Simple Empirical Relation for an Evacuated-Tube Solar Collector Performance Prediction from Solar Intensity
Abstract
:1. Introduction
2. Experimental
3. Methodology
3.1. System Configuration
3.2. Heat Transfer Equations
- The major heat loss is considered as the losses via the manifold and tank walls. The heat loss from the pipes connecting the manifold with the tank outlet is negligible. Therefore, the outlet temperature of the palm oil from the tank (Ttank) is assumed to be equal to the manifold inlet temperature (Tin,man).
- The palm oil in the tank is well mixed so that its temperature is uniform and equals the outlet temperature.
3.2.1. Manifold Domain
3.2.2. Storage Tank Domain
3.3. Calculation Flow Chart
4. Results and Discussion
4.1. Correlation for Tip Temperature Prediction from Solar Intensity
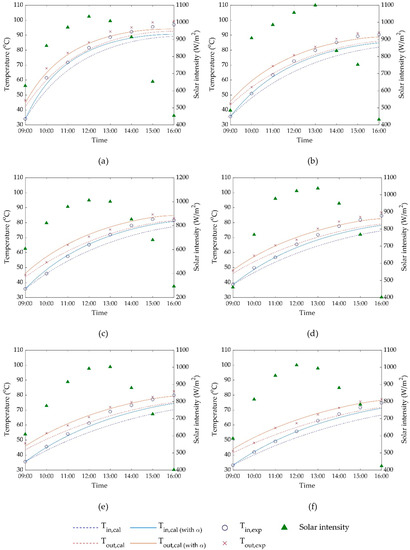
4.2. Verification and Validation of Mathematical Model
5. Conclusions
- ▪
- The calculated results show good agreement with the experimental results for both heating medium types. The overall average errors for palm oil and water cases were 6.41 and 4.66%, respectively.
- ▪
- For the case of palm oil as a heating medium, there was no significant effect of palm oil capacity on the accuracy of the model. The average percentage errors were in the range of 4.52–7.75% for the palm oil storage volume of 50–160 L. The maximum percentage error was 11.78%.
- ▪
- For the case of water as a heating medium, the prediction was very accurate at a low water flow rate. The percentage error increased with the flow rate of water. The average and maximum percentage deviations were in the range of 0.80–10.52% and 1.83–15.23%, respectively, for a water flow rate range of 0.03–0.3 kg/s.
- ▪
- Adding the correction factor α into the heat transfer coefficient correlation could significantly reduce the overall maximum errors from 11.78% to 7.29% for the palm oil case and from 15.23% to 5.57% for the water case, while the overall average errors were 0.74 and 1.26%, respectively.
Author Contributions
Funding
Data Availability Statement
Conflicts of Interest
Nomenclature
| A | Area (m2) | Subscript | |
| Cp | Specific heat capacity ((J/kg)/K) | air | Air |
| D | Diameter (m) | Al | Aluminum |
| h | Heat transfer coefficient ((W/m2)/K) | amb | Ambient |
| IG | Solar intensity (W/m2) | bottom | Bottom |
| k | Thermal conductivity ((W/m)/K) | Cu | Copper |
| L | Length (m) | in | Inlet, inner |
| m | Mass flow rate (kg/s) | ins | Insulation |
| N | Number of tubes | loss | Heat loss |
| Nu | Nusselt number | man | Manifold |
| Pr | Prandtl number | out | Outlet, outer |
| Q | Heat transfer rate (W) | palm | Palm oil |
| R | Thermal resistance (K/W) | tank | Tank |
| Re | Reynolds number | Tip | Heat pipe tip |
| SS-Cu-AlN | Stainless steel-copper-aluminum nitride | top | Top |
| T | Temperature | wall | Wall |
| Tlm | Log mean temperature | ||
| U | Overall heat transfer coefficient ((W/m2)/K) | ||
| V | Volume of heating medium (m3) | ||
| Symbol | |||
| ρ | Density (kg/m3) | ||
| μ | Dynamic viscosity ((kg/m)/s) | ||
| α | Correction factor | ||
| ∆ | Difference |
References
- Mahdjuri, F. Evacuated Heat Pipe Solar Collector. Energy Convers. 1979, 19, 85–90. [Google Scholar] [CrossRef]
- Shah, L.J.; Furbo, S. Vertical Evacuated Tubular-Collectors Utilizing Solar Radiation from All Directions. Appl. Energy 2004, 78, 371–395. [Google Scholar] [CrossRef]
- Kumar, S.S.; Kumar, K.M.; Kumar, S.R.S. Design of Evacuated Tube Solar Collector with Heat Pipe. Mater. Today Proc. 2017, 4, 12641–12646. [Google Scholar] [CrossRef]
- Olczak, P.; Matuszewska, D.; Zabaglo, J. The Comparison of Solar Energy Gaining Effectiveness between Flat Plate Collectors and Evacuated Tube Collectors with Heat Pipe: Case Study. Energies 2020, 13, 1829. [Google Scholar] [CrossRef]
- Li, Q.; Gao, W.; Lin, W.; Lui, T.; Zhang, Y.; Ding, X.; Huang, X.; Lui, W. Experiment and Simulation Study on Convective Heat Transfer of All-Glass Evacuated Tube Solar Collector. Renew. Energy 2020, 152, 1129–1139. [Google Scholar] [CrossRef]
- Papadimitratos, A.; Sobhansarbandi, S.; Pozdin, V.; Zakhidov, A.; Hassanipour, F. Evacuated Tube Solar Collectors Integrated with Phase Change Materials. Sol. Energy 2016, 129, 10–19. [Google Scholar] [CrossRef]
- Heyhat, M.M.; Valizade, M.; Abdolahzade, S.; Maerefat, M. Thermal Efficiency Enhancement of Direct Absorption Parabolic Trough Solar Collector (DAPTSC) by Using Nanofluid and Metal Foam. Energy 2020, 192, 116662. [Google Scholar] [CrossRef]
- Supankanok, R.; Sriwong, S.; Ponpo, P.; Wu, W.; Chandra-ambhorn, W.; Anantpinijwatna, A. Modification of a Solar Thermal Collector to Promote Heat Transfer inside an Evacuated Tube Solar Thermal Absorber. Appl. Sci. 2021, 11, 4100. [Google Scholar] [CrossRef]
- Kotb, A.; Elsheniti, M.B.; Elsamni, O.A. Optimum Number and Arrangement of Evacuated-Tube Solar Collectors under Various Operating Conditions. Energy Convers. Manag. 2019, 199, 112032. [Google Scholar] [CrossRef]
- Mahdi, J.M.; Lohrasbi, S.; Nsofor, E.C. Hybrid Heat Transfer Enhancement for Latent-Heat Thermal Energy Storage Systems: A Review. Int. J. Heat Mass Transf. 2019, 137, 630–649. [Google Scholar] [CrossRef]
- Nokhosteen, A.; Sobhansarbandi, S. Novel Method of Thermal Behavior Prediction of Evacuated Tube Solar Collector. Sol. Energy 2020, 204, 761–768. [Google Scholar] [CrossRef]
- Elsheniti, M.B.; Kotb, A.; Elsamni, O. Thermal Performance of a Heat-Pipe Evacuated-Tube Solar Collector at High Inlet Temperatures. Appl. Therm. Eng. 2019, 154, 315–325. [Google Scholar] [CrossRef]
- Schumann, J.; Schiebler, B.; Giovannetti, F. Performance Evaluation of an Evacuated Tube Collector with a Low-Cost Diffuse Reflector. Energies 2021, 14, 8209. [Google Scholar] [CrossRef]
- Cengel, Y.A. Heat and Mass Transfer: A Practical Approach, 3rd ed.; McGraw-Hill: New York, NY, USA, 2006. [Google Scholar]
- Zukauskas, A. Heat Transfer from Tubes in Crossflow. Adv. Heat Transf. 1987, 18, 87–159. [Google Scholar]
- Coetzee, R.A.M.; Mwesigye, A.; Huan, Z. Optimal Slope Angle Selection of an Evacuated Tube Collector for Domestic Solar Water Heating. J. Energy S. Afr. 2017, 28, 104–119. [Google Scholar] [CrossRef]













| Evacuated Tube | Heat Pipe | ||||
|---|---|---|---|---|---|
| Inner diameter | 0.047 | m | Heat pipe material | Copper | |
| Outer diameter | 0.058 | m | Inner diameter | 0.012 | m |
| Tube length | 1.8 | m | Outer diameter | 0.014 | m |
| Tube material | Borosilicate glass | Thermal conductivity | 401 | W/m.K | |
| Absorptive coating | SS-Cu-AlN | Aluminum fin | |||
| Number of tubes | 20 | tubes | Fin thickness | 0.5 | m |
| Storage tank | Thermal conductivity | 237 | W/m.K | ||
| Heating medium | Palm oil | Manifold | |||
| Inner diameter | 0.58 | m | Inner diameter | 0.019 | m |
| Insulator thickness | 0.05 | m | Outer diameter | 0.022 | m |
| Tank height | 0.76 | m | Length | 1.55 | m |
| Range of Re | Constant | ||
|---|---|---|---|
| C | m | n | |
| 0–100 | 0.900 | 0.40 | 0.36 |
| 100–1000 | 0.520 | 0.50 | 0.36 |
| 1000–200,000 | 0.270 | 0.63 | 0.36 |
| Property | Palm Oil | Water |
|---|---|---|
| Density (kg/m3) | ||
| Dynamic viscosity (kg/m·s) | ||
| Heat capacity (J/kg·K) | ||
| Thermal conductivity (W/m·K) |
| Evacuated Tube | Manifold | ||||
|---|---|---|---|---|---|
| Outer diameter | 0.058 | m | Inner diameter | 0.0158 | m |
| Tube length | 1.8 | m | Outer diameter | 0.0162 | m |
| Number of tubes | 15 | tubes | Length | 1.0 | m |
| Heat pipe material | copper | Overall heat transfer | 0.06 | W/m2·K | |
| coefficient (Uloss) | |||||
Disclaimer/Publisher’s Note: The statements, opinions and data contained in all publications are solely those of the individual author(s) and contributor(s) and not of MDPI and/or the editor(s). MDPI and/or the editor(s) disclaim responsibility for any injury to people or property resulting from any ideas, methods, instructions or products referred to in the content. |
© 2023 by the authors. Licensee MDPI, Basel, Switzerland. This article is an open access article distributed under the terms and conditions of the Creative Commons Attribution (CC BY) license (https://creativecommons.org/licenses/by/4.0/).
Share and Cite
Pongboriboon, N.; Wu, W.; Chandra-ambhorn, W.; Wongpromrat, P.; Bumrungthaichaichan, E. Simple Empirical Relation for an Evacuated-Tube Solar Collector Performance Prediction from Solar Intensity. Energies 2023, 16, 6256. https://doi.org/10.3390/en16176256
Pongboriboon N, Wu W, Chandra-ambhorn W, Wongpromrat P, Bumrungthaichaichan E. Simple Empirical Relation for an Evacuated-Tube Solar Collector Performance Prediction from Solar Intensity. Energies. 2023; 16(17):6256. https://doi.org/10.3390/en16176256
Chicago/Turabian StylePongboriboon, Nattapat, Wei Wu, Walairat Chandra-ambhorn, Patthranit Wongpromrat, and Eakarach Bumrungthaichaichan. 2023. "Simple Empirical Relation for an Evacuated-Tube Solar Collector Performance Prediction from Solar Intensity" Energies 16, no. 17: 6256. https://doi.org/10.3390/en16176256
APA StylePongboriboon, N., Wu, W., Chandra-ambhorn, W., Wongpromrat, P., & Bumrungthaichaichan, E. (2023). Simple Empirical Relation for an Evacuated-Tube Solar Collector Performance Prediction from Solar Intensity. Energies, 16(17), 6256. https://doi.org/10.3390/en16176256

