The Effects of Differential Diffusion on Turbulent Non-Premixed Flames LO2/CH4 under Transcritical Conditions Using Large-Eddy Simulation
Abstract
1. Introduction
2. Numerical Methods
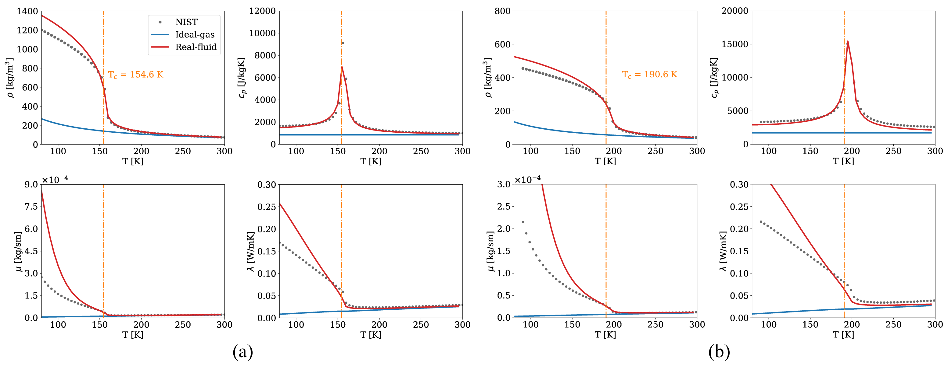
2.1. Real-Fluid Model
2.2. FPV Model
3. Experimental and Numerical Setup
4. Results and Discussion
4.1. Model Validation
4.2. Flame Structure and Flow Dynamics
4.3. Flame Structure in the Mixture Fraction Space
5. Conclusions
Author Contributions
Funding
Data Availability Statement
Conflicts of Interest
References
- Reitz, R.D. Directions in internal combustion engine research. Combust. Flame 2013, 160, 1–8. [Google Scholar] [CrossRef]
- Yang, V. Modeling of supercritical vaporization, mixing, and combustion processes in liquid-fueled propulsion systems. Proc. Combust. Inst. 2000, 28, 925–942. [Google Scholar] [CrossRef]
- Mayer, W.; Telaar, J.; Branam, R.; Schneider, G.; Hussong, J. Raman Measurements of Cryogenic Injection at Supercritical Pressure. Heat Mass Transf. 2003, 39, 709–719. [Google Scholar] [CrossRef]
- Habiballah, M.; Orain, M.; Grisch, F.; Vingert, L.; Gicquel, P. Experimental studies of high-pressure cryogenic flames on the mascotte facility. Combust. Sci. Technol. 2006, 178, 101–128. [Google Scholar] [CrossRef]
- Candel, S.; Juniper, M.; Singla, G.; Scouflaire, P.; Rolon, C. Structure and dynamics of cryogenic flames at supercritical pressure. Combust. Sci. Technol. 2006, 178, 161–192. [Google Scholar] [CrossRef]
- Singla, G.; Scouflaire, P.; Rolon, C.; Candel, S. Transcritical oxygen/transcritical or supercritical methane combustion. Proc. Combust. Inst. 2005, 30, 2921–2928. [Google Scholar] [CrossRef]
- Poschner, M.; Pfitzner, M. Real Gas CFD Simulation of Supercritical H2-LOX in the MASCOTTE Single Injector Combustor Using a Commercial CFD Code. In Proceedings of the 46th AIAA Aerospace Sciences Meeting and Exhibit, Reno, NV, USA, 7–10 January 2008. [Google Scholar] [CrossRef]
- Benmansour, A.; Liazid, A.; Logerais, P.O.; Durastanti, J.F. A 3D numerical study of LO2/GH2 supercritical combustion in the ONERA-Mascotte Test-rig configuration. J. Therm. Sci. 2016, 25, 97–108. [Google Scholar] [CrossRef]
- Huang, D.; Wang, Q.; Meng, H. Modeling of supercritical-pressure turbulent combustion of hydrocarbon fuels using a modified flamelet-progress-variable approach. Appl. Therm. Eng. 2017, 119, 472–480. [Google Scholar] [CrossRef]
- Lagarza-Cortés, C.; Ramírez-Cruz, J.; Salinas-Vázquez, M.; Vicente-Rodríguez, W.; Cubos-Ramírez, J.M. Large-eddy simulation of transcritical and supercritical jets immersed in a quiescent environment. Phys. Fluids 2019, 31, 025104. [Google Scholar] [CrossRef]
- Huo, H.; Yang, V. Large-Eddy Simulation of Supercritical Combustion: Model Validation Against Gaseous H2–O2 Injector. J. Propuls. Power 2017, 33, 1272–1284. [Google Scholar] [CrossRef]
- Ma, P.C.; Wu, H.; Ihme, M.; Hickey, J.P. Nonadiabatic Flamelet Formulation for Predicting Wall Heat Transfer in Rocket Engines. AIAA J. 2018, 56, 2336–2349. [Google Scholar] [CrossRef]
- Schmitt, T.; Méry, Y.; Boileau, M.; Candel, S. Large-Eddy Simulation of oxygen/methane flames under transcritical conditions. Proc. Combust. Inst. 2011, 33, 1383–1390. [Google Scholar] [CrossRef]
- Pelletier, M.; Schmitt, T.; Ducruix, S. A multifluid Taylor-Galerkin methodology for the simulation of compressible multicomponent separate two-phase flows from subcritical to supercritical states. Comput. Fluids 2020, 206, 104588. [Google Scholar] [CrossRef]
- Thomas, S. Large-Eddy Simulations of the Mascotte Test Cases Operating at Supercritical Pressure. Flow Turbul Combust. 2020, 105, 159–189. [Google Scholar] [CrossRef]
- Ma, P.C.; Banuti, D.; Hickey, J.P.; Ihme, M. Numerical framework for transcritical real-fluid reacting flow simulations using the flamelet progress variable approach. In Proceedings of the 55th AIAA Aerospace Sciences Meeting, Grapevine, TX, USA, 9–13 January 2017. [Google Scholar] [CrossRef]
- Banuti, D.T.; Ma, P.C.; Hickey, J.P.; Ihme, M. Thermodynamic structure of supercritical LOX–GH2 diffusion flames. Combust. Flame 2018, 196, 364–376. [Google Scholar] [CrossRef]
- Laurent, C.; Esclapez, L.; Maestro, D.; Staffelbach, G.; Cuenot, B.; Selle, L.; Schmitt, T.; Duchaine, F.; Poinsot, T. Flame–wall interaction effects on the flame root stabilization mechanisms of a doubly-transcritical LO2/LCH4 cryogenic flame. Proc. Combust. Inst. 2019, 37, 5147–5154. [Google Scholar] [CrossRef]
- Laurent, C.; Staffelbach, G.; Nicoud, F.; Poinsot, T. Heat-release dynamics in a doubly-transcritical LO2/LCH4 cryogenic coaxial jet flame subjected to fuel inflow acoustic modulation. Proc. Combust. Inst. 2021, 38, 6375–6383. [Google Scholar] [CrossRef]
- Lacaze, G.; Misdariis, A.; Ruiz, A.; Oefelein, J.C. Analysis of high-pressure Diesel fuel injection processes using LES with real-fluid thermodynamics and transport. Proc. Combust. Inst. 2015, 35, 1603–1611. [Google Scholar] [CrossRef]
- Dahms, R.N.; Oefelein, J.C. Non-equilibrium gas–liquid interface dynamics in high-pressure liquid injection systems. Proc. Combust. Inst. 2015, 35, 1587–1594. [Google Scholar] [CrossRef]
- Wang, X.; Li, Y.; Wang, Y.; Yang, V. Near-field flame dynamics of liquid oxygen/kerosene bi-swirl injectors at supercritical conditions. Combust. Flame 2018, 190, 1–11. [Google Scholar] [CrossRef]
- Wang, X.; Zhang, L.; Li, Y.; Yeh, S.T.; Yang, V. Supercritical combustion of gas-centered liquid-swirl coaxial injectors for staged-combustion engines. Combust. Flame 2018, 197, 204–214. [Google Scholar] [CrossRef]
- Gao, Z.; Wang, H.; Song, C.; Luo, K.; Fan, J. Large-eddy simulation of hydrothermal flames using extended flamelet/progress variable approach. J. Supercrit. Fluids 2020, 163, 104843. [Google Scholar] [CrossRef]
- Wada, S.; Kai, R.; Kurose, R. LES study on the breakup mechanism of LOX core in LOX/GH2 supercritical combustion. Proc. Combust. Inst. 2022. [Google Scholar] [CrossRef]
- Sevault, A.; Dunn, M.; Barlow, R.S.; Ditaranto, M. On the structure of the near field of oxy-fuel jet flames using Raman/Rayleigh laser diagnostics. Combust. Flame 2012, 159, 3342–3352. [Google Scholar] [CrossRef]
- Hansinger, M.; Pfitzner, M.; Sabelnikov, V.A. LES of oxy-fuel jet flames using the Eulerian Stochastic Fields method with differential diffusion. Proc. Combust. Inst. 2021, 38, 2665–2672. [Google Scholar] [CrossRef]
- Jung, K.S.; Kim, S.O.; Lu, T.; Chung, S.H.; Lee, B.J.; Yoo, C.S. Differential diffusion effect on the stabilization characteristics of autoignited laminar lifted methane/hydrogen jet flames in heated coflow air. Combust. Flame 2018, 198, 305–319. [Google Scholar] [CrossRef]
- Poinsot, T.; Veynante, D. Theoretical and Numerical Combustion, 2nd ed.; RT Edwards, Inc.: Morningside, Australia, 2005. [Google Scholar]
- Wang, H. Consistent flamelet modeling of differential molecular diffusion for turbulent non-premixed flames. Phys. Fluids 2016, 28, 035102. [Google Scholar] [CrossRef]
- Wen, X.; Gierth, S.; Rieth, M.; Chen, J.H.; Hasse, C. Large-eddy simulation of a multi-injection flame in a diesel engine environment using an unsteady flamelet/progress variable approach. Phys. Fluids 2021, 33, 105107. [Google Scholar] [CrossRef]
- Wen, X.; Hartl, S.; Dreizler, A.; Janicka, J.; Hasse, C. Flame structure analysis of turbulent premixed/stratified flames with H2 addition considering differential diffusion and stretch effects. Proc. Combust. Inst. 2021, 38, 2993–3001. [Google Scholar] [CrossRef]
- Wen, X.; Dressler, L.; Dreizler, A.; Sadiki, A.; Janicka, J.; Hasse, C. Flamelet LES of turbulent premixed/stratified flames with H2 addition. Combust. Flame 2021, 230, 111428. [Google Scholar] [CrossRef]
- Gierth, S.; Hunger, F.; Popp, S.; Wu, H.; Ihme, M.; Hasse, C. Assessment of differential diffusion effects in flamelet modeling of oxy-fuel flames. Combust. Flame 2018, 197, 134–144. [Google Scholar] [CrossRef]
- Han, W.; Scholtissek, A.; Dietzsch, F.; Hasse, C. Thermal and chemical effects of differential diffusion in turbulent non-premixed H2 flames. Proc. Combust. Inst. 2021, 38, 2627–2634. [Google Scholar] [CrossRef]
- Bilger, R.W. The Structure of Diffusion Flames. Combust. Sci. Technol. 1976, 13, 155–170. [Google Scholar] [CrossRef]
- Gao, Z.; Wang, H.; Song, C.; Luo, K.; Fan, J. Real-fluid effects on laminar diffusion and premixed hydrothermal flames. J. Supercrit. 2019, 153, 104566. [Google Scholar] [CrossRef]
- Kim, T.; Kim, Y.; Kim, S.K. Numerical analysis of gaseous hydrogen/liquid oxygen flamelet at supercritical pressures. Int. J. Hydrogen Energy 2011, 36, 6303–6316. [Google Scholar] [CrossRef]
- Guven, U.; Ribert, G. Impact of non-ideal transport modeling on supercritical flow simulation. Proc. Combust. Inst. 2019, 37, 3255–3262. [Google Scholar] [CrossRef]
- Yao, M.X.; Hickey, J.P.; Ma, P.C.; Ihme, M. Molecular diffusion and phase stability in high-pressure combustion. Combust. Flame 2019, 210, 302–314. [Google Scholar] [CrossRef]
- Peng, D.; Robinson, D. New Two-Constant Equation of State. Ind. Eng. Chem. Res. 1976, 15, 59–64. [Google Scholar] [CrossRef]
- Reid, R.C.; Prausnitz, J.M.; Poling, B.E. The Properties of Gases and Liquids, 4th ed.; McGraw Hill: New York, NY, USA, 1987. [Google Scholar]
- Mallard, G.; Linstrom, P. NIST Chemistry WebBook, NIST Standard Reference Database Number 69. 1998. Available online: https://webbook.nist.gov/chemistry/ (accessed on 14 January 2023).
- Chung, T.H.; Ajlan, M.; Lee, L.; Starling, K. Generalized multiparameter correlation for nonpolar and polar fluid transport properties. Ind. Eng. Chem. Res. 1988, 27, 671–679. [Google Scholar] [CrossRef]
- Pitsch, H. FlameMaster: A C++ Computer Program for 0D Combustion and 1D Laminar Flame Calculations. 1998. Available online: https://www.itv.rwth-aachen.de/downloads/flamemaster/ (accessed on 14 January 2023).
- Gao, Z.; Wang, H.; Luo, K.; Song, C.; Zhao, C.; Xing, J.; Fan, J. Evaluation of real-fluid flamelet/progress variable model for laminar hydrothermal flames. J. Supercrit. 2019, 143, 232–241. [Google Scholar] [CrossRef]
- Pierce, C.; Moin, P. The Progress-Variable Approach for Large Eddy Simulation of Non-Premixed Combustion. J. Fluid Mech. 1999, 504, 73–97. [Google Scholar] [CrossRef]
- Peters, N. Laminar diffusion flamelet models in non-premixed turbulent combustion. Prog. Energy Combust. Sci. 1984, 10, 319–339. [Google Scholar] [CrossRef]
- Ihme, M.; Shunn, L.; Zhang, J. Regularization of reaction progress variable for application to flamelet-based combustion models. J. Comput. Phys. 2012, 231, 7715–7721. [Google Scholar] [CrossRef]
- Smagorinsky, J. General circulation experiments with the primitive equations: I. The basic experiment. Mon. Weather Rev. 1963, 1, 99–164. [Google Scholar] [CrossRef]
- Regele, J.D.; Knudsen, E.; Pitsch, H.; Blanquart, G. A two-equation model for non-unity Lewis number differential diffusion in lean premixed laminar flames. Combus. Flame 2013, 160, 240–250. [Google Scholar] [CrossRef]
- Abtahizadeh, E.; de Goey, P.; van Oijen, J. Development of a novel flamelet-based model to include preferential diffusion effects in autoignition of CH4/H2 flames. Combust. Flame 2015, 162, 4358–4369. [Google Scholar] [CrossRef]
- Abtahizadeh, E.; de Goey, P.; van Oijen, J. LES of Delft Jet-in-Hot Coflow burner to investigate the effect of preferential diffusion on autoignition of CH4/H2 flames. Fuel 2017, 191, 36–45. [Google Scholar] [CrossRef]
- Weller, H.G.; Tabor, G.; Jasak, H.; Fureby, C. A tensorial approach to computational continuum mechanics using object-oriented techniques. Comput. Phys. 1998, 12, 620–631. [Google Scholar] [CrossRef]
- Wang, X.; Huo, H.; Yang, V. Supercritical Combustion of General Fluids in Laminar Counterflows. In Proceedings of the 51st AIAA Aerospace Sciences Meeting including the New Horizons Forum and Aerospace Exposition 2013, Grapevine, TX, USA, 7–10 January 2013. [Google Scholar] [CrossRef]
- Barlow, R.; Fiechtner, G.; Carter, C.; Chen, J.Y. Experiments on the scalar structure of turbulent CO/H2/N2 jet flames. Combust. Flame 2000, 120, 549–569. [Google Scholar] [CrossRef]












| Species | (g/s) | ||
|---|---|---|---|
| 44.4 | 0.55 | 1.11 | |
| 143.1 | 1.51 | 1.22 |
Disclaimer/Publisher’s Note: The statements, opinions and data contained in all publications are solely those of the individual author(s) and contributor(s) and not of MDPI and/or the editor(s). MDPI and/or the editor(s) disclaim responsibility for any injury to people or property resulting from any ideas, methods, instructions or products referred to in the content. |
© 2023 by the authors. Licensee MDPI, Basel, Switzerland. This article is an open access article distributed under the terms and conditions of the Creative Commons Attribution (CC BY) license (https://creativecommons.org/licenses/by/4.0/).
Share and Cite
Wang, S.; Wang, H.; Luo, K.; Fan, J. The Effects of Differential Diffusion on Turbulent Non-Premixed Flames LO2/CH4 under Transcritical Conditions Using Large-Eddy Simulation. Energies 2023, 16, 1065. https://doi.org/10.3390/en16031065
Wang S, Wang H, Luo K, Fan J. The Effects of Differential Diffusion on Turbulent Non-Premixed Flames LO2/CH4 under Transcritical Conditions Using Large-Eddy Simulation. Energies. 2023; 16(3):1065. https://doi.org/10.3390/en16031065
Chicago/Turabian StyleWang, Siyuan, Haiou Wang, Kun Luo, and Jianren Fan. 2023. "The Effects of Differential Diffusion on Turbulent Non-Premixed Flames LO2/CH4 under Transcritical Conditions Using Large-Eddy Simulation" Energies 16, no. 3: 1065. https://doi.org/10.3390/en16031065
APA StyleWang, S., Wang, H., Luo, K., & Fan, J. (2023). The Effects of Differential Diffusion on Turbulent Non-Premixed Flames LO2/CH4 under Transcritical Conditions Using Large-Eddy Simulation. Energies, 16(3), 1065. https://doi.org/10.3390/en16031065
