Research on Mathematical Model of Shale Oil Reservoir Flow
Abstract
1. Introduction
2. Derivation and Construction of Nonlinear Flow Model of Shale Oil Reservoir
2.1. Permeability Characterization Equation Considering Stress Sensitivity
2.2. Derivation of Nonlinear Flow Model Considering Boundary Layer Effects
2.3. Validation of a New Flow Model for Shale Oil
- (1)
- Experimental procedures and methods. In this study, the HXS-100 high-temperature and high-pressure long core displacement system was used, and the experimental device diagram is shown in Figure 2. The experimental steps and methods are as follows.
- (i.)
- The core after oil washing is dried to measure porosity and permeability.
- (ii.)
- The preparation of vacuum saturated simulated formation water (simulated formation water was prepared by using manganese water based on actual formation water data). After placing it in a vacuum container, the core was evacuated using a vacuum pump for at least 24 h and then saturated with simulated formation water.
- (iii.)
- Saturated oil of the core. The core was loaded into the core gripper, and the confining pressure was maintained 2.0 MPa higher than the injection pressure. The temperature was increased to the experimental design temperature of 82 °C, and the formation crude oil was injected into the core for more than 3 PV until no water came out.
- (iv.)
- Saturated live oil of the core. The core was loaded into the core gripper, the confining pressure was maintained 2.0 MPa higher than the injection pressure, and the back pressure was gradually increased to 21 MPa. The temperature was increased to the experimental design temperature of 82 °C. After a stable period of time, more than 1 PV of compound live oil was injected into the core.
- (v.)
- CO2 flooding. After the saturated oil is completed, it is allowed to sit for a period of time until the pressure at the inlet and outlet of the core is balanced. The displacement experiment was carried out with carbon dioxide as the displacement medium. The experiment was carried out in the order of pressure rise, and each pressure was stable for 20 min. The outlet fluid flow Q and the actual value P corresponding to the pressure gauge at this time were recorded. The accumulated fluid output and other relevant parameters were also recorded.
- (2)
- Fitting of new seepage mathematical model to experimental results
3. Nonlinear Flow Characteristics of Shale Oil Reservoir
3.1. Influence of Boundary Layer Effect on Flow Characteristics
3.2. Influence of Stress Sensitivity on Seepage Characteristics
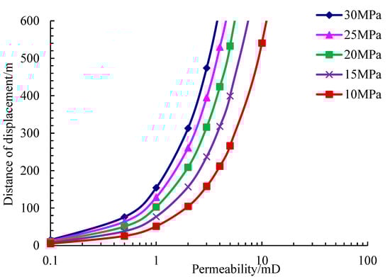
3.3. Method for the Evaluation of Effective Displacement Distance for Nonlinear Flow
4. Conclusions
- In this study, a mathematical model of shale oil seepage is developed considering the stress sensitivity and boundary layer effect. Not only the influence of pressure gradient was considered, but also the influence of fluid viscosity, so that the mathematical model is more accurate. In addition, a method to evaluate the effective displacement distance of CO2 injection in shale reservoirs was established by using the limited injection-production well spacing method, solving the problem of displacement distance in the actual exploitation. The method is simpler to calculate than other evaluation approaches and provides a theoretical basis for the enhancement of oil recovery by CO2 injection and production.
- The results show that the new flow mathematical model can be well fitted to the experimental data of Jilin shale reservoir. The reverse spooning-type characteristic of shale reservoirs is caused by stress sensitivity, and the nonlinear flow characteristic is caused by the boundary layer effect. The main factors that affect the flow characteristics of shale reservoirs in blocks include stress sensitivity and boundary layer effect. With the increase of pressure gradient, the influence of stress sensitivity on flow characteristics is weakened, and the influence of the boundary layer effect on flow characteristics is enhanced.
- The evaluation method of effective displacement distance for CO2 injection in shale reservoirs developed in this research can show the nonlinear flow curve of displacement distance with reservoir permeability under different injection and production pressure differences, which indicates that, with the increase of reservoir permeability, displacement distance and the rate of displacement distance increase.
Author Contributions
Funding
Data Availability Statement
Conflicts of Interest
References
- Zhang, K. The Implications of US Energy Independence and Shale Gas Revolution. Sino-Global Energy 2012, 12, 1–16. [Google Scholar]
- Wang, Q.; Tao, S.; Guan, P. Progress in research, exploration and development of shale oil in continental basins in China. Nat. Gas Geosci. 2020, 31, 417–427. [Google Scholar]
- Zou, C.; Pan, S.; Jing, Z.; Gao, J.; Yang, Z.; Wu, S.; Zhao, Q. Shale oil and gas revolution and its impact. Acta Pet. Sin. 2020, 41, 1–12. [Google Scholar]
- He, W.; Meng, Q.; Feng, Z.; Zhang, J.; Wang, R. In-situ accumulation theory and exploration & development practice of Gulong shale oil in Songliao Basin. Acta Pet. Sin. 2020, 43, 1–14. [Google Scholar]
- Zou, C.; Zhu, R.; Bai, B.; Yang, Z.; Hou, L.H.; Zha, M. Significance, geologic characteristics, resource potential and future challenges of tight oil and shale oil. Bull. Mineral. Petrol. Geochem. 2015, 34, 3–17. [Google Scholar]
- Jin, X.; Li, G.; Meng, S.; Wang, X.; Liu, C.; Tao, J.; Tao, H. Microcomprehensive evaluation of the availability of continental shale oil. Pet. Explor. Dev. 2021, 48, 222–232. [Google Scholar] [CrossRef]
- Song, M.; Liu, H.; Wang, Y.; Liu, Y. Enrichment rules and exploration practices of Paleogene shale oil in Jiyang Depression, Bohai Bay Basin, China. Pet. Explor. Dev. 2020, 47, 225–235. [Google Scholar] [CrossRef]
- Pu, W.; Wang, C.; Li, Y. Nuclear Magnetic Resonance (NMR) Experimental Study of CO2 Flooding in Tight Reservoir. Sci. Technol. Eng. 2017, 17, 30–40. [Google Scholar]
- Dejam, M.; Hassanzadeh, H.; Chen, Z.X. Pre-Darcy flow in porous media. Water Resour. Res. 2017, 53, 8187–8210. [Google Scholar] [CrossRef]
- Zhang, R.; Ning, Z.; Yang, F.; Zhao, H.; Du, H.; Zhou, X. Shale stress sensitivity experiment and mechanism. Acta Pet. Sin. 2015, 36, 224–231. [Google Scholar]
- Xu, S.; Yue, X.; Hou, J.; Wang, B. Influence of boundary-layer fluid on the seepage characteristic of low-permeability reservoir. J. Xi’an Pet. Univ. 2007, 22, 26–28. [Google Scholar]
- Song, F.; Bo, L.; Zhang, S.; Sun, Y. Non-linear flow in low permeability reservoirs: Modelling and experimental verification. Adv. Geo-Energy Res. 2019, 3, 76–81. [Google Scholar] [CrossRef]
- Lei, H.; He, J.; Hu, Z. Shale considering stress sensitivity and boundary layer effect study on percolation model of oil reservoir. Sci. Technol. Eng. 2019, 19, 90–95. [Google Scholar]
- Li, Y.; Duan, B.; Shang, L.; Sun, Y.; Gong, L.; Xin, C.; Xing, J. Nonlinear seepage numerical simulation method for ultra-low permeability and tight reservoirs and its application in Jidong oilfield. Pet. Geol. Dev. Daqing 2022, 41, 153–158. [Google Scholar]
- Adamczuk, A.; Kolodynska, D. Utilization of Fly Ashes from the Coal Burning Processes to Produce Effective Low-Cost Sorbents. Energy Fuels 2017, 31, 2095–2105. [Google Scholar] [CrossRef]
- Wang, X.; Zhang, Q.; Gu, X. Fractal-based Effective Utilization Coefficient of Irrigation Water Space Scale Variability. Acta Geogr. Sin. 2012, 67, 1201–1212. [Google Scholar]
- Klinkenberg, L.J. The permeability of porous media to liquids and gases. Socar Proc. 2012, 2, 57–73. [Google Scholar] [CrossRef]
- Ma, J.; Couples, G.D.; Zhao, X. Assessing impact of shale gas adsorption on free-gas permeability via a pore network flow model. In Proceedings of the SPE/AAPG/SEG Unconventional Resources Technology Conference, Virtual, 16–18 November 2015. [Google Scholar]
- Wu, K.; Li, X.; Chen, Z. A model for gas transport through nanopores of shale gas reservoirs. Acta Pet. Sin. 2015, 36, 837–848. [Google Scholar]
- Zhang, Y.; Zhang, M.; Bin, J.; Guo, P.; Tang, T.; Mei, H.; Shen, J.; Liao, R. Real gas migrating model for shale organic nanopores with modified flow area. Pet. Geol. Oilfield Dev. Daqing 2020, 39, 151–158. [Google Scholar]
- Chen, L.; Jiang, Z.; Wen, N.; Gao, F.; Wang, P.; Ji, W.; Jiang, J. Fractal characteristics of nanopores and their effect on methane adsorption capacity in shales. Sci. Technol. Eng. 2017, 17, 31–39. [Google Scholar]
- Xiong, Y.; Zhang, L.; Zhao, Y.; Liu, Q. Pressure transient analysis of hydraulic fratured vertical well in stress-sensitive shale gas reservoirs. Sci.Technol. Eng. 2014, 14, 221–225. [Google Scholar]
- Cai, H.; Fu, S.; Cheng, S. Production decline mode for fractured shale gas reservoirs with stress sensitivity. Sci. Technol. Rev. 2013, 31, 51–54. [Google Scholar]
- Jiang, R.; Yang, R.; Ma, Y.; Zhuang, Y.; Li, L. Nonlinear percolation theory and numerical simulation method for low permeability reservoir. Res. Dev. Hydrodyn. 2011, 26, 444–452. [Google Scholar]
- Jiang, R.; Yang, R. Nonlinear flow theory and numerical simulation technology in low permeability reservoirs. Hydrodyn. Res. Prog. Ser. A 2011, 4, 444–452. [Google Scholar]
- Jiang, R.; Li, L.; Xu, J. A nonlinear model for low-permeability reservoirs and well-testing analysis. Acta Pet. Sin. 2012, 33, 264–268. [Google Scholar]
- Long, T. Development of a Numerical Simulation System for Non-Darcy Flow in Low Permeability Reservoirs; Tsinghua University Department of Hydraulic and Hydropower Engineering: Beijing, China, 2005. [Google Scholar]
- Yan, Q.; He, Q.; Wei, L. A laboratory study on percolation characteristics of single phase flow in low-permeability reservoirs. J. Xi’an Pet. Inst. 1990, 5, 1–6. [Google Scholar]
- Huang, S.; Yao, Y.; Zhang, S. A fractal model for oil Transport in tight porous media. Transp. Porous Med. 2018, 121, 725–739. [Google Scholar] [CrossRef]
- Wu, B.; Chen, X.; Tian, K.; Qiao, X.; Wang, Y.; Xin, C. Fractal permeability model of dense porous media considering microscopic effects. Daqing Pet. Geol. Dev. 2022, 44, 56–62. [Google Scholar]
- Zhang, X. Pore scale production rule of heavy oil chemical flooding based on 2D NMR spectrum. Chinese Sci. Technol. Papers 2020, 15, 131–136. [Google Scholar]
- Ning, C.; Zhou, M.; Cheng, J. Application of 2D NMR logging in fluid identification of glutenite reservoir. Lithol. Reserv. 2021, 33, 267–274. [Google Scholar]
- Liu, J.; Yang, S.; Zhang, C. Constitutive equation for fluid flowing through tight reservoirs. Oil Drill. Prod. Technol. 2017, 39, 112–118. [Google Scholar]
- Wang, X.; Sheng, J.J. Effect of low-velocity non-Darcy flow on well production performance in shale and tight oil reservoirs. Fuel 2017, 190, 41–46. [Google Scholar] [CrossRef]
- Bai, L.; Liu, B.; Chi, Y. Application of two-dimensional nuclear magnetic resonance technique to characterize fluid in shale: A case study of organic-rich shale in Qingshankou Formation, Songliao Basin. Oil Gas Geol. 2021, 42, 1389–1400. [Google Scholar]
- Jiang, Q.; Li, X. Application of Nuclear Magnetic Resonance in Petroleum Logging. Petrochem. Technol. 2022, 29, 161–163. [Google Scholar]
- Sheng, J.J.; Chen, K. Evaluation of the EOR potential of gas and water injection in shale oil reservoirs. J. Unconven. Oil Gas Resour. 2014, 5, 1–9. [Google Scholar] [CrossRef]
- Zhang, A.; Wang, J.; Wang, Y. Reservoir Space Type and Oil Occurrence State of Gulong Shale in Songliao Basin. Daqing Pet. Geol. Dev. 2021, 40, 68–77. [Google Scholar]
- Luo, K. Study on the occurrence characteristics of intersalt shale oil in Qianjiang sag. J. Jianghan Pet. Staff Univ. 2020, 33, 38–40. [Google Scholar]
- Wang, M.; Ma, R.; Li, J. Occurrence mechanism of lacustrine shale oil of Paleogene Shahejie Formation in Jiyang Depression. Petr. Explor. Dev. 2019, 46, 789–802. [Google Scholar]
- Kang, C.; Yoshikawa, H.N.; Ntarmouchant, Z.; Prigent, A.; Mutabazi, I. Solitary-like and modulated wavepackets in the Couette-Taylor flow with a radial temperature gradient. Philos. Trans. A Math. Phys. Eng. Sci. 2023, 381, 20220117. [Google Scholar] [CrossRef]
- Grnman, A.; Uusitalo, A. Analysis of radial-outflow turbine design for supercritical CO2 and comparison to radial-inflow turbines. Energy Convers. Manag. 2022, 252, 115089. [Google Scholar] [CrossRef]
- Lacis, U.; Pellegrino, M.; Sundin, J.; Amberg, G.; Zaleski, S.; Hess, B.; Bagheri, S. Nanoscale sheared droplet: Volume-of-fluid, phase-field and no-slip molecular dynamics. J. Fluid Mech. 2022, 940, A10. [Google Scholar] [CrossRef]







Disclaimer/Publisher’s Note: The statements, opinions and data contained in all publications are solely those of the individual author(s) and contributor(s) and not of MDPI and/or the editor(s). MDPI and/or the editor(s) disclaim responsibility for any injury to people or property resulting from any ideas, methods, instructions or products referred to in the content. |
© 2023 by the authors. Licensee MDPI, Basel, Switzerland. This article is an open access article distributed under the terms and conditions of the Creative Commons Attribution (CC BY) license (https://creativecommons.org/licenses/by/4.0/).
Share and Cite
Yao, L.; Yang, Z.; Li, H.; Du, M.; Zhou, T.; Zhang, Y. Research on Mathematical Model of Shale Oil Reservoir Flow. Energies 2023, 16, 5452. https://doi.org/10.3390/en16145452
Yao L, Yang Z, Li H, Du M, Zhou T, Zhang Y. Research on Mathematical Model of Shale Oil Reservoir Flow. Energies. 2023; 16(14):5452. https://doi.org/10.3390/en16145452
Chicago/Turabian StyleYao, Lanlan, Zhengming Yang, Haibo Li, Meng Du, Tiyao Zhou, and Yapu Zhang. 2023. "Research on Mathematical Model of Shale Oil Reservoir Flow" Energies 16, no. 14: 5452. https://doi.org/10.3390/en16145452
APA StyleYao, L., Yang, Z., Li, H., Du, M., Zhou, T., & Zhang, Y. (2023). Research on Mathematical Model of Shale Oil Reservoir Flow. Energies, 16(14), 5452. https://doi.org/10.3390/en16145452
