Optimum Design of a Renewable-Based Integrated Energy System in Autonomous Mode for a Remote Hilly Location in Northeastern India
Abstract
1. Introduction
- An autonomous renewable-based integrated energy system (IES) is designed in the HOMER Pro environment for cost optimization- and size optimization-related problems in a remote hilly town, Yupia, located in the mountainous Indian state of Arunachal Pradesh.
- Out of the four different IES cases studied, i.e., (i) battery/biomass/hydro (Ba/Bi/H), (ii) battery/biomass/solar (Ba/Bi/S), (iii) battery/hydro/solar (Ba/H/S) and (iv) battery/biomass/hydro/solar (Ba/Bi/H/S), the best combination easily satisfies the remote hilly town’s requirement in terms of load with sustainability, reliability and continuity.
- The study showcases the minimal COE value and NPC value for the most optimized case of the IES as found from the simulation result, taking the latest inflation rate and discount rate of India as of December 2022.
- A combination of battery/biomass/hydro/solar (Ba/Bi/H/S) is found to be most effective for the proposed hilly area of study.
- The study also considers a sensitivity test having a variation in load, solar irradiation/day and hydro stream flow/month.
- The reliability test and a detailed environmental impact study are also carried out on all the proposed cases considering the Indian context.
- The result also indicates that the most optimized combination reduces the pollutant emission of CO2 gas in the environment when compared with the battery/biomass/hydro system having the worst emission rate.
2. Methodology Adopted for the Present Study
2.1. Selection of Location
2.2. Assessment for Load Requirement
2.3. Assessment for Renewable Sources
2.3.1. Solar Resource
2.3.2. Hydro Resource
2.3.3. Biomass Resource
3. Mathematical Formulation of the Components under Use
3.1. Solar Photovoltaic (PV)
3.2. Hydro-Electric Turbine
3.3. Biomass Generator
3.4. Battery Storage
3.5. Bidirectional-Based System Converter
4. Formulation of the Problems Solved by HOMER Pro
4.1. SolarPV Panel Cost
| Components | Manufacturer Name | Capital Cost | O&M Cost |
|---|---|---|---|
| 200 kW Solar-PV Panel | Solar Square | 270 USD/kW [61] | 27 USD/kW/year [61] |
| 250 kW PV Converter | Solar Square | 100 USD/kW [61] | 5 USD/kW/year [61] |
| 11 kW Hydro Turbine | Suneco | USD 36,000 [62] | 2400 USD/year [62] |
| 50 kW Biomass Genset | Prakash | USD 7500 [63] | 1.5 USD/opr. h [63] |
| Battery | DLECL | 220 USD/kWh [64] | 10 USD/kWh/year [64] |
| System Converter | Mouser | 250 USD/kW [65] | 0 USD/kW/year [65] |
4.2. Hydro-Electric Turbine Cost
4.3. Biomass Generator Cost
4.4. Battery Cost
4.5. Bidirectional-Based System Converter Cost
5. About HOMER Pro Software
6. Results Obtained through Simulations
- (i)
- battery/biomass/hydro (Ba/Bi/H),
- (ii)
- battery/biomass/solar (Ba/Bi/S),
- (iii)
- battery/hydro/solar (Ba/H/S) and
- (iv)
- battery/biomass/hydro/solar (Ba/Bi/H/S),
6.1. Case I: Ba/Bi/H
6.2. Case II: Ba/Bi/S
6.3. Case III: Ba/H/S
6.4. Case IV: Ba/Bi/H/S
6.5. Comparison Study among Considered Cases I to IV
6.6. Sensitivity Study for the Optimized Autonomous Ba/Bi/H/S Integrated System
6.7. Estimation of System Reliability
6.8. Limitations of the Current Research
7. Conclusions
Author Contributions
Funding
Data Availability Statement
Conflicts of Interest
References
- Das, R.; Bhattacharjee, S.; Das, U. Importance of Hybrid Energy System in Reducing Greenhouse Emissions. In Renewable Energy Systems: Modeling, Optimization and Applications, 1st ed.; Kumar, S., Gupta, N., Kumar, S., Upadhyay, S., Eds.; Wiley: Hoboken, NJ, USA, 2022; pp. 1–27. [Google Scholar]
- Guchhait, P.K.; Chakraborty, S.; Mukherjee, D.; Banerjee, R. Intelligent reactive power control of renewable integrated hybrid energy system model using static synchronous compensators and soft computing techniques. J. King Saud Univ. Eng. Sci. 2022, in press. [Google Scholar] [CrossRef]
- Das, U.; Mandal, S.; Bhattacharjee, S.; Nandi, C. A review of different configuration of hybrid energy systems with case study analysis. Int. J. Environ. Sustain. Dev. 2022, 21, 116–137. [Google Scholar] [CrossRef]
- Balamurugan, P.; Ashok, S.; Jose, T.L. Optimal operation of biomass/wind/PV hybrid energy system for rural areas. Int. J. Green Energy 2009, 6, 104–116. [Google Scholar] [CrossRef]
- Mukherjee, D.; Chakraborty, S.; Abdelaziz, A.Y. Deep learning assisted prediction for generation of power from solar PV. In Proceedings of the 2022 IEEE 10th Region 10 Humanitarian Technology Conference (R10-HTC), Hyderabad, India, 16–18 September 2022; pp. 382–386. [Google Scholar]
- Mukherjee, D.; Chakraborty, S.; Guchhait, P.K.; Bhunia, J. Machine learning based solar power generation forecasting with and without MPPT controller. In Proceedings of the 2020 IEEE 1st International Conference for Convergence in Engineering (ICCE), Kolkata, India, 5–6 September 2020; pp. 44–48. [Google Scholar]
- Bhattacharjee, S.; Nandi, C. Technical feasibility study and optimisation analysis on solar biomass-based pumped storage hydropower plant. Int. J. Environ. Sustain. Dev. 2021, 20, 404–429. [Google Scholar] [CrossRef]
- Vendoti, S.; Muralidhar, M.; Kiranmayi, R. HOMER based optimization of solar-wind-diesel hybrid system for electrification in a rural village. In Proceedings of the 2018 International Conference on Computer Communication and Informatics (ICCCI), Coimbatore, India, 4–6 January 2018; pp. 1–6. [Google Scholar]
- Rajanna, S.; Saini, R.P. Employing demand side management for selection of suitable scenario-wise isolated integrated renewal energy models in an Indian remote rural area. Renew. Energy 2016, 99, 1161–1180. [Google Scholar] [CrossRef]
- Hossain, M.; Mekhilef, S.; Olatomiwa, L. Performance evaluation of a stand-alone PV-wind-diesel-battery hybrid system feasible for a large resort center in South China Sea, Malaysia. Sustain. Cities Soc. 2017, 28, 358–366. [Google Scholar] [CrossRef]
- Olabode, O.E.; Ajewole, T.O.; Okakwu, I.K.; Alayande, A.S.; Akinyele, D.O. Hybrid power systems for off-grid locations: A comprehensive review of design technologies, applications and future trends. Sci. Afr. 2021, 13, e00884. [Google Scholar] [CrossRef]
- Rajanna, S.; Saini, R.P. Optimal modeling of solar/biogas/biomass based IRE system for a remote area electrification. In Proceedings of the 2014 6th IEEE Power India International Conference (PIICON), Delhi, India, 5–7 December 2014; pp. 1–5. [Google Scholar]
- Rajanna, S.; Saini, R.P. Modeling of integrated renewable energy system for electrification of a remote area in India. Renew. Energy 2016, 90, 175–187. [Google Scholar] [CrossRef]
- Olatomiwa, L.; Mekhilef, S.; Huda, A.S.N.; Ohunakin, O.S. Economic evaluation of hybrid energy systems for rural electrification in six geo-political zones of Nigeria. Renew. Energy 2015, 83, 435–446. [Google Scholar] [CrossRef]
- Trading-Economies. 2014. Available online: http://www.tradingeconomics.com/nigeria/pump-price-for-diesel-fuel-us-dollar-per-liter-wb-data.html (accessed on 28 December 2022).
- Worldbank. 2014. Available online: https://data.worldbank.org/ (accessed on 28 December 2022).
- Olatomiwa, L.; Blanchard, R.; Mekhilef, S.; Akinyele, D. Hybrid renewable energy supply for rural healthcare facilities: An approach to quality healthcare delivery. Sustain. Energy Technol. Assess. 2018, 30, 121–138. [Google Scholar] [CrossRef]
- Olatomiwa, L.; Mekhilef, S.; Huda, A.N.; Sanusi, K. Techno-economic analysis of hybrid PV–diesel–battery and PV–wind–diesel–battery power systems for mobile BTS: The way forward for rural development. Energy Sci. Eng. 2015, 3, 271–285. [Google Scholar] [CrossRef]
- Zhang, W.; Maleki, A.; Rosen, M.A.; Liu, J. Sizing a stand-alone solar-wind-hydrogen energy system using weather forecasting and a hybrid search optimization algorithm. Energy Convers. Manag. 2019, 180, 609–621. [Google Scholar] [CrossRef]
- Givler, T.; Lilienthal, P. Using HOMER Software, NREL’s Micropower Optimization Model, to Explore the Role of Gen-Sets in Small Solar Power Systems. In Case Study: Sri Lanka; National Renewable Energy Laboratory: Golden, CO, USA, 2005. [Google Scholar]
- Abdullah, M.O.; Yung, V.C.; Anyi, M.; Othman, A.K.; Hamid, K.A.; Tarawe, J. Review and comparison study of hybrid diesel/solar/hydro/fuel cell energy schemes for a rural ICT Telecenter. Energy 2010, 35, 639–646. [Google Scholar] [CrossRef]
- Samy, M.M.; Barakat, S.; Ramadan, H.S. A flower pollination optimization algorithm for an off-grid PV-Fuel cell hybrid renewable system. Int. J. Hydrog. Energy 2019, 44, 2141–2152. [Google Scholar] [CrossRef]
- Vendoti, S.; Muralidhar, M.; Kiranmayi, R. Design and analysis of solar PV-fuel cell-battery based hybrid renewable energy system (HRES) for off-grid electrification in rural areas. i-Manag. J. Instrum. Control. Eng. 2018, 6, 1–11. [Google Scholar]
- Jamshidi, M.; Askarzadeh, A. Techno-economic analysis and size optimization of an off-grid hybrid photovoltaic, fuel cell and diesel generator system. Sustain. Cities Soc. 2019, 44, 310–320. [Google Scholar] [CrossRef]
- Kumaravel, S.; Ashok, S. An optimal stand-alone biomass/solar-PV/pico-hydel hybrid energy system for remote rural area electrification of isolated village in Western-Ghats region of India. Int. J. Green Energy 2012, 9, 398–408. [Google Scholar] [CrossRef]
- Akram, F.; Asghar, F.; Majeed, M.A.; Amjad, W.; Manzoor, M.O.; Munir, A. Techno-economic optimization analysis of stand-alone renewable energy system for remote areas. Sustain. Energy Technol. Assess. 2020, 38, 100673. [Google Scholar] [CrossRef]
- Abdul-Wahab, S.A.; Charabi, Y.; Al-Mahruqi, A.M.; Osman, I. Design and evaluation of a hybrid energy system for Masirah Island in Oman. Int. J. Sustain. Eng. 2020, 13, 288–297. [Google Scholar] [CrossRef]
- Maisanam, A.K.S.; Podder, B.; Biswas, A.; Sharma, K.K. Site-specific tailoring of an optimal design of renewable energy system for remote water supply station in Silchar, India. Sustain. Energy Technol. Assess. 2019, 36, 100558. [Google Scholar] [CrossRef]
- Jurasz, J.; Ceran, B.; Orłowska, A. Component degradation in small-scale off-grid PV-battery systems operation in terms of reliability, environmental impact and economic performance. Sustain. Energy Technol. Assess. 2020, 38, 100647. [Google Scholar] [CrossRef]
- Anwar, K.; Deshmukh, S.; Mustafa, R.S. Feasibility and sensitivity analysis of a hybrid photovoltaic/wind/biogas/fuel-cell/diesel/battery system for off-grid rural electrification using HOMER. J. Energy Resour. Technol. 2020, 142, 61307. [Google Scholar] [CrossRef]
- Oladigbolu, J.O.; Ramli, M.A.; Al-Turki, Y.A. Optimal design of a hybrid PV solar/micro-hydro/diesel/battery energy system for a remote rural village under tropical climate conditions. Electronics 2020, 9, 1491. [Google Scholar] [CrossRef]
- Hemeida, A.M.; El-Ahmar, M.H.; El-Sayed, A.M.; Hasanien, H.M.; Alkhalaf, S.; Esmail, M.F.C.; Senjyu, T. Optimum design of hybrid wind/PV energy system for remote area. Ain Shams Eng. J. 2020, 11, 11–23. [Google Scholar] [CrossRef]
- Vendoti, S.; Muralidhar, M.; Kiranmayi, R. Techno-economic analysis of off-grid solar/wind/biogas/biomass/fuel cell/battery system for electrification in a cluster of villages by HOMER software. Environ. Dev. Sustain. 2021, 23, 351–372. [Google Scholar] [CrossRef]
- Islam, M.R.; Akter, H.; Howlader, H.O.R.; Senjyu, T. Optimal sizing and techno-economic analysis of grid-independent hybrid energy system for sustained rural electrification in developing countries: A case study in Bangladesh. Energies 2022, 15, 6381. [Google Scholar] [CrossRef]
- Hemeida, A.M.; Omer, A.S.; Bahaa-Eldin, A.M.; Alkhalaf, S.; Ahmed, M.; Senjyu, T.; El-Saady, G. Multi-objective multi-verse optimization of renewable energy sources-based micro-grid system: Real case. Ain Shams Eng. J. 2022, 13, 101543. [Google Scholar] [CrossRef]
- Agyekum, E.B.; Ampah, J.D.; Afrane, S.; Adebayo, T.S.; Agbozo, E. A 3E, hydrogen production, irrigation, and employment potential assessment of a hybrid energy system for tropical weather conditions—Combination of HOMER software, shannon entropy, and TOPSIS. Int. J. Hydrog. Energy 2022, 47, 31073–31097. [Google Scholar] [CrossRef]
- Wahedi, A.A.; Bicer, Y. Techno-economic optimization of novel stand-alone renewables-based electric vehicle charging stations in Qatar. Energy 2022, 243, 123008. [Google Scholar] [CrossRef]
- Ampah, J.D.; Jin, C.; Agyekum, E.B.; Afrane, S.; Geng, Z.; Adun, H.; Yusuf, A.A.; Liu, H.; Bamisile, O. Performance analysis and socio-enviro-economic feasibility study of a new hybrid energy system-based decarbonization approach for coal mine sites. Sci. Total Environ. 2023, 854, 158820. [Google Scholar] [CrossRef] [PubMed]
- Praveenkumar, S.; Agyekum, E.B.; Ampah, J.D.; Afrane, S.; Velkin, V.I.; Mehmood, U.; Awosusi, A.A. Techno-economic optimization of PV system for hydrogen production and electric vehicle charging stations under five different climatic conditions in India. Int. J. Hydrog. Energy 2022, 47, 38087–38105. [Google Scholar] [CrossRef]
- Ayodele, T.R.; Mosetlhe, T.C.; Yusuff, A.A.; Ntombela, M. Optimal design of wind-powered hydrogen refuelling station for some selected cities of South Africa. Int. J. Hydrog. Energy 2021, 46, 24919–24930. [Google Scholar] [CrossRef]
- Jahangir, M.H.; Javanshir, F.; Kargarzadeh, A. Economic analysis and optimal design of hydrogen/diesel backup system to improve energy hubs providing the demands of sport complexes. Int. J. Hydrog. Energy 2021, 46, 14109–14129. [Google Scholar] [CrossRef]
- Bayu, E.S.; Khan, B.; Hagos, I.G.; Mahela, O.P.; Guerrero, J.M. Feasibility analysis and development of stand-alone hybrid power generation system for remote areas: A case study of Ethiopian rural area. Wind 2022, 2, 68–86. [Google Scholar] [CrossRef]
- Khan, Z.A.; Imran, M.; Altamimi, A.; Diemuodeke, O.E.; Abdelatif, A.O. Assessment of wind and solar hybrid energy for agricultural applications in Sudan. Energies 2022, 15, 5. [Google Scholar] [CrossRef]
- Hidalgo-Leon, R.; Amoroso, F.; Urquizo, J.; Villavicencio, V.; Torres, M.; Singh, P.; Soriano, G. Feasibility study for off-grid hybrid power systems considering an energy efficiency initiative for an island in Ecuador. Energies 2022, 15, 1776. [Google Scholar] [CrossRef]
- Makhdoomi, S.; Askarzadeh, A. Techno-enviro-economic feasibility assessment of an off-grid hybrid energy system with/without solar tracker considering pumped hydro storage and battery. IET Renew. Power Gener. 2022, in press. [Google Scholar] [CrossRef]
- Sambhi, S.; Sharma, H.; Kumar, P.; Fotis, G.; Vita, V.; Ekonomou, L. Techno-economic optimization of an off-grid hybrid power generation for SRM IST, Delhi-NCR campus. Energies 2022, 15, 7880. [Google Scholar] [CrossRef]
- Sambhi, S.; Sharma, H.; Bhadoria, V.; Kumar, P.; Chaurasia, R.; Chaurasia, G.S.; Fotis, G.; Vita, V.; Ekonomou, L.; Pavlatos, C. Economic feasibility of a renewable integrated hybrid power generation system for a rural village of Ladakh. Energies 2022, 15, 9126. [Google Scholar] [CrossRef]
- Ghaithi, H.M.A.; Fotis, G.P.; Vita, V. Techno-economic assessment of hybrid energy off-grid system—A case study for Masirah island in Oman. Int. J. Power Energy Res. 2017, 1, 103–116. [Google Scholar] [CrossRef]
- Rural Electrification: Arunachal a Major Hurdle in Achieving May 1 Deadline. Available online: https://indianexpress.com/article/business/budget/union-budget-rural-electrification-arunachal-a-major-hurdle-in-achieving-may-1-deadline-5042809/ (accessed on 1 August 2022).
- Census of India 2011: Arunachal Pradesh. Series 13, Para XII–B. Available online: https://censusindia.gov.in/nada/index.php/catalog/181 (accessed on 1 August 2022).
- Department of Power—Government of Arunachal Pradesh. Available online: http://power.arunachal.gov.in/ (accessed on 5 August 2022).
- HOMER Software. Available online: https://www.homerenergy.com/ (accessed on 5 August 2022).
- POWER|Data Access Viewer. Available online: https://power.larc.nasa.gov/data-access-viewer/ (accessed on 5 August 2022).
- Arunachal Pradesh Energy Development Agency (APEDA). Available online: https://apeda.nic.in/ (accessed on 5 August 2022).
- Chauhan, A.; Saini, R.P. Size optimization and demand response of a stand-alone integrated renewable energy system. Energy 2017, 124, 59–73. [Google Scholar] [CrossRef]
- Alanazi, A.; Alanazi, M.; Nowdeh, S.A.; Abdelaziz, A.Y.; El-Shahat, A. An optimal sizing framework for autonomous photovoltaic/hydrokinetic/hydrogen energy system considering cost, reliability and forced outage rate using horse herd optimization. Energy Rep. 2022, 8, 7154–7175. [Google Scholar] [CrossRef]
- Kanase-Patil, A.B.; Saini, R.P.; Sharma, M.P. Development of IREOM model based on seasonally varying load profile for hilly remote areas of Uttarakhand state in India. Energy 2011, 36, 5690–5702. [Google Scholar] [CrossRef]
- Krishan, O.; Sathans. Design and techno-economic analysis of a HRES in a rural village. Procedia Comput. Sci. 2018, 125, 321–328. [Google Scholar] [CrossRef]
- Bhattacharjee, S.; Chakraborty, S.; Nandi, C. An Optimization Case Study of Hybrid Energy System in Four Different Regions of India. In Advances in Greener Energy Technologies, 1st ed.; Bhoi, A.K., Sherpa, K.S., Kalam, A., Chae, G.S., Eds.; Springer: Singapore, 2020; pp. 399–437. [Google Scholar]
- Castellanos, J.G.; Walker, M.; Poggio, D.; Pourkashanian, M.; Nimmo, W. Modelling an off-grid integrated renewable energy system for rural electrification in India using photovoltaics and anaerobic digestion. Renew. Energy 2015, 74, 390–398. [Google Scholar] [CrossRef]
- Solar Square. Available online: https://www.solarsquare.in/ (accessed on 28 December 2022).
- Suneco Hydro Available online: Turbines. Available online: https://www.micro-hydro-power.com/ (accessed on 28 December 2022).
- Prakash Genset. Available online: https://www.prakashgenset.in/ (accessed on 28 December 2022).
- Dongguan Liliang Electronics Co., Ltd. Available online: https://www.liliangbattery.com/ (accessed on 28 December 2022).
- Mouser Electronics. Available online: https://www.mouser.in/ (accessed on 28 December 2022).
- Trading Economics. Available online: https://tradingeconomics.com/ (accessed on 28 December 2022).
- Lambert, T.; Gilman, P.; Lilienthal, P. Micropower system modeling with HOMER. Integr. Altern. Sources Energy 2006, 1, 379–385. [Google Scholar]
- Mittal, M.L.; Sharma, C.; Singh, R. Estimates of emissions from coal fired thermal power plants in India. In Proceedings of the 2012 International Emission Inventory Conference, Tampa, FL, USA, 13–16 August 2012; pp. 1–22. [Google Scholar]
- Rajkumar, R.K.; Ramachandaramurthy, V.K.; Yong, B.L.; Chia, D.B. Techno-economical optimization of hybrid pv/wind/battery system using Neuro-Fuzzy. Energy 2011, 36, 5148–5153. [Google Scholar] [CrossRef]

































| Location and Country | Year | Integrated System with Battery (Off-Grid) | Consumption of Electricity (kWh/Day) | Peak Load (kW) | NPC (USD) | COE (USD/kWh) |
|---|---|---|---|---|---|---|
| BTS, Nigeria [18] | 2015 | Diesel/Solar | 37 | 3.3 | 69,811.00 | 0.409 |
| Kakkavayal, India [25] | 2012 | Biomass/Hydro/Solar | 667 | 56 | 54,558.81 | 0.164 |
| Chaghi, Pakistan [26] | 2020 | Diesel/Solar/Wind | 609 | 50.27 | 301,741.00 | 0.105 |
| Silchar, India [28] | 2019 | Solar | 369.31 | 55.45 | 675,475.00 | 0.307 |
| Thumkunta, India [30] | 2020 | Biogas/Solar/Wind | 865 | 80.92 | 730,000.00 | 0.180 |
| Chamarajanagar, India [33] | 2021 | Biogas/Biomass/Fuel Cell/Solar/Wind | 724.83 | 149.21 | 890,013.00 | 0.214 |
| SRM-IST, India [46] | 2022 | Diesel/Solar | 400 | 74.27 | 639,981.00 | 0.340 |
| Turtuk, India [47] | 2022 | Diesel/Solar/Wind | 200 | 37.13 | 278,176.00 | 0.290 |
| Yupia, India (Proposed) | Current | Biomass/Hydro/Solar | 860.70 | 126.48 | 644,183.70 | 0.128 |
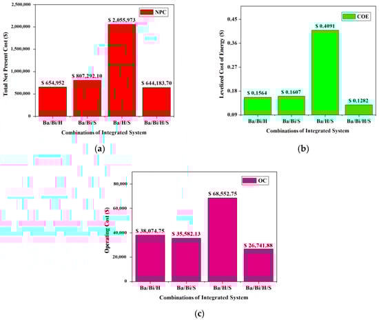
| Case | NPC (USD) | COE (USD/kWh) | OC (USD) |
|---|---|---|---|
| Case IV (Ba/Bi/H/S) | 644,183.70 | 0.1282 | 26,741.88 |
| Case I (Ba/Bi/H) | 654,952.00 | 0.1564 | 38,074.75 |
| Case II (Ba/Bi/S) | 807,292.10 | 0.1607 | 35,582.13 |
| Case III (Ba/H/S) | 2,055,973.00 | 0.4091 | 68,552.75 |
| Case | CO2 (kg/yr) | CO (kg/yr) | UHCs (kg/yr) | PM2.5 (kg/yr) | SO2 (kg/yr) | NO (kg/yr) |
|---|---|---|---|---|---|---|
| CaseIV (Ba/Bi/H/S) | 5084 | 162 | 2.4 | 0.97 | 0 | 135 |
| CaseI (Ba/Bi/H) | 18,057 | 582 | 7.19 | 3.44 | 1.13 | 479 |
| CaseII (Ba/Bi/S) | 7232 | 230 | 3.41 | 1.37 | 0.59 | 192.03 |
| CaseIII (Ba/H/S) Diesel-based Genset | 0 425,615.43 | 0 3729.53 | 0 1780.26 | 0 851.23 | 0 1967.89 | 0 3235.59 |
| Case | UEL (kWh/Year) | TLD (kWh/Year) | LPSP (%) |
|---|---|---|---|
| Case IV (Ba/Bi/H/S) | 47.5 | 314,060 | 0.01 |
| Case I (Ba/Bi/H) | 121.1 | 314,034 | 0.04 |
| Case II (Ba/Bi/S) | 142.7 | 314,013 | 0.04 |
| Case III (Ba/H/S) | 95.9 | 314,060 | 0.03 |
Disclaimer/Publisher’s Note: The statements, opinions and data contained in all publications are solely those of the individual author(s) and contributor(s) and not of MDPI and/or the editor(s). MDPI and/or the editor(s) disclaim responsibility for any injury to people or property resulting from any ideas, methods, instructions or products referred to in the content. |
© 2023 by the authors. Licensee MDPI, Basel, Switzerland. This article is an open access article distributed under the terms and conditions of the Creative Commons Attribution (CC BY) license (https://creativecommons.org/licenses/by/4.0/).
Share and Cite
Chakraborty, S.; Mukherjee, D.; Guchhait, P.K.; Bhattacharjee, S.; Abdelaziz, A.Y.; El-Shahat, A. Optimum Design of a Renewable-Based Integrated Energy System in Autonomous Mode for a Remote Hilly Location in Northeastern India. Energies 2023, 16, 1588. https://doi.org/10.3390/en16041588
Chakraborty S, Mukherjee D, Guchhait PK, Bhattacharjee S, Abdelaziz AY, El-Shahat A. Optimum Design of a Renewable-Based Integrated Energy System in Autonomous Mode for a Remote Hilly Location in Northeastern India. Energies. 2023; 16(4):1588. https://doi.org/10.3390/en16041588
Chicago/Turabian StyleChakraborty, Samrat, Debottam Mukherjee, Pabitra Kumar Guchhait, Somudeep Bhattacharjee, Almoataz Youssef Abdelaziz, and Adel El-Shahat. 2023. "Optimum Design of a Renewable-Based Integrated Energy System in Autonomous Mode for a Remote Hilly Location in Northeastern India" Energies 16, no. 4: 1588. https://doi.org/10.3390/en16041588
APA StyleChakraborty, S., Mukherjee, D., Guchhait, P. K., Bhattacharjee, S., Abdelaziz, A. Y., & El-Shahat, A. (2023). Optimum Design of a Renewable-Based Integrated Energy System in Autonomous Mode for a Remote Hilly Location in Northeastern India. Energies, 16(4), 1588. https://doi.org/10.3390/en16041588

