Sign in to use this feature.

Years

Between: -

Subjects

remove_circle_outline
remove_circle_outline
remove_circle_outline
remove_circle_outline
remove_circle_outline
remove_circle_outline
remove_circle_outline
remove_circle_outline

Journals

Article Types

Countries / Regions

Search Results (83)

Search Parameters:
Keywords = transcritical conditions

Order results
Result details
Results per page
Select all
Export citation of selected articles as:
21 pages, 6171 KB  
Article
Detailed Transient Study of a Transcritical CO2 Heat Pump for Low-Carbon Building Heating
by Jierong Liang and Tingxun Li
Buildings 2025, 15(19), 3489; https://doi.org/10.3390/buildings15193489 - 26 Sep 2025
Viewed by 294
Abstract
This study presents the development and experimental validation of a dynamic simulation model for a transcritical CO2 heat pump system coupled with a stratified water tank, with particular focus on strong transient behavior and detailed heat exchanger characteristics. Due to the unique [...] Read more.
This study presents the development and experimental validation of a dynamic simulation model for a transcritical CO2 heat pump system coupled with a stratified water tank, with particular focus on strong transient behavior and detailed heat exchanger characteristics. Due to the unique thermophysical properties of CO2 under transcritical conditions, conventional modeling approaches are insufficient. The model was validated against experimental results under a range of operating conditions. It accurately predicted outlet water temperatures within ±3.2 °C and system COP within ±6.8% deviation from measurements. In contrast to previous models, this approach offers improved accuracy in capturing dynamic system responses, including startup transients, and demonstrates high adaptability across varying ambient temperatures and load profiles. Importantly, the model also considers the vertical installation layout of components, enabling analysis of gravitational effects on system dynamics and offering insights into optimal configuration strategies. The validated model serves as a powerful tool for system optimization and advanced control design in residential CO2 heat pump applications. Full article
(This article belongs to the Section Building Energy, Physics, Environment, and Systems)
Show Figures

Figure 1

17 pages, 2759 KB  
Article
Harnessing Renewable Energy Sources in CO2 Refrigeration for Eco-Friendly Fish Cold Storage
by Arian Semedo and João Garcia
Processes 2025, 13(9), 2847; https://doi.org/10.3390/pr13092847 - 5 Sep 2025
Viewed by 599
Abstract
This study explores innovative strategic solutions within a sustainability framework, focusing on four viable options for an integrated refrigeration system designed for fish preservation in Tarrafal de Santiago, Cape Verde. Tarrafal is a coastal town on Santiago Island, characterized by its reliance on [...] Read more.
This study explores innovative strategic solutions within a sustainability framework, focusing on four viable options for an integrated refrigeration system designed for fish preservation in Tarrafal de Santiago, Cape Verde. Tarrafal is a coastal town on Santiago Island, characterized by its reliance on fishing activities and the challenges posed by limited energy infrastructure and local environmental vulnerabilities. The evaluated solutions range from grid-dependent systems to fully autonomous configurations powered by renewable energy sources, incorporating various refrigeration facility designs adapted to regional conditions. The primary objective is to assess the energy efficiency, economic viability, and environmental impact of these options within the specific geographic and socioeconomic context of Tarrafal de Santiago. Four approaches were analyzed: Strategy A involves two R134a refrigeration systems powered by conventional grid electricity; Strategy B employs a transcritical CO2 (R744) system combined with grid electricity; Strategy C integrates an R744 refrigeration system powered by autonomous renewable energy sources; and Strategy D utilizes R744 refrigeration combined with seawater-based heat exchange and autonomous renewable energy generation. The results indicate that Strategy D offers the greatest advantages, with emissions amounting to 15,882 kg of CO2 equivalent and a return on investment within five years. Autonomous electricity generation in Strategy D leads to a 95% reduction in CO2 emissions. Although Strategy C entails a higher initial cost, it proves financially viable and significantly enhances energy sustainability. Its autonomous energy production results in a reduction of 360,697 kg of CO2 emissions compared to conventional systems, highlighting the substantial environmental benefits of integrating local renewable energy sources into coastal communities such as Tarrafal de Santiago. Full article
Show Figures

Figure 1

22 pages, 2131 KB  
Review
Research Progress on CO2 Transcritical Cycle Technology for Building Heating and Cooling Applications
by Weixiu Shi, Haiyu Chang, Junwei Zhou, Bai Mu, Shuang Quan and Lisheng Pan
Buildings 2025, 15(16), 2952; https://doi.org/10.3390/buildings15162952 - 20 Aug 2025
Viewed by 1058
Abstract
This review focuses on the advancements of CO2 transcritical cycle technology in building indoor environmental regulation, particularly in combined heating and cooling applications. The paper highlights the energy efficiency and environmental benefits of CO2 as a natural refrigerant, which has zero [...] Read more.
This review focuses on the advancements of CO2 transcritical cycle technology in building indoor environmental regulation, particularly in combined heating and cooling applications. The paper highlights the energy efficiency and environmental benefits of CO2 as a natural refrigerant, which has zero ozone depletion potential (ODP) and very low global warming potential (GWP). It provides a comprehensive overview of recent optimization strategies, including distributed compression, the integration of ejectors and expanders, and the design improvements of key components such as gas coolers, compressors, and throttling valves. Through optimization strategies such as dual-system cycles, this technology can achieve a COP improvement of 15.3–46.96% in heating scenarios; meanwhile, with the help of distributed compression technology, its cooling capacity can be enhanced by up to 26.5%. The review also examines various operating conditions such as discharge pressure and subcooling, which significantly affect system performance. The paper concludes by identifying the current challenges in the application of CO2 systems, such as high initial costs and system stability under extreme conditions, and suggests future research directions to overcome these limitations and improve the practical application of CO2 transcritical cycles in the building industry. Overall, it is concluded that the development of expander-compressors holds great potential for achieving better performance and represents a promising direction for future advancements in this field. Full article
(This article belongs to the Special Issue Development of Indoor Environment Comfort)
Show Figures

Figure 1

23 pages, 930 KB  
Article
One-Dimensional Shallow Water Equations Ill-Posedness
by Tew-Fik Mahdi
Mathematics 2025, 13(15), 2476; https://doi.org/10.3390/math13152476 - 1 Aug 2025
Viewed by 930
Abstract
In 2071, the Hydraulic community will commemorate the second centenary of the Baré de Saint-Venant equations, also known as the Shallow Water Equations (SWE). These equations are fundamental to the study of open-channel flow. As non-linear partial differential equations, their solutions were largely [...] Read more.
In 2071, the Hydraulic community will commemorate the second centenary of the Baré de Saint-Venant equations, also known as the Shallow Water Equations (SWE). These equations are fundamental to the study of open-channel flow. As non-linear partial differential equations, their solutions were largely unattainable until the development of computers and numerical methods. Following 1960, various numerical schemes emerged, with Preissmann’s scheme becoming the most widely employed in many software applications. In the 1990s, some researchers identified a significant limitation in existing software and codes: the inability to simulate transcritical flow. At that time, Preissmann’s scheme was the dominant method employed in hydraulics tools, leading the research community to conclude that this scheme could not handle transcritical flow due to suspected instability. In response to this concern, several researchers suggested modifications to Preissmann’s scheme to enable the simulation of transcritical flow. This paper will demonstrate that these accusations against the Preissmann scheme are unfounded and that the proposed improvements are unnecessary. The observed instability is not due to the numerical method itself, but rather a mathematical instability inherent to the SWE, which can lead to ill-posed conditions if a specific derived condition is not met. In the context of a friction slope formula based on Manning or Chézy types, the condition for ill-posedness of the 1D shallow water equations simplifies to the Vedernikov number condition, which is necessary for roll waves to develop in uniform flow. This derived condition is also relevant for the formation of roll waves in unsteady flow when the 1D shallow water equations become ill-posed. Full article
(This article belongs to the Special Issue Computational Fluid Dynamics, 3rd Edition)
Show Figures

Figure 1

21 pages, 3340 KB  
Article
Influence of Operating Conditions on the Energy Consumption of CO2 Supermarket Refrigeration Systems
by Ionuț Dumitriu and Ion V. Ion
Processes 2025, 13(7), 2138; https://doi.org/10.3390/pr13072138 - 4 Jul 2025
Viewed by 843
Abstract
Integrating ejectors into CO2 transcritical refrigeration systems to reduce energy consumption has been performed successfully throughout the industry in recent years. The objective of the present work is to investigate the effect of indoor and outdoor operating conditions on the energy efficiency [...] Read more.
Integrating ejectors into CO2 transcritical refrigeration systems to reduce energy consumption has been performed successfully throughout the industry in recent years. The objective of the present work is to investigate the effect of indoor and outdoor operating conditions on the energy efficiency of ejector expansion supermarket refrigeration plants. The analysis uses the measured energy consumptions and loads for two supermarket refrigeration plants operating in two cities in the Republic of Moldova (Chisinau and Balti). A model for the prediction of the plant’s annual energy consumption and the loads of the refrigeration and freezing compressors is developed using experimental results. Although there are theoretical and experimental analyses of the investigated systems in the specialized literature, no studies were found in the specialized literature regarding energy consumption increase due to pressure losses through the pipe route in transcritical CO2 refrigeration installations with an ejector for supermarkets. The results indicate that refrigeration compressors have a greater increase in energy consumption than freezing compressors with increases in the outdoor temperature. The study shows that the additional drop in evaporating pressure at the compressor rack due to incorrect sizing of the pipe route leads to higher energy consumption compared to what the same plant would consume if the pipe route were correctly sized and executed. For every one-degree increase in temperature loss due to additional pressure drop through the pipeline, the entire plant consumes around 1.5% more energy. Knowledge of these performance data of real systems provides designers and manufacturers with clues to understand the importance of the correct design of the pipe route to obtain maximum energy efficiency. Full article
(This article belongs to the Topic Sustainable Energy Technology, 2nd Edition)
Show Figures

Figure 1

20 pages, 3672 KB  
Article
Comparative Analysis of Transcritical CO2 Heat Pump Systems With and Without Ejector: Performance, Exergy, and Economic Perspective
by Xiang Qin, Shihao Lei, Heyu Liu, Yinghao Zeng, Yajun Liu, Caiyan Pang and Jiaheng Chen
Energies 2025, 18(12), 3223; https://doi.org/10.3390/en18123223 - 19 Jun 2025
Viewed by 1059
Abstract
To promote renewable energy utilization and enhance the environmental friendliness of refrigerants, this study presents a novel experimental investigation on a transcritical CO2 double-evaporator heat pump water heater integrating both air and water sources, designed for high-temperature hot water production. A key [...] Read more.
To promote renewable energy utilization and enhance the environmental friendliness of refrigerants, this study presents a novel experimental investigation on a transcritical CO2 double-evaporator heat pump water heater integrating both air and water sources, designed for high-temperature hot water production. A key innovation of this work lies in the integration of an ejector into the dual-source system, aiming to improve system performance and energy efficiency. This study systematically compares the conventional circulation mode and the proposed ejector-assisted circulation mode in terms of system performance, exergy efficiency, and the economic payback period. Experimental results reveal that the ejector-assisted mode not only achieves a higher water outlet temperature and reduces compressor power consumption but also improves the system’s exergy efficiency by 6.6% under the condition of the maximum outlet water temperature. Although the addition of the ejector increases initial manufacturing and maintenance costs, the payback periods of the two modes remain nearly the same. These findings confirm the feasibility and advantage of incorporating an ejector into a transcritical CO2 compression/ejection heat pump system with integrated air and water sources, offering a promising solution for efficient and environmentally friendly high-temperature water heating applications. Full article
(This article belongs to the Special Issue Advances in Supercritical Carbon Dioxide Cycle)
Show Figures

Figure 1

16 pages, 2980 KB  
Article
Comprehensive Performance and Economic Analyses of Transcritical CO2 Heat Pump Water Heater Suitable for Petroleum Processes and Heating Applications
by Dongxue Zhu, Chaohe Fang, Shejiao Wang, Yafei Xue, Liaoliang Jiang, Yulong Song and Feng Cao
Energies 2025, 18(12), 3070; https://doi.org/10.3390/en18123070 - 10 Jun 2025
Cited by 1 | Viewed by 845
Abstract
With the intensification of the global energy crisis, the application of air-source transcritical CO2 heat pumps has attracted increasing attention, especially in cold regions. Existing research mainly focuses on the evaluation of steady-state performance while paying less attention to the dynamic characteristics [...] Read more.
With the intensification of the global energy crisis, the application of air-source transcritical CO2 heat pumps has attracted increasing attention, especially in cold regions. Existing research mainly focuses on the evaluation of steady-state performance while paying less attention to the dynamic characteristics of the system during the actual operation process. In order to deeply study the dynamic performance of the air-source transcritical CO2 heat pump system under the winter climate conditions in the Yan‘an area, this study established a system simulation model with multiple parameter inputs and systematically analyzed the influences of ambient temperature, discharge pressure, and inlet and outlet water temperatures on the heating capacity and COP. The research starts from both dynamic and steady-state perspectives, revealing the variation law of system performance with environmental temperature and conducting a quantitative analysis. As the ambient temperature rose from −11 °C to 2 °C, the COP of the system increased by approximately 15% and exhibited significant dynamic response characteristics, indicating that the increase in ambient temperature significantly improved system efficiency. At different ambient temperatures, the optimal discharge pressure increased with the rise in temperature. At the highest ambient temperature (2 °C), the optimal discharge pressure was 11.7 MPa. Compared with the optimal discharge pressure of 11.0 MPa at −11 °C, the performance improved by nearly 13.3%. Through the dynamic simulation method, theoretical support is provided for the optimization of energy-saving control strategies in cold regions, and thoughts are offered regarding the application of transcritical CO2 systems under similar climatic conditions. Full article
(This article belongs to the Special Issue Advances in Supercritical Carbon Dioxide Cycle)
Show Figures

Figure 1

28 pages, 3486 KB  
Article
Thermo-Economic Potential of Carnot Batteries for the Waste Heat Recovery of Liquid-Cooled Data Centers with Different Combinations of Heat Pumps and Organic Rankine Cycles
by Xiaoyu Zhou, Xinxing Lin, Wen Su, Ruochen Ding and Yaran Liang
Energies 2025, 18(6), 1556; https://doi.org/10.3390/en18061556 - 20 Mar 2025
Cited by 2 | Viewed by 1443
Abstract
To fully recover abundant waste heat and reduce the operation cost in liquid-cooled data centers, a Carnot battery consisting of a heat pump (HP) and organic Rankine cycle (ORC) is proposed. Due to the existence of different cycle states for HPs and ORCs, [...] Read more.
To fully recover abundant waste heat and reduce the operation cost in liquid-cooled data centers, a Carnot battery consisting of a heat pump (HP) and organic Rankine cycle (ORC) is proposed. Due to the existence of different cycle states for HPs and ORCs, four different cycle combinations are considered. To evaluate and compare their performances, thermo-economic models are developed. Under the design conditions, the optimal working fluid combinations are first determined for each battery. On this basis, thermodynamic and economic performances of the four batteries are analyzed in detail. The results indicate that the system consisting of a subcritical HP/transcritical ORC achieves the highest round-trip efficiency at 76%. Notably, the round-trip efficiency of the system can exceed 100% at low ORC condensing temperatures. Additionally, the system cost is about 767–796 USD/kW∙h, depending on the cycle combinations. Furthermore, the effects of operating parameters on system performances are also investigated. Finally, with the objective of maximum round-trip efficiency, key parameters of four batteries are optimized. The results reveal that the system with a subcritical HP/subcritical ORC attains a maximum round-trip efficiency of 83% after optimization. These research results contribute to the development of green data centers and the reduction of power costs. Full article
(This article belongs to the Section J: Thermal Management)
Show Figures

Figure 1

23 pages, 442 KB  
Article
Dynamics of a Predator-Prey System with Asymmetric Dispersal and Fear Effect
by Xinyu Meng, Lijuan Chen and Fengde Chen
Symmetry 2025, 17(3), 329; https://doi.org/10.3390/sym17030329 - 22 Feb 2025
Cited by 1 | Viewed by 1054
Abstract
Predator-prey interactions are among the most common and crucial ecological phenomena in nature. Over the course of long-term evolution, prey populations have developed various anti-predation strategies to cope with the threat of predators, with population dispersal being one of the most common strategies. [...] Read more.
Predator-prey interactions are among the most common and crucial ecological phenomena in nature. Over the course of long-term evolution, prey populations have developed various anti-predation strategies to cope with the threat of predators, with population dispersal being one of the most common strategies. In traditional ecological models, the prey population is typically constrained by direct predation. However, an increasing body of empirical evidence suggests that the fear effect from the predator significantly alters the physiological behavior of prey, leading to a decrease in reproduction rate and an increase in mortality rate. In this paper, we investigate a predator-prey system incorporating asymmetric dispersal and the fear effect, which influences the birth and death rates of the prey species. We rigorously establish the existence and local stability of equilibrium points, derive sufficient conditions for global stability, and prove the occurrence of a transcritical bifurcation at the boundary equilibrium. Our analysis reveals an optimal dispersal rate that maximizes prey population density; beyond this threshold, increased dispersal drives both populations to extinction. Furthermore, the fear effect and its maximum cost exhibit significant negative impacts on predator abundance, though they do not alter the equilibrium stability or existence. These findings provide critical insights for designing habitat corridors in endangered species conservation and underscore the pivotal role of prey dispersal in shaping population dynamics. Full article
Show Figures

Figure 1

22 pages, 4788 KB  
Article
Experiments and Heat Transfer Correlation Validations of Low-Parameter Region of sCO2 Flow in a Long Thin Vertical Loop
by Rufan Song, Yongchang Feng, Dong Yang, Gang Zeng, Deqing Mei, Igor Pioro and Lin Chen
Energies 2024, 17(23), 6010; https://doi.org/10.3390/en17236010 - 29 Nov 2024
Cited by 3 | Viewed by 872
Abstract
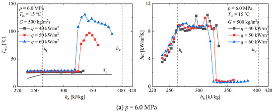
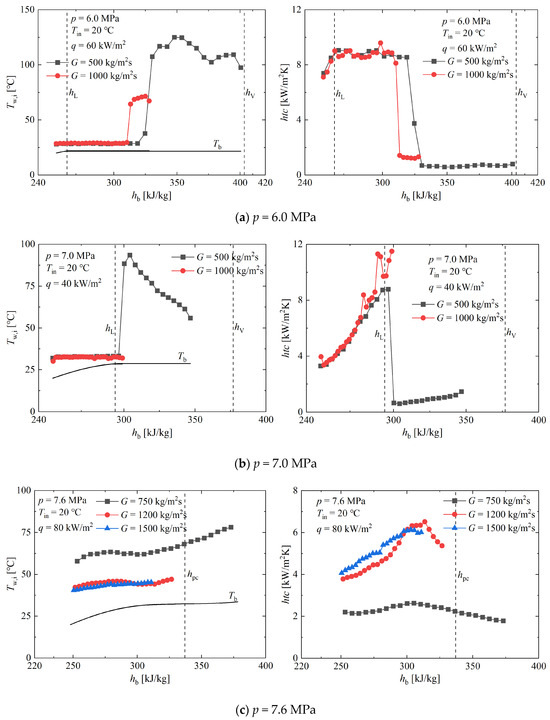
The focus of this study is to accurately predict the convective heat transfer of CO2 to ensure the safe and efficient design of supercritical and trans-critical CO2 energy systems. The heat transfer performance of CO2 is crucial for the stable [...] Read more.
The focus of this study is to accurately predict the convective heat transfer of CO2 to ensure the safe and efficient design of supercritical and trans-critical CO2 energy systems. The heat transfer performance of CO2 is crucial for the stable operation of these systems. This research study explored the flow and heat transfer behavior of CO2 in a long thin vertical loop through experiments. A range of key parameters were set in the experiments to ensure the broad coverage of operating conditions. The inlet temperature was set between 10 °C and 45 °C, the pressure ranged from 6.0 to 9.0 MPa, mass fluxes varied from 500 to 1500 kg/m2s, and the heat flux reached up to 300 kW/m2. Experiments were performed at Reynolds number 104. By adjusting these parameters, the experiments were able to simulate CO2 heat transfer performance under various real-world conditions. Additionally, numerical simulations were employed to further analyze CO2’s flow and heat transfer behavior. Different turbulence models were tested, and the results showed that the SST k-ω model can best predict CO2 convective heat transfer, effectively capturing the complex heat transfer characteristics under varying flow conditions. The research outcomes were compared with established correlations through the Nusselt number, and while a ±30% uncertainty was observed, the overall agreement was satisfactory. This indicates that the experimental and simulation results are within a reasonable range, confirming their reliability. Full article
(This article belongs to the Section J1: Heat and Mass Transfer)
Show Figures

Figure 1

18 pages, 5349 KB  
Article
Integrating Cold Thermal Energy Storage for Air Conditioning Demand in a CO2 Refrigeration System at a Supermarket
by Davide Tommasini, Håkon Selvnes and Armin Hafner
Energies 2024, 17(23), 5923; https://doi.org/10.3390/en17235923 - 26 Nov 2024
Cited by 1 | Viewed by 1875
Abstract
A common configuration for transcritical CO2 booster systems in supermarkets involves air conditioning (AC) supplied by cooling a water-glycol circuit. The design capacity of the refrigeration unit must handle all refrigeration loads and the AC load during the hottest summer day, leading [...] Read more.
A common configuration for transcritical CO2 booster systems in supermarkets involves air conditioning (AC) supplied by cooling a water-glycol circuit. The design capacity of the refrigeration unit must handle all refrigeration loads and the AC load during the hottest summer day, leading to overcapacity and part-load operation for most of the year. A proposed design for implementing cold thermal energy storage (CTES) dedicated to AC demand in a supermarket located in the Oslo region is modeled in the object-oriented language Modelica. Simulation results demonstrate an electricity peak power reduction of up to 32.33%. Even though energy savings are not the primary objective of this project, they are achieved by producing and storing energy when the outdoor temperature is lower, and the coefficient of performance (COP) of the system is higher. The energy savings can reach up to 11.8%. Finally, the economic benefits of the system are assessed under the spot pricing system, revealing potential electricity cost savings of up to 12.56%. Full article
Show Figures

Figure 1

21 pages, 5049 KB  
Article
A Novel Fuel-Based CO2 Transcritical Cycle for Combined Cooling and Power Generation on Hypersonic Aircrafts
by Yijian He, Lisong Wang, Jiaqi Dong and Qifei Chen
Energies 2024, 17(19), 4853; https://doi.org/10.3390/en17194853 - 27 Sep 2024
Cited by 1 | Viewed by 1070
Abstract
This study focuses on the great challenges for combined cooling and power supply on hypersonic aircrafts. To address the issues of low thermal efficiency and high fuel consumption of heat sink by the existing CO2 supercritical Brayton cycle, a novel fuel-based CO [...] Read more.
This study focuses on the great challenges for combined cooling and power supply on hypersonic aircrafts. To address the issues of low thermal efficiency and high fuel consumption of heat sink by the existing CO2 supercritical Brayton cycle, a novel fuel-based CO2 transcritical cooling and power (FCTCP) system is constructed. A steady-state simulation model is built to investigate the impacts of combustion chamber wall temperatures and fuel mass flow rates on the FCTCP system. Thermal efficiency of the CO2 transcritical cycle reaches 25.2~32.8% under various combustion chamber wall outlet temperatures and endothermic pressures. Compared with the supercritical Brayton cycle, the thermal efficiency of novel system increases by 54.5~80.9%. It is found from deep insights into the thermodynamic results that the average heat transfer temperature difference between CO2 and fuel is effectively reduced from 153.4 K to 16 K by split cooling of the fuel in the FCTCP system, which greatly enhances the matching of CO2–fuel heat exchange temperatures and reduces the heat exchange loss of the system. Thermodynamic results also show that, in comparison to the supercritical Brayton cycle, the cooling capacity and power generation per unit mass flow rate of working fluid in the FCTCP system increased by 75.4~80.8% and 12.9~51.6%, respectively. The FCTCP system exhibits a substantial performance improvement, significantly enhancing the key characteristic index of the combined cooling and power supply system. This study presents a novel approach to solving the challenges of cooling and power supply in hypersonic aircrafts under limited fuel heat sink conditions, laying the groundwork for further exploration of thermal management technologies of hypersonic aircrafts. Full article
Show Figures

Figure 1

44 pages, 7453 KB  
Article
Some Bifurcations of Codimensions 1 and 2 in a Discrete Predator–Prey Model with Non-Linear Harvesting
by Ming Liu, Linyi Ma and Dongpo Hu
Mathematics 2024, 12(18), 2872; https://doi.org/10.3390/math12182872 - 14 Sep 2024
Cited by 2 | Viewed by 1418
Abstract
This paper delves into the dynamics of a discrete-time predator–prey system. Initially, it presents the existence and stability conditions of the fixed points. Subsequently, by employing the center manifold theorem and bifurcation theory, the conditions for the occurrence of four types of codimension [...] Read more.
This paper delves into the dynamics of a discrete-time predator–prey system. Initially, it presents the existence and stability conditions of the fixed points. Subsequently, by employing the center manifold theorem and bifurcation theory, the conditions for the occurrence of four types of codimension 1 bifurcations (transcritical bifurcation, fold bifurcation, flip bifurcation, and Neimark–Sacker bifurcation) are examined. Then, through several variable substitutions and the introduction of new parameters, the conditions for the existence of codimension 2 bifurcations (fold–flip bifurcation, 1:2 and 1:4 strong resonances) are derived. Finally, some numerical analyses of two-parameter planes are provided. The two-parameter plane plots showcase interesting dynamical behaviors of the discrete system as the integral step size and other parameters vary. These results unveil much richer dynamics of the discrete-time model in comparison to the continuous model. Full article
Show Figures

Figure 1

16 pages, 2076 KB  
Article
Optimization of SOX2 Expression for Enhanced Glioblastoma Stem Cell Virotherapy
by Dongwook Kim, Abraham Puig, Faranak Rabiei, Erial J. Hawkins, Talia F. Hernandez and Chang K. Sung
Symmetry 2024, 16(9), 1186; https://doi.org/10.3390/sym16091186 - 10 Sep 2024
Viewed by 1515
Abstract
The Zika virus has been shown to infect glioblastoma stem cells via the membrane receptor αvβ5, which is activated by the stem-specific transcription factor SOX2. Since the expression level of SOX2 is an important predictive marker for successful virotherapy, [...] Read more.
The Zika virus has been shown to infect glioblastoma stem cells via the membrane receptor αvβ5, which is activated by the stem-specific transcription factor SOX2. Since the expression level of SOX2 is an important predictive marker for successful virotherapy, it is important to understand the fundamental mechanisms of the role of SOX2 in the dynamics of cancer stem cells and Zika viruses. In this paper, we develop a mathematical ODE model to investigate the effects of SOX2 expression levels on Zika virotherapy against glioblastoma stem cells. Our study aimed to identify the conditions under which SOX2 expression level, viral infection, and replication can reduce or eradicate the glioblastoma stem cells. Analytic work on the existence and stability conditions of equilibrium points with respect to the basic reproduction number are provided. Numerical results were in good agreement with analytic solutions. Our results show that critical threshold levels of both SOX2 and viral replication, which change the stability of equilibrium points through population dynamics such as transcritical and Hopf bifurcations, were observed. These critical thresholds provide the optimal conditions for SOX2 expression levels and viral bursting sizes to enhance therapeutic efficacy of Zika virotherapy against glioblastoma stem cells. This study provides critical insights into optimizing Zika virus-based treatment for glioblastoma by highlighting the essential role of SOX2 in viral infection and replication. Full article
(This article belongs to the Section Mathematics)
Show Figures

Figure 1

26 pages, 2685 KB  
Article
Energy and Exergy Analysis of Transcritical CO2 Cycles for Heat Pump Applications
by Marco Gambini, Michele Manno and Michela Vellini
Sustainability 2024, 16(17), 7511; https://doi.org/10.3390/su16177511 - 30 Aug 2024
Cited by 1 | Viewed by 2133
Abstract
Heat pumps are recognized as a key tool in the energy transition toward a carbon-neutral society, enabling the electrification of the heating sector at least for low- and medium-temperature heat demands. In recent years, natural refrigerants have been reconsidered due to their low [...] Read more.
Heat pumps are recognized as a key tool in the energy transition toward a carbon-neutral society, enabling the electrification of the heating sector at least for low- and medium-temperature heat demands. In recent years, natural refrigerants have been reconsidered due to their low environmental impact: among them, CO2 is a safe option without an impact on the ozone layer and low global warming potential compared to synthetic fluids. However, as a consequence of its thermophysical properties, its thermodynamic cycle is transcritical and is particularly suitable for specific end-user temperature profiles. This paper analyzes in a systematic and thorough way the most significant modifications to the reference cycle that have been proposed in the literature to improve the performance, finding how the optimal configurations change with a change in the rated operating conditions (inlet temperature and temperature glide of the heat demand, and ambient temperature). Exergy analysis explains why there is an optimal gas cooler pressure and why its trend with the average temperature is split into two distinct regions, clearly recognizable in all cycle layouts. The maximum coefficient of performance (COP) of the reference cycle varies in the 1.52–3.74 range, with a second-law efficiency of 6.4–36.1%, for an optimal gas cooler pressure of up to 15.45 MPa, depending on the ambient temperature and end-user temperature profile. The most effective modification is the cycle with an ejector and internal heat exchanger, which raises the COP to 1.84–4.40 (second-law efficiency 8.7–45.56%). The presented results provide an extensive guide to understanding the behavior of a transcritical CO2 cycle and predict its performance in heat pump applications. Full article
(This article belongs to the Special Issue Energy Storage, Conversion and Sustainable Management)
Show Figures

Figure 1

Back to TopTop