Next Article in Journal
Research Status, Existing Problems, and the Prospect of New Methods of Determining the Lower Limit of the Physical Properties of Tight Sandstone Reservoirs
Next Article in Special Issue
Fundamental Study for Applying a Propane Gas Injection System in a Small-Ship Engine
Previous Article in Journal
Influence of the Type of Receiver on Electrical Energy Losses in Power Grids
Previous Article in Special Issue
Influence of Yttria-Stabilized Zirconium Oxide Thermal Swing Coating on the Flame-Wall Interaction in Spark Ignition Engines
 
 
Font Type:
Arial Georgia Verdana
Font Size:
Aa Aa Aa
Line Spacing:
Column Width:
Background:
Article

The Lean-Burn Limit Extending Experiment on Gasoline Engine with Dual Injection Strategy and High Power Ignition System

1
State Key Laboratory of Engines, Tianjin University, Tianjin 300072, China
2
Internal Combustion Engine Research Institute, Tianjin University, Tianjin 300072, China
3
Great Wall Motor Co., Ltd., Baoding 071000, China
*
Author to whom correspondence should be addressed.
Energies 2023, 16(15), 5662; https://doi.org/10.3390/en16155662
Submission received: 28 June 2023 / Revised: 18 July 2023 / Accepted: 20 July 2023 / Published: 27 July 2023

Abstract

:
In the context of the energy crisis and global warming, improving thermal efficiency is the most important issue in research on gasoline engines, and lean mixture combustion strategy is becoming the most promising method. Thus, a high compression ratio, a high-power interval ignition system, and a stratified combustion scheme achieved via dual injection were novelly adopted in a single cylinder gasoline engine in this study. The results show that the lean combustion limit could be literally extended and improved thermal efficiency was observed under the ultra-lean condition. Meanwhile, reverse combustion performance trends were observed by altering the second injection proportion from 30% to 45% under the lean condition ( λ = 1.6) and ultra-lean condition ( λ = 1.9). This was related to a combustion velocity change caused by great concentration gradient at the middle and end combustion stage. Finally, according to research on the effects of altering the timing of the second injection, it is clear that the dual injection strategy is an ideal method for realizing operation under the lean condition ( λ = 1.6). But for the operation under the ultra-lean condition ( λ = 1.9), more injection times and suitable air flow organization are needed to enhance the robustness of mixture distribution.

1. Introduction

Limiting greenhouse gas emissions while supplying the rising demand for energy is a significant challenge for today’s society in light of climate change and global warming. As a major consumer of fossil energy, the transportation sector is a significant contributor to greenhouse gas emissions, accounting for 27% of total emissions in 2020 for the US [1] and almost one-quarter of Europe’s emissions in 2019 [2]. Despite the significant interest in electric vehicles and biofuels in relation to achieving zero and neutral carbon emissions, it is unlikely that complete abandonment of conventional internal combustion engines will occur in the near future. 40% of all new cars registered in the European Union in 2021 still run on gasoline. As hybrid cars continue to gain popularity, there is a growing focus on specialized gasoline engines for hybrid vehicles. These engines operate within a narrow range on the engine map, making extreme thermal efficiency improvements more significant compared to traditional engines. Combined with the increasingly stringent regulations, the SI engine therefore has to be improved with great effort in order to achieve lower pollution levels without sacrificing engine performance or market appeal [3].
Direct injection spark ignition (DISI) engines are widely used in passenger cars. Among the various advanced technologies, lean combustion is becoming the most promising method to increase the thermal efficiency of DISI engines. Compared to the stoichiometric combustion, appropriately lean cylinder charge can significantly reduce the in-cylinder combustion temperature and heat transfer losses, as well as suppress knocking combustion, which also allows for the high compression ratio (CR). At the same time, diluted charge can improve the heat capacity ratio of mixture, which can significantly improve thermal efficiency. Lean combustion can also significantly reduce pumping losses of DISI working under medium and small loads by opening the throttle valve to achieve a better intake air flow, which also reduces fuel consumption [4,5]. Although lean combustion has lots of advantages, diluted charge creates huge challenges in terms of the ignition and combustion stability, which may result in misfire or combustion fluctuation due to weaker flame propagation under the lean condition [6,7]. Thus, a lot of research which aims at extending the lean-burn limit and enhancing combustion stability under ultra-lean conditions is being demonstrated, including a pre-chamber ignition system, HPIS (high-power ignition system) and stratified combustion scheme.
Pre-chamber is a two stage combustion concept of SI (spark ignition) engines. Adams [8] investigated the effects of high-energy flame jets and combustion turbulence through the pre-chamber, and their results show an obvious reduction in combustion duration under lean mixture conditions. Ndsas et al. [9] utilized a pre-chamber and extended the lean limit of the SI engine with port injection and in-cylinder direct injection. The extended lean-burn limit from 1.35 to 1.6 significantly improved thermal efficiency and reduced emissions of nitrogen oxides ( N O x ). Stadler et al. [10] optimized the structure of a pre-chamber through three-dimensional numerical calculations. At the bench test, their results show that the lean limit could be extended to lambda = 1.8, and the peak thermal efficiency could be increased to 40%. According to the research of Jamrozik [11], their engine was operated under an ultra-lean condition with λ above 2.0, utilizing pre-chamber ignition; compared to the conventional SI engines, their results also demonstrated that a two-stage combustion process could contribute to a significant reduction in emissions.
A high-power ignition system is also an effective technology to achieve ultra-lean combustion. Jung et al. [12] investigated the effects of increased spark discharge energy and higher in-cylinder turbulence level on lean combustion stability with a combination of ten spark coils (spark energy 250 mJ) and an intake port adapter. Their results show that the leanest stable operation at λ = 1.9 and a 16.5% improvement in the indicated thermal efficiency was achieved. In his research, the author also shows the 0.2 ms interval is the best; unstable lean operation can result from either excessively short or overly long time intervals between spark discharges. Yu et al. [13] applied a three-pole ignition spark plug for lean-burn research and observed that the stable operable lean combustion limit was extended from 1.61 for a stock spark plug to 1.84 for a three-pole ignition spark plug within a relatively low ignition energy range. Their study demonstrated that a multi-pole spark ignition strategy is helpful for flame kernels propagation. Joonsik Hwang [14] utilized a plasma-assisted ignition system on a gasoline engine under lean conditions. In their engine test, combustion stability was obviously improved with smaller cycle-to-cycle fluctuations of in-cylinder pressure at λ = 1.3 as well as an improvement in fuel efficiency up to 6%. Shen et al. [15] observed that intake tumble flow and the increase in ignition energy achieved rapid propagation of the flame kernels on an optical engine, which accelerated the initial flame propagation speed and extended the lean combustion limit.
A stratified combustion scheme is helpful for improving distributions of in-cylinder mixture with the required concentration gradient in the combustion chamber. A rich mixture near the spark can enhance flame kernels generation and propagation in the initial combustion stage. Meanwhile, lean atmosphere is able to inhibit spontaneous combustion of the mixture and reduce knocking combustion. Duan et al. [16] investigated a two-stage injection strategy in a stoichiometric DISI engine. Their study demonstrates that a suitable second injection timing (SIT) and second injection proportion (SIP) can literally mitigate in-cylinder pressure fluctuation and concentrate integral heat release. In another research study by Duan et al. [17], a quantitative investigation of a fuel stratification strategy was launched in a DISI engine. The study demonstrates that with the retarding of SIT, CA50 of the combustion stage is advanced, and the peak heat release rate (HRR) increases. This suggests that increased combustion flame velocity is presented. Park’s research [18,19] which employed a spray-guided direct-injection system, showed that the lean combustion limit was extended to λ = 2.0 in a DISI engine with a split-injection strategy. Their results demonstrate that the spray-guided direct-injection system is regarded as a promising technology to realize stratified lean combustion, and the necessary stratified mixture is important to guarantee stable combustion. Park et al. [20] also observed an ultra-lean stratified combustion process on an optical single-cylinder engine with a quantities ratio of two injections of 1:1. In their research, compared to homogeneous lean combustion, IGN-Delay (Ignition timing to CA05) was much shorter under stratified lean combustion conditions, and the flame propagated faster. However, due to the retarding of SIT, the problem of fuel hitting the cylinder was very serious. This resulted in an increase in soot and unburned hydrocarbon (HC) emissions. Feng et al. [21] studied the influences of a dual injection strategy on combustion and emission on an EGR-diluted GDI engine, and their results showed that the engine combustion and performance can be improved using a stratified mixture with EGR dilution. Compared to the homogeneous combustion, the particulate number and CO emissions deteriorated. Moriyoshi et al. [22] proposed a new stratified combustion concept with stratified combustion layers parallel to the cylinder axis. The stratification was achieved by combining the special tumble port and a fuel injector. The test results show that parallel stratified combustion can accelerate flame propagation velocity under a lean-burn condition, then improves the lean combustion limit and combustion stability.
In the above studies, lean combustion could be realized by adopting pre-charmer ignition or a high-power ignition system, as well as utilizing a stratified fuel mixture with various injection strategies. However, the combustion instability and the control sensitivity under lean condition remain serious problems, and there is little research focused on the combustion control robustness. It is necessary to launch detailed investigations into the combustion process control under lean condition.
In the current research, a stratified ultra-lean combustion limit is realized by HPIS (424 mJ interval 0.2 ms) and dual-injection strategy on a single-cylinder DISI engine; because the knock tendency will lower at lean combustion, the CR geometry in this test is selected as 17:1. In order to extend the lean limit, thermal efficiency, combustion stability and control sensitivity, a detailed investigation of the stratified control strategies on combustion characteristic was conducted by altering the SIP, SIT and ignition timing. Based on the experimental results, the effects of the stratified strategy on lean mixture combustion ( λ = 1.6) and ultra-lean mixture combustion ( λ = 1.9) were examined and compared.

2. Experimental Setup

2.1. Research Engine

The research was carried out on a single-cylinder DISI engine with an extremely high CR of 17:1. The engine was equipped with a variable valve timing (VVT) mechanism, which can realize the Atkinson cycle.
In order to achieve stable ignition of ultra-lean mixture combustion, HPIS was adopted during the research, and the ignition energy reached up to 424 mJ. The specific engine parameters are shown in Table 1.

2.2. Test Equipment

The test bench layout is shown in Figure 1. An air buffer tank for a single-cylinder engine was used to precisely control the intake pressure, the temperature, as well as the humidity. The test bench control system named PUMA could also control the dynamometer to make the engine work under the set working conditions. The INCA software was utilized to realize the adjustment of the parameters, such as the fuel injection pulse width, fuel injection timing, and ignition timing.
Some test equipment specifications are shown in Table 2. The relative Air/Fuel ratio was measured by the λ sensor installed on the exhaust pipe. An AVL combustion analyzer was equipped to measure engine combustion-related parameters in real time with AVL-GH15DK cylinder pressure sensor and crankshaft position sensor. In order to accurately measure the fuel consumption, an AVL753 fuel comsumption meter equipped with a temperature control module to ensure fuel temperature at 25 °C was installed. The fuel consumption meter can achieve a low measurement error of less than 0.12%.

2.3. High-Power Ignition System

In order to enhance ignition success under ultra-lean mixture combustion conditions, HPIS is adopted on the research engine, and a discharging energy level of 424 mJ is reached. As shown in Figure 1, five parallel-connected ignition coils are fit in the ignition system. The system can achieve precise control of five ignition coils and output five ignition pulse signals with interval of 0.2 ms. Actual tests demonstrated the actual ignition energy could reach up to 424 mJ.

2.4. Experiment Design and Data Analysis

Figure 2 shows the injection arrangement of the dual injection strategy. The main Injection timing (MIT) was kept constant at −300 °CA ATDC during the current experiment. The SIT was adjusted from −210 °CA ATDC to −90 °CA ATDC, and due to the limit of minimum responding time of the injector, the SIP was controlled with four values (0, 30%, 40%, 45%). The ignition timing was controlled for maximum Brake Torque (MBT) To simplify test case labels, the format of the case was as follows: (SIT a°CA ATDC, SIP b%). During the whole test, the engine speed was maintained at 2000 rpm and IMEP at 8.5 bar.
During the test, firstly, the lean combustion limit extending research was launched. The SIT was set at −180 °CA ATDC, and the SIP was set at 0 and 40%. The λ is gradually increased from 1.0 to 2.0. Secondly, to study the dual injection effects under different lean condition, the experiment was carried out with the change of SIT and SIP, respectively, under lean condition ( λ = 1.6) and ultra-lean condition ( λ = 1.9).

2.5. Research Methods

To evaluate the effects of dual injection strategy, the indicated thermal efficiency ( η t h ) and the coefficient of variation of IMEP are defined via Equations (1)–(3): below:
η t h = 3600 m ˙ f u e l H L × p m i × V s × n 120 × 100 %
C o V I M E P = 1 n ( p m i p m i ¯ ) / ( n 1 ) p m i ¯
p m i = 1 V s p d V
where m ˙ f u e l is the mass flow rate of fuel consumption, kg/h; H L is the lower heating value of the fuel; p m i is the indicated mean effective pressure (IMEP), MPa; V s is the operation volume of the test single-cylinder, L; n is the engine speed, r/min, where p is the in-cylinder pressure.
In order to evaluate the index of multiple cycles’ knock intensity (KI), Equation (4) defines the calculation of KI as follows:
K I = 1 n × i = 0 n M A P O i
Here, n represents the number of sampling cycles, KI represents the average knock intensity of n sampling cycles, and M A P O i represents the knock intensity of the corresponding cycle.
To gain deeper insights into the combustion process, Figure 3 presents the distinct combustion stages. In this figure, CAx represents the crank angle corresponding to the x% mass burnt fraction. The ignition delay is defined as the crank angle between the start of injection (SOI) and CA05. Additionally, the combustion duration is calculated as the crank angle between CA10 and CA90.

3. Results and Discussion

3.1. Effects of Single and Dual Injection on Extending Lean Combustion Limit

One of the objectives of the research is to investigate the effects of a stratified strategy involving dual injection on extending lean combustion limit. The experiment was first carried out under different lean conditions from λ = 1.0 to λ = 2.0. In this section, MIT was set at −300 °CA ATDC, and SIT was set at −180 °CA ATDC and SIP was set with 0 and 40%, respectively. Figure 4 illustrates the variation in the indicated thermal efficiency η t h and C o V I M E P with the increasing of λ . A persistent improvement of η t h is noticed with the increase in λ , and as the mixture becomes leaner, stratified combustion with dual injection has a better thermal efficiency improvement than homogeneous combustion. The improvement should be resulted from the improvement of a specific heat ratio of mixture and reduction of combustion heat transfer losses. With all of the two injection strategies, C o V I M E P also shows a general increase with the increase in λ , while homogeneous combustion cases exhibit a much higher trend at the deterioration of combustion stability under the leaner condition, resulting from the weaker robustness of flame kernel generation and propagation under lean and homogeneous conditions. The two cases reach the limit in C o V I M E P (5%) at λ = 1.6 and λ = 2.0, respectively. It can be expected that stratified combustion can effectively extend the lean combustion limit during ultra-lean operation of λ = 2.0 with 5.6% improvement of η t h relative to that of the single fuel injection condition at λ = 1.6.
Additionally, a short ING-Delay and short combustion duration are noticed in Figure 5a, when the stratified combustion scheme is applied with dual injection. This showed that the flame kernel is robust and flame propagated faster during the combustion process, which resulted from an inadequate mixing process, and the relatively rich mixture clouds can be distributed near the spark plug.
Furthermore, the minimum advance spark timings for Maximum brake torque (MBT) and CA50 are shown in Figure 5b. Compared to the case with homogeneous combustion, stratified combustion enhanced the initial flame kernel generation and propagation. More advanced spark timing can be set at stratified combustion. Combined with a shorter combustion duration, a more suitable CA50 position can be set. It is also worth noting that the NOx generation is also limited by the combustion temperature reduction due to the lean combustion, as shown in Figure 6.
These results illustrate that stratified combustion via dual injection can actually extend the lean combustion limit to λ = 2.0 and accelerate the flame propagation velocity, which finally resulted in improving thermal efficiency and combustion robustness.

3.2. Effect of SIP on Lean Combustion and Ultra-Lean Combustion

In order to further understand the effects of stratified strategy on lean combustion, the influence of SIP needs to be discussed. This can influence the in-cylinder mixture concentration gradient. In this section, the test was carried out under the lean condition and the ultra-lean condition, respectively. The total fuel injection amount was fixed, and the engine speed was held at 2000 rpm and initial IMEP was 8.5 bar. Due to the limit of the minimum responding time of the injector, the minimum SIP under this working condition is 30%, and the maximum SIP is 45%, which is still less than the proportion of the main injection. The main and second fuel injection timings are −300 deg ATDC and −180 deg ATDC, respectively.
Table 3 shows a reverse trend at the change of peak in-cylinder pressure when SIP is increased under lean and ultra-lean conditions. For operation at lean condition λ = 1.6, compared with Case (SIT = −180 °CA ATDC, SIP 45%), the case (SIT = −180 °CA ATDC, SIP 30%) exhibits a significant increase in the peak in-cylinder pressure value. By contrast, an obvious decrease in the peak in-cylinder value is noticed for the operation under the ultra-lean condition λ = 1.9. A similarly reversed trend also can be observed in Table 3, in which the η t h increased under the lean condition ( λ = 1.6) with the increase in SIP, while the reduction in η t h was significant under the ultra-lean condition ( λ = 1.9).
To find the reasons behind the observed reverse trends, data from the combustion phase are presented in Figure 7a, in which ignition duration and combustion phases (CA50, CA90) of 100 continuous working cycles are shown. With the increase in SIP from 30% to 45%, trends of ignition delay, CA50 and CA90 all continue to decrease, while the different trends at CA50 and CA90 under different lean condition are noticed. Compared to ( λ = 1.6), there is a significant increase at the average value of CA50 and CA90 with the increase in SIP under the ultra-lean condition ( λ = 1.9). This suggests that increased SIP can literally increase the mixture concentration near the spark plug, and thus, enhanced flame kernel generation can be observed from the decreased IGN-Delay. However, as greater SIP is applied, there is a growing tendency to increase the mixture concentration gradient and result in topo-leaner region in the combustion chamber, which deteriorates the flame propagation at the middle and late stage of combustion. This phenomenon is very obvious with the increase in λ . Consequently, the combustion duration is significantly increased under the ultra-lean operation condition. This reduces the relative combustion time under near-constant volume conditions and leads to unstable combustion, which results in increased thermal losses and a reduction in thermal efficiency.
A detailed combustion process analysis is presented. The average traces of in-cylinder pressure and heat release rate are shown in Figure 8 and Figure 9. For operation under lean condition ( λ = 1.6), as shown in Figure 8, the pressure trace of Case (SIT = −180 °CA ATDC, SIP = 45%) witnesses constantly higher pressure throughout the combustion process, and a more advanced heat release rate is noticed before 13 °CA ATDC, which contributes to more compact and efficient combustion. By contrast, a relative later HRR trace is observed for Case (SIT = −180 °CA ATDC, SIP = 30%). This suggests that increased SIP can accelerate flame kernel and flame propagation under the lean condition ( λ = 1.6), which results in a much more concentrated combustion. The negative influence of a slightly prolonged combustion duration can be neglected at the lean condition ( λ = 1.6).
Nevertheless, for operation under the ultra-lean condition ( λ = 1.9), as shown in Figure 9, the pressure of Case (SIT = −180 °CA ATDC, SIP = 45%) rises more quickly at the start of combustion but soon damps from 3 °CA ATDC, compared to the in-cylinder pressure of Case (SIT = −180 °CA ATDC, SIP = 30%). Meanwhile, a relatively fast combustion velocity is observed at the beginning, but it damps quickly. A similar trend can be observed from the HRR trace. The heat release rate of Case (SIT = −180 °CA ATDC, SIP = 45%) is much more moderate and prolonged, which is not beneficial to the thermal efficiency. As explained above, the prolonged combustion duration resulted from the higher concentration gradient and the topo-leanest region, which reduced the flame propagating velocity. This influence is more obvious with increased λ .
Although increasing SIP can contribute to a more robust flame kernel and quick flame propagation at the initial stage, the negative effects are observed at the middle and end combustion stage due to the topo-leaner region and greater concentration gradient in the combustion chamber. The prolonged combustion duration is caused by the slower flame propagation velocity, and the velocity damping is more obvious with increased λ .

3.3. Effects of SIT on Lean Combustion and Ultra-Lean Combustion

The engine combustion characteristics under the lean and ultra-lean condition with changed SIT are analyzed in this part.
As the total fuel injection amount is fixed, MIT is set at −300 °CA ATDC and SIP is 40%. SIT is gradually retarded from −210 °CA to −90 °CA ATDC with an interval of 30 °CA. The initial test demonstrated SIT could not be further delayed at −90 °CA due to the limit of knocking.
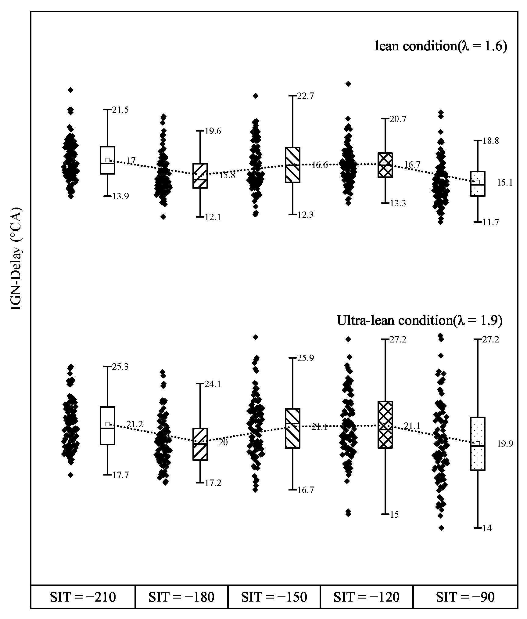
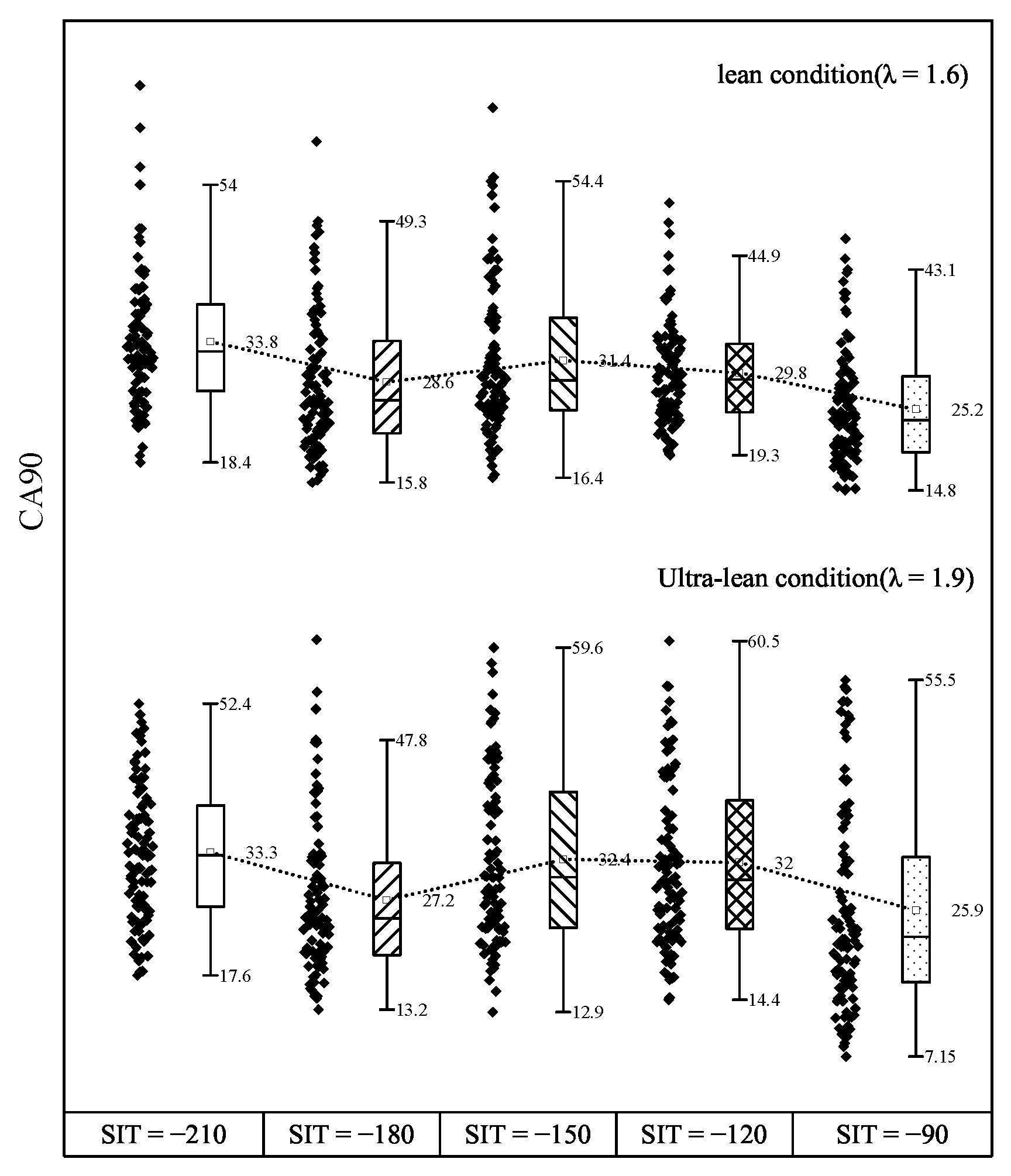
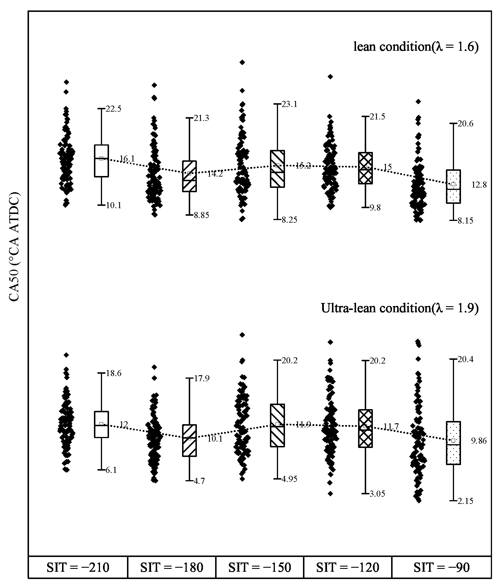
Figure 10a shows an increased η t h under the two lean conditions, while the peak values appear at Case(-180) and Case(-90), respectively. Compared to Case (SIT = −210 °CA ATDC, SIP = 40%), Case (SIT = −180 °CA ATDC, SIP = 40%) has obvious decreased IGN-Delay, CA50 and CA90, as shown in Figure 11, Figure 12 and Figure 13. It can be expected that this is due to the change in the combustion process from the homogeneous combustion to stratified combustion. Compared to the SIT of Case (SIT = −210 °CA ATDC, SIP = 40%) for which the second injection takes place during the intake process with strong turbulence and a relatively longer mixture timing. In contract, Case(SIT = −180 °CA ATDC, SIP = 40%)’s second injection begins at the BTD (Bottom Dead Center), while the turbulence decay gradually with the upward moving of the piston. The weaker turbulence kinetic energy and relatively short mixing time cause the fuel–air mixture to appear in a distinctly stratified state and distribute in the combustion chamber as relatively rich mixture clouds. When relatively rich mixture clouds are around the spark plug and they can enhance the flame kernels, as well as the mixture clouds distributed in other positions and the the flame propagation stability and velocity, more robust flame kernels and faster flame propagation velocity can be produced during the combustion process, contributing to an advanced CA50 and higher η t h .
With SIT’s further retarding from −180 °CA, a significant drop of η t h is noticed in Figure 10. As similar average value of IGN-Delay is noticed in Case (SIT = −210 °CA ATDC, SIP = 40%), Case (SIT = −150 °CA ATDC, SIP = 40%) as well as Case (SIT = −120 °CA ATDC, SIP = 40%) in Figure 11, it reflects that mixture clouds with rich concentration may not be formed around the spark plug with the retarded SIT. The distributions of relatively rich mixture clouds formed by the second injection is complicated; it is influenced not only by the spray characters and turbulence intensity, but also by the movement of the cylinder. This is probably the reason why the correlation between the second ignition timing and combustion characteristics is not linear, although monotonical trends can be noted from Case (SIT = −150 °CA ATDC, SIP = 40%) to Case (SIT = −120 °CA ATDC, SIP = 40%) then to Case (SIT = −90 °CA ATDC, SIP = 40%). Meanwhile, the combustion duration also maintains a monotonical decrease from Case (SIT = −150 °CA ATDC, SIP = 40%) to Case (SIT = −90 °CA ATDC, SIP = 40%). This suggests that the combustion intensity can be enhanced by retarding SIT. Then, η t h reaches another peak at SIT = −90 °CA ATDC.
As the ultra-lean condition of λ = 1.9 can contribute a higher thermal efficiency, as shown in in Figure 10b, its C o V I M E P is not working so well compared to the lean condition of λ = 1.6. Under λ = 1.6, C o V I M E P can always keep under the threshold value (5%) for all cases, and the best combustion stability is obtained with retarded SIT at −90 with KI under 1.0. Regarding ING-delay, CA50 and CA90 are more concentrated with the retarded SIT, as shown in Figure 11, Figure 12 and Figure 13. This suggests that the retarded SIT can be beneficial to combustion control. Under λ = 1.9, the only case with satisfied C o V I M E P is SIT = −180 °CA ATDC. With retarded SIT from SIT = −180 °CA ATDC, the C o V I M E P of those combustion processes shows a severe fluctuation trend, as shown by the injection retarding in Figure 10. As discussed above, the high C o V I M E P of Case (SIT = −210) may be caused by the early injection where the mixture tends to be more homogenous and has more negative effects on flame kernel generation and flame propagation. At the same time, retarded SIT may be responsible for a too large mixture concentration gradient that then deteriorates the combustion process. As the mixture time and turbulence kinetic energy are both reduced, the later injected fuel is hard to diffuse, resulting in an interruption of the flame propagation at the lean region and rude combustion at the rich region, as shown in Figure 10c, the KI of both cases increase. And for ultra-lean condition of λ = 1.9, the unacceptable knock combustion occurs when SIT was retared to −90 °CA ATDC.
The above results demonstrate that retarding the SIT does not work always well for combustion improvement, especially for the ultra-lean operation condition. For the operation at λ = 1.9, the only stable condition was achieved at Case (SIT = −180 °CA ATDC, SIP = 40%). This reflects the weak robustness of an ideal stratified combustion control under the ultra-lean condition. The results illustrate that ultra-lean combustion is guaranteed not only by the initial flame kernel generation but also by the stable flame propagation at middle and late combustion stages.

4. Conclusions

This study experimentally investigated the effects of stratified combustion on extending the lean burn limit in a single-cylinder engine with extremely high CR of 17:1 and a high-power ignition system (424 mJ). Detail-stratified combustion control strategies research was carried out under lean and ultra-lean conditions. From those results, the following conclusions are derived:
  • Stratified combustion can effectively extend the lean burn limit to ultra-lean operation at λ = 2.0 with 5.6% improvement of η t h , compared to that of homogeneous combustion condition at λ = 1.6.
  • Increasing SIP from 30% to 45% contributes to a more robust flame kernel and quick flame propagation at initial stage. But a prolonged combustion duration is also observed, which results from the topo-leaner region and larger mixture concentration gradient. For the operation under the lean condition, prolonged combustion duration is slight, while under the ultra-lean condition ( λ = 1.9), the negative effects are obvious, and the indicated thermal efficiency decreases obviously with increased SIP.
  • The peak η t h is obtained with SIT at −90 °CA under lean conditions and −180 °CA under ultra-lean conditions, while for the ultra-lean combustion, with retarded SIT, it is easier to suppress the flame propagation at the middle and late stage of the combustion, leading to a severe deterioration in the combustion process.
  • A dual injection strategy can extend the lean combustion limit and obtain stable combustion under ultra-lean condition under some SIT. The results have demonstrated the weak robustness of the dual injection strategy. Further research is needed to continue increasing the robustness of the mixture distribution and concentration gradients in the combustion chamber for lean and ultra-lean DISI combustions, and more injection times and suitable air flow organization are needed.

Author Contributions

Z.L.: Methodology, Formal analysis, Writing—original draft. J.Q.: Conceptualization, Writing—review and editing. Y.P.: Supervision, Project administration. K.Z.: Investigation, Validation. Z.Z.: Project administration. J.S.: Validation. All authors have read and agreed to the published version of the manuscript.

Funding

This work was financially supported by the National Natural Science Foundation of China (Grant No. 51676136).

Data Availability Statement

Data available on request due to restrictions eg privacy or ethical The data presented in this study are available on request from the corresponding author. The data are not publicly available due to confidentiality requirements of the partner enterprise.

Acknowledgments

This work was technically supported by the Great Wall Motor Co., Ltd. (GWM). The authors appreciate the experimental support from Zhiyong Zhang and Jian Sun in the GWM engine lab during the experiment.

Conflicts of Interest

The authors declare that they have no known competing financial interests or personal relationships that could have appeared to influence the work reported in this paper.

Nomenclature

m ˙ f u e l Mass flow rate of fuel consumption.
η t h Indicated thermal efficiency.
λ The excess air coefficient.
A T D C After top dead center.
B D C Bottom dead centre.
C A x Crankshaft angle of x% mass burnt fraction.
C O Carbon monoxide.
C o V I M E P The coefficient of variation of IMEP.
C R Compression ratio.
D I S I Direct injection spark ignition.
H L Lower heating value.
H C Hydrocarbon.
H P I S High power ignition system.
H R R Heat release rate.
I G N D e l a y Ignition timing to CA05.
p m i Indicated mean effective pressure.
I V C Intake valve closing.
K I Index of multiple cycles knock intensity.
M A P O i Mean Amplitude of the Pressure Oscillations.
M B T Maximum brake torque.
M I T Main injection timing.
nEngine speed.
N O x Nitrogen oxide.
I M E P Indicated mean effective pressure.
S I Spark Ignition.
S I P Second injection proportion.
S I T Second injection timing.
S O I Start of ignition.
T D C Top dead centre.
V s The operation volume.
V V T Variable valve timing.

References

  1. U. E. P. Agency. Sources of Greenhouse Gas Emissions; U. E. P. Agency: Washington, WA, USA, 2022. [Google Scholar]
  2. European Commission. Transport Emissions—Climate Action; European Commission: Brussels, Belgium, 2021. [Google Scholar]
  3. ACEA. Fuel Types of New Passenger Cars in the EU; ACEA: Brussels, Belgium, 2022. [Google Scholar]
  4. Wang, S.; Ji, C.; Zhang, B.; Liu, X. Lean burn performance of a hydrogen-blended gasoline engine at the wide open throttle condition. Appl. Energy 2014, 136, 43–50. [Google Scholar] [CrossRef]
  5. Badawy, T.; Bao, X.; Xu, H. Impact of spark plug gap on flame kernel propagation and engine performance. Appl. Energy 2017, 191, 311–327. [Google Scholar] [CrossRef]
  6. Kobayashi, T.; Yamaki, Y.; Nakaya, S.; Tsue, M. Influences of Multi Spark Discharge on Lean Ignition for Premixed Propane/Air Mixtures under Turbulent Environment; Tech. Rep.; SAE Technical Paper; SAE: Warrendale, PA, USA, 2019. [Google Scholar]
  7. Mariani, A.; Foucher, F. Radio frequency spark plug: An ignition system for modern internal combustion engines. Appl. Energy 2014, 122, 151–161. [Google Scholar] [CrossRef]
  8. Adams, T.G. Torch Ignition for Combustion Control of Lean Mixtures; Tech. Rep.; SAE Technical Paper; SAE: Warrendale, PA, USA, 1979. [Google Scholar]
  9. Santos, N.D.S.A.; Alvarez, C.E.C.; Roso, V.R.; Baeta, J.G.C.; Valle, R.M. Lambda load control in spark ignition engines, a new application of prechamber ignition systems. Energy Convers. Manag. 2021, 236, 114018. [Google Scholar] [CrossRef]
  10. Stadler, A.; Wessoly, M.; Blochum, S.; Härtl, M.; Wachtmeister, G. Gasoline fueled pre-chamber ignition system for a light-duty passenger car engine with extended lean limit. SAE Int. J. Engines 2019, 12, 323–340. [Google Scholar] [CrossRef]
  11. Jamrozik, A. Lean combustion by a pre-chamber charge stratification in a stationary spark ignited engine. J. Mech. Sci. Technol. 2015, 29, 2269–2278. [Google Scholar] [CrossRef]
  12. Jung, D.; Sasaki, K.; Sugata, K.; Matsuda, M.; Yokomori, T.; Iida, N. Combined Effects of Spark Discharge Pattern and Tumble Level on Cycle-to-Cycle Variations of Combustion at Lean Limits of SI Engine Operation; SAE Technical Papers 2017; SAE: Warrendale, PA, USA, 2017. [Google Scholar]
  13. Yu, S.; Yu, X.; Yang, Z.; Wang, M.; Han, X.; Tjong, J.; Zheng, M. Ignition Improvement for Ultra-Lean Dilute Gasoline Combustion; Tech. Rep.; SAE Technical Paper; SAE: Warrendale, PA, USA, 2017. [Google Scholar]
  14. Hwang, J.; Kim, W.; Bae, C. Influence of plasma-assisted ignition on flame propagation and performance in a spark-ignition engine. Appl. Energy Combust. Sci. 2021, 6, 100029. [Google Scholar] [CrossRef]
  15. Shen, K.; Xu, Z.; Chen, H.; Du, J. Combined effects of high energy ignition and tumble enhancement on performance of lean combustion for gdi engine. Exp. Therm. Fluid Sci. 2021, 129, 110464. [Google Scholar] [CrossRef]
  16. Duan, X.; Liu, J.; Yuan, Z.; Guo, G.; Liu, Q.; Tang, Q.; Deng, B.; Guan, J. Experimental investigation of the effects of injection strategies on cycle-to-cycle variations of a disi engine fueled with ethanol and gasoline blend. Energy 2018, 165, 455–470. [Google Scholar] [CrossRef]
  17. Duan, X.; Li, Y.; Liu, Y.; Liu, J.; Wang, S.; Guo, G. Quantitative investigation the influences of the injection timing under single and double injection strategies on performance, combustion and emissions characteristics of a gdi si engine fueled with gasoline/ethanol blend. Fuel 2020, 260, 116363. [Google Scholar] [CrossRef]
  18. Park, C.; Kim, S.; Kim, H.; Lee, S.; Kim, C.; Moriyoshi, Y. Effect of a split-injection strategy on the performance of stratified lean combustion for a gasoline direct-injection engine. Proc. Inst. Mech. Eng. Part D J. Automob. Eng. 2011, 225, 1415–1426. [Google Scholar] [CrossRef]
  19. Park, C.; Kim, S.; Kim, H.; Moriyoshi, Y. Stratified lean combustion characteristics of a spray-guided combustion system in a gasoline direct injection engine. Energy 2012, 41, 401–407. [Google Scholar] [CrossRef]
  20. Park, C.; Oh, H.; Kim, S.; Kim, H.; Lee, S.; Bae, C. Evaluation and visualization of stratified ultra-lean combustion characteristics in a spray-guided type gasoline direct-injection engine. Int. J. Automot. Technol. 2014, 15, 525–533. [Google Scholar] [CrossRef]
  21. Feng, S.; Hong, W.; Xie, F.; Yang, Y.; Su, Y.; Li, X. Influence of stratified charge organized by double injection strategy on combustion and emissions on an egr diluted gdi engine. Appl. Therm. Eng. 2019, 158, 113803. [Google Scholar] [CrossRef]
  22. Moriyoshi, Y.; Kuboyama, T.; Kaneko, M.; Yamada, T.; Sato, H. Fuel Stratification Using Twin-Tumble Intake Flows to Extend Lean Limit in Super-Lean Gasoline Combustion; Tech. Rep.; SAE Technical Paper; SAE: Warrendale, PA, USA, 2018. [Google Scholar]
Figure 1. The layout of the test bench.
Figure 1. The layout of the test bench.
Energies 16 05662 g001
Figure 2. Dual injection strategy.
Figure 2. Dual injection strategy.
Energies 16 05662 g002
Figure 3. Combustion phase.
Figure 3. Combustion phase.
Energies 16 05662 g003
Figure 4. Effects of single and dual injection strategies on indicated thermal efficiency and C o V I M E P .
Figure 4. Effects of single and dual injection strategies on indicated thermal efficiency and C o V I M E P .
Energies 16 05662 g004
Figure 5. Effects of single and dual injection strategies on (a) Ignition timing and CA50, (b) IGN-Delay and combustion duration.
Figure 5. Effects of single and dual injection strategies on (a) Ignition timing and CA50, (b) IGN-Delay and combustion duration.
Energies 16 05662 g005
Figure 6. The NOx emission trend in lean-burn condition.
Figure 6. The NOx emission trend in lean-burn condition.
Energies 16 05662 g006
Figure 7. Effects of SIP on combustion phase.
Figure 7. Effects of SIP on combustion phase.
Energies 16 05662 g007
Figure 8. In-cylinder pressure (a) and heat release rate (b) trace for operation with different SIP under lean condition ( λ = 1.6).
Figure 8. In-cylinder pressure (a) and heat release rate (b) trace for operation with different SIP under lean condition ( λ = 1.6).
Energies 16 05662 g008
Figure 9. In-cylinder pressure (a) and heat release rate (b) trace for operation with different SIP under the lean condition ( λ = 1.9).
Figure 9. In-cylinder pressure (a) and heat release rate (b) trace for operation with different SIP under the lean condition ( λ = 1.9).
Energies 16 05662 g009
Figure 10. Effects of SIT on (a) indicated thermal efficiency, (b) C o V I M E P , (c) KI under lean condition and ultra-lean condition.
Figure 10. Effects of SIT on (a) indicated thermal efficiency, (b) C o V I M E P , (c) KI under lean condition and ultra-lean condition.
Energies 16 05662 g010
Figure 11. Effects of SIT on IGN-Delay.
Figure 11. Effects of SIT on IGN-Delay.
Energies 16 05662 g011
Figure 12. Effects of SIT on CA50.
Figure 12. Effects of SIT on CA50.
Energies 16 05662 g012
Figure 13. Effects of SIT on CA90.
Figure 13. Effects of SIT on CA90.
Energies 16 05662 g013
Table 1. Engine Specifications.
Table 1. Engine Specifications.
ParametersValue
Engine typeDISI
Displacement/L0.563
Bore size/mm75
Stroke/mm128
Compression ratio17:1
Fuel injection pressure/MPa32
RON95
Spark energy/mJ424
Table 2. Test Equipment.
Table 2. Test Equipment.
InstrumentTypeAccuracy
DynamometerAVL5700.1%
Fuel Consumption MeterAVL7530.12%
Cylinder Pressure SensorAVL-GH15DK0.45%
Table 3. Effects of SIP on peak in-cylinder pressure and η t h under lean and ultra-lean condition.
Table 3. Effects of SIP on peak in-cylinder pressure and η t h under lean and ultra-lean condition.
Combustion Parameter λ = 1.6 λ = 1.9
SIP = 30%SIP = 45%SIP = 30%SIP = 45%
Pmax60.7561.8968.0366.89
η t h 45.1245.2346.2846.03
Disclaimer/Publisher’s Note: The statements, opinions and data contained in all publications are solely those of the individual author(s) and contributor(s) and not of MDPI and/or the editor(s). MDPI and/or the editor(s) disclaim responsibility for any injury to people or property resulting from any ideas, methods, instructions or products referred to in the content.

Share and Cite

MDPI and ACS Style

Li, Z.; Qin, J.; Pei, Y.; Zhong, K.; Zhang, Z.; Sun, J. The Lean-Burn Limit Extending Experiment on Gasoline Engine with Dual Injection Strategy and High Power Ignition System. Energies 2023, 16, 5662. https://doi.org/10.3390/en16155662

AMA Style

Li Z, Qin J, Pei Y, Zhong K, Zhang Z, Sun J. The Lean-Burn Limit Extending Experiment on Gasoline Engine with Dual Injection Strategy and High Power Ignition System. Energies. 2023; 16(15):5662. https://doi.org/10.3390/en16155662

Chicago/Turabian Style

Li, Zhiqiang, Jing Qin, Yiqiang Pei, Kai Zhong, Zhiyong Zhang, and Jian Sun. 2023. "The Lean-Burn Limit Extending Experiment on Gasoline Engine with Dual Injection Strategy and High Power Ignition System" Energies 16, no. 15: 5662. https://doi.org/10.3390/en16155662

APA Style

Li, Z., Qin, J., Pei, Y., Zhong, K., Zhang, Z., & Sun, J. (2023). The Lean-Burn Limit Extending Experiment on Gasoline Engine with Dual Injection Strategy and High Power Ignition System. Energies, 16(15), 5662. https://doi.org/10.3390/en16155662

Note that from the first issue of 2016, this journal uses article numbers instead of page numbers. See further details here.

Article Metrics

Back to TopTop