz CLLC resonant converter with integrated PCB winding transformer. In Proceedings of the IEEE Applied Power Electronics Conference and Exposition (APEC), San Antonio, TX, USA, 4–8 March 2018; pp. 469–475. [Google Scholar] [CrossRef]
- Fei, C.; Gadelrab, R.; Li, Q.; Lee, F.C. High-Frequency Three-Phase Interleaved LLC Resonant Converter With GaN Devices and Integrated Planar Magnetics. IEEE J. Emerg. Sel. Top. Power Electron. 2019, 7, 653–663. [Google Scholar] [CrossRef]
- Vakacharla, V.R.; Rathore, A.K. Analysis and Design of Current-Fed Three-Phase-Isolated LCC-T Resonant Converter for Low-Voltage High-Current Applications. IEEE Trans. Ind. Appl. 2019, 55, 6527–6537. [Google Scholar] [CrossRef]
- Kim, H.; Yoon, C.; Choi, S. A Three-Phase Zero-Voltage and Zero-Current Switching DC–DC Converter for Fuel Cell Applications. IEEE Trans. Power Electron. 2010, 25, 391–398. [Google Scholar] [CrossRef]
- Li, G.; Yang, D.; Zhou, B.; Liu, Y.F.; Zhang, H. Integration of Three-Phase LLC Resonant Converter and Full-Bridge Converter for Hybrid Modulated Multioutput Topology. IEEE J. Emerg. Sel. Top. Power Electron. 2022, 5, 5844–5856. [Google Scholar] [CrossRef]
- Lin, J.-Y.; Yueh, H.-Y.; Lin, Y.-F.; Liu, P.-H. Analysis and Design of Three-Phase LLC Resonant Converter with Matrix Transformers. Energies 2022, 15, 1315. [Google Scholar] [CrossRef]
- Kalathy, A.; Pahlevani, M.; Jain, P. Time-domain Analysis of a Low Q Three-phase Series Resonant Converter. In Proceedings of the IEEE Energy Conversion Congress and Exposition (ECCE), Vancouver, BC, Canada, 10–14 October 2021; pp. 1820–1827. [Google Scholar] [CrossRef]
- Wang, B.; Xin, X.; Wu, S.; Wu, H.; Ying, J. Analysis and Implementation of LLC Burst Mode for Light Load Efficiency Improvement. In Proceedings of the Twenty-Fourth Annual IEEE Applied Power Electronics Conference and Exposition, Washington, DC, USA, 15–19 February 2009; pp. 58–64. [Google Scholar] [CrossRef]
- Li, B.; Li, Q.; Lee, F.C. Phase Shading for Light Load Efficiency Improve in Three-Phase Resonant Converter with Integrated PCB Winding Magnetics. In Proceedings of the 10th International Conference on Power Electronics and ECCE Asia (ICPE 2019-ECCE Asia), Busan, Republic of Korea, 27–30 May 2019; pp. 2362–2367. [Google Scholar] [CrossRef]
- Awasthi, A.; Bagawade, S.; Kumar, A.; Jain, P. Time-Domain Analysis of APWM-Frequency Modulated Low-Q LLC Resonant Converter for Wide Input and Load Range Applications. In Proceedings of the IEEE Energy Conversion Congress and Exposition (ECCE), Baltimore, MD, USA, 9 September–3 October 2019; pp. 1334–1340. [Google Scholar] [CrossRef]
- Kalathy, A. Design and Analysis of a Low Q Three-phase Series Resonant Converter. Master’s Thesis, Department of Electrical and Computer Engineering, Queen’s University, Kingston, ON, Canada, 2021. [Google Scholar]
- Safaee, A.; Karimi-Ghartemani, M.; Jain, P.K.; Bakhshai, A. Time-Domain Analysis of a Phase-Shift-Modulated Series Resonant Converter with an Adaptive Passive Auxiliary Circuit. IEEE Trans. Power Electron. 2016, 31, 7714–7734. [Google Scholar] [CrossRef]





















| Mode | Region of Operation | Initial Conditions | Steady-State Equations to Solve for and |
|---|---|---|---|
| CCM1 | (17), (18), and (21) | ||
| CCM2 | (A7)–(A9) | ||
| CCM3 | (17), (18), and (21) | ||
| CCM4 | (A7), (A10), and (A11) | ||
| CCM5 | (17), (18), and (21) | ||
| CCM6 | (A7), (A10), and (A11) | ||
| CCM7 | (A7), (A10), and (A11) |
| Mode | Region of Operation | Initial Conditions | Steady-State Equations to Solve for Unknown Variables |
|---|---|---|---|
| DCM1 | (A12)–(A15) | ||
| DCM2 | (A16)–(A20) | ||
| DCM3 | (A12)–(A15) | ||
| DCM4 | (A12)–(A15) |
| Parameter | Value |
|---|---|
| Output power () | 1 kW |
| Output voltage () | 400 V |
| Input voltage range | 80 V–160 V |
| Resonant frequency () | 100 kHz |
| Switching frequency range () | 100–250 kHz |
| Turns ratio () | |
| Rated Quality factor () | 1 |
| Component | Value |
|---|---|
| Primary switches () | IPB600N25N3 |
| Secondary diodes () | STPSC406B |
| Series resonant inductance () | H |
| Resonant capacitance () | H |
| Transformer leakage inductance () | 300 nH |
| Transformer magnetizing inductance () | H |
| Parameters | 80 V Full Load | 80 V Half Load | 160 V Full Load | 160 V Half Load | ||||
|---|---|---|---|---|---|---|---|---|
| High Q | Low Q | High Q | Low Q | High Q | Low Q | High Q | Low Q | |
| Switching frequency () | kHz | kHz | kHz | kHz | 125 kHz | kHz | kHz | 250 kHz |
| Duty cycle (D) | ||||||||
| Resonant inductor current () | A | A | A | A | A | A | A | A |
| Resonant capacitor voltage () | V | V | V | V | V | V | V | V |
| Conduction loss | W | W | W | W | W | W | W | W |
| Core loss | W | W | W | W | W | W | W | W |
| Turn-off loss | W | W | W | W | W | W | W | 1 W |
| Efficiency | ||||||||
| Experimental Efficiency | ||||||||
Disclaimer/Publisher’s Note: The statements, opinions and data contained in all publications are solely those of the individual author(s) and contributor(s) and not of MDPI and/or the editor(s). MDPI and/or the editor(s) disclaim responsibility for any injury to people or property resulting from any ideas, methods, instructions or products referred to in the content. |
© 2023 by the authors. Licensee MDPI, Basel, Switzerland. This article is an open access article distributed under the terms and conditions of the Creative Commons Attribution (CC BY) license (https://creativecommons.org/licenses/by/4.0/).
Share and Cite
Kalathy, A.; Laha, A.; Pahlevani, M.; Jain, P. A Low Q Three-Phase Series Resonant Converter for PV Applications. Energies 2023, 16, 1707. https://doi.org/10.3390/en16041707
Kalathy A, Laha A, Pahlevani M, Jain P. A Low Q Three-Phase Series Resonant Converter for PV Applications. Energies. 2023; 16(4):1707. https://doi.org/10.3390/en16041707
Chicago/Turabian StyleKalathy, Abirami, Arpan Laha, Majid Pahlevani, and Praveen Jain. 2023. "A Low Q Three-Phase Series Resonant Converter for PV Applications" Energies 16, no. 4: 1707. https://doi.org/10.3390/en16041707
APA StyleKalathy, A., Laha, A., Pahlevani, M., & Jain, P. (2023). A Low Q Three-Phase Series Resonant Converter for PV Applications. Energies, 16(4), 1707. https://doi.org/10.3390/en16041707

