Abstract
Metal foreign objects will not only reduce the output power and efficiency of the wireless power transfer (WPT) system, but also will be heated under the eddy current effect. The method based on the detection coil array has been wildly adopted for foreign object detection (FOD), especially in high-power level WPT applications. However, the problems of low sensitivity or misjudgment still exist which leads to a safety hazard. Therefore, high sensitivity of the foreign object-detection method based on the excitation frequency optimization has been proposed in this paper. Based on the impedance change of the detection coil caused by the foreign object coupling, the frequency characteristics of detection sensitivity were analyzed under the conditions of different self-inductance detection coils. Then, the detection coil was designed and its corresponding optimal excitation frequency was selected to achieve the optimal detection effect to eliminate the area of low detection sensitivity. Finally, an FOD experimental prototype was established to verify the proposed frequency optimization strategy. The results show that the sensitivity of the FOD system is up to 97.56%. With the optimal excitation frequency of 6.22 MHz, as for 1-yuan coin in the center position and corner position of the detection coil, the detection sensitivity is 92.89% and 40.16%, respectively, which is 22.13% and 23.89% higher than that of the excitation frequency is 1 MHz. The improvement of detection sensitivity is helpful to detect accurately and eliminate the detection blind area.
1. Introduction
Compared with conventional plug-in charging, wireless power transfer (WPT) can effectively avoid plug wear, wire aging, and contact electrical sparks. Due to its characteristics of non-contact, misalignment adaptation, and high-efficiency transmission of high-power electric energy over medium and long distances, WPT technology is gradually being applied in a variety of charging situations, such as electric vehicle wireless charging (EVWC) [,,], autonomous underwater vehicle (AUV) [,,,], and implantable medical device [,].
However, some security problems of WPT technology can not be neglected before wide popularization and application, especially the risks caused by foreign objects. Despite the non-contact advantages between the transmitter coil and the receiver coil, the potential safety hazard also exists due to this characteristic. Metal foreign objects could enter the coupling charging area easily by accident and will be heated due to eddy current, which may lead to fire or other serious accidents [,,].
The thermal equilibrium temperature of different metal foreign objects placed on the surface of the 6.6 kW transmitter coil is shown in Figure 1 to reveal this safety hazard caused by metal foreign objects.
Figure 1.
Thermal equilibrium temperature of different metal foreign objects placed on the surface of 6.6 kW transmitter coil: (a) 1-yuan RMB coin; (b) Iron sheet.
Therefore, safety and security measures must be taken to promote the large-scale application of the WPT technology, especially in high-power level WPT applications. The relevant industry standards of EVWC have specified that the WPT system must contain foreign object detection (FOD) functions, such as SAEJ2954 [] and IEC 61980 [] but the specific detection method has not been recommended yet.
External sensors are utilized for FOD, such as pressure sensors [], radar [,], thermal cameras [], or thermal sensors []. However, these technologies are easy to be influenced by the external environment, such as stones or the cover of the camera view. Generally, the conductive object will generate the eddy current inside their bodies and be heated while the nonconductor will not do harm to the WPT system. Therefore, the misjudgment caused by these harmless objects will interrupt the normal charging process. Meanwhile, as an auxiliary security function, some sensors’ costs are very high which is not conducive to the commercialization of WPT.
Considering many factors which contain the cost, the integration difficulties, and the detection pertinence of metal objects, the existing studies mainly utilize the detection coils’ electromagnetic characteristics for FOD. The flat detection coil array made by PCB could be directly laid on the surface of the transmitter coil.
The FOD method based on the detection coil can be divided into flux detection [,,] and impedance detection [,,,,,]. The above two methods can realize the accurate and rapid detection of metal foreign objects by measuring the detection coil’s flux or impedance variation. Reversely, some materials, such as plastics or stones, are not recognized to avoid the misjudgment to some extent because they are not heated by the eddy current and are not harmful to the system.
Flux detection recognizes the foreign object by measuring the flux and induced voltage of the detection coil [,,]. The detection coil adopts the reverse series structure to cancel out the magnetic flux and the induced voltage on each sub-detection coil. When there is no foreign object, the net magnetic flux and the induced voltage are nearly zero. When foreign objects exist, the magnetic flux balance of the sub-detection coil will be broken. Thus, the foreign object can be detected through the change in the induced voltage. However, when two sub-detection coils are just covered by the foreign object symmetrically, the blind detection area will appear which is a significant deficiency of this scheme [,,]. Reference [] has provided a solution to eliminate the blind areas by laying the multi-layers detection coil array to cover them. Nevertheless, this method is simple in principle but complex in structure. To some extent, reference [] solved some problems by widening the space of two sub-detection coils and optimizing the coil array arrangement. However, since the induced voltage used for FOD can only be passively generated by the WPT system, the improvement of detection sensitivity of this scheme is limited and complex, such as reducing each sub-detection coil’s size.
The FOD principle based on the detection coil impedance is to measure the impedance variation of the detection coil and its composed resonant circuit under high-frequency excitation [,,,,,]. Compared with the FOD based on flux detection, the most obvious feature is that it can operate independently from WPT magnetic field and the detection signal is convenient for filtering processing. In theory, as long as foreign objects exist, the impedance of the detection coil will change [,,,,,]. Therefore, this scheme could eliminate the blind detection area effectively. The resonance topology is utilized to amplify the impedance change of the detection coil caused by foreign objects. Under the excitation frequency of 1 MHz, the detection signal is easier to be filtered from the WPT operating frequency of 85 kHz and its amplitude change is obvious [,,].
Furthermore, the optimal design of the detection coil is introduced in detail in [] where the foreign objects in the center and the lateral area have been taken into consideration for coil design. However, to avoid the detection coil with multi-turns are regarded as foreign objects, the solution of laying multiple layers of PCB coil array is not suitable for covering the corner area which is the most difficult detection area.
Similar to the misalignment of the magnetic coupler, the mutual inductance coupling between the metal foreign objects in the corner area with the detection coil is lower than the situation of metal objects in the center area []. Therefore, the impedance change of the detection coil is not enough to lead to the remarkable impedance change of its composed resonant circuit. Consequently, when foreign objects are in the corner, the change amplitude of the detection signal and its detection sensitivity are low which might be drowned in the noise easily. Hence, the detection sensitivity of the corner area needs to be improved further to detect the existence of foreign objects accurately.
Considering the issues of current research, the FOD method based on the detection coil impedance change is adopted in this paper and its deficiencies can be summarized as follows:
- (i)
- The excitation frequency of the previous research is always set as about 1 MHz [,,,]. The detailed reasons have not been analyzed in-depth, so it is uncertain whether 1 MHz is the optimal frequency to achieve the optimal detect effect or not. The impact of the excitation frequency on detection sensitivity is unclear.
- (ii)
- For a given foreign object, how to determine the excitation frequency that realizes the optimal detection results for detection coils with different self-inductances is worth studying.
- (iii)
- For the existing methods, the detection sensitivity within the edge area of the detection coil needs to be improved to eliminate the blind area.
This paper proposed a FOD method with high sensitivity based on frequency optimization. The frequency characteristics of detection sensitivity and it is feasible based on frequency optimization are analyzed. As for the given foreign object (1 RMB yuan coin), the optimal excitation frequency that realizes the highest detection sensitivity is selected. Eventually, wherever the foreign metal object is located in center area or corner area of the detection coil, the detection sensitivity is improved. Benefitting from the detection sensitivity improvement, the blind area can be eliminated and the smaller size objects can be detected effectively.
The following sections are organized as follows: Section 2 establishes the mutual inductance model between the metal foreign object and the detection coil. The frequency characteristics of the detection sensitivity in detection coils with different self-inductances are analyzed. In Section 3, the detection coil is designed, and the optimal excitation frequency to achieve the optimal detection sensitivity is selected. Section 4 provides the experimental validation. Finally, the conclusion is drawn in Section 5.
2. System Analysis
2.1. Detection Principle Analysis
Under the effect of the external alternating magnetic field, the induced current will be generated inside the metal object as an eddy current with the closed path []. This phenomenon has been widely applied to magnetic shielding. The metal object with the eddy current can be equivalent to a coil []. The coupling relationship between the metal object and the detection coil can be established in Figure 2 based on the mutual inductance coupling model [,,,].
Figure 2.
Mutual inductance coupling model between metal foreign object and detection coil.
In Figure 2, LD and RD are the self-inductance and the resistance of the detection coil. Lm and Rm are the self-inductance and the resistance of the equivalent coil from the metal object. Mm is the mutual inductance between the foreign metal object and the detection coil. The “*” are the given dotted terminals which are convenient for the analysis of mutual coupling. ZNONE is the detection coil impedance without foreign metal objects while the ZFOD is the whole impedance of the detection coil which contains the reflected impedance of foreign metal objects. ZNONE and ZFOD can be calculated as follows:
where α and β are defined as the proportionality coefficient of the self-inductance change and the resistance change of the detection coil, which are helpful to simplify the effect analysis of foreign metal objects on detection coil impedance [,,,]. Thus, ZFOD can be simplified as Equation (5).
δ is introduced as the percentage variation of the detection coil impedance caused by the existence of the foreign metal object.
The quality factor of the detection coil QD is substituted into Equation (6) for further intuitive analysis. δ can be rewritten in Equation (7):
According to Equation (7), δ is directly influenced by the α, β, and QD. α and β are basically the simplified combination of the factors which have contained the size and material of foreign metal objects and their relative position to the detection coil. Meanwhile, QD contains the impedance characteristics of the detection coil and the effect of excitation source frequency ω.
In order to increase δ as well as improve the impedance effect on the detection coil, the optimization of the excitation source frequency ω is a feasible and effective method. Generally, the excitation source frequency adopted in the existing studies is basically about 1 MHz [,,,], which will lead to QD >> 1. Thus, Equation (7) can be approximately simplified.
Figure 3.
The relationship between the percentage variation of the detection coil impedance δ and the quality factor QD.
According to Equation (8) and Figure 3, whether the QD is high enough or the excitation source frequency ω leads to the high QD, the δ still has the upper limit. Consequently, it is difficult to judge accurately whether the foreign object exists only based on the impedance variation of the detection coil. Furthermore, the detection effect improvement based on the optimization of the excitation source frequency ω is limited.
To avoid this problem, the detection circuit based on the parallel resonant amplifier is adopted in this paper. The parallel resonant converts the impedance variation of the detection coil to the impedance variation of the whole parallel resonant tank, which is utilized to indirectly detect the coil impedance variation caused by foreign objects [,,,]. Due to the external excitation source with high frequency, the detection system can work independently from the WPT system and the SNR of the detection signal can be improved easily to avoid misjudgments. Therefore, the optimal selection of excitation frequency has become the focus of this paper.
2.2. Frequency Characteristics of Detection Sensitivity
The structure of the detection coil impedance amplification detection circuit based on the parallel resonance is shown in Figure 4, where CP and Rf are the resonant capacitor and the parallel resistance of the parallel resonant topology; |Zf| is the whole impedance of the feedback circuit of the operational amplifier; Uin is the external excitation source with high frequency while Uout is the output detection signal of the parallel resonant circuit.
Figure 4.
Impedance amplification detection circuit of detection coil based on parallel resonance.
Due to the detection coil impedance variation affected by the foreign metal object’s existence, the parallel resonant topology will deviate from the resonance state. As a result, the whole impedance of parallel resonant topology and the amplification ratio of the output signal of the amplifier circuit will change accordingly. The amplitude change of Uout can be directly utilized to judge whether foreign metal objects exist.
According to the resonance condition:
where ω0 is the resonant frequency. The detection sensitivity S is defined as the change percentage of Uout, which is calculated in Equation (11).
In Equations (10) and (11), UNONE and UFOD are the output voltage signal of the parallel resonant detection circuit when there is no foreign object and when there is a metal foreign object, respectively. While Zf_FOD and Zf_NONE are the whole impedance of the feedback circuit of the operational amplifier when the foreign object exists and are absent, respectively.
In Equation (13), for simplifying expression, part of the mathematical formula can be substituted as A, B, M, and N for simplifying expression, which are shown as follows:
From Equation (13), the detection sensitivity S is mainly determined by α, β, ω, Rf, and LD. Therefore, the improvement of S based on the optimization of ω is feasible. As analyzed above, α and β can represent the sizes, materials, and relative positions of foreign metal objects. α and β are utilized as control variables to simulate different situations. Also, as for the different detection coils with different LD, the optimal excitation frequency can be selected according to the optimization method proposed in this paper.
In order to analyze the frequency characteristic curve of the detection sensitivity S under different self-inductance values, Rf = 100 kΩ is selected in this paper. The specific reasons will be analyzed later. Because of Rf >> RD, Equation (13) can be simplified and approximated to Equation (18).
However, some parameters, such as LD, ω and resonant capacitor CP, are all still unknown. In order to select the optimal frequency, the design and parameter selection of the detection coil should be carried out first to determine LD. Then, the corresponding resonant capacitor CP can be obtained from Equation (9).
In the case of excitation frequency ω sweep, the cluster of curves of detection sensitivity S with different LD values are analyzed to determine LD and the design of the detection coil. Meanwhile, ΔLD = 1%, 8%, 15%, ΔRD = 18%, 34%, 58%, which correspond to α = 99%, 92%, 85%, β = 118%, 134%, 158%, respectively, are selected to simulate the situation of the foreign metal object in the corner, lateral side, and center position of the detection coil. These selected α and β can be estimated according to the actual foreign object which needs to be detected and the requirement of detection blind area elimination. The selected values here are as an example and consistent with the experiment. The analysis results are shown in Figure 5a–c.
Figure 5.
The relationship between the detection sensitivity of different self-inductance value detection coil and the excitation source frequency f with different proportional impedance changes: (a) ΔLD = 1%, ΔRD = 18%, α = 99%, β = 118%; (b) ΔLD = 8%, ΔRD = 34%, α = 92%, β = 134%; (c) ΔLD = 15%, ΔRD = 58%, α = 85%, β = 158%.
Compared with Figure 5a–c, it can be concluded that:
- The detection coil with different self-inductance values will have an optimal excitation frequency to maximize the detection sensitivity.
- The optimal excitation frequency of the detection coil with a high self-inductance value is lower than that of the detection coil with a low self-inductance value.
- At the same excitation frequency, the S of the detection coil with high self-inductance value is lower than that of the detection coil with a low self-inductance value. Although, the optimal excitation frequency of the detection coil with a high self-inductance value is lower.
- As α reduces and β increases, which represents the foreign object approaching the center area, the detection sensitivity S will increase accordingly tending to 100%.
According to the above analysis, a comprehensive comparison of the detection sensitivity when the foreign object exists in the center, lateral, and corner position of the detection coil, if the low self-inductance value detection coil with self-inductance value of 10 μH is selected, the optimal excitation frequency is between 6.0 MHz and 6.25 MHz.
The effect of Rf on the optimal excitation frequency selection and the detection sensitivity S are worthy of discussion. The detection coil is selected as 10μH. Keep the value combination of α and β are consistent with the above analysis and change the Rf to search the optimal frequency.
The effect of different Rf on the optimal frequency fop and its corresponding optimal detection sensitivity Sop is analyzed in Figure 6. The variation trends can be discovered:
Figure 6.
The optimal frequency fop and its corresponding optimal detection sensitivity Sop with different Rf: (a) ΔLD = 1%, ΔRD = 18%, α = 99%, β = 118%; (b) ΔLD = 8%, ΔRD = 34%, α = 92%, β = 134%; (c) ΔLD = 15%, ΔRD = 58%, α = 85%, β = 158%.
- At the same α and β, with the Rf increasing, the fop and Sop will both increase.
- With the Rf increasing, the fop under different combinations of α and β are gradually identical. In other words, when the Rf is big enough, the large change scale or the large range combination of α and β will not affect fop basically.
When Rf = 10 kΩ, the respective optimal frequencies fop of three conditions where α= 99%, β = 118%, α = 92%, β= 134%, and α = 85%, β = 158% have a too-wide gap to be unified as one optimal frequency. With the Rf increasing over 100 kΩ, the respective optimal frequencies fop of the three conditions are gradually identical. Therefore, the unified optimal frequency is easy to select. Although the higher Sop is helpful for FOD, the detection signal with the much higher frequency fop is difficult to gather by the low-cost ADC. The parasitic parameter under the higher frequency cannot be neglected and will affect the accuracy of the equations.
Furthermore, another function of Rf is to adjust the amplification factor and inhibit the input offset current of the operational amplifier. Therefore, the value of Rf must be appropriate.
Finally, comprehensively considering the factors above, the Rf is selected as 100 kΩ. Combined with the selected detection coil with LD = 10μH, the optimal frequencies fop of three conditions can be selected ranging from 6 MHz to 6.25 MHz.
With respect to the detection sensitivity S with different combinations of α and β, the excitation source frequency f is initially set at 6.25 MHz which makes the overall detection effect achieve the best. Meanwhile, the other two frequencies 1 MHz and 2.5 MHz are selected as the comparison of optimization extent, especially the 1 MHz has been selected as the excitation frequency in several papers [,,].
3. Detection Coil Design and Excitation Frequency Selection
Combined with the theoretical analysis in Section 2.1, considering the detection effect of the center and corner area of the detection coil, the detection coil should be designed to satisfy enough change percentage of self-inductance and resistance both in the center and corner area.
In order to reduce the influence of the induced voltage generated by the power magnetic field on the detection effect, the detection coil adopts the reverse series structure to reduce the net magnetic flux and the induced voltage on the detection coil [,,,,,]. The purposed structure is shown in Figure 7. The induced voltages of the two sub-detection coils can cancel out each other effectively which is helpful for high SNR.
Figure 7.
Proposed reverse series structure of detection coil.
According to reference [], the closer the size of the coil is to the size of the metal foreign object, the greater the percentage change of impedance δ is. Although the S of the detection coil with a low self-inductance value is higher than that of the detection coil with a high self-inductance value, the detection coil cannot be designed with too few number of turns to get a low self-inductance value. The proper number of turns and self-inductance value could ensure that the foreign object produces enough impedance changes to the detection coil.
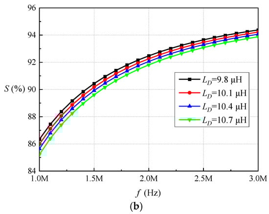
In this paper, 1-yuan RMB coin is selected as the given detected object with a diameter D = 25 mm and thickness h = 2 mm. The designed detection coil array is shown in Figure 8 which is laid on the surface of the transmitter coil directly. It has the following characteristics: external length Length = 40 mm, external width Width = 30 mm, turns N = 10, the adjacent detection coil spacing d = 1.5 mm. To eliminate the detection blind area completely, foreign objects in the corner area should be mainly considered. Figure 9 demonstrates the two situations where the coin is in the center and the corner position relative to the detection coil. When there is no foreign object, the self-inductance LD ranges from 9.8 μH to 10.7 μH under the selected frequencies and the alternating current internal resistance is 0.76 Ω (@ 1 MHz), 1.01 Ω (@ 2.5 MHz), and 1.52 Ω (@ 6.25 MHz) measured by impedance analyzer. The self-inductance value has basically met the self-inductance value requirements of Section 2.2.
Figure 8.
Detection coil array laid on the surface of the transmitter coil.
Figure 9.
Metal foreign object in the center and the corner position relative to the detection coil. (a) center position; (b) corner position.
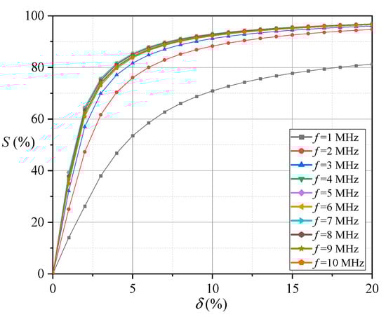
The (18) can be further simplified into Equation (19). Combined with Equations (13) and (19) and the above detection coil parameters, the numerical combination of α and β can be converted into the detection coil impedance change percentage δ. The relationship between the detection coil impedance variation percentage δ and detection sensitivity S under different excitation frequencies f can be analyzed, as shown in Figure 10.
Figure 10.
Relationship between detection sensitivity S and impedance change percentage δ with different frequencies.
According to Figure 10, as the δ increases, the detection sensitivity S will increase which is consistent with the comparison of Figure 5a–c. At the same δ, the detection sensitivity S will be improved with the excitation frequencies f increasing. Although as the frequency f increases, the improvement degree of the detection sensitivity S is limited.
Compared with Figure 3, it can be seen from Equation (19) and Figure 10 that the reasonable selection of excitation frequency ω, detection circuit resonant capacitance Cp and feedback resistance Rf will make the percentage value of detection sensitivity S much larger than that of detection coil impedance change percentage δ. In other words, as for choosing δ as the judgement of the foreign object’s existence, a high detection sensitivity can be achieved through the resonant topology amplification.
Combined with the above analysis, if the excitation frequency is consistent with the conclusion in Section 2.2 selected as 2.5 MHz and 6.25 MHz, when the detection coil impedance percentage change δ = 15% which represents the foreign object is located at the center of the detection coil, the detection sensitivity S is more than 85%. When the change percentage of the detection coil impedance δ = 1%, which represents the foreign object is located at the corner of the detection coil, the detection sensitivity S still remains at about 30%. The conclusion is consistent with the analysis results in Figure 5a–c, so the designed detection coil and the selected frequency are enough for detection.
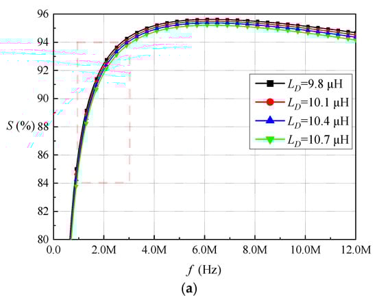
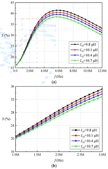
Combined with the theoretical analysis and the actual measurement data of PCB coils, the circuit simulation model is built. Based on the premise that the feedback loop is in the resonance state without the foreign object, the curve clusters of detection sensitivity S varying with excitation frequency f when the foreign object is located at the center and corner positions of the detection coil are drawn in Figure 11 and Figure 12, respectively. The Figure 11b and Figure 12b are the zoomed details of the red dotted square parts in Figure 11a and Figure 12a, respectively. More zoomed details of 1 MHz and 2.5 MHz have been shown.

Figure 11.
Relationship between the detection sensitivity S and excitation frequency f when the coin was in the center area of detection coil: (a) Broad frequency band; (b) Zoomed details of the red dotted square part in Figure 11a.
Figure 12.
Relationship between the detection sensitivity S and excitation frequency f when the coin was in the corner area of detection coil: (a) Broad frequency band; (b) Zoomed details of the red dotted square part in Figure 12a.
As shown in Figure 11 and Figure 12, when the frequency reaches about 6 MHz, the detection sensitivity S reaches the maximum point both in the center and corner position of the detection coil, and no longer increases with the increase of frequency. The detection sensitivity S of the center and corner position is, respectively, about 95% and 40%. When the excitation frequency is 2.5 MHz, the detection sensitivity S of center and corner position is more than 92% and 30%. When the excitation frequency is 1 MHz, the detection sensitivity S of center and corner position is about 85% and 20%. The above conclusions are basically consistent with Figure 5.
Obviously, the increase in excitation frequency can improve the detection sensitivity, especially when the foreign object is located in the corner area of the detection coil, the detection sensitivity S increases by about 12%. Therefore, optimizing the excitation frequency can further avoid the occurrence of poor detection results and enhance the accuracy of the foreign object detection system. Finally, 6.25 MHz is selected in this paper as the optimal frequency of the system. Additionally, 1 MHz and 2.5 MHz are tested as contrasted to reveal the detection effect improvement.
4. Experimental Verification
The structure of the LCC-LCC wireless power transfer system with 3.3 kW power level is used as the WPT experiment prototype. The WPT3Z2 magnetic coupler is utilized as the wireless power transfer system and the application object for the proposed FOD system. The whole power electronic structure of the LCC-LCC wireless power transfer system is demonstrated in Figure 13, of which the transmission power level is 3.3 kW and the working frequency of WPT is 85 kHz. The parameters are listed in Table 1, where Gap is the distance between the primary coil and the secondary coil. Ip(RMS) and Is(RMS) are the RMS values of the primary coil current and the secondary coil current, respectively.
Figure 13.
The structure of the LCC-LCC wireless power transfer system with 3.3 kW power level.
Table 1.
WPT system parameters.
As shown in Figure 8, since the designed detection coil array is directly placed on the surface of the primary coil, the 85 kHz induced voltage caused by the alternating power magnetic field of the WPT system will be generated inevitably in the detection coil. Benefiting from using the high-frequency external excitation Uin, the frequency f of the detection circuit output Uout is far away from 85 kHz which is the working frequency of the WPT system and induced voltage. Uout can be obtained by the analog high-pass filter of which the attenuation at 85 kHz is about 30 dB.
The structure of the FOD system is illustrated in Figure 14. For convenience, all the detection coils share the same resonant capacitor Cp. Every detection coil accesses in the detection circuit one by one via the switch relay controlled by FPGA. In order to guarantee the detection accuracy of the existence of foreign objects, another digital bandpass filter and threshold comparison as the further signal processing of Uout in FPGA.
Figure 14.
The structure of FOD system.
The detection principle can be summed up briefly in that the whole impedance changes after the resonant state deviation of the parallel resonant tank caused by foreign objects is utilized for FOD.
Through the utilization of external excitation, the proposed FOD system can work independently from the WPT system. No matter which coil the foreign object is located in, the detection circuit output Uout is basically the same. According to the conclusion of the frequency optimization goal in Section 2.2, the parallel resonant amplifier circuit shown in Figure 14 with different resonant capacitors Cp are configured and their actual resonant frequencies of the parallel resonator are 1.04 MHz, 2.48 MHz, and 6.22 MHz. Where the 1 MHz and 2.5 MHz are only used as the comparison to verify the improvement of detection sensitivity and the effectiveness of the proposed frequency optimization strategy. Especially, 1 MHz is the common choice of some existing research.
The experiments with different excitation frequencies are conducted separately. the different parallel resonant capacitors Cp are substituted to realize the switch of the parallel resonant tank with different resonant frequencies. Only one excitation frequency is utilized at a time.
Two testing conditions where the geometric centers of foreign objects are placed at the center of the detection coils and at the junction point of the four detection coils (detection coil corners) can explore the best and worst detection sensitivity and performance of the FOD system.
The FOD experimental prototype based on a WPT system with the 3.3 kW output power is demonstrated in Figure 15. In the process of power transmission, the FOD experimental prototype could work normally.
Figure 15.
FOD experimental prototype based on the 3.3 kW wireless power transfer system.
Figure 16.
Output waveform of detection circuit Uout with excitation frequency f = 1.04 MHz when foreign object was 1 RMB yuan coin. (a) Normal condition without foreign metal object. (b) Coin in the center position of the detection coil. (c) Coin in the corner position of the detection coil. (d) The moment of the Uout amplitude variation caused by 1 RMB yuan coin entering the center position of the detection coil. (e) The moment of the Uout amplitude variation caused by 1 RMB yuan coin entering the corner position of the detection coil.

Figure 17.
Output waveform of detection circuit Uout with excitation frequency f = 2.48 MHz when foreign object was 1 RMB yuan coin. (a) Normal condition without foreign metal object. (b) Coin in the center position of the detection coil. (c) Coin in the corner position of the detection coil. (d) The moment of the Uout amplitude variation caused by 1 RMB yuan coin entering the center position of the detection coil. (e) The moment of the Uout amplitude variation caused by 1 RMB yuan coin entering the corner position of the detection coil.
Figure 18.
Output waveform of detection circuit Uout with excitation frequency f = 6.22 MHz when foreign object was 1 RMB yuan coin. (a) Normal condition without foreign metal object. (b) Coin in the center position of the detection coil. (c) Coin in the corner position of the detection coil. (d) The moment of the Uout amplitude variation caused by 1 RMB yuan coin entering the center position of the detection coil. (e) The moment of the Uout amplitude variation caused by 1 RMB yuan coin entering the corner position of the detection coil.
The output waveform of Uout under conditions of the foreign object in the center and corner position with the excitation frequency f = 1.04 MHz of the detection circuit are revealed in Figure 16b and Figure 16c, respectively. Figure 16a is the normal condition without the foreign object. The RMS value of the detection circuit output Uout-RMS decreased from 4.89 V to 1.43 V and 4.06 V, respectively. This phenomenon is consistent with the amplitude–frequency characteristic of the parallel resonance circuit shown in Figure 5. According to (10), the corresponding detection sensitivity S are 70.76% and 16.97%. The amplitude changes of Uout at the moment of the foreign object entering are recorded in Figure 16d,e.
Likewise, the Uout under conditions of the foreign object in the center and corner position with f = 2.48 MHz are revealed in Figure 17b,c. The Uout-RMS decreased from 4.78 V without the foreign object to 0.352 V and 3.11 V. The corresponding S are 92.63% and 34.94%. The moment of the Uout amplitude variation caused by the foreign object is recorded in Figure 17d,e.
The Uout under the conditions of foreign object in the center and corner position with f = 6.22 MHz are revealed in Figure 18b,c. The Uout-RMS decreased from 4.88 V without foreign object to 0.347 V and 2.92 V. The corresponding S are 92.89% and 40.16%. The amplitude variation moments caused by the foreign objects are recorded in Figure 18d,e.
Compared with 1 MHz, the detection sensitivity at 2.48 MHz and 6.22 MHz has improved significantly which are consistent with the theoretical analysis shown in Figure 11 and Figure 12. Although the S with 6.22 MHz when the foreign object is in the center position is basically the same as the S with 2.48 MHz, the S is high enough to detect foreign objects accurately. While the S with 6.22 MHz when the foreign object in the corner position has been improved by 5.22% which is helpful to eliminate the blind detection area further. Therefore, the feasibility of detection sensitivity improvement based on frequency optimization has been verified. Meanwhile, the excitation frequency f can be appropriately reduced according to the actual demand to the benefit of the device selection and signal processing.
According to the part of the conclusion summarized in Figure 5 shown in this paper, the optimal excitation frequency of the detection coil with the high self-inductance value is lower than that of the detection coil with the low self-inductance value. Authors make the following guess:
Although the self-inductance value was not mentioned, considering that the size and number of turns in [,] are all higher than the designed coil in this paper, the coil self-inductance in [,] is higher than our coil with 10 μH. The optimal frequency of [,] should be lower than 6.22 MHz. But as the deficiencies summarized in the Introduction of this paper, whether the 1 MHz is the optimal frequency to achieve the optimal detection sensitivity is still unknown because of the lack of the coil parameters in [,]. Another probable cause is that 1 MHz is not high enough and is suitable to gather by the common ADC.
As Equations (3) and (4) described, α and β are defined as the proportionality coefficient of the self-inductance change and the resistance change of the detection coil, which are helpful to simplify the effect analysis of foreign metal objects on detection coil impedance. The factors contributing to the value change of α and β include the size, material, and relative position.
Compared with Figure 5a–c, the value change of α and β in a certain range will not change the optimal excitation frequency basically. Therefore, in the cases where the sizes and materials of these foreign objects are similar, the proposed optimization strategy of excitation frequency is still valid.
Other materials, shapes, and sizes of foreign objects and common objects were also tested in the experiment to demonstrate the universality of the proposed method (where D is the diameter of the cylindrical foreign object and a is the length of the cubic foreign object edge, units in millimeter). Additionally, 6.22 MHz is still selected as the excitation frequency for the test of different objects in Figure 19. The size and the electromagnetic parameters of selected coins have been listed in Table 2. Three kinds of coins are mainly made of stainless steel. The thickness of all cylinder foreign objects is 2 mm which is consistent with the coins. The experiment results are summarized in Figure 19.
Figure 19.
The detection sensitivity S of different foreign objects which are placed in the center position and corner position of detection coil.
Table 2.
The size and the electromagnetic parameters of the selected coins.
Benefitting from the sufficient margin of detection sensitivity at 6.22 MHz, the detection sensitivity S of all testing objects in center position and corner position are higher than 80% and 30%, respectively. In particular, small size foreign objects such as the paperclip can be detected, of which the detection sensitivity in center position and corner position are 50.64% and 8.92%, respectively. As for the copper cylinder with the diameter 30 mm, the detection sensitivity S is up to 97.56%. Thus, the detection bind area can be eliminated effectively and the detection sensitivity can be improved by the strategy of excitation frequency optimization. The method proposed in this paper is helpful to improve the detection sensitivity and extend the detection performance for smaller size foreign objects without changing the hardware, especially the detection coil.
5. Conclusions
A design method of a high-sensitivity foreign object detection (FOD) system in electric vehicle wireless charging based on excitation frequency optimization has been proposed in this article. The purposed strategy can be applied to the detection coils of different structures or different self-inductances. As for a certain given foreign object, the corresponding optimal excitation frequency is designed to achieve the optimal detection effect to eliminate the blind area of low detection sensitivity.
By analyzing the frequency characteristics of the detection sensitivity under the condition of different self-inductance detection coils, the detection coil that satisfied the need for self-induction value was designed and its corresponding optimal excitation frequency was selected.
A FOD experiment prototype based on the 3.3 kW has been established to verify the purposed method and its feasibility. The comprehensive test results indicated that the detection sensitivity of foreign object detection systems is up to 97.56%. With the 6.22 MHz excitation frequency, as for 1 RMB yuan coin in the center position and corner position of the detection coil, the detection sensitivity is 92.89% and 40.16%, respectively, which is 22.13% and 23.19% higher than that of the excitation frequency is 1 MHz. It is important to note that the proposed method can be utilized in other power levels and applications in the wireless charging system.
Author Contributions
Theoretical analysis, Y.S. and K.S.; simulation, T.Z.; experiment, Y.S. and J.J.; writing-original draft preparation, Y.S. and K.S.; writing—review and editing, G.W. and C.Z. All authors have read and agreed to the published version of the manuscript.
Funding
This research was funded by [National Natural Science Foundation of China] grant number [51977043, 52277006].
Data Availability Statement
The data has already been contained within this article and they are sufficient to support the innovation. More data about this study are available on request from the corresponding author.
Conflicts of Interest
The authors declare no conflict of interest.
References
- Li, Z.; Song, K.; Jiang, J.; Zhu, C. Constant Current Charging and Maximum Efficiency Tracking Control Scheme for Supercapacitor Wireless Charging. IEEE Trans. Power Electron. 2018, 33, 9088–9100. [Google Scholar] [CrossRef]
- Li, Z.; Zhu, C.; Jiang, J.; Song, K.; Wei, G. A 3-kW Wireless Power Transfer System for Sightseeing Car Supercapacitor Charge. IEEE Trans. Power Electron. 2017, 32, 3301–3316. [Google Scholar] [CrossRef]
- Zucca, M.; Squillari, P.; Pogliano, U. A Measurement System for the Characterization of Wireless Charging Stations for Electric Vehicles. IEEE Trans. Instrum. Meas. 2021, 70, 9001710. [Google Scholar] [CrossRef]
- Teeneti, C.R.; Truscott, T.T.; Beal, D.N.; Pantic, Z. Review of Wireless Charging Systems for Autonomous Underwater Vehicles. IEEE J. Ocean. Eng. 2021, 46, 68–87. [Google Scholar] [CrossRef]
- Cai, C.; Wu, S.; Zhang, Z.; Jiang, L.; Yang, S. Development of a Fit-to-Surface and Lightweight Magnetic Coupler for Autonomous Underwater Vehicle Wireless Charging Systems. IEEE Trans. Power Electron. 2021, 36, 9927–9940. [Google Scholar] [CrossRef]
- Wang, D.; Cui, S.; Zhang, J.; Bie, Z.; Song, K.; Zhu, C. A Novel Arc-Shaped Lightweight Magnetic Coupler for AUV Wireless Power Transfer. IEEE Trans. Ind. Appl. 2022, 58, 1315–1329. [Google Scholar] [CrossRef]
- Yan, Z.; Song, B.; Zhang, Y.; Zhang, K.; Mao, Z.; Hu, Y. A Rotation-Free Wireless Power Transfer System with Stable Output Power and Efficiency for Autonomous Underwater Vehicles. IEEE Trans. Power Electron. 2019, 34, 4005–4008. [Google Scholar] [CrossRef]
- Tang, S.C.; Lun TL, T.; Guo, Z.; Kwok, K.W.; McDannold, N.J. Intermediate Range Wireless Power Transfer with Segmented Coil Transmitters for Implantable Heart Pumps. IEEE Trans. Power Electron. 2017, 32, 3844–3857. [Google Scholar] [CrossRef]
- Liu, C.; Jiang, C.; Song, J.; Chau, K.T. An Effective Sandwiched Wireless Power Transfer System for Charging Implantable Cardiac Pacemaker. IEEE Trans. Ind. Electron. 2019, 66, 4108–4117. [Google Scholar] [CrossRef]
- Available online: http://standards.sae.org/J2954_201904 (accessed on 30 July 2020).
- IEC 61980-3 ED1; IEC TC 69: Electric Road Vehicles and Electric Indust-Rial Trucks. IEC: Geneva, Switzerland, 2022.
- Available online: https://www.icnirp.org/en/publications/article/icnirp-publications-1992-2004.html (accessed on 24 March 2020).
- Hall, K.L.; Kesler, M.P.; Fiorello, R.; Schatz, D.A.; Kulikowski, K.J.; Soljacic, M. Vehicle Charger Safety System and Method. U.S. patent Appl.14/087,512, 27 March 2014. [Google Scholar]
- Briz, A.G.; Gilbert, A.M.; Ombach, G. Methods and Systems for Object Detection and Sensing for Wireless Charging Systems. U.S. patent Appl.14/307,285, 15 August 2017. [Google Scholar]
- Widmer, H.; Sieber, L.; Daetwyler, A.; Bittner, M. Systems, Methods, and Apparatus for Radar-Based Detection of Objects in A Predetermined Space. U.S. patent Appl.14/335,296, 26 September 2017. [Google Scholar]
- Sonnenberg, T.; Stevens, A.; Dayerizadeh, A.; Lukic, S. Combined Foreign Object Detection and Live Object Protection in Wireless Power Transfer Systems via Real-Time Thermal Camera Analysis. In Proceedings of the 2019 IEEE Applied Power Electronics Conference and Exposition (APEC), Anaheim, CA, USA, 17–21 March 2019; pp. 1547–1552. [Google Scholar] [CrossRef]
- Karanth, A.; Dorairaj, H.H.K.; Kumar, R.B.R. Foreign object detection in inductive coupled wireless power transfer environment using thermal sensors. U.S. patent Appl.13/808,786, 27 June 2013. [Google Scholar]
- Jeong, S.Y.; Kwak, H.G.; Jang, G.C.; Choi, S.Y.; Rim, C.T. Dual-Purpose Nonoverlapping Coil Sets as Metal Object and Vehicle Position Detections for Wireless Stationary EV Chargers. IEEE Trans. Power Electron. 2018, 33, 7387–7397. [Google Scholar] [CrossRef]
- Thai, V.X.; Jang, G.C.; Jeong, S.Y.; Park, J.H.; Kim, Y.S.; Rim, C.T. Symmetric Sensing Coil Design for the Blind-Zone Free Metal Object Detection of a Stationary Wireless Electric Vehicles Charger. IEEE Trans. Power Electron. 2 0202, 35, 3466–3477. [Google Scholar] [CrossRef]
- Xiang, L.; Zhu, Z.; Tian, J.; Tian, Y. Foreign Object Detection in a Wireless Power Transfer System Using Symmetrical Coil Sets. IEEE Access 2019, 7, 44622–44631. [Google Scholar] [CrossRef]
- Jeong, S.Y.; Thai, V.X.; Park, J.H.; Rim, C.T. Metal Object Detection System with Parallel-mistuned Resonant Circuits and Nullifying Induced Voltage for Wireless EV Chargers. In Proceedings of the 2018 International Power Electronics Conference (IPEC-Niigata 2018-ECCE Asia), Niigata, Japan, 20–24 May 2018; pp. 2564–2568. [Google Scholar] [CrossRef]
- Jeong, S.Y.; Thai, V.X.; Park, J.H.; Rim, C.T. Self-Inductance-Based Metal Object Detection With Mistuned Resonant Circuits and Nullifying Induced Voltage for Wireless EV Chargers. IEEE Trans. Power Electron. 2019, 34, 748–758. [Google Scholar] [CrossRef]
- Thai, V.X.; Park, J.H.; Jeong, S.Y.; Rim, C.T.; Kim, Y.S. Equivalent-Circuit-Based Design of Symmetric Sensing Coil for Self-Inductance-Based Metal Object Detection. IEEE Access 2020, 8, 94190–94203. [Google Scholar] [CrossRef]
- Cheng, B.; Lu, J.; Zhang, Y.; Pan, G.; Chabaan, R.; Mi, C.C. A Metal Object Detection System with Multilayer Detection Coil Layouts for Electric Vehicle Wireless Charging. Energies 2020, 13, 2960. [Google Scholar] [CrossRef]
- Shi, W.; Grazian, F.; Dong, J.; Soeiro, T.B.; Bauer, P. Detection of Metallic Foreign Objects and Electric Vehicles Using Auxiliary Coil Sets for Dynamic Inductive Power Transfer Systems. In Proceedings of the 2020 IEEE 29th International Symposium on Industrial Electronics (ISIE), Delft, The Netherlands, 17–19 June 2020; pp. 1599–1604. [Google Scholar] [CrossRef]
- Shi, W.; Dong, J.; Soeiro, T.B.; Bauer, P. Integrated Solution for Electric Vehicle and Foreign Object Detection in the Application of Dynamic Inductive Power Transfer. IEEE Trans. Veh. Technol. 2021, 70, 11365–11377. [Google Scholar] [CrossRef]
- Shi, W.; Dong, J.; Bandyopadhyay, S.; Grazian, F.; Soeiro, T.B.; Bauer, P. Comparative Study of Foreign Object and Misalignment in Inductive Power Transfer Systems. In Proceedings of the IECON 2019—45th Annual Conference of the IEEE Industrial Electronics Society, Lisbon, Portugal, 14–17 October 2019; pp. 2634–2639. [Google Scholar] [CrossRef]
Disclaimer/Publisher’s Note: The statements, opinions and data contained in all publications are solely those of the individual author(s) and contributor(s) and not of MDPI and/or the editor(s). MDPI and/or the editor(s) disclaim responsibility for any injury to people or property resulting from any ideas, methods, instructions or products referred to in the content. |
© 2023 by the authors. Licensee MDPI, Basel, Switzerland. This article is an open access article distributed under the terms and conditions of the Creative Commons Attribution (CC BY) license (https://creativecommons.org/licenses/by/4.0/).