Next Article in Journal
Hybrid Maximum Power Extraction Methods for Photovoltaic Systems: A Comprehensive Review
Previous Article in Journal
Attention-Focused Machine Learning Method to Provide the Stochastic Load Forecasts Needed by Electric Utilities for the Evolving Electrical Distribution System
 
 
Font Type:
Arial Georgia Verdana
Font Size:
Aa Aa Aa
Line Spacing:
Column Width:
Background:
Article

Optimal Extreme Random Forest Ensemble for Active Distribution Network Forecasting-Aided State Estimation Based on Maximum Average Energy Concentration VMD State Decomposition

Department of Electrical Engineering, Shandong University, Jinan 250100, China
*
Author to whom correspondence should be addressed.
Energies 2023, 16(15), 5659; https://doi.org/10.3390/en16155659
Submission received: 28 June 2023 / Revised: 19 July 2023 / Accepted: 25 July 2023 / Published: 27 July 2023
(This article belongs to the Section A1: Smart Grids and Microgrids)

Abstract

As the penetration rate of distributed generators (DG) in active distribution networks (ADNs) gradually increases, it is necessary to accurately estimate the operating state of the ADNs to ensure their safe and stable operation. However, the high randomness and volatility of distributed generator output and active loads have increased the difficulty of state estimation. To solve this problem, a method is proposed for forecasting-aided state estimation (FASE) in ADNs, which integrates the optimal extreme random forest based on the maximum average energy concentration (MAEC) and variable mode decomposition (VMD) of states. Firstly, a parameter optimization model based on MAEC is constructed to decompose the state variables of the ADNs into a set of intrinsic mode components using VMD. Then, strongly correlated weather and date features in ADNs state prediction are selected using the multivariate rapid maximum information coefficient (RapidMIC) based on Schmidt orthogonal decomposition. Finally, by combining the set of intrinsic mode functions of the ADNs state, calendar rules, and weather features, an ensemble FASE method based on the extreme random tree (ERT) ensemble for the ADNs based on cubature particle filtering (CPF) is developed. An optimization model based on mean absolute error and root mean square error is established to obtain the optimal integration strategy and final estimation results. Simulation verification is performed on the IEEE 118-bus standard distribution system. The results show that the proposed method achieves higher accuracy compared to other estimation methods, with root mean square errors of 1.4902 × 10−4 for voltage magnitude and 4.8915 × 10−3 for phase angle.

1. Introduction

In modern power systems, accurate and efficient state estimation is of great significance for ensuring the safe and stable operation of the grid and dispatching power resources [1]. However, with the increasing scale of active distribution networks (ADNs) and the increasing presence of distributed generators (DG), the accuracy of state estimation is increasingly affected by measurement deficiencies and random fluctuations in DG outputs [2]. To meet this challenge one of the most promising approaches to address this challenge is forecasting-aided state estimation (FASE) [3]. FASE consists of two stages: prediction and filtering. In the filtering stage, FASE combines forecasting and measurements to estimate the state using filtering algorithms based on the Kalman framework, such as the extended Kalman filter (EKF) [4], unscented Kalman filter (UKF) [5], ensemble Kalman filter (EnKF) [6], and covariance particle filter (CPF) [7]. The CPF is adopted due to its integration of the importance density function, which accounts for the latest measurement design, enhancing the algorithm’s filtering accuracy. The output of DG and active loads are influenced by various factors, such as weather variations, seasonal changes, and special events [8], resulting in complex nonlinear relationships. Traditional methods struggle to precisely capture these nonlinear characteristics, consequently impacting the accuracy of FASE.
The modal decomposition technique is a signal processing method that decomposes the original state data into multiple intrinsic mode functions (IMFs), representing sub-signals with different frequency components and trend information, thus capturing the diversity and time-varying characteristics of the state signal [9]. In recent years, modal decomposition techniques have gained considerable attention in the field of load forecasting in power systems [10]. In [11], photovoltaic power data were decomposed into a series of more stable and constant subsequences using the empirical mode decomposition (EMD) technique to deal with fluctuations in photovoltaic power data. In [12], the CEEMDAN-SE-LSTM model was proposed, taking into account meteorological and holiday factors, to predict the short-term electricity load in Changsha, China. However, modal decomposition techniques have rarely been applied in the field of forecasting-assisted state estimation. In this study, we introduce modal decomposition methods into the FASE to decompose the ADNs state and extract components at different scales and frequencies, enabling a more accurate representation of the changing trends and periodic features of the ADNs state. However, the problem of modal aliasing caused by EMD and CEEMDAN methods can degrade the decomposition performance and lead to reduced forecasting accuracy. In [13], this problem was solved using variational mode decomposition (VMD) to effectively decompose the load of the power system, avoiding modal aliasing. However, selecting appropriate decomposition parameters and determining the optimal number of modes often depends on subjective experience and lacks clear criteria and methods. This can lead to less accurate and stable decomposition results, which can affect the performance of subsequent forecasting models.
After modal decomposition of the ADNs state data, each mode represents different operating patterns or characteristics. Information from each model must be considered, and a combined model with appropriate weighting configuration must be constructed to improve forecasting accuracy and stability [14]. Currently, common approaches for combined model prediction include averaging methods [15], weighted averaging methods [16], and voting methods [17], which combine the predictions of individual models such as support vector machine regression (SVR) [18], artificial neural networks (ANN) [19], or long short-term memory (LSTM) [20]. However, combined forecasting models based on average weights or voting lack effective utilization of performance differences between forecasting models and may result in reduced forecasting accuracy when there are significant performance differences between the individual models [21]. To further construct an optimal combined forecasting model, the researchers proposed various ensemble learning methods. In [22], an extreme weather identification and short-term load forecasting model was proposed based on the bagging–XGBoost algorithm, which can provide advance warning of peak load periods and detailed load values. However, the Bagging method only considers the average prediction results of the base learners, which may not fully utilize the potential correlations among the base learners, limiting the forecasting performance. In [23], a deep learning-based ensemble stacking (DSE-XGB) method for solar photovoltaic power forecasting was proposed to improve forecasting accuracy. However, the stacking method requires multiple levels of model combinations involving complex model selection and parameter tuning processes, which increase the difficulty and computational complexity of model construction. On the other hand, the extreme random trees (ERT) ensemble method [24] uses random features and thresholds for node splitting and can integrate the prediction of multiple decision trees, effectively addressing the limitations of the bagging and stacking methods.
In addition, due to the complex and high-dimensional nature of weather features and historical data in ADNs, traditional forecasting models struggle to effectively capture the relationships between features, resulting in lower performance on high-dimensional datasets. To address the challenge of incorporating the influence of multiple features on the changing state of ADNs, researchers have combined feature selection techniques with forecasting models. Currently, the commonly used feature selection method is the maximum information coefficient (MIC) [25]. Compared to methods such as the Pearson coefficient, MIC can assess the strength of the correlation between two variables without the need for in-depth analysis, and it can also capture complex nonlinear relationships. To improve the computational efficiency of the MIC algorithm for two variables, a RapidMIC algorithm was proposed in the literature [26]. However, the existing RapidMIC algorithm cannot simultaneously consider the impact of weather features on both DG output buses and load buses to obtain the information coefficient between them. In addition, this method does not fully consider the compatibility between feature selection and prediction models.
To solve the above problems, this paper proposes an optimal ERT ensemble-based FASE method for ADNs, using the VMD state decomposition based on maximum average energy concentration (MAEC). The contributions of this paper are summarized as follows:
  • By introducing the concept of energy concentration and using the adaptive sessile organisms optimization algorithm (ASSA) [27], suitable modal numbers and decomposition parameters are determined to improve the accuracy and stability of the decomposition results;
  • A multivariate RapidMIC method based on Schmidt orthogonal decomposition (OMVRapidMIC) is proposed to analyze the correlation between the calendar rules, weather features, and the ADNs state data while retaining highly correlated features.
  • An ERT ensemble state prediction model is constructed based on LSTNet [28], Transformer [29], XGBoost [30], and Prophet [31]. An ensemble strategy optimization model based on root mean square error (RMSE) and mean absolute error (MAE) is established, and the optimal ensemble strategy is obtained using ASSA. After generating the forecast values, the final estimation results are obtained by combining them with the system measurement values using the CPF method.
The paper is structured as follows. Section 2 presents the mathematical model for FASE. Section 3 introduces the VMD state decomposition method based on MAEC. Section 4 describes the OMVRapidMIC. Section 5 provides the specific steps of the optimal ERT ensemble FASE method based on VMD state decomposition with MAEC for ADNs. In Section 6, the proposed method is validated, and the results are discussed using the IEEE 118-bus standard distribution system as a test system. Finally, Section 7 concludes this paper and identifies opportunities for future developments.

2. Problem Formulation

This section introduces a general mathematical model of FASE and its solution method based on CPF.

2.1. FASE

The system state variables are composed of voltage magnitudes and phase angles of all buses in the system. Measurements include bus power injections, branch power flows, bus voltage magnitudes, and phase angles.
Measurement function (1) is:
z = h ( x ) + δ ,
where z is the m-dimensional measurement column vector; h(·) is the column vector of m nonlinear measurement functions; x is the n-dimensional state column vector; δ is the n-dimensional measurement error column vector assumed to follow Gaussian distribution with zero mean and covariance matrix R.
FASE prediction function (2) is:
x k + 1 = f x k + v k ,
where xk + 1 and xk are state vectors at time k + 1 and k, respectively; vk is the process noise vector that obeys the Gaussian distribution with zero mean and covariance matrix R.

2.2. Cubature Particle Filtering

This paper adopts the CPF algorithm for state estimation. CPF differs from PF in that it utilizes the estimation results of CKF to replace the importance density function of PF. The specific filtering process is as follows:
(1)
Initialization: Sample N particles χ k 1 a a = 1 : N from the prior distribution p(xk−1) with mean x ^ k 1 a and covariance P k 1 a . Here, xk−1 represents the initialization state variable in Equation (1).
(2)
Importance sampling: Calculate the mean and variance of each particle using the CKF method. The number of cubature points is m = 2n, where n is the dimension of the state variables. The detailed derivation can be found in 7.
(3)
Resampling: As the number of iterations increases, the phenomenon of particle degeneracy becomes more pronounced. At this point, the effective number of particles is provided by:
N eff = 1 / α = 1 N ω k a 2 ,
when NeffNf (where Nf is a threshold), perform resampling to obtain N new particles x k a with equal weights. Otherwise, resampling is not required.
(4)
State estimation: The CPF algorithm outputs a set of sample points that approximate the true posterior distribution. Therefore, similar to the traditional PF, the mean of the output sample points represents the optimal estimate of the state, denoted as x ^ k .
x ^ k = 1 N α = 1 N x k a P k = 1 N a = 1 N x k a x ^ k x k a x ^ k T .

3. VMD Based on MAEC

3.1. VMD

The high complexity of the ADNs state variables is determined by factors such as the random fluctuation of DG output, load variations, and environmental conditions. Before forecasting, it is necessary to decompose the original state into multiple periodic components to effectively improve the prediction accuracy.
VMD is a signal decomposition method that can decompose a signal into a series of IMFs. Each IMF represents a specific frequency component of the signal and can be described by its corresponding amplitude and phase. By extracting the main periodic features, variations, and trends of the distribution network state, the accuracy of estimation can be improved. Please refer to Appendix A for the specific procedure.

3.2. Optimizing the Parameters of VMD Decomposition Based on ASSA

Before using VMD for the decomposition of a state sequence, it is necessary to determine the number of decomposition modes K and the quadratic penalty factor α in advance. K determines the number of IMFs obtained from the decomposition. An excessively large K value can lead to mode mixing, while too small a K value can lead to insufficient decomposition and feature extraction. α determines the bandwidth of the IMFs.
To avoid the negative impact of subjective parameter selection methods and ensure the rationality of VMD parameter selection, the concept of energy concentration is introduced [32]. Energy concentration reflects the sparsity characteristics of a signal. The stronger the periodicity of the signal, the higher the energy concentration value. The average energy concentration represents the average periodicity of the set of decomposed IMFs. By using the IMFs set with the MAEC and the strongest periodicity, the accuracy of FASE can be effectively improved.
Therefore, the MAEC is taken as the objective function to optimize the VMD parameters, including the number of decomposition modes K and the quadratic penalty factor α. This optimization aims to efficiently extract the periodic characteristics of state changes and enhance the effectiveness of state sequence decomposition. The calculation formula for the energy concentration η of an IMF signal u with a length of m can be expressed as follows:
η = i = 1 n u i u m e a n 2 i = 1 n u i 2 ,
where ui represents the i-th sample value in the IMF signal and umean represents the mean of the IMF signal.
Energy concentration can be assessed by calculating the ratio of the sum of squared differences between each sample value and the mean of the IMF signal to the total energy. A higher energy concentration value indicates that the energy is more concentrated within a specific frequency range, while a lower value indicates less concentration.
The formula for the overall energy concentration of the modes is:
η o = j = 1 m w j η j ,
where ηo represents the overall energy concentration, ηj represents the energy concentration of the j-th IMF component, and wj is the corresponding weight coefficient.
By maximizing the average energy concentration, the VMD decomposition can produce mode components that are more representative and distinguishable of different frequency components and time-domain features in the original signal. This enables a better reflection of the components with different frequencies and time-domain features in the original signal, thereby improving the accuracy of state forecasting. Furthermore, the optimization model for VMD decomposition considering the MAEC can be formulated as follows:
max K , α J K , α = 1 K j = 1 K i = 1 n w j u i u m e a n 2 u i 2 s . t . K min K K max α min α α max ,
where K and α represent the number of decomposition modes and the quadratic penalty factor, respectively; max K , α   J K , α denotes the MAEC function; Kmin and Kmax are the minimum and maximum values for the number of decomposition modes, respectively; αmin and αmax are the minimum and maximum values for the quadratic penalty factor, respectively.
The standard salp swarm algorithm (SSA) is an intelligent swarm algorithm proposed by Mirjalili et al. in 2017. The SSA iterative process is divided into the following eight parts. For detailed calculations, see Appendix B.
(1)
Initialize the swarm: Randomly generate a certain number of salp individuals corresponding to the solutions, depending on the dimension and range of the problem.
(2)
Evaluate fitness: For each individual salp, apply its solution to the target function being optimized to calculate its fitness value, indicating the individual’s quality in the solution space.
(3)
Update positions: Based on the current positions and fitness values of the individuals, update their positions using a certain strategy. This may involve changing the positions, velocities, or directions of the individuals.
(4)
Update fitness: After updating the positions, recalculate the fitness values for each individual.
(5)
Swarm communication: Allow information exchange and sharing between salp individuals using a certain strategy. This may involve exchanging partial solution information or sharing fitness values.
(6)
Termination condition check: Check whether the termination conditions of the algorithm are satisfied, such as reaching the maximum number of iterations or reaching a certain fitness threshold.
(7)
Repeat steps 2 to 6 until the termination conditions are met.
(8)
Output the best solution: After the algorithm finishes running, based on the final fitness value and position information, output the solution with the optimal fitness as the final result.
The main idea of the adaptive mutation improved SSA algorithm (ASSA) is to introduce a crossover mutation from the differential evolution (DE) algorithm. The ASSA algorithm incorporates a mutation operator into the original SSA algorithm. Therefore, the ASSA algorithm enhances the diversity of the population, improves the global search capability of the original SSA algorithm, and prevents the original SSA algorithm from becoming stuck in local optima. The basic idea of the ASSA algorithm is to reset with a certain probability after each position update. The dynamic weight of the improved SSA algorithm (ASSA) can be described as follows:
σ = σ max σ max σ min × l l max 1 l ,
where σmax represents the maximum value of the weight, and σmin represents the minimum value of the weight. In the SSA model, the maximum weight is set as σmax = 1, and the minimum weight is set as σmin = 0.001. The formula for the position change in the improved leader is as follows:
X d 1 = σ F d + c 1 u b d l b d c 2 + l b d , c 3 0.5 σ F d c 1 u b d l b d c 2 + l b d , c 3 < 0.5 .
In this paper, the original state is decomposed based on Equations (A1) to (A4). The objective function in Equation (4), which is the MAEC of the state decomposition, is used as the fitness function in ASSA. The decomposition mode number K and the quadratic penalty factor α in Equation (7) are considered the parameter combination to be optimized in ASSA, i.e., the variables to be optimized. By using Equations (A5) to (A10), the optimization of VMD decomposition parameters for the state variables of the ADNs is performed according to Equation (7), resulting in the IMF set of the state variables of the ADNs with the MAEC.

4. Feature Dimensionality Reduction

The influence of weather and date features on DG power output and load power variation in ADNs varies significantly. In terms of weather features, changes in wind speed have a significant impact on wind turbine output, while an increase in temperature affects the power consumption of air conditioning loads. Regarding date features, mornings and evenings during holidays are peak periods for residential electricity demand, while in other time periods, load power may be relatively low. As a result, DG units may need to provide additional power during peak periods and appropriately reduce output in other periods to save energy and reduce costs. If only weather and date features are taken into account in the analysis of DG output or load demand, this will lead to a decrease in the accuracy of FASE.
Therefore, this paper proposes a multivariate maximum information coefficient based on Schmidt orthogonalization (OMVRapidMIC) for analyzing the correlation between multiple variables, aiming to reduce the complexity of input features. A three-variable dataset 𝐷 = {(G, L), H} is defined, with H as the regional weather feature variable (or calendar rule variable), G as the state variable of DG nodes in the ADNs, and L as the state variable of load buses in the ADNs. The weather feature variable H is assigned to the X-axis, while DG bus state variables and load bus state variables {G, L} are assigned to the Y-axis. The X and Y axes are divided into grids, in which each grid represents a subset of data points. The ratio of the number of points falling into the corresponding grid to the total number of points is defined as the approximate probability density of that grid, thereby obtaining the mutual information 𝐼(G, L; H) between the weather feature variable H and the DG bus state L1 and load bus state L2. Subsequently, normalization is performed to obtain MVRapidMIC between H and {G, L} are calculated under dataset D. The specific steps for calculating MVRapidMIC are as follows:
(1)
For a given three-variable dataset 𝐷 and positive integers r and s, where r, s ≥ 2, 𝐷 = {(G, L), H}, when the regional weather feature variable H, DG bus state variables, and load bus state variables {G, L} are divided into r and s blocks, respectively, the mutual information between them can be calculated as follows:
I D , r , s , { G , L } , H = i = 1 r j = 1 s P ( i j ) log 2 P ( i j ) P ind ( i ) P d ( j ) ,
where Pind(i) represents the marginal probability density of the regional weather feature variable H divided into r grids, Pd(j) represents the marginal probability density of the DG bus state variables and load bus state variables {G, L} divided into s grids, and P(ij) represents the joint probability density of the dataset 𝐷 divided into r × s grids.
(2)
The MVRapidMIC between the regional weather feature variable H and DG bus state variables and the load bus state variables {G, L} is provided by:
MVRapidMIC { G , L } ; H = max r , s < B I D , r , s , { G , L } , H log 2 min r , s ,
where I(D, r, s, {G, L};H) represents the mutual information between the regional weather feature variable H and DG bus state variables and the load bus state variables {G, L}. log2(min{r, s}) is the normalization factor, and B(n) is the maximum number of grid partitions, where r, s < B(n).
(3)
Let H = {h1, h2, h3,..., hn} be the set of regional weather feature variables, and the target variables be G and L. Let Hγ = {h1, h2, h3,..., hγ} be the selected variable set after choosing γ variables, and hγ + 1 be the (γ + 1)-th variable candidate, where 2 ≤ γ + 1 ≤ n. The importance score of OMVRapidMIC is defined as:
O MVRapidMIC h γ + 1 , H γ = M VRapidMIC G SO h γ + 1 , H γ , { G , L } ,
where MVRapidMIC(GSO(hγ + 1, Hγ), {G, L}) calculates the multivariate RapidMIC value between the independent feature information of hγ + 1 with respect to the selected variable set Hγ and the target variables {G, L}. GSO(hγ + 1, Hγ) represents the Gram–Schmidt orthogonalization quantity of the candidate variable hγ + 1 relative to the selected variable set Hγ. Using the Gram–Schmidt orthogonalization method, irrelevant and redundant variables are effectively eliminated, ensuring that they do not contribute to the OMVRapidMIC scoring system. The calculation of GSO(hγ + 1, ) is provided by:
V 1 = H 1 = arg max h H M VRapidMIC h , { G , L } ,
V γ + 1 = h γ + 1 h γ + 1 , V 1 V 1 , V 1 V 1 h γ + 1 , V γ V γ , V γ V γ ,
G SO h γ + 1 , H γ = V γ + 1 V γ + 1 .
The “argmax(.)” in (13) represents the variable that corresponds to the maximum function value, i.e., the variable with the highest OMVRapidMIC value, which will be selected as the first variable. In (15), ‖Vγ + 1‖ represents the norm of the vector.
Then, the set Hγ after k variable selections is defined as follows:
H γ = arg max h H H γ 1 O MVRapidMIC h , H γ 1 .
After selecting all variables, the variable importance ranking can be obtained by placing the variables in the set in the order in which they were selected, considering the correlation and eliminating irrelevant redundancy.
Based on (10) to (16), the OMVRapidMIC values between state and calendar rules, weather conditions, and ADNs state data are calculated. Features with OMVRapidMIC values greater than 0.51 are retained from the calendar and weather features, while the remaining features are filtered out and removed.

5. Optimal ERT Ensemble FASE Method Based on MAEC VMD State Decomposition

5.1. Optimal ERT Ensemble State Forecasting Based on ASSA

ADNs features are diverse, and data information is complex. However, a single prediction model method has limitations on fitting performance and prediction accuracy and cannot exhibit satisfactory fitting performance in all state sample sets. Ensemble learning is a machine learning method that draws on the strengths of multiple models by training multiple base learners and combining their predictions to obtain a strong learner model. The ERT-based ensemble learning method consists of many decision trees. The branching feature attributes in the ERT algorithm are randomly selected, not obtained within subsets, thus avoiding overfitting. Moreover, each decision tree in the ERT algorithm uses all the data samples in the training set, enabling the efficient construction of a strong learner model through parallel training processes.
Therefore, this paper adopts an ensemble learning method based on ERT for ADNs state prediction. For mode components with significant periodic patterns, the LSTNet algorithm with strong time series modeling capabilities is chosen. For mode components with significant randomness, the Transformer algorithm is chosen because it is suitable for exploring nonlinear relationships in random state sequences. For mode components with significant seasonality, the Prophet algorithm is used because it can better capture seasonal patterns and trends. For mode components with significant trends, the XGBoost algorithm is chosen because it can capture complex trend changes and make more accurate predictions. After determining these four types of machine learning algorithms as base learners, a bootstrapping method is used to obtain differentiated training set samples and train base learners. The final strong learner prediction model is obtained by combining the base learners. This study proposes the idea of optimal ERT ensemble and based on RMSE and MAE, constructs a model for optimizing ensemble weights of base learners. Optimization is performed using the ASSA algorithm to obtain the optimal ensemble weighting strategy and final prediction results among the base learners. This method makes full use of the performance differences and complementary abilities among the base learners and can obtain the optimal ensemble strong learner model through simple optimization for different datasets, outperforming traditional average ensemble methods in terms of ensemble performance. The model for optimizing the ensemble weights of base learners based on RMSE and MAE performance metrics can be expressed as:
min J = e RMSE ϖ 1 , ϖ 2 , ϖ 3 , ϖ 4 + e MAE ϖ 1 , ϖ 2 , ϖ 3 , ϖ 4 s . t .   i = 1 4 ϖ i = 1 ,   0 ϖ i e RMSE = 1 N s i = 1 N s ϖ 1 v LSTNet , i + ϖ 2 v Transformer , i + ϖ 3 v XGBoost , i + ϖ 4 v Prophet , i v real , i 2 e MAE = 1 N s i = 1 N s ϖ 1 v LSTNet , i + ϖ 2 v Transformer , i + ϖ 3 v XGBoost , i + ϖ 4 v Prophet , i v real , i ,
where eRMSE and eMAE represent the root mean square error and mean absolute percentage error of the ensemble prediction, respectively. Smaller values of eRMSE and eMAE indicate better state prediction performance, and both values range from [0, 1]. ϖ1, ϖ2, ϖ3, and ϖ4 are the ensemble weights of the LSTNet, Transformer, XGBoost, and Prophet base learners, respectively. Ns represents the number of samples. vLSTNet,i, vTransformer,i, vXGBoost,i, and vProphet,i are the predicted values of the i-th state sample by LSTNet, Transformer, XGBoost, and Prophet base learners, respectively. vreal,i represents the true value of the i-th state sample.
To solve the ensemble weight optimization model in Equation (17) for the state ensemble prediction model in the ADNs, Equations (A5) to (A10) are used to obtain the optimal ensemble strategy for the state ensemble prediction model in the ADNs. This results in the optimal state prediction method of the ERT ensemble for the ADNs.

5.2. Overall FASE Method

Considering the insufficient theoretical basis of FASE state decomposition in ADNs and the underutilization of differentiated performance among ensemble prediction models, an optimal ERT ensemble short-term FASE method considering MAEC state decomposition is proposed. The specific framework is shown in Figure 1 and can be divided into four modules.
Module 1: Construct the optimization model for VMD decomposition parameters based on MAEC. Solve the optimization problem using the ASSA algorithm in Module 2 to obtain the optimal number of decomposition modes K and the quadratic penalty factor α for the VMD decomposition of the ADNs state. Then, the decomposed dominant periodic state components (IMFs) and the residue are transferred to Module 4.
Module 2: In the nested relationship with Module 1, the ASSA algorithm in Module 2 is used to solve the VMD decomposition parameter optimization problem and obtain the optimal number of decomposition modes K and the quadratic penalty factor α. In the nested relationship with Module 4, the ASSA algorithm in Module 2 is used to solve the optimization problem for ensemble learning weights and obtain the optimal ensemble strategy for the base learners.
Module 3: Calculate OMVRapidMIC among calendar rules, weather features, and ADNs state data. For ADN state variables, retain highly correlated features from calendar rules and weather features, and filter out remaining features, including temperature, relative humidity, visibility, atmospheric pressure, wind speed, cloud coverage, wind direction, and precipitation intensity (eight categories). The calendar rules consider month, day, hour, week type, and holiday (five categories). Input feature sequences are defined in Table 1. Transfer the processed feature information to Module 4.
Module 4: The processed IMF states, residual components, calendar rules, weather features, and ADNs state data are combined to form the ADNs sample dataset. LSTNet, Transformer, XGBoost, and Prophet models are built as basic learning models for state prediction. Basic learning models are trained using the bootstrap sampling method. A weighted optimization model for integrating basic learning models is constructed based on RMSE and MAE and is solved using the ASSA algorithm from Module 2. This yields the optimal ensemble strategy and the ensemble strong learner model. Finally, the prediction results are obtained, and combined with the measurement values, the state estimation is performed using CPF.

6. Simulated Examples

To validate the superiority of the proposed algorithm in large-scale power systems, simulation tests are conducted based on the IEEE 118-bus system, as shown in Figure 2. The load data are obtained from a real-world household electricity dataset provided by the Massachusetts Institute of Technology (MIT). Specifically, it covers the period from 1 January 2016, 00:00, to 14 December 2016, 23:00, with a time granularity of 15 min [33]. The load data are multiplied by the reference load values of each load node and the multi-section power flow true values are obtained based on power flow calculation methods. Gaussian white noise is added to the true power flow values to generate historical multi-section measurement data, forming a historical measurement database. Weather data are derived from the publicly available local meteorological information on the website of the National Renewable Energy Laboratory (NREL) in the United States [34]. The computer processor used for training is an Intel Core i7-10800 CPU @ 3.2GHz, Nvidia GeForce GTX 1650ti (4 GB) (Santa Clara, CA, USA), and the memory is 16 GB.
To ensure full coverage of monthly feature information in training samples and improve the fitting performance of the prediction model, the monthly data are divided into training, validation, and testing sets in a 7:2:1 ratio, which are combined to form the annual training, validation, and testing sets. The 7:2:1 splitting ratio is adopted to maintain a reasonable sample distribution among the training, validation, and test sets, ensuring scientific rigor and effectiveness:
  • Training set (70%): The training set constitutes 70% of the total data and is used for model training. A larger training set helps the model learn data features and patterns, improving its fitting performance.
  • Validation set (20%): The validation set accounts for 20% of the total data and is utilized for model tuning and performance validation. Different parameter tests and selections are performed on the validation set to optimize the model’s hyperparameters, prevent overfitting, and enhance its generalization ability.
  • Test set (10%): The test set represents 10% of the total data and is employed to assess the model’s final performance. The model’s performance on the test set provides an objective evaluation of its predictive efficacy in real-world scenarios, thereby validating the model’s accuracy and reliability.
The first half of the validation set is used for hyperparameter optimization of the prediction model, while the second half is used for ensemble weight optimization. The proposed prediction methods are validated using a rolling prediction approach with a 15-minute prediction step, resulting in a total of 33,504 data samples available for simulation. Input features of the proposed state forecasting model include the state IMF set, calendar rules, and meteorological features, as detailed in Appendix C.

6.1. Data Preprocessing

The presence of outliers in the original ADNs state data can significantly affect the accuracy of state estimation. Therefore, the random forest algorithm is used to identify and remove the outlier data, and the missing values are filled out using the average value of neighboring samples.
Random forest consists of multiple decision trees, each based on different data subsets and feature subsets. For each sample data, a prediction is made in the random forest model, resulting in an anomaly score for that sample. The anomaly score reflects the sample’s abnormality relative to other samples. Typically, the anomaly score can be obtained by calculating the average path length or the standardized average path length of the sample across all decision trees. Based on the distribution of anomaly scores, an anomaly threshold can be set to determine anomalies. Samples with scores exceeding this threshold are considered anomalies. For new samples, anomaly detection is performed using the set threshold. If the anomaly score of a new sample exceeds the threshold, it is labeled as an anomaly. Specifically, let Y be a sample in the dataset and RF be the random forest model comprising κ decision trees, the anomaly score (AS) Y of the sample can be calculated as follows:
A S Y = 1 / κ R L Y , R F κ ,
where RL(Y, RFκ) represents the path length of sample Y in the κ-th decision tree RFκ. The higher the anomaly score, the more abnormal the sample is. In this paper, 200 decision trees are set, and the subsample size is 512. For the identified measurement anomalies, a simple voting process is conducted, and they are sorted. The replacement is carried out using pseudo measurements generated by the predictive model.
To avoid the adverse effects of dimensional differences between input features on model training, the Z-Score algorithm is applied to normalize the model input features uniformly.

6.2. Feature Dimensionality Reduction

Massachusetts has a warm summer and cold winter with evenly distributed precipitation, belonging to a temperate continental climate. According to Table 2, it can be observed that the ADNs state variables are highly correlated with features such as temperature, visibility, wind speed, cloud cover, and precipitation in the meteorological environment. In addition, the ADNs state variables are highly correlated with features such as months, hours, and holidays in calendar rules. These results are consistent with the actual climate conditions and geographic location of Massachusetts, validating the rationality and effectiveness of the proposed OMVRapidMIC feature dimensionality reduction method.

6.3. Comparison of Model Parameter Settings and Evaluation Metrics

To thoroughly validate the performance of the proposed method for FASE in ADNs, we conducted comparative experiments. In terms of state prediction models, we compared LSTNet, Transformer, XGBoost, Prophet, and the average ensemble prediction model. For the state decomposition methods, we compared no decomposition, traditional VMD decomposition, EMD decomposition, and CEEMDAN decomposition. In terms of overall estimation models, we compared traditional FASE models such as Holt’s and deep neural networks (DNN). We verified the accuracy, applicability, and effectiveness of the proposed method from the perspectives of prediction models, decomposition methods, and estimation models. The parameters for each comparison model can be found in Appendix D.

6.4. Comparison of Model Parameter Settings and Evaluation Metrics

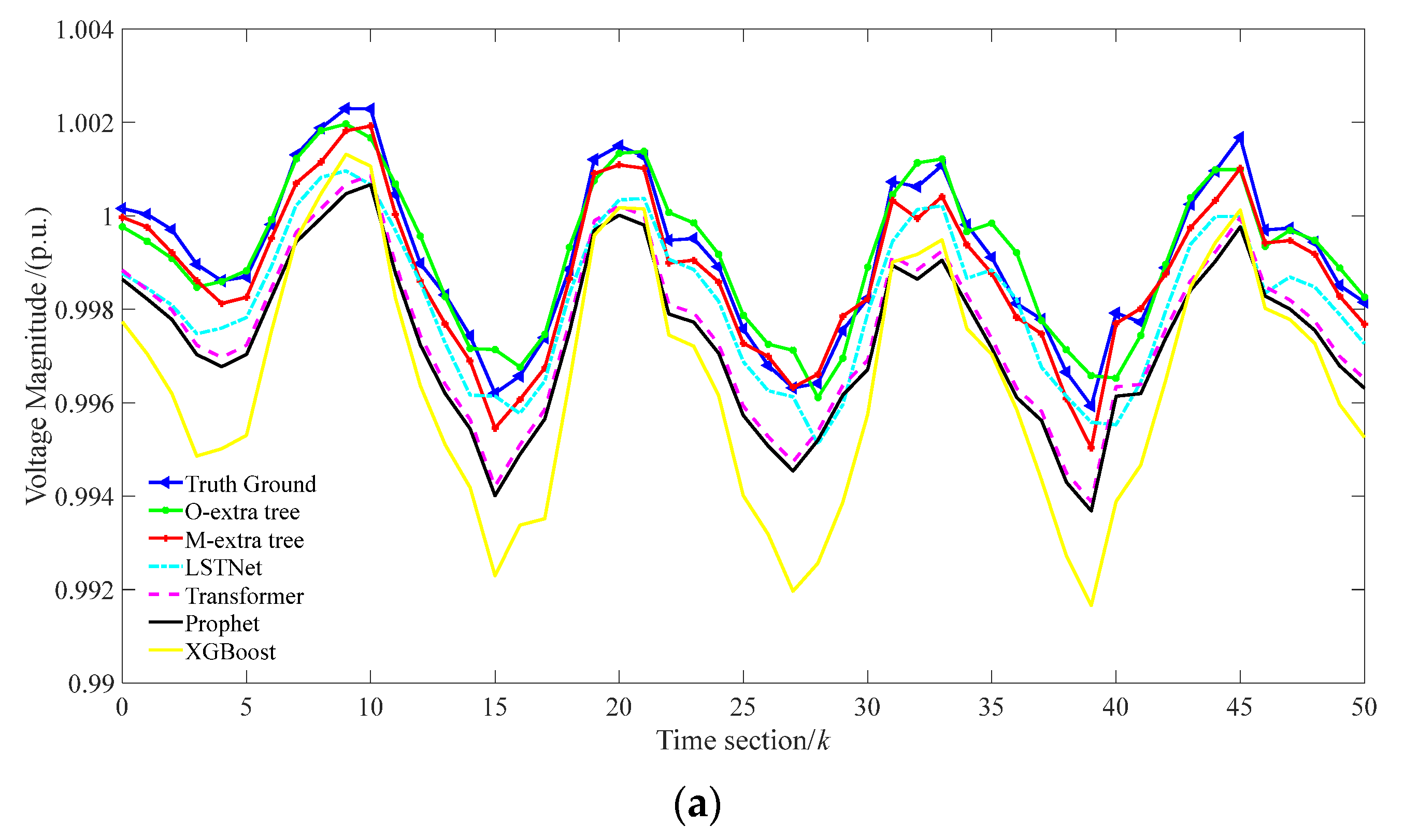
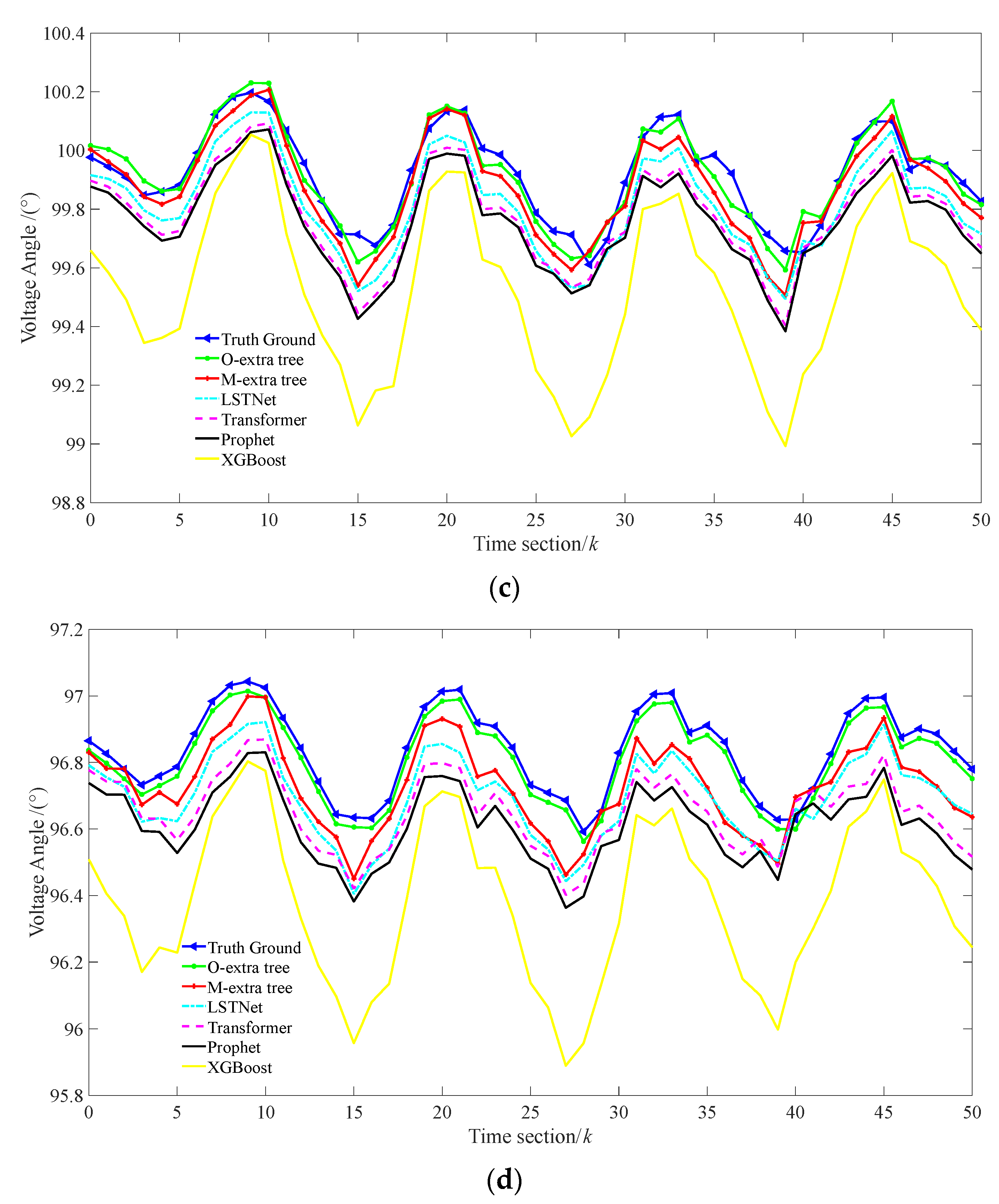
To validate the accuracy of the proposed optimal extreme random tree ensemble prediction model, we selected samples from the test set for comparative analysis with different prediction models. The average ensemble prediction model is denoted as an M-extra tree, while the proposed optimal ensemble prediction model is denoted as an O-extra tree. Figure 3 shows the comparison of voltage magnitude prediction results for test sets in March, June, September, and December 2016. Voltage phase prediction results for test sets in March, June, September, and December 2016 can be found in Appendix E. Evaluation metrics for year-round test set prediction and representative seasonal test set prediction results are provided in Table 3 and Appendix E, respectively.
Compared with the four individual prediction models, XGBoost, Prophet, Transformer, and LSTNet, the proposed optimal ensemble prediction model optimizes and adjusts the ensemble weights of each individual model based on evaluation metrics, achieving the optimal combination of individual models. This approach effectively avoids the problem of insufficient fitting performance of individual models and further improves prediction accuracy. As shown in Figure 3, in the voltage magnitude prediction of test sets for four different months, the predictions of the three individual models are similar, while the optimal ensemble prediction model fully exploits the potential of ensemble integration among the individual models, resulting in superior prediction results. According to Appendix E Table A3, the proposed optimal ensemble forecasting model achieves MAE values of 9.1078 × 10−5, 1.7872 × 10−4, 9.3772 × 10−5, and 1.8911 × 10−4 in voltage magnitude forecasting for March, June, September, and December, respectively. In voltage phase forecasting, the MAE values are 3.5369 × 10−3, 3.7371 × 10−3, 3.6911 × 10−3, and 3.7017 × 10−3, lower than any individual forecasting model. Moreover, the RMSE values in voltage magnitude and phase prediction for March, June, September, and December are also the smallest, validating the effectiveness and accuracy of the proposed optimal ensemble prediction model compared to individual models.
Compared with the average ensemble prediction model, the proposed optimal ensemble prediction model has a more flexible weighting scheme, avoiding the adverse effects of poor performance of individual models on the ensemble prediction model. As shown in Figure 3, in voltage magnitude forecasting, the predictions of the XGBoost and Prophet models deviate significantly from the true values, while the predictions of the Transformer and LSTNet models are closer to the true values, with MAE values of 2.6661 × 10−3, 1.9451 × 10−3, 1.7239 × 10−3, and 1.0920 × 10−3, respectively. The traditional average ensemble forecasting model assigns equal weights to the four models, resulting in the overall forecasting performance being heavily influenced by the XGBoost and Prophet models, with MAE and RMSE values of 4.7705 × 10−4 and 5.7173 × 10−4, respectively. On the other hand, the proposed optimal ensemble forecasting model effectively mitigates the adverse effects caused by the poor performance of the XGBoost and Prophet models, yielding MAE and RMSE values of 9.5620 × 10−5 and 1.4902 × 10−4, respectively. The MAE value is reduced by 79.9559%, and the RMSE value is reduced by 73.9352% compared to the average ensemble prediction model, further confirming the effectiveness and accuracy of the proposed optimal ensemble prediction model compared to the average ensemble prediction model.

6.5. Comparison with Different State Decomposition Methods

Optimizing the number of decomposition modes and the quadratic penalty factor of VMD using ASSA with the objective of maximizing the MAEC, the VMD decomposition parameters for voltage magnitude are [K = 8, α = 1500], and for voltage phase are [K = 8, α = 1240]. The corresponding maximum average energy concentrations are 0.8691 and 0.7438, respectively. The detailed decomposition results for both states are provided in Appendix F.
For comparison, the state decomposition methods considered include no decomposition, traditional VMD decomposition, EMD decomposition, and CEEMDAN decomposition. The corresponding evaluation metrics for the forecast results are shown in Table 4.
Due to the problem of mode mixing in the EMD decomposition method, the state change features cannot be well extracted. In addition, compared to the non-decomposition approach, the EMD decomposition method introduces more complexity in the input features for the corresponding prediction model, making the model fitting more challenging. As shown in Table 4, the EMD method has higher MAE and RMSE values in state prediction than the non-decomposition approach. Although the non-decomposition approach avoids the mode mixing problem of the EMD method, the limited input features prevent the prediction model from effectively capturing randomness and fluctuations in the original load signal. Therefore, the performance of the non-decomposition approach is limited and only outperforms the prediction model corresponding to the EMD method.
As an improvement over the EMD method, the CEEMDAN method effectively reduces the mode mixing phenomenon by adding matched positive and negative Gaussian white noise. Thus, compared to the non-decomposition approach, the CEEMDAN method achieves better forecasting performance. In state forecasting, the combined CEEMDAN method with the O-extra tree yields MAE and RMSE values of 9.7525 × 10−5 and 1.6113 × 10−4, respectively, which are very close to the MAE and RMSE values of the proposed state decomposition method.
However, based on the VMD state decomposition method considering the maximum average energy concentration, when combined with different prediction models, it achieves better prediction performance than the other four state decomposition methods, validating the applicability of the proposed state decomposition method.

6.6. Comparisons with Other Forecasting-Assisted State Estimation Methods

To validate the effectiveness of the proposed FASE method, a comparative analysis is conducted with other FASE methods. The results are shown in Figure 4 and Table 5.
Based on Figure 4 and Table 5, it can be observed that the proposed method achieves the highest estimation accuracy, with evaluation metrics one order of magnitude lower than other algorithms. This is because the proposed method incorporates the consideration of maximum average energy concentration in state decomposition and model ensemble prediction, which allows better handling of data complexity and uncertainty, thus improving the accuracy and stability of state estimation.

7. Conclusions and Future Works

Considering the limitations of VMD state decomposition theory and the underutilization of differentiated performance among ensemble prediction models, a novel optimal ERT ensemble-based FASE method is proposed, taking into account the maximum average energy concentration for state decomposition. Simulation analysis was performed on the IEEE 118 standard distribution system. The analysis was based on a residential electricity dataset provided by MIT. The main conclusions are as follows:
(1)
Among the various comparisons of forecasting models, the proposed optimal ensemble forecasting model effectively utilizes the coordinated, complementary capabilities of individual models. The state forecasting MAE and RMSE metrics are 9.5620 × 10−5 and 1.4902 × 10−4, respectively, showing lower error and higher accuracy compared to other forecasting models.
(2)
Compared with other state decomposition methods, the proposed VMD state decomposition method, which considers the maximum average energy concentration, effectively captures periodic characteristics of state variations, resulting in higher accuracy in the corresponding prediction models. This result validates the effectiveness of the proposed VMD state decomposition method. Moreover, the proposed optimal ensemble prediction model combined with various state decomposition methods shows superior performance, further confirming the applicability of the proposed optimal ensemble prediction model.
(3)
Compared with other traditional FASE methods, the proposed method significantly enhances the accuracy of state estimation; MAE and RMSE metrics show a reduction of 25.4327% and 24.0112%, respectively. This paper validates the rationality and effectiveness of the proposed FASE method.
However, it is important to note that this study only considers the three-phase balanced scenario in ADNs. How to apply the proposed model and method to actual three-phase unbalanced ADNs is the focus of our future research.

Author Contributions

Data curation, J.G.; Writing—original draft, Y.Y.; Supervision, Z.J. All authors have read and agreed to the published version of the manuscript.

Funding

Project Supported by the National Natural Science Foundation of China [51907106].

Data Availability Statement

Data available on request due to restrictions eg privacy or ethical.

Conflicts of Interest

The authors declare no conflict of interest.

Appendix A

The VMD algorithm is effective in extracting feature information from nonlinear and non-stationary signals. The algorithm consists of two main parts: the construction and solution of the variational problem. The principle is to decompose the signal into k components while ensuring that the sum of the bandwidths of the modal components is minimized.
First, the signal undergoes Hilbert transform to obtain the analytic signal of each mode function uk(t), where the one-sided spectrum is provided by:
δ t + j π t u k t .
Next, an exponential term is added to correct the estimated center frequency of each mode function, modulating its spectrum to a fundamental bandwidth of:
δ t + j π t u k t e j ω k t .
By calculating the square of the gradient of the demodulated signal, the L2 norm, the estimated fundamental bandwidth of each mode function can be obtained. This information is used to construct the constrained variational problem, which is formulated as follows:
min u k , ω k k t δ t + j π t u k t e j ω k t 2 s . t .   k u k = f ,
where {uk} = {u1, u2,…, uk} represents the set of modal components, and {ωk} = {ω1, ω2,..., ωk} represents the set of center frequencies of the modal components.
To transform the constrained problem into an unconstrained one for ease of computation, a quadratic penalty term and a Lagrange multiplier operator are introduced. Substituting the optimal solution of the model into the calculation yields the following result:
L u k , ω k , λ = α k t δ t + j π t u k t e j ω k t 2 2 + f t k u k t 2 2 + λ t , f t k u k t ,
where α is the quadratic penalty factor, and λ(t) is the Lagrange penalty operator.

Appendix B

By using the alternating direction method, the updates for u k n + 1 , ω k n + 1 , and λn + 1 can be obtained, which represent the “saddle point” of the equations. The specific steps of the algorithm are as follows:
(1)
Initialize u k 1 , ω k 1 , λ 1 , and n.
(2)
Update uk and ωk based on Equations (A5) and (A6):
u k n + 1 ω = f ω i k u i ω + λ ω 2 1 + 2 α ω ω k 2 ,
ω k n + 1 = 0 ω u k ω 2 d ω 0 u k ω 2 d ω .
(3)
Update λ according to the following equation:
λ n + 1 ω λ n ω + τ f ω k u k n + 1 ω .
(4)
Set a tolerance threshold ε > 0. If the k u k n + 1 u k n 2 2 / u k n 2 2 < ε is satisfied, the algorithm stops; otherwise, return to step (2) for further computations.
During the calculation and search process, the positions of leaders and followers in the SSA swarm are continuously changing. This can be mathematically represented by a model, such as Equation (A8).
X d 1 = F d + c 1 u b d l b d c 2 + l b d , c 3 0.5 F d c 1 u b d l b d c 2 + l b d , c 3 < 0.5 ,
where X d 1 represents the first position in the d-th dimension of the chain. Fd represents the food position in the d-th dimension. ubd represents the upper bound of the search space. lbd represents the lower bound of the search space. c1 and c2 are arbitrary numbers in the range [0, 1]. In (A8), c1, c2, and c3 are control coefficients for the positions of the leader and the followers. c1 is a random convergence factor that can be expressed as:
c 1 = 2 e 4 l l max 2 ,
where l represents the current iteration number, and lmax represents the maximum number of iterations.
According to Newton’s laws of motion, the changes in the positions of the leader and the followers can be represented by (A10).
X d m = 1 2 X d m + X d m 1 , m 2 ,
where X d m represents the updated position in the d-th dimension, and X d m represents the previous position in the d-th dimension.
By continuously calculating and updating the fitness values of the algorithm, the positions of the leader and followers in the swarm can be updated until the initial optimum conditions are met, or the optimum values of all fitness values are achieved.

Appendix C

Figure A1. Voltage magnitude data for the entire year of 2016.
Figure A1. Voltage magnitude data for the entire year of 2016.
Energies 16 05659 g0a1
Figure A2. Voltage phase data for the entire year of 2016.
Figure A2. Voltage phase data for the entire year of 2016.
Energies 16 05659 g0a2
Table A1. Type of state prediction.
Table A1. Type of state prediction.
Prediction State TypeInput FeaturesFeature ID
Voltage MagnitudeVoltage magnitude IMF set and residual of the previous 1 hour1–7
Temperature, visibility, wind speed, cloud cover, and precipitation8–12
Month, hour, and holidays13–15
Voltage PhaseVoltage phase IMF set and residual of the previous 1 hour1–7
Temperature, visibility, wind speed, cloud cover, and precipitation8–12
Month, hour, and holidays13–15

Appendix D

Table A2. Parameters setting of different forecast models.
Table A2. Parameters setting of different forecast models.
Prediction ModelParameter NameParameter Value
LSTNetn_predictions30
skip5
highway_window3
dropout0.2
lstm_batch_size64
verbose1
epochs300
Learning Rate0.1
Transformerfeature_size7
num_layers5
dropout0.3
Learning Rate0.1
dropout0.2
epochs300
Prophetchangepoint_prior_scale0.05
seasonality_modeadditive
seasonality_prior_scale10
changepoint_range0.8
yearly_seasonalityTrue
weekly_seasonalityTrue
daily_seasonalityTrue
XGBoostn_estimators100
max_depth6
learning_rate0.1
subsample0.95
colsample_bytree1
reg_alpha0
reg_lambda1

Appendix E

Figure A3. The voltage phase forecasting results for the seasonal representative test set of the ADNs. (a) The voltage phase forecasting chart for March 2016. (b) The voltage phase forecasting chart for June 2016. (c) The voltage phase forecasting chart for September 2016. (d) The voltage phase forecasting chart for December 2016.
Figure A3. The voltage phase forecasting results for the seasonal representative test set of the ADNs. (a) The voltage phase forecasting chart for March 2016. (b) The voltage phase forecasting chart for June 2016. (c) The voltage phase forecasting chart for September 2016. (d) The voltage phase forecasting chart for December 2016.
Energies 16 05659 g0a3aEnergies 16 05659 g0a3b
Table A3. Evaluation indicators for forecasting results of representative seasonal test set in 2016.
Table A3. Evaluation indicators for forecasting results of representative seasonal test set in 2016.
Test SamplesForecasting ModelsVoltage Magnitude Forecasting Evaluation MetricsVoltage Phase Forecasting Evaluation Metrics
eMAEeRMSEeMAEeRMSE
MarchXGBoost2.6227 × 10−32.7854 × 10−32.6112 × 10−12.8645 × 10−1
Prophet1.7751 × 10−31.7906 × 10−31.4136 × 10−11.8106 × 10−1
Transformer1.5756 × 10−31.5932 × 10−31.0885 × 10−11.3849 × 10−1
LSTNet9.5601 × 10−49.8628 × 10−49.2718 × 10−29.5122 × 10−2
M-extra tree3.6911 × 10−44.4415 × 10−47.7164 × 10−38.1205 × 10−3
O-extra tree9.1078 × 10−59.5353 × 10−53.5369 × 10−34.7803 × 10−3
JuneXGBoost2.8257 × 10−33.0127 × 10−32.8997 × 10−13.1376 × 10−1
Prophet2.0785 × 10−32.1849 × 10−32.0026 × 10−12.3797 × 10−1
Transformer1.8012 × 10−31.8963 × 10−31.5121 × 10−11.8511 × 10−1
LSTNet1.1864 × 10−31.3337 × 10−39.6826 × 10−29.9436 × 10−2
M-extra tree5.3796 × 10−46.7138 × 10−48.7252 × 10−39.1921 × 10−3
O-extra tree1.7872 × 10−41.9622 × 10−43.7371 × 10−35.0167 × 10−3
SeptemberXGBoost2.4979 × 10−32.5622 × 10−32.7738 × 10−12.9514 × 10−1
Prophet1.7909 × 10−31.8096 × 10−31.6156 × 10−11.9178 × 10−1
Transformer1.6277 × 10−31.6451 × 10−31.2613 × 10−11.5678 × 10−1
LSTNet9.6443 × 10−49.9831 × 10−49.3264 × 10−29.6719 × 10−2
M-extra tree4.2003 × 10−45.2364 × 10−48.1572 × 10−38.5926 × 10−3
O-extra tree9.3772 × 10−59.7168 × 10−53.6911 × 10−34.7354 × 10−3
DecemberXGBoost2.7183 × 10−32.9069 × 10−32.8145 × 10−13.0152 × 10−1
Prophet2.1357 × 10−32.2449 × 10−31.9935 × 10−12.2706 × 10−1
Transformer1.8437 × 10−31.9568 × 10−31.4383 × 10−11.7069 × 10−1
LSTNet1.2613 × 10−31.3468 × 10−39.5217 × 10−29.7083 × 10−2
M-extra tree5.8110 × 10−46.4775 × 10−48.6647 × 10−39.0736 × 10−3
O-extra tree1.8911 × 10−42.0735 × 10−43.7017 × 10−34.9934 × 10−3

Appendix F

Figure A4. ADNs state decomposition results of the proposed method. (a) Voltage magnitude decomposition results of the proposed method. (b) Voltage phase decomposition results of the proposed method.
Figure A4. ADNs state decomposition results of the proposed method. (a) Voltage magnitude decomposition results of the proposed method. (b) Voltage phase decomposition results of the proposed method.
Energies 16 05659 g0a4

References

  1. Schweppe, F.C.; Wildes, J. Power System Static-State Estimation, Part I: Exact Model. IEEE Trans. Power Appar. Syst. 1970, 1, 120–125. [Google Scholar] [CrossRef]
  2. Vijayan, V.; Mohapatra, A.; Singh, S.N.; Dewangan, C.L. An Efficient Modular Optimization Scheme for Unbalanced Active Distribution Networks with Uncertain EV and PV Penetrations. IEEE Trans. Smart Grid 2023. [Google Scholar] [CrossRef]
  3. Do Coutto Filho, M.B.; de Souza, J.C.S. Forecasting-Aided State Estimation-Part I: Panorama. IEEE Trans. Power Syst. 2009, 24, 1667–1677. [Google Scholar] [CrossRef]
  4. Muscas, C.; Pegoraro, P.A.; Sulis, S.; Tuveri, F.; Fiori, F.; Monti, A. New Kalman Filter Approach Exploiting Frequency Knowledge for Accurate PMU-Based Power System State Estimation. IEEE Trans. Instrum. Meas. 2020, 69, 6713–6722. [Google Scholar] [CrossRef]
  5. Zhao, J.; Mili, L. A Theoretical Framework of Robust H-Infinity Unscented Kalman Filter and Its Application to Power System Dynamic State Estimation. IEEE Trans. Signal Process. 2019, 67, 2734–2746. [Google Scholar] [CrossRef]
  6. Zhao, J.; Gómez-Expósito, A.; Netto, M.; Mili, L.; Abur, A.; Terzija, V.; Kamwa, I.; Pal, B.; Singh, A.K.; Qi, J.; et al. Power System Dynamic State Estimation: Motivations, Definitions, Methodologies, and Future Work. IEEE Trans. Power Syst. 2019, 34, 3188–3198. [Google Scholar] [CrossRef]
  7. Wang, D.; Yang, F.; Tsui, K.L.; Zhou, Q.; Bae, S.J. Remaining Useful Life Forecasting of Lithium-Ion Batteries Based on Spherical Cubature Particle Filter. IEEE Trans. Instrum. Meas. 2016, 65, 1282–1291. [Google Scholar] [CrossRef]
  8. Ahmed, A.; McFadden, F.J.S.; Rayudu, R. Weather-Dependent Power Flow Algorithm for Accurate Power System Analysis Under Variable Weather Conditions. IEEE Trans. Power Syst. 2019, 34, 2719–2729. [Google Scholar] [CrossRef]
  9. Lv, L.; Wu, Z.; Zhang, J.; Zhang, L.; Tan, Z.; Tian, Z. A VMD and LSTM Based Hybrid Model of Load Forecasting for Power Grid Security. IEEE Trans. Ind. Inform. 2021, 18, 6474–6482. [Google Scholar] [CrossRef]
  10. Liu, S.; Zhao, Y.; Lin, Z.; Liu, Y.; Ding, Y.; Yang, L.; Yi, S. Data-Driven Event Detection of Power Systems Based on Unequal-Interval Reduction of PMU Data and Local Outlier Factor. IEEE Trans. Smart Grid. 2019, 11, 1630–1643. [Google Scholar] [CrossRef]
  11. Khelifi, R.; Guermoui, M.; Rabehi, A.; Taallah, A.; Zoukel, A.; Ghoneim, S.S.M.; Bajaj, M.; AboRas, K.M.; Zaitsev, I. Short-Term PV Power Forecasting Using a Hybrid TVF-EMD-ELM Strategy. Int. Trans. Electr. Energy Syst. 2023, 2023, 6413716. [Google Scholar] [CrossRef]
  12. Li, K.; Huang, W.; Hu, G.; Li, J. Ultra-Short-Term Power Load Forecasting Based on CEEMDAN-SE and LSTM Neural Network. Energy Build. 2023, 279, 112666. [Google Scholar] [CrossRef]
  13. Gao, X.; Guo, W.; Mei, C.; Sha, J.; Guo, Y.; Sun, H. Short-Term Wind Power Forecasting Based on SSA-VMD-LSTM. Energy Rep. 2023, 9, 335–344. [Google Scholar] [CrossRef]
  14. Wang, S.; Wang, J.; Lu, H.; Zhao, W. A Novel Combined Model for Wind Speed Forecasting–Combination of Linear Model, Shallow Neural Networks, and Deep Learning Approaches. Energy 2021, 234, 121275. [Google Scholar] [CrossRef]
  15. Wang, H.; Lei, D.; Wu, F. Combined Forecasting of Ship Heave Motion Based on Induced Ordered Weighted Averaging Operator. IEEJ Trans. Electr. Electron. Eng. 2023, 18, 58–64. [Google Scholar] [CrossRef]
  16. Cheng, W.; Zhou, Y.; Guo, Y.; Hui, Z.; Cheng, W. Research on Forecasting Method Based on ARIMA-BP Combination Model. In Proceedings of the 2019 3rd International Conference on Electronic Information Technology and Computer Engineering (EITCE), Xiamen, China, 18–20 October 2019; pp. 663–666. [Google Scholar]
  17. You, Y.; Sun, J.; Chen, Y.W.; Niu, C.; Jiang, J. Ensemble Belief Rule-Based Model for Complex System Classification and Forecasting. Expert Syst. Appl. 2021, 164, 113952. [Google Scholar] [CrossRef]
  18. Yu, J.; Weng, Y.; Rajagopal, R. Robust Mapping Rule Estimation for Power Flow Analysis in Distribution Grids. In Proceedings of the 2017 North American Power Symposium (NAPS), Morgantown, WV, USA, 17–19 September 2017; pp. 1–6. [Google Scholar]
  19. Abdel-Majeed, A.; Kattmann, C.; Tenbohlen, S.; Saur, R. Usage of Artificial Neural Networks for Pseudo Measurement Modeling in Low Voltage Distribution Systems. In Proceedings of the 2014 IEEE PES General Meeting | Conference & Exposition, National Harbor, MD, USA, 27–31 July 2014; pp. 1–5. [Google Scholar]
  20. Jiang, F.; Lin, Z.; Wang, W.; Wang, X.; Xi, Z.; Guo, Q. Optimal Bagging Ensemble Short-Term Multivariate Load Forecasting Considering Minimum Mean Envelope Entropy Load Decomposition. Proc. Chin. Soc. Electr. Eng. 2023, 1–17. [Google Scholar] [CrossRef]
  21. Xie, S.; Xue, Y.; Zhu, Y.; Wang, Z. Cost-Effective MLaaS Federation: A Combinatorial Reinforcement Learning Approach. In Proceedings of the IEEE INFOCOM 2022-IEEE Conference on Computer Communications, London, UK, 2–5 May 2022; pp. 2078–2087. [Google Scholar]
  22. Deng, X.; Ye, A.; Zhong, J.; Xu, D.; Yang, W.; Song, Z.; Zhang, Z.; Guo, J.; Wang, T.; Tian, Y.; et al. Bagging-XGBoost Algorithm Based Extreme Weather Identification and Short-Term Load Forecasting Model. Energy Rep. 2022, 8, 8661–8674. [Google Scholar] [CrossRef]
  23. Khan, W.; Walker, S.; Zeiler, W. Improved Solar Photovoltaic Energy Generation Forecast Using Deep Learning-Based Ensemble Stacking Approach. Energy 2022, 240, 122812. [Google Scholar] [CrossRef]
  24. Alfian, G.; Syafrudin, M.; Fahrurrozi, I.; Fitriyani, N.L.; Atmaji, F.T.D.; Widodo, T.; Bahiyah, N.; Benes, F.; Rhee, J. Predicting Breast Cancer from Risk Factors Using SVM and Extra-Trees-Based Feature Selection Method. Computers 2022, 11, 136. [Google Scholar]
  25. Guo, Y.; Li, Y.; Qiao, X.; Zhang, Z.; Zhou, W.; Mei, Y.; Lin, J.; Zhou, Y.; Nakanishi, Y. BiLSTM Multitask Learning-Based Combined Load Forecasting Considering the Loads Coupling Relationship for Multienergy System. IEEE Trans. Smart Grid. 2022, 13, 3481–3492. [Google Scholar] [CrossRef]
  26. Huang, N.; Wang, S.; Wang, R.; Cai, G.; Liu, Y.; Dai, Q. Gated Spatial-Temporal Graph Neural Network Based Short-Term Load Forecasting for Wide-Area Multiple Buses. Int. J. Electr. Power Energy Syst. 2023, 145, 108651. [Google Scholar] [CrossRef]
  27. Mirjalili, S.; Gandomi, A.H.; Mirjalili, S.Z.; Saremi, S.; Faris, H.; Mirjalili, S.M. Salp Swarm Algorithm: A Bio-Inspired Optimizer for Engineering Design Problems. Adv. Eng. Softw. 2017, 114, 163–191. [Google Scholar] [CrossRef]
  28. Lai, G.; Chang, W.C.; Yang, Y.; Liu, H. Modeling Long- and Short-Term Temporal Patterns with Deep Neural Networks. In Proceedings of the 41st International ACM SIGIR Conference on Research & Development in Information Retrieval, Ann Arbor, MI, USA, 8–12 July 2018; pp. 95–104. [Google Scholar]
  29. Kulkarni, S.V.; Khaparde, S.A. Transformer Engineering: Design, Technology, and Diagnostics; CRC Press: Boca Raton, FL, USA, 2017. [Google Scholar]
  30. Chen, T.; Guestrin, C. Xgboost: A Scalable Tree Boosting System. In Proceedings of the 22nd ACM SIGKDD International Conference on Knowledge Discovery and Data Mining, San Francisco, CA, USA, 13–17 August 2016; pp. 785–794. [Google Scholar]
  31. Žunić, E.; Korjenić, K.; Hodžić, K.; Đonko, D. Application of Facebook’s Prophet Algorithm for Successful Sales Forecasting Based on Real-World Data. arXiv 2020, arXiv:2005.07575. [Google Scholar] [CrossRef]
  32. Chen, X.; Yang, Y.; Cui, Z.; Shen, J. Vibration Fault Diagnosis of Wind Turbines Based on Variational Mode Decomposition and Energy Entropy. Energy 2019, 174, 1100–1109. [Google Scholar] [CrossRef]
  33. UMass Trace Repository. Available online: http://traces.cs.umass.edu/index.php/Smart/Smart (accessed on 17 April 2023).
  34. National Weather Service. Available online: https://www.weather.gov/ (accessed on 17 April 2023).
Figure 1. Optimal extreme random forest ensemble for active distribution network forecasting-aided state estimation based on maximum average energy concentration vmd state decomposition.
Figure 1. Optimal extreme random forest ensemble for active distribution network forecasting-aided state estimation based on maximum average energy concentration vmd state decomposition.
Energies 16 05659 g001
Figure 2. Diagram of IEEE 118 test system.
Figure 2. Diagram of IEEE 118 test system.
Energies 16 05659 g002
Figure 3. The voltage magnitude forecasting results for the seasonal representative test set of the ADNs. (a) The voltage magnitude forecasting chart for March 2016. (b) The voltage magnitude forecasting chart for June 2016. (c) The voltage magnitude forecasting chart for September 2016. (d) The voltage magnitude forecasting chart for December 2016.
Figure 3. The voltage magnitude forecasting results for the seasonal representative test set of the ADNs. (a) The voltage magnitude forecasting chart for March 2016. (b) The voltage magnitude forecasting chart for June 2016. (c) The voltage magnitude forecasting chart for September 2016. (d) The voltage magnitude forecasting chart for December 2016.
Energies 16 05659 g003aEnergies 16 05659 g003b
Figure 4. Estimated voltage magnitudes of IEEE 118 test system obtained with different algorithms.
Figure 4. Estimated voltage magnitudes of IEEE 118 test system obtained with different algorithms.
Energies 16 05659 g004
Table 1. Definition of input feature sequences.
Table 1. Definition of input feature sequences.
Input Feature SequenceVariable IndexInput Feature SequenceVariable Index
temperature H1precipitation intensity H8
relative humidity H2month G1
visibility H3day G2
atmospheric pressure H4hour G3
wind speed H5week type G4
cloud coverage H6holiday G5
wind direction H7
Table 2. Annual average MVRapidMIC values of weather feature sequences (including time features) and ADNs state forecasting sequences.
Table 2. Annual average MVRapidMIC values of weather feature sequences (including time features) and ADNs state forecasting sequences.
Input Feature SequenceOMVRapidMIC ValueInput Feature SequenceOMVRapidMIC Value
H10.89H80.81
H20.42G10.72
H30.87G20.36
H40.33G30.75
H50.92G40.48
H60.85G50.53
H70.25
Table 3. Evaluation indicators for forecasting results of annual test set samples.
Table 3. Evaluation indicators for forecasting results of annual test set samples.
Test SamplesForecasting ModelsVoltage Magnitude Forecasting Evaluation MetricsVoltage Phase Forecasting Evaluation Metrics
eMAEeRMSEeMAEeRMSE
AnnualXGBoost2.6661 × 10−32.8168 × 10−32.7748 × 10−12.9921 × 10−1
Prophet1.9451 × 10−32.0075 × 10−31.7563 × 10−12.0947 × 10−1
Transformer1.7239 × 10−31.7729 × 10−31.3251 × 10−11.6277 × 10−1
LSTNet1.0920 × 10−31.1663 × 10−39.4504 × 10−29.7090 × 10−2
M-extra tree4.7705 × 10−45.7173 × 10−48.3158 × 10−38.7447 × 10−3
O-extra tree9.5620 × 10−51.4902 × 10−43.6667 × 10−34.8915 × 10−3
Table 4. Evaluation index of ADNs state forecasting with different ADNs state decomposition methods.
Table 4. Evaluation index of ADNs state forecasting with different ADNs state decomposition methods.
Test SamplesForecasting ModelsVoltage Magnitude Forecasting Evaluation MetricsVoltage Phase Forecasting Evaluation Metrics
eMAEeRMSEeMAEeRMSE
The proposed methodXGBoost2.6661 × 10−32.8168 × 10−32.7748 × 10−12.9921 × 10−1
Prophet1.9451 × 10−32.0075 × 10−31.7563 × 10−12.0947 × 10−1
Transformer1.7239 × 10−31.7729 × 10−31.3251 × 10−11.6277 × 10−1
LSTNet1.0920 × 10−31.1663 × 10−39.4504 × 10−29.7090 × 10−2
M-extra tree4.7705 × 10−45.7173 × 10−48.3158 × 10−38.7447 × 10−3
O-extra tree9.5620 × 10−51.4902 × 10−43.6667 × 10−34.8915 × 10−3
Non-decompositionXGBoost3.2388 × 10−33.4837 × 10−33.1062 × 10−13.3618 × 10−1
Prophet2.5596 × 10−32.6441 × 10−32.1169 × 10−12.4009 × 10−1
Transformer2.2876 × 10−32.5686 × 10−31.7734 × 10−12.0635 × 10−1
LSTNet1.4907 × 10−31.7525 × 10−39.8462 × 10−21.1768 × 10−1
M-extra tree5.2649 × 10−46.2862 × 10−48.7807 × 10−39.1098 × 10−3
O-extra tree9.9181 × 10−51.8311 × 10−44.0173 × 10−35.2861 × 10−3
VMDXGBoost2.9807 × 10−32.8168 × 10−33.0247 × 10−13.2631 × 10−1
Prophet2.2462 × 10−32.0075 × 10−31.9947 × 10−12.2903 × 10−1
Transformer2.0635 × 10−31.7729 × 10−31.6251 × 10−11.9277 × 10−1
LSTNet1.3098 × 10−31.1663 × 10−39.7363 × 10−21.0275 × 10−1
M-extra tree5.0705 × 10−46.0127 × 10−48.6191 × 10−39.0242 × 10−3
O-extra tree9.8369 × 10−51.6589 × 10−43.9485 × 10−35.1997 × 10−3
EMDXGBoost4.3262 × 10−34.5369 × 10−34.2589 × 10−14.4915 × 10−1
Prophet3.6217 × 10−33.8232 × 10−33.3135 × 10−13.5172 × 10−1
Transformer3.4923 × 10−33.6938 × 10−32.8859 × 10−13.1782 × 10−1
LSTNet2.7668 × 10−32.9792 × 10−31.9784 × 10−12.2693 × 10−1
M-extra tree6.2238 × 10−47.2349 × 10−48.3158 × 10−38.7447 × 10−3
O-extra tree2.0695 × 10−52.9103 × 10−43.6667 × 10−34.8915 × 10−3
CEEMDANXGBoost2.8249 × 10−33.0428 × 10−32.9217 × 10−13.1563 × 10−1
Prophet2.1533 × 10−32.3869 × 10−31.9169 × 10−12.2525 × 10−1
Transformer1.9713 × 10−32.1231 × 10−31.5575 × 10−11.8612 × 10−1
LSTNet1.2545 × 10−31.4138 × 10−39.6589 × 10−29.9369 × 10−2
M-extra tree4.9724 × 10−45.9258 × 10−48.5106 × 10−38.8063 × 10−3
O-extra tree9.6525 × 10−51.5113 × 10−43.8967 × 10−35.0811 × 10−3
Table 5. Performance comparison of different algorithms.
Table 5. Performance comparison of different algorithms.
Estimation ModelsVoltage Magnitude Estimation Evaluation MetricsVoltage Phase Estimation Evaluation Metrics
eMAEeRMSEeMAEeRMSE
Holt’s2.7856 × 10−42.7796 × 10−42.1519 × 10−22.3947 × 10−2
DNN1.5799 × 10−41.7875 × 10−41.7743 × 10−21.9339 × 10−2
CPF1.0746 × 10−41.1949 × 10−41.1513 × 10−21.5215 × 10−2
O-extra tree-CPF8.0130 × 10−59.0799 × 10−59.6967 × 10−31.0249 × 10−2
Disclaimer/Publisher’s Note: The statements, opinions and data contained in all publications are solely those of the individual author(s) and contributor(s) and not of MDPI and/or the editor(s). MDPI and/or the editor(s) disclaim responsibility for any injury to people or property resulting from any ideas, methods, instructions or products referred to in the content.

Share and Cite

MDPI and ACS Style

Yu, Y.; Guo, J.; Jin, Z. Optimal Extreme Random Forest Ensemble for Active Distribution Network Forecasting-Aided State Estimation Based on Maximum Average Energy Concentration VMD State Decomposition. Energies 2023, 16, 5659. https://doi.org/10.3390/en16155659

AMA Style

Yu Y, Guo J, Jin Z. Optimal Extreme Random Forest Ensemble for Active Distribution Network Forecasting-Aided State Estimation Based on Maximum Average Energy Concentration VMD State Decomposition. Energies. 2023; 16(15):5659. https://doi.org/10.3390/en16155659

Chicago/Turabian Style

Yu, Yue, Jiahui Guo, and Zhaoyang Jin. 2023. "Optimal Extreme Random Forest Ensemble for Active Distribution Network Forecasting-Aided State Estimation Based on Maximum Average Energy Concentration VMD State Decomposition" Energies 16, no. 15: 5659. https://doi.org/10.3390/en16155659

APA Style

Yu, Y., Guo, J., & Jin, Z. (2023). Optimal Extreme Random Forest Ensemble for Active Distribution Network Forecasting-Aided State Estimation Based on Maximum Average Energy Concentration VMD State Decomposition. Energies, 16(15), 5659. https://doi.org/10.3390/en16155659

Note that from the first issue of 2016, this journal uses article numbers instead of page numbers. See further details here.

Article Metrics

Back to TopTop