Repair Parameter Design of Outer Reinforcement Layers of Offshore Wind Turbine Blade Spar Cap Based on Structural and Aerodynamic Analysis
Abstract
1. Introduction
2. Design of Repair Parameters of Outer Reinforcing Layers
2.1. Repair Parameters
2.2. Design of Repair Parameters
2.3. Structural and Aerodynamic Repair Models
3. Validation of the Repair Analysis Model
3.1. Verification of Structural Repair Model
3.2. Verification of Aerodynamic Repair Model
4. Influence Analysis of Structural Performance
4.1. Failure Load
4.2. Influence of Repair Length
4.3. Influence of Repair Heigth
4.4. Influence of Repair Width
5. Influence Analysis of Aerodynamic Performance
5.1. Lift and Drag Performance
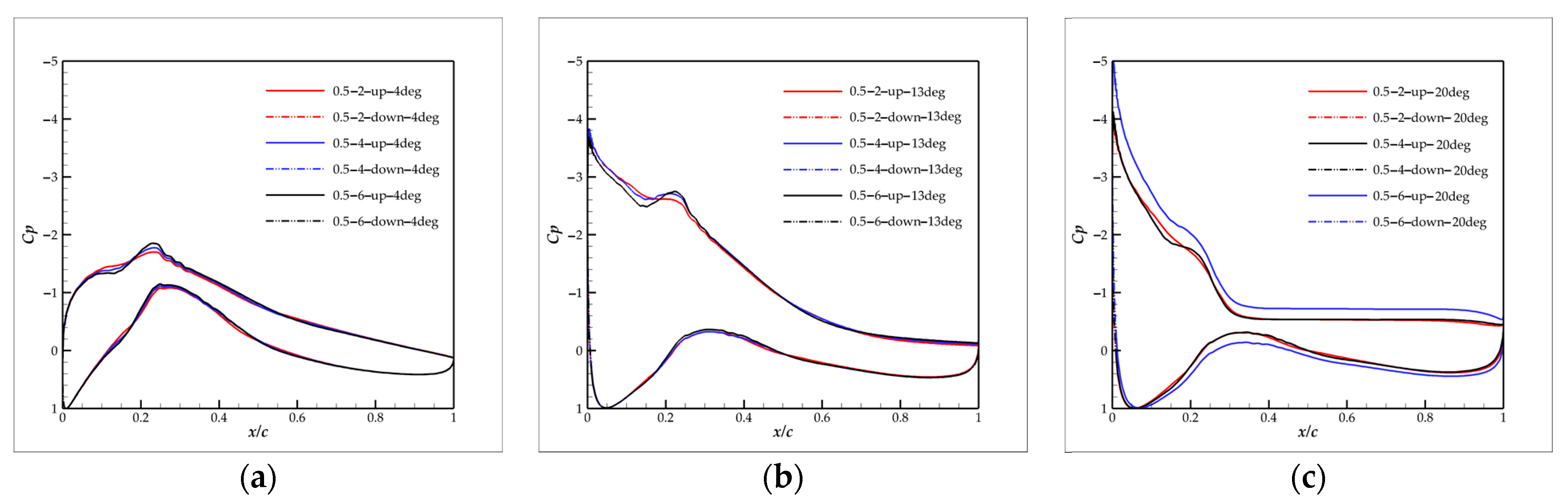
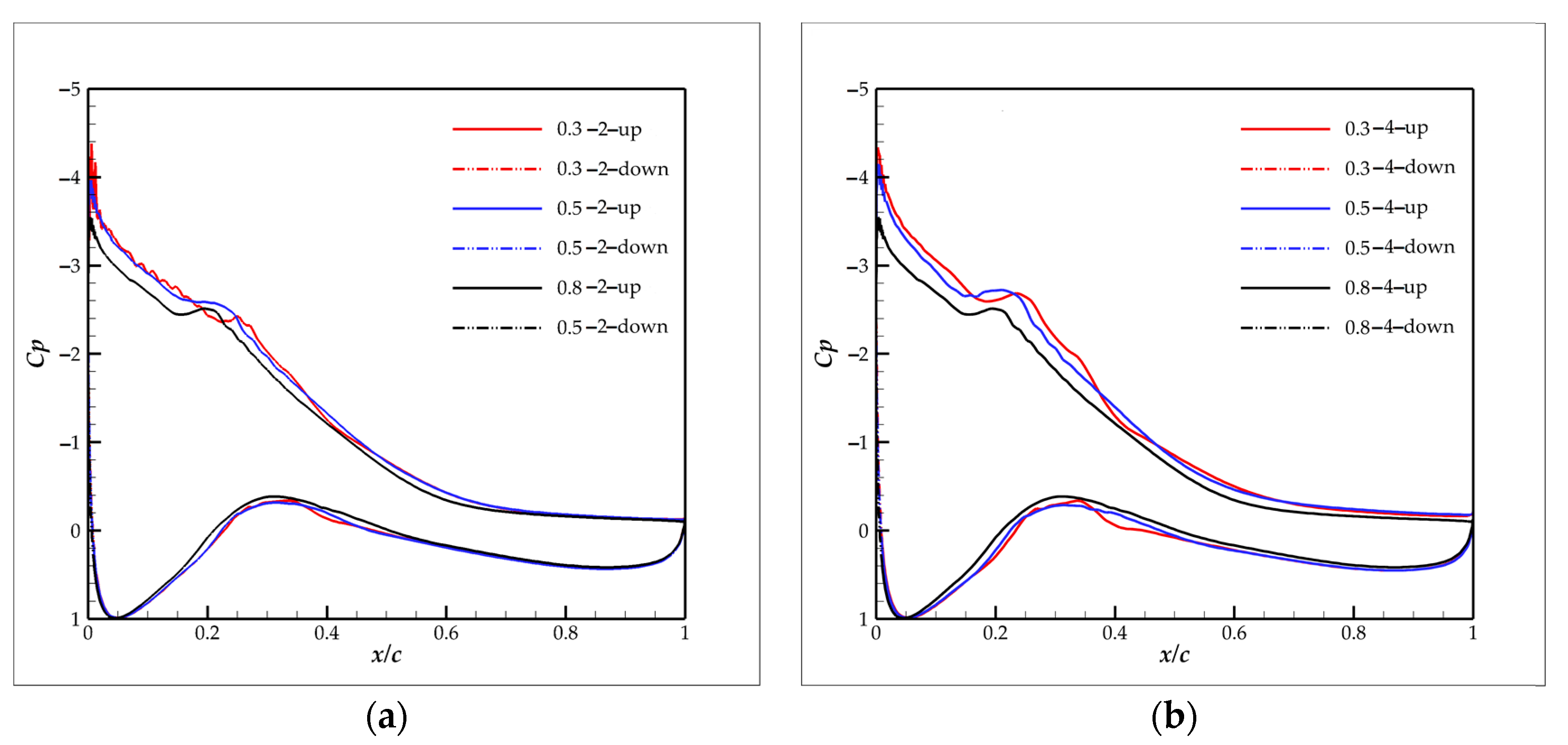
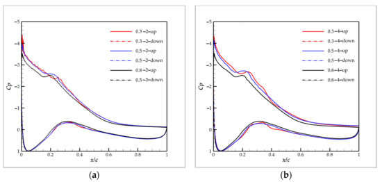
5.2. Influence of Repair Width
5.3. Influence of Repair Heigth
5.4. Influence of Repair Length
6. Results and Discussion
- Aiming at the damage repair problem of the spar cap structure of offshore WT blades, using the stepped-lap scarf joint repair model, the repair parameters of ORLs influencing the repair strength and aerodynamic characteristics were divided into repair width, repair height, and repair length. On the basis of the quantitative values of repair parameters in design optimization of the blade ORLs, 27 unidirectional plate structural repair models, nine 2D aerodynamic repair models, and a 3D full-scale blade repair model were designed.
- The accuracy of structural repair model and aerodynamic repair model was verified experimentally.
- Abaqus was used to establish the three-dimensional stepped-lap scarf joint repair model of the unidirectional laminate spar cap with damage elements. The load–displacement distribution trend of the numerical simulation was consistent with that of the experiment, and the failure load deviation was 5.5%. The final failure mode (matrix cracking of parent structure and stepped-lap scarf joint surface peeling) and failure location (stepped-lap scarf joint surface) were the same as those observed in the test. It is clear that the damage gradually expanded from the end of the stepped-lap scarf joint surface to the middle area, before leading to the whole surface peeling.
- The aerodynamic simulation analysis model of the DU300 airfoil was established using Fluent, and the flow characteristics of the DU300 airfoil at 10° and 15° angles of attack were simulated. The lift coefficient and pressure distribution obtained via numerical simulation were in good agreement with the experimental values, and the overall error was within 2%.
- A total of 27 structural repair models were designed to compare the influence of repair parameter optimization in the design of ORLs on the failure load and cohesive layer normal stress S33.
- The repair length could significantly improve the loading capacity of the structure. When the repair length was increased from 90 mm to 145 mm, the maximum failure load was increased by 22%. However, when the repair length exceeded 145 mm, only the width and depth of the elastic groove increased continuously, which did not affect the failure load and interlaminar stress distribution.
- The repair height played an important role in improving the loading capacity of the structure, especially when the repair area (repair length × repair width) was large; the repair height caused the local stiffness of the ORL bonded parts to increase, resulting in a significant increase in the failure load by about 30%.
- The repair width only increased the width of the spar cap in the chord direction perpendicular to the fiber direction, which led to no significant improvement in the loading capacity of the structural repair model.
- With the increase in the displacement loading step until the failure displacement, the S33 at both ends dropped sharply. The S33 in the middle of the stepped-lap surface fluctuated greatly with the increase in the loading point, verifying that the repair stepped-lap surface failed from both ends and expanded along the repair length to the middle area.
- The 2D airfoil with nine groups of aerodynamic repair models and the 3D rotating blade repaired model were designed for the slight deviation of the local spar cap caused by the repair width, repair height, and repair length, and then subjected to aerodynamic response analysis.
- The lift and drag properties of the spar cap repair models were closely related to the width and height of the repair. The lift coefficient increased or decreased by 3.8–10% with different optimization design of the repair width and height.
- The influence of repair width and repair height on the aerodynamic pressure distribution and static pressure field of the spar cap repair model changed significantly with the angle of attack, and the influence degree on the suction surface was greater than that on the pressure surface. Repair height had a more significant effect on the aerodynamic performance than repair width. The repair width and repair height needed to be coordinated to achieve smooth transition of aerodynamic shape and reduce the influence of shape deviation on the aerodynamic performance.
- Under the calculation model state, the torque and power of the 3D rotation blade using the repair model with 30–40 m repair length, 80% repair width, and 6 mm repair height were resolved by 0.137% compared with the original blade. In addition, the 2D airfoil profiles at different spanwise positions of the 3D blades were extracted; along the initial chord position of the spar cap, the repair length caused a stepwise change in the aerodynamic pressure coefficient of the suction surface and pressure surface of the 2D profile from the leading edge to the spar cap repair area, but the vorticity field in the near-wake field was little affected.
- Therefore, by reasonably optimizing the repair length, repair width, and repair height of the outer reinforcement layers, the comprehensive measurement of structural characteristics and aerodynamic performance was realized, which can provide technical support for the damage repair of the spar cap of the offshore blade in service.
7. Conclusions
Author Contributions
Funding
Data Availability Statement
Conflicts of Interest
References
- Guedes Soares, C.; Bhattacharjee, J.; Karmakar, D. Overview and prospects for development of wave and offshore wind energy. Brodogradnja 2014, 65, 87–109. [Google Scholar]
- Ren, Z.; Verma, A.S.; Li, Y.; Teuwen, J.J.; Jiang, Z. Offshore wind turbine operations and maintenance: A state-of-the-art review. Renew. Sustain. Energy Rev. 2021, 144, 110886. [Google Scholar] [CrossRef]
- Shafiee, M.; Patriksson, M.; Strömberg, A.-B. An Optimal Number-Dependent Preventive Maintenance Strategy for Offshore Wind Turbine Blades Considering Logistics. Adv. Oper. Res. 2013, 2013, 205847. [Google Scholar] [CrossRef]
- Nordahl, M. The development of a life cycle cost model for an offshore wind farm. Master’s Thesis, Department of Applied Mechanics, Chalmers University of Technology, Gothenburg, Sweden, 2011. Available online: http://publications.lib.chalmers.se/records/fulltext/152402.pdf (accessed on 1 August 2011).
- Shafiee, M.; Finkelstein, M.; Bérenguer, C. An opportunistic condition-based maintenance policy for offshore wind turbine blades subjected to degradation and environmental shocks. Reliab. Eng. Syst. Saf. 2015, 142, 463–471. [Google Scholar] [CrossRef]
- Zhou, B.; Yu, F.; Luo, Y.; Li, H. Detecting defects in the main spar of a wind turbine blade. J. Renew. Sustain. Energy 2020, 12, 053304. [Google Scholar] [CrossRef]
- Zhao, L.B.; Gong, Y.; Zhang, J.Y. A survey on delamination growth behavior in fiber reinforced composite laminates. Acta Aeronaut. Astronaut. Sin. 2019, 40, 171–199. [Google Scholar]
- Bolotin, V.V. Delaminations in composite structures: Its origin, buckling, growth and stability. Compos. Part B Eng. 1996, 27, 129–145. [Google Scholar] [CrossRef]
- Pietropaoli, E.; Riccio, A. Formulation and assessment of an enhanced finite element procedure for the analysis of delamination growth phenomena in composite structures. Compos. Sci. Technol. 2011, 71, 836–846. [Google Scholar] [CrossRef]
- Waas, V.D.; Hidayat, M.; Noerochim, L. Finite Element Simulation of Delamination in Carbon Fiber/Epoxy Laminate Using Cohesive Zone Model: Effect of Meshing Variation. Mater. Sci. Forum 2019, 964, 257–262. [Google Scholar] [CrossRef]
- Jiménez, A.A.; Zhang, L.; Muñoz, C.Q.G.; Márquez, F.P.G. Maintenance management based on machine learning and nonlinear features in wind turbines. Renew. Energy 2020, 146, 316–328. [Google Scholar] [CrossRef]
- Tenney, D.R.; Davis, J.G., Jr.; Pipes, R.B.; Johnston, N. NASA Composite Materials Development: Lessons Learned and Future Challenges; NATO Research and Technology Agency: Neuilly sur Seine, France, 2009; pp. 1–58. [Google Scholar]
- Mischnaewski, L., III; Mishnaevsky, L., Jr. Structural repair of wind turbine blades: Computational model for the evaluation of the effect of adhesive properties. Wind Energy 2021, 24, 402–408. [Google Scholar] [CrossRef]
- Bajere, P.A. Handbook of adhesive bonded structural repair. J. Test Eval. 1994, 22, 1–10. [Google Scholar]
- Li, H.; Chen, C.; Wang, T.; Wang, L. Experimental Study of Stepped-Lap Scarf Joint Repair for Spar Cap Damage of Wind Turbine Blade in Service. Appl. Sci. 2020, 10, 922. [Google Scholar] [CrossRef]
- Li, H.; Zhang, X.; Zhou, B.; Wang, L.; Zhu, C. Study on the repair parameters for trailing-edge bonding failure of wind turbine blade in service. Energy Sci. Eng. 2022. Early View. [Google Scholar] [CrossRef]
- Mishnaevsky, L. Repair of wind turbine blades: Review of methods and related computational mechanics problems. Renew. Energy 2019, 140, 828–839. [Google Scholar] [CrossRef]
- Sun, C.; Zhao, W.; Zhou, J.; Altenaiji, M.; Cantwell, W.; Wang, Q.; Guan, Z. Mechanical behaviour of composite laminates repaired with a stitched scarf patch. Compos. Struct. 2021, 255, 112928. [Google Scholar] [CrossRef]
- Bendemra, H.; Compston, P.; Crothers, P.J. Optimisation study of tapered scarf and stepped-lap joints in composite repair patches. Compos. Struct. 2015, 130, 1–8. [Google Scholar] [CrossRef]
- Beylergil, B.; Aktas, A.; Cunedioglu, Y. Buckling and compressive failure of stepped-lap joints repaired with composite patches. J. Compos. Mater. 2012, 46, 3213–3230. [Google Scholar] [CrossRef]
- Lekou, D.J.; Vionis, P. Report on Repair Techniques for Composite Parts of Wind Turbine Blades; OPTIMAT Blades, WMC Technology Center: Wieringerwer, The Netherlands, 2002; pp. 1–15. [Google Scholar]
- Black, K.J. An investigation of the effects of battle-damaged repair patches on the aerodynamic responses of an airfoil. Ph.D. Thesis, Carleton University, Ottawa, ON, Canada, 1995. [Google Scholar]
- Irwin, A.J. Investigation into the Aerodynamic Effects of Simulated Battle Damage to a Wing. Ph.D. Thesis, Loughborough University, Loughborough, UK, 1999. [Google Scholar]
- Render, P.M.; de Silva, S.; Walton, A.J.; Mahmoud, M. Experimental Investigation into the Aerodynamics of Battle Damaged Airfoils. J. Aircr. 2007, 44, 539–549. [Google Scholar] [CrossRef]
- Kind, R.J.; Block, K.J.; Carnegie, C.L. A preliminary investigation of the effects of battle-damage repair patches on the aerodynamic performance of a CF-18 airfoil. Can. Aeronaut. Space J. 1998, 44, 73–81. [Google Scholar]
- Render, P.M.; Walton, A.J. Aerodynamics of battle damaged wings—The influence of flaps camber and repair schemes. In Proceedings of the 23rd AIAA Applied Aerodynamic Conference, Toronto, ON, Canada, 6–9 June 2005. [Google Scholar]
- Djellal, S.; Render, P.M.; Ouibrahim, A. Effects of battle damage repairs on the aerodynamics of a wing. In Proceedings of the JNAGT05, Oran, Algeria, 5–6 December 2005. [Google Scholar]
- Djellal, S.; Ouibrahimi, A. Aerodynamic Performances of Battle-Damaged and Repaired Wings of an Aircraft Model. J. Aircr. 2008, 45, 2009–2023. [Google Scholar] [CrossRef]
- Etemadi, F.; Mani, M.; Etemadi, M. Experimental and numerical analysis of repairing a triangular shaped airfoil. In Proceedings of the Fluids Engineering Division Summer Meeting, Hamamatsu, Japan, 24–29 July 2011; Volume 44403, pp. 3455–3461. [Google Scholar]
- Etemadi, F.; Etemadi, M.; Mani, M.; Pooladsanj, S. Experimental and numerical analysis of aerodynamic effects of repair patches on damaged airfoils. J. Mech. Sci. Technol. 2017, 31, 651–658. [Google Scholar] [CrossRef]
- Det Norske Veritas. DNVGL-ST-0376. Rotor Blades for Wind Turbines. 2015. Available online: https://rules.dnvgl.com/docs/pdf/DNVGL/ST/2015-12/DNVGL-ST-0376.pdf (accessed on 1 December 2015).
- Webber, J.P.H. Scarf repair joints in carbon fibre reinforced plastic strips. J. Adhes. 1981, 12, 257–281. [Google Scholar] [CrossRef]
- Li, J.; Wang, J.; Zhang, L.; Huang, X.; Yu, Y. Study on the Effect of Different Delamination Defects on Buckling Behavior of Spar Cap in Wind Turbine Blade. Adv. Mater. Sci. Eng. 2020, 2020, 6979636. [Google Scholar] [CrossRef]
- Hayat, K.; Siddique, S.; Sultan, T.; Ali, H.T.; Aloufi, F.A.; Halawani, R.F. Effect of Spar Design Optimization on the Mass and Cost of a Large-Scale Composite Wind Turbine Blade. Energies 2022, 15, 5612. [Google Scholar] [CrossRef]
- Hashin, Z. Failure Criteria for Unidirectional Fiber Composites. J. Appl. Mech. 1980, 47, 329–334. [Google Scholar] [CrossRef]
- Barenblatt, G.I. The formation of equilibrium cracks during brittle fracture. General ideas and hypotheses. Axially-symmetric cracks. J. Appl. Math. Mech. 1959, 23, 622–636. [Google Scholar] [CrossRef]
- Dugdale, D.S. Yielding of steel sheets containing slits. J. Mech. Phys. Solids 1960, 8, 100–104. [Google Scholar] [CrossRef]
- Camacho, G.T.; Ortiz, M. Computational modeling of impact damage in brittle materials. Int. J. Solids Struct. 1996, 33, 289–2938. [Google Scholar] [CrossRef]
- Richefeu, V.; Chrysochoos, A.; Huon, V.; Monerie, Y.; Peyroux, R.; Wattrisse, B. Toward local identification of cohesive zone models using digital image correlation. Eur. J. Mech. A Solids 2012, 34, 38–51. [Google Scholar] [CrossRef]
- Shokrieh, M.; Zeinedini, A.; Ghoreishi, S. On the mixed mode I/II delamination R-curve of E-glass/epoxy laminated composites. Compos. Struct. 2017, 171, 19–31. [Google Scholar] [CrossRef]
- Xu, H.R.; Yang, H.; Liu, C.; Hong, Z.D. Research on the effect of different turbulence models on the aerodynamic performance prediction accuracy of MEXICO wind turbines. Proc. CSEE 2013, 33, 95–101. [Google Scholar]
- Menter, F.R. Two-equation eddy-viscosity turbulence models for engineering applications. AIAA J. 1994, 32, 1598–1605. [Google Scholar] [CrossRef]
- Wang, Q.; Zhao, N.; Wang, T.G.; Zhong, W.; Wang, L. Numerical simulation of wind turbine airfoil dynamic stall with transition modeling. Acta Energy Sol. Sin. 2012, 33, 113–119. [Google Scholar]
- Zhong, W.; Wang, T.G. Numerical analysis of transition effect on stall performance of wind turbine airfoils and blades. Acta Aerodyn. Sin. 2011, 29, 385–390. [Google Scholar]
- Baldacchino, D.; Ferreira, C.; Tavernier, D.D.; Timmer, W.A.; van Bussel, G.J.W. Experimental parameter study for passive vortex generators on a 30% thick airfoil. Wind Energy 2018, 21, 745–765. [Google Scholar] [CrossRef]
- Dataset Description-Experimental Parameter Study for Passive Vortex Generators on a Thick Airfoil. Available online: https://data.4tu.nl/articles/dataset/Experimental_parameter_study_for_passive_vortex_generators_on_a_thick_airfoil_version_1_/12721421 (accessed on 1 March 2017).
- Zhu, C.; Qiu, Y.; Feng, Y.; Wang, T.; Li, H. Combined effect of passive vortex generators and leading-edge roughness on dynamic stall of the wind turbine airfoil. Energy Convers. Manag. 2022, 251, 115015. [Google Scholar] [CrossRef]
- Xie, M.J. Joints for Composites Materials; Shanghai Jiao Tong University Press: Shanghai, China, 2011. [Google Scholar]
- Jeong, J.; Hussain, F. On the identification of a vortex. J. Fluid Mech. 1995, 285, 69–94. [Google Scholar] [CrossRef]
- Mariotti, A.; Buresti, G.; Salvetti, M.V. Separation delay through contoured transverse grooves on a 2D boat-tailed bluff body: Effects on drag reduction and wake flow features. Eur. J. Mech. B Fluids 2019, 74, 351–362. [Google Scholar] [CrossRef]
- Galletti, C.; Mariotti, A.; Siconolfi, L.; Mauri, R.; Brunazzi, E. Numerical investigation of flow regimes in T-shaped micromixers: Benchmark between finite volume and spectral element methods. Can. J. Chem. Eng. 2018, 97, 528–541. [Google Scholar] [CrossRef]

























| RW | RH | RL | |
|---|---|---|---|
| % | mm | mm | |
| 30 | 2 | 90 | ![]() |
| 50 | 4 | 145 | |
| 80 | 6 | 200 |
| Repair Model | RW | RH | |
|---|---|---|---|
| % | mm | ||
| 0.3−2 | 30 | 2 | ![]() |
| 0.3−4 | 30 | 4 | |
| 0.3−6 | 30 | 6 | |
| 0.5−2 | 50 | 2 | |
| 0.5−4 | 50 | 4 | |
| 0.5−6 | 50 | 6 | |
| 0.8−2 | 80 | 2 | |
| 0.8−4 | 80 | 4 | |
| 0.8−6 | 80 | 6 |
| Ply Properties | Cohesive Layer Properties [7] | ||
|---|---|---|---|
| 47,000 MPa | 0.969 kJ/m2 | ||
| 12,690 MPa | 1.719 kJ/m2 | ||
| 3890 MPa | 30 MPa | ||
| 0.26 | 35 MPa | ||
| 0.3 | 35 MPa | ||
| 985 MPa | 2 | ||
| 720 MPa | |||
| 43 MPa | |||
| 150 MPa | |||
| = = | 43 MPa | ||
| ID | RW | RT | RL | Failure Load | ID | RW | RT | RL | Failure Load | ID | RW | RT | RL | Failure Load |
|---|---|---|---|---|---|---|---|---|---|---|---|---|---|---|
| mm | mm | mm | kN | mm | mm | mm | kN | mm | mm | mm | kN | |||
| S1 | 15 | 2 | 90 | 94.8 | S10 | 25 | 2 | 90 | 94.9 | S19 | 40 | 2 | 90 | 102.3 |
| S2 | 15 | 2 | 145 | 94.3 | S11 | 25 | 2 | 145 | 101.7 | S20 | 40 | 2 | 145 | 110.7 |
| S3 | 15 | 2 | 200 | 93.2 | S12 | 25 | 2 | 200 | 98.6 | S21 | 40 | 2 | 200 | 109.4 |
| S4 | 15 | 4 | 90 | 104.5 | S13 | 25 | 4 | 90 | 98.3 | S22 | 40 | 4 | 90 | 105.6 |
| S5 | 15 | 4 | 145 | 101.5 | S14 | 25 | 4 | 145 | 108.4 | S23 | 40 | 4 | 145 | 117 |
| S6 | 15 | 4 | 200 | 101.6 | S15 | 25 | 4 | 200 | 108.2 | S24 | 40 | 4 | 200 | 115.8 |
| S7 | 15 | 6 | 90 | 116.3 | S16 | 25 | 6 | 90 | 114.3 | S25 | 40 | 6 | 90 | 121.5 |
| S8 | 15 | 6 | 145 | 131.4 | S17 | 25 | 6 | 145 | 140.3 | S26 | 40 | 6 | 145 | 144.6 |
| S9 | 15 | 6 | 200 | 138.1 | S18 | 25 | 6 | 200 | 140.1 | S27 | 40 | 6 | 200 | 144.7 |
| Repair Model | Cl | Cl/Cd | |
|---|---|---|---|
| - | - | ||
| Original | 1.612 | 54.82 | ![]() |
| 0.3–2 | 1.780 | 57.30 | |
| 0.3–4 | 1.738 | 57.39 | |
| 0.3–6 | 1.665 | 55.03 | |
| 0.5–2 | 1.701 | 56.21 | |
| 0.5–4 | 1.713 | 57.55 | |
| 0.5–6 | 1.633 | 55.05 | |
| 0.8–2 | 1.550 | 54.53 | |
| 0.8–4 | 1.592 | 54.08 | |
| 0.8–6 | 1.604 | 53.61 |
Disclaimer/Publisher’s Note: The statements, opinions and data contained in all publications are solely those of the individual author(s) and contributor(s) and not of MDPI and/or the editor(s). MDPI and/or the editor(s) disclaim responsibility for any injury to people or property resulting from any ideas, methods, instructions or products referred to in the content. |
© 2023 by the authors. Licensee MDPI, Basel, Switzerland. This article is an open access article distributed under the terms and conditions of the Creative Commons Attribution (CC BY) license (https://creativecommons.org/licenses/by/4.0/).
Share and Cite
Li, H.; Lu, X.; Xin, W.; Guo, Z.; Zhou, B.; Ning, B.; Bao, H. Repair Parameter Design of Outer Reinforcement Layers of Offshore Wind Turbine Blade Spar Cap Based on Structural and Aerodynamic Analysis. Energies 2023, 16, 712. https://doi.org/10.3390/en16020712
Li H, Lu X, Xin W, Guo Z, Zhou B, Ning B, Bao H. Repair Parameter Design of Outer Reinforcement Layers of Offshore Wind Turbine Blade Spar Cap Based on Structural and Aerodynamic Analysis. Energies. 2023; 16(2):712. https://doi.org/10.3390/en16020712
Chicago/Turabian StyleLi, Hui, Xiaolong Lu, Wen Xin, Zhihui Guo, Bo Zhou, Baokuan Ning, and Hongbing Bao. 2023. "Repair Parameter Design of Outer Reinforcement Layers of Offshore Wind Turbine Blade Spar Cap Based on Structural and Aerodynamic Analysis" Energies 16, no. 2: 712. https://doi.org/10.3390/en16020712
APA StyleLi, H., Lu, X., Xin, W., Guo, Z., Zhou, B., Ning, B., & Bao, H. (2023). Repair Parameter Design of Outer Reinforcement Layers of Offshore Wind Turbine Blade Spar Cap Based on Structural and Aerodynamic Analysis. Energies, 16(2), 712. https://doi.org/10.3390/en16020712




