Research on a Variable-Leakage-Flux Permanent Magnet Motor Control System Based on an Adaptive Tracking Estimator
Abstract
1. Introduction
2. Machine Description and Its Sensorless Control
2.1. Machine Description
2.2. Sensorless Control Based on SMO
2.3. Analysis of Position Accuracy
- (1)
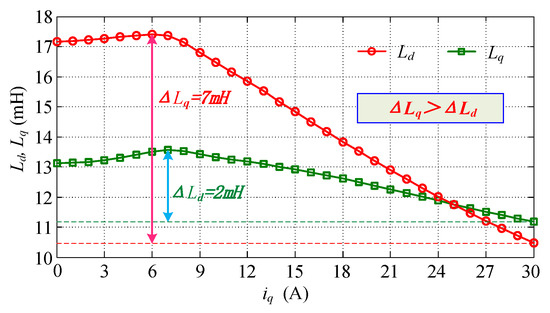
- Variation of the motor parameters
- (2)
- Harmonics in the back-EMF
- (3)
- Other non-ideal factors
3. New SMO Based on an Adaptive Tracking Estimator
3.1. Design of the New SMO
3.2. Position Compensation Based on the Current Adaptive Tracking Strategy
3.3. Proposed VLF-PM Motor Control System
4. Verification Results
5. Conclusions
- (1)
- The effective flux model is used to eliminate the coupling term of (Ld − Lq) and reduce the influence of multiple inductance parameter changes on the system. Thus, the problems of decreased estimation accuracy and the oscillation of the estimated value, caused by the change of multiple inductance parameters and the estimated back-EMF harmonics, have been solved.
- (2)
- A gradient descent algorithm was introduced to design the position observer, which improved the robustness of the proposed observer against the variation of the inductance parameters of the VLF-PM motor. At the same time, the specific harmonic in the VLF-PM motor was further suppressed to reduce its influence on the control system. Hence, the observation accuracy of the sensorless control for the VLF-PM motor has been effectively improved.
- (3)
- The position compensation based on the current adaptive tracking strategy was proposed to compensate the rotor position error caused by other non-ideal factors. The accurate rotor position signals were obtained by the online compensation of the initial estimated rotor position. Furthermore, the online compensation of the rotor position offset error was achieved. Therefore, the estimation performance of the sensorless control system for the VLF-PM motor has been improved.
Author Contributions
Funding
Conflicts of Interest
References
- Zhang, Y.; Zhao, C.; Dai, B.; Li, Z. Dynamic Simulation of Permanent Magnet Synchronous Motor (PMSM) Electric Vehicle Based on Simulink. Energies 2022, 15, 1134. [Google Scholar] [CrossRef]
- Zhang, L.; Zhu, X.Y.; Xu, L.; Zhang, C.; Fan, Y. Simplified Universal Fault-Tolerant Direct Torque Control of FPFTPM Motor with Steady-Healthy Design under Open-Circuit Fault. IEEE Trans. Ind. Electron. 2022, 69, 6688–6699. [Google Scholar] [CrossRef]
- Fukushige, T.; Limsuwan, N.; Kato, T.; Akatsu, K.; Lorenz, R.D. Efficiency contours and loss minimization over a driving cycle of a variable flux-intensifying machine. In Proceedings of the 2013 IEEE Energy Conversion Congress and Exposition, Denver, CO, USA, 15–19 September 2013; pp. 591–597. [Google Scholar] [CrossRef]
- Dianov, A.; Anuchin, A. Adaptive Maximum Torque per Ampere Control of Sensorless Permanent Magnet Motor Drives. Energies 2020, 13, 5071. [Google Scholar] [CrossRef]
- Qian, L.; Sun, L.; Wang, K.; Tong, M. Fusion of Position Estimation Techniques for a Swing Servo by Permanent Magnet Synchronous Machine. IEEE Trans. Ind. Electron. 2022; Early Access. [Google Scholar] [CrossRef]
- Wang, S.; Zhao, J.; Yang, K. High Frequency Square-Wave Voltage Injection Scheme-Based Position Sensorless Control of IPMSM in the Low- and Zero- Speed Range. Energies 2019, 12, 4776. [Google Scholar] [CrossRef]
- Qiao, Z.; Shi, T.; Wang, Y.; Yan, Y.; Xia, C.; He, X. New Sliding-Mode Observer for Position Sensorless Control of Permanent-Magnet Synchronous Motor. IEEE Trans. Ind. Electron. 2013, 60, 710–719. [Google Scholar] [CrossRef]
- Pasqualotto, D.; Rigon, S.; Zigliotto, M. Sensorless Speed Control of Synchronous Reluctance Motor Drives Based on Extended Kalman Filter and Neural Magnetic Model. IEEE Trans. Ind. Electron. 2023, 70, 1321–1330. [Google Scholar] [CrossRef]
- Nguyen, T.; Rafaq, M.S.; Choi, H.H.; Jung, J.W. A Model Reference Adaptive Control Based Speed Controller for a Surface-Mounted Permanent Magnet Synchronous Motor Drive. IEEE Trans. Ind. Electron. 2018, 65, 9399–9409. [Google Scholar] [CrossRef]
- Hang, J.; Ding, S.; Ren, X.; Sun, W.; Hu, Q.; Huang, Y.; Hua, W.; Wang, Q. Integration of Inter-Turn Fault Diagnosis and Fault-Tolerant Control for Direct-Torque-Controlled PMSM Drive System. IEEE Trans. Power Electron. 2021, 36, 11124–11134. [Google Scholar] [CrossRef]
- Wu, X.; Zhu, Z.Q.; Freire, N.M.A. High Frequency Signal Injection Sensorless Control of Finite-Control-Set Model Predictive Control With Deadbeat Solution. In Proceedings of the 2021 IEEE Energy Conversion Congress and Exposition (ECCE), Vancouver, BC, Canada, 10–14 October 2021; pp. 4698–4703. [Google Scholar] [CrossRef]
- Liang, D.; Li, J.; Qu, R. Sensorless control of permanent magnet synchronous machine based on second-order sliding-mode observer with online resistance estimation. IEEE Trans. Ind. Electron. 2017, 53, 3672–3682. [Google Scholar] [CrossRef]
- Morimoto, S.; Sanada, M.; Takeda, Y. Mechanical sensorless drives of IPMSM with online parameter identification. IEEE Trans. Ind. Electron. 2006, 42, 1241–1248. [Google Scholar] [CrossRef]
- Zhang, S.; Zheng, P.; Jahns, T.M.; Cheng, L.; Wang, M.; Sui, Y. A novel variable-flux permanent-magnet synchronous machine with quasi-series magnet configuration and passive flux barrier. In Proceedings of the 2018 IEEE International Magnetics Conference (INTERMAG), Singapore, 23–27 April 2018; p. 1. [Google Scholar] [CrossRef]
- Li, Z.; Wang, X.; Huang, G.; Wan, H.; Chen, Y. Ripple Analysis and Suppression Method Research of Direct Drive Permanent Magnet Synchronous Wind Turbine under Wind Shear. Energies 2020, 13, 5088. [Google Scholar] [CrossRef]
- Wu, X.; Huang, S.; Liu, K.; Lu, K.Y.; Hu, Y.S.; Pan, W.L.; Peng, X.Y. Enhanced Position Sensorless Control Using Bilinear Recursive Least Squares Adaptive Filter for Interior Permanent Magnet Synchronous Motor. IEEE Trans. Power Electron. 2020, 35, 681–698. [Google Scholar] [CrossRef]
- Kesavan, P.; Karthikeyan, A. Electromagnetic Torque-Based Model Reference Adaptive System Speed Estimator for Sensorless Surface Mount Permanent Magnet Synchronous Motor Drive. IEEE Trans. Ind. Electron. 2020, 67, 5936–5947. [Google Scholar]
- Zhang, X.G.; Bai, H.L.; Cheng, M. Improved Model Predictive Current Control with Series Structure for PMSM Drives. IEEE Trans. Ind. Electron. 2022, 69, 12437–12446. [Google Scholar] [CrossRef]
- Wang, F.; Li, J.; Li, Z.; Ke, D.; Du, J.; Garcia, C.; Rodriguez, J. Design of Model Predictive Control Weighting Factors for PMSM Using Gaussian Distribution-Based Particle Swarm Optimization. IEEE Trans. Ind. Electron. 2022, 69, 10935–10946. [Google Scholar] [CrossRef]
- Zhang, L.; Bai, J.; Wu, J. Speed Sensor-Less Control System of Surface-Mounted Permanent Magnet Synchronous Motor Based on Adaptive Feedback Gain Supertwisting Sliding Mode Observer. J. Sens. 2021, 2021, 8301359. [Google Scholar] [CrossRef]
- Mobayen, S.; Mostafavi, S.; Fekih, A. Non-Singular Fast Terminal Sliding Mode Control with Disturbance Observer for Underactuated Robotic Manipulators. IEEE Access 2020, 8, 198067–198077. [Google Scholar] [CrossRef]
- Repecho, V.; Waqar, J.B.; Biel, D.; Doria-Cerezo, A. Zero Speed Sensorless Scheme for Permanent Magnet Synchronous Machine Under Decoupled Sliding-Mode Control. IEEE Trans. Ind. Electron. 2021, 69, 1288–1297. [Google Scholar] [CrossRef]
- Liu, Y.; Fang, J.; Tan, K.; Huang, B.; He, W. Sliding mode observer with adaptive parameter estimation for sensorless control of IPMSM. Energies 2020, 13, 5991. [Google Scholar] [CrossRef]
- Tsai, W.C.; Wu, C.H.; Cheng, M.Y. Tracking accuracy improvement based on adaptive nonlinear sliding mode control. IEEE/ASME Trans. Mechatron. 2021, 26, 179–190. [Google Scholar] [CrossRef]
- Lin, Q.; Liu, L.; Liang, D. Hybrid Active Flux Observer to Suppress Position Estimation Error for Sensorless IPMSM Drives. IEEE Trans. Power Electron. 2023, 38, 872–886. [Google Scholar] [CrossRef]
- Diao, N.; Zhang, Y.; Sun, X.; Song, C.; Wang, W.; Zhang, H. A Real-Time Open-Circuit Fault Diagnosis Method Based on Hybrid Model Flux Observer for Voltage Source Inverter Fed Sensorless Vector Controlled Drives. IEEE Trans. Power Electron. 2023, 38, 2539–2551. [Google Scholar] [CrossRef]
- El-Sousy, F.F.M.; Amin, M.M.; Mohammed, O.A. Robust Adaptive Neural Network Tracking Control With Optimized Super-Twisting Sliding-Mode Technique for Induction Motor Drive System. IEEE Trans. Ind. Electron. 2022, 58, 4134–4157. [Google Scholar] [CrossRef]
- Zhang, Q.; Fan, Y. The Online Parameter Identification Method of Permanent Magnet Synchronous Machine under Low-Speed Region Considering the Inverter Nonlinearity. Energies 2022, 15, 4314. [Google Scholar] [CrossRef]
- Mfoumboulou, Y.D.; Mnguni, M.E.S. Development of a New Linearizing Controller Using Lyapunov Stability Theory and Model Reference Control. Indones. J. Electr. Eng. Comput. Sci. 2022, 25, 1328–1343. [Google Scholar] [CrossRef]
- Li, H.; Zhang, X.; Xu, C.; Hong, J. Sensorless Control of IPMSM Using Moving-Average-Filter Based PLL on HF Pulsating Signal Injection Method. IEEE Trans. Energy Convers. 2020, 35, 43–52. [Google Scholar] [CrossRef]

















| Parameter | Value | Parameter | Value |
|---|---|---|---|
| Rated power | 3.5 kW | Stator resistance | 0.29 Ω |
| Rated phase current | 20 A | Rated torque | 28 N·m |
| Number of rotor pole-pairs | 4 | Rated speed | 1200 r/min |
Disclaimer/Publisher’s Note: The statements, opinions and data contained in all publications are solely those of the individual author(s) and contributor(s) and not of MDPI and/or the editor(s). MDPI and/or the editor(s) disclaim responsibility for any injury to people or property resulting from any ideas, methods, instructions or products referred to in the content. |
© 2023 by the authors. Licensee MDPI, Basel, Switzerland. This article is an open access article distributed under the terms and conditions of the Creative Commons Attribution (CC BY) license (https://creativecommons.org/licenses/by/4.0/).
Share and Cite
Cai, X.; Wang, Q.; Wang, Y.; Zhang, L. Research on a Variable-Leakage-Flux Permanent Magnet Motor Control System Based on an Adaptive Tracking Estimator. Energies 2023, 16, 587. https://doi.org/10.3390/en16020587
Cai X, Wang Q, Wang Y, Zhang L. Research on a Variable-Leakage-Flux Permanent Magnet Motor Control System Based on an Adaptive Tracking Estimator. Energies. 2023; 16(2):587. https://doi.org/10.3390/en16020587
Chicago/Turabian StyleCai, Xiaolei, Qixuan Wang, Yucheng Wang, and Li Zhang. 2023. "Research on a Variable-Leakage-Flux Permanent Magnet Motor Control System Based on an Adaptive Tracking Estimator" Energies 16, no. 2: 587. https://doi.org/10.3390/en16020587
APA StyleCai, X., Wang, Q., Wang, Y., & Zhang, L. (2023). Research on a Variable-Leakage-Flux Permanent Magnet Motor Control System Based on an Adaptive Tracking Estimator. Energies, 16(2), 587. https://doi.org/10.3390/en16020587

