Next Article in Journal
Investigation of Heat Transfer and Pressure Drop for R744 in a Horizontal Smooth Tube of R744/R404A Hybrid Cascade Refrigeration System—Part 2: Low-Temperature Region
Next Article in Special Issue
A Risk Assessment Framework for Cyber-Physical Security in Distribution Grids with Grid-Edge DERs
Previous Article in Journal
Factors Affecting Market Participant Decision Making in the Spanish Intraday Electricity Market: Auctions vs. Continuous Trading
 
 
Font Type:
Arial Georgia Verdana
Font Size:
Aa Aa Aa
Line Spacing:
Column Width:
Background:
Article

Strategies for Real-Time Simulation of Central Solenoid ITER Power Supply Digital Twin

1
Department of Electrical, Electronic, Telecommunications Engineering and Naval Architecture, University of Genoa, Via Opera Pia 11a, I-16145 Genoa, Italy
2
ITER Organization, Route de Vinon-sur-Verdon, CS 90 046, 13067 St. Paul Lez Durance CEDEX, France
*
Author to whom correspondence should be addressed.
Energies 2023, 16(13), 5107; https://doi.org/10.3390/en16135107
Submission received: 23 May 2023 / Revised: 22 June 2023 / Accepted: 29 June 2023 / Published: 2 July 2023
(This article belongs to the Special Issue Smart Grids and Microgrids: From Simulations to Experimentation)

Abstract

:
The International Thermonuclear Experimental Reactor (ITER) is a cutting-edge project that aims to develop a sustainable energy source by harnessing the power of nuclear fusion. One of the key challenges in the development of the ITER is the complex electrical grid that is required to support its operations. To address this challenge, a digital twin (DT) of the Central Solenoid (CS) Converter Power Supply grid has to be developed, and real-time simulation strategies have been proposed to monitor and study the performance of the ITER grid. Real-time simulation strategies allow for continuous feedback on the performance of the grid, enabling the quick identification and resolution of issues. However, it is not always possible to perform real-time simulation easily in a real-time simulator; therefore, specific strategies have to be implemented in the DT. This paper focuses on decoupling lines and explicit partitioning as solutions to allow the real-time simulation of the CS Converter Power Supply grid with two converter units (CUs), as required by the ITER Organization (IO). As will be shown later in this article, the proposed approach is progressive and applicable to a more complex grid with multiple CUs. The results concerning the proposed strategies will be analyzed and discussed in terms of real-time performance.

1. Introduction

One of the most challenging energy-related research goals is nuclear fusion, which has the potential to significantly transform the global energy scenario by providing a sustainable alternative to reduce fossil fuel consumption for electricity generation.
The main advantages of fusion are the low quantity of radioactive refuse, the absence of climate-changing gases, and the high energy density compared to typical power plants [1,2]. The International Thermonuclear Experimental Reactor (ITER) is a large-scale research project aimed at developing practical fusion energy. In the field of nuclear fusion, the ITER Project, a multinational partnership made up of China, the European Union, India, Japan, Korea, Russia, and the United States, is the most sophisticated and ambitious initiative [3].The ITER facility, located in Cadarache (France) includes a complex electrical grid that provides power to the world’s largest tokamak, a magnetic fusion device able to manage the confinement of plasma, in order to demonstrate the feasibility of nuclear fusion at a large-scale production plant.
Considering an electric point of view, multiple power converters will provide energy to the superconductive and non-superconductive systems in order to sustain the plasma [4]. In detail, the Toroidal Field (TF) system seeks to confine the plasma particles through an 11.8 T peak magnetic field by means of a 68 kA DC current, whereas the Poloidal Field (PF) system molds the plasma to maximize its stability.
To ensure the proper functioning of the overall system, it was determined that a relevant amount of active and reactive power must be provided from the external grid through the ITER electric plant. In detail, a Pulsed Power Electrical Network (PPEN) and a Steady-State Electrical Network (SSEN) compose the electric AC grid, as represented in Figure 1.
The PPEN is the heart of the ITER project and is used to power all converters, the Coil Power Converters, which allow the plasma operations, while the SSEN is related to the Cooling Water System, the Cryoplant, and building services. The Cooling Water System is used to remove the heat load from the ITER vacuum vessel, its plasma-facing components, and plant systems such as heating power systems. The Cryoplant is a complex infrastructure used to cool the ITER superconductive magnets. In detail, SSEN is similar to a standard power plant, even though the power here required is remarkable, about 120 MW of continuous power.
PPEN, connected to the French network through a three-winding transformer, is a radial network with three branches that are each distinguished by two distinct voltage levels, labeled intermediate voltage (IV) and medium voltage (MV) (66 kV and 22 kV, respectively). To supply Tokamak superconductive magnets, DC current is necessary, and for this reason, ac/dc power converters are required. One of the key challenges associated with the ITER electrical grid is the need to provide high-quality, stable power to the facility’s various systems and components. This is particularly important for the facility’s fusion reactors, which require precise and stable power inputs to maintain the high temperatures and pressures required for nuclear fusion. To meet this challenge, the ITER electrical grid includes advanced control and monitoring systems that enable real-time monitoring and adjustment of power levels and other parameters [5].
The primary function of the ac/dc Coil Power Supply Converters is to control, through the converters’ current control, the CS currents. Controlling CS currents affects the configuration of the magnetic flux, which determines the plasma shape and position. According to the plasma scenario that is taken into consideration during project development, the PPEN power consumption exhibits various load behaviors during normal operation, but in the worst circumstances, it is characterized by 430 MW and 990 Mvar [6]. It is highlighted that the PPEN’s power converters’ DC current output is reduced to zero during fault operation in 10 milliseconds.
Moreover, several requirements regarding voltage drop and reactive power must also be observed while connecting to the French Transmission, which is available at 400 kV, for the current agreements. In detail, exchanged reactive power with the French TSO must not exceed 200 Mvar, and the maximum voltage drop at the Point of Interconnection (POI) should not be greater than 2% during the transients. To be able to comply with the TSO’s requirement, the ITER Organization (IO) set up a Reactive Power Compensation (RPC) system.
In this framework, it is necessary to realize the digital twin (DT) of the ITER Central Solenoid Power Supply System in order to study its behavior in different operational conditions through real-time simulations performed in a real-time simulator, named Speedgoat.
For the sake of clarity, it is reported that DT technology has rapidly emerged as a powerful tool for the design, optimization, and analysis of complex systems. A DT is a virtual representation of a physical system, incorporating both physical and digital data to model the system’s behavior in real time [7,8,9]. Real-time simulation is a crucial component of digital twin technology, enabling users to analyze and optimize the system’s behavior in real time and make decisions based on real-time data. Real-time simulation allows digital twins to accurately model and predict the behavior of complex systems. This enables users to optimize system performance, identify and address potential problems, and improve overall system efficiency [10]. Therefore, the DT of the ITER Central Solenoid Power Supply System was modeled so as to keep it consistent with the physical electrical plant. Based on the developed DT, analysis, prediction, and diagnosis can be performed, and the real-time simulation results allow us to optimize and make decisions on the physical grid, as highlighted in [11]. The complexity of the ITER Central Solenoid Power Supply System replica, developed in Simulink, requires multiple strategies to perform real-time simulations in Speedgoat, the real-time simulator, with a sample time of 100 µs without CPU overloads.
The proposed approach to carry out real-time simulation for the specific ITER DT can be generalized for complex DTs to be developed in the real-time simulation laboratory of the University of Genoa [12,13].
The paper is structured as follows: Section 2 describes the ITER Electrical Grid, focusing on the PPEN; Section 3 aims at describing the approaches to realize the real-time simulations of the DT of the presented electrical plant, while Section 4 shows the simulation results obtained with the correct implementation of the different strategies. Section 5 is devoted to simulation conclusions.

2. Main Contributions

This paper suggests real-time simulation techniques for tracking and analyzing the CS Converter Power Supply grid’s performance. The proposed approach can be applied in complex DTs, where the implicit partitioning mode does not allow us to perform a real-time simulation. The work focuses on two specific strategies, i.e., decoupling lines and explicit partitioning, which have to be applied progressively in the DT, as described in the flowchart reported in Figure 2. The aim of the proposed procedure is to carry out real-time simulations without overloading the CPU of the real-time simulator.
It is important to highlight that the proposed progressive approach can be proposed for a generic complex DT, modeled in Simulink, and it could be useful to maintain the DT consistent with a real system in continuous expansion, such as the ITER plant.
The procedure proposed by this paper is very operative and suggests the use of two applications proposed by Simulink for the introduction of decoupling lines. It involves the replacement of a three-phase line with lumped parameters with a three-phase line with distributed parameters, using the defined Simulink application “Specify Decoupling Lines tool”. It is recalled that a decoupled three-phase line, in comparison to a distributed parameter line, allows the electrical separation of the electrical plant. The app automatically sets all the initial values of the decoupling line. However, it is necessary to characterize the parameters of the three-phase decoupling line in order to minimize its impact on the electricity grid. It is highlighted that decoupling lines are characterized by the 3 × 3 matrices of resistances [R], inductances [L], and capacitances [C]. Considering [L] matrix, a second tool, named power_lineparam, can be used to define and determine the [L] matrix values easily to obtain a symmetric layout in terms of the current and voltage. It should be noted that following the implementation of the decoupling line and the choice of its parameters, in particular of the matrix [L] values, it is necessary to apply modifications to the model to compensate for the introduced variation. In the considered DT, it was decided to modify the parameters of the transformers downstream of the decoupling line. The last step for the characterization of the decoupling lines does not require the use of Simulink applications but the use of the formulas described in Section 3.

3. ITER Electrical Grid

The electrical grid is a critical component of the ITER facility, as it must provide reliable and stable power to support the demanding experimental conditions required for fusion energy research [14].
The PPEN, the portion of the IO electrical grid dedicated to the provision of the power converter that will support the plasma activity, is the grid’s central hub. The PPEN is made up of three 400 kV main busbars and three winding transformers with 66 and 22.5 kV secondary and tertiary voltage levels, respectively. In particular, a portion of the PPEN, named the CS Power Supply grid, is analyzed in this paragraph. This network is modeled considering the following main components: the connection to the grid at 400 [kV], the transformer characterized by the transformer ratio of 400/66 kV, RPC connected to the bus at 66 kV, the CS converter unit (CU), and load, represented by a current source. It is highlighted that the CU includes two transformers characterized by the transformer ratio of 66/1037 kV, the CS Converter bridges, the CS Converter controller, and the fire pulse generator. For the sake of clarity, the simplified scheme is reported in Figure 3. It should be noted that Figure 3 represents a portion of the complete ITER electrical grid shown in Figure 1; therefore, the three-winding transformer was replaced by one with two windings for modeling reasons.
The power part of the RPC is mainly made of two harmonic filters and of a Thyristor-Controlled Reactor (TCR) in delta configuration controlled in order to guarantee the required amount of reactive power that the RPC must provide to the busbar.
The reactive power control mode is used to regulate each Static VAR Compensator (SVC) and high-frequency system. The specifics of the SVC control system will be ignored in this work in favor of simplicity because they have already been described in [5,10] and are schematically shown in Figure 4.
The control logic, however, is based on the measurement of the three phase voltages and currents on the load terminals. From this information, it is feasible to assess the desired phase-to-phase reactive power as well as the equivalent susceptance for each phase that the thyristors must replicate.
The high-frequency filter is a passive filter tuned to the 3rd, 5th, 7th, 11th, 13th, and 23rd harmonics. The filtering system allows for the reactive power correction (up to 250 Mvar at rated voltage circumstances) during steady-state operation, while the SVC is used during transient situations.
The ac/dc Coil Power Supply Converter unit is a critical component of the ITER electrical plant. This unit is responsible for converting the 50 Hz, three-phase AC power supplied by the French national grid into the high-current, low-voltage DC power required by the ITER superconducting magnets [15]. The ac/dc converter unit is designed to operate with high efficiency and reliability, with a goal of achieving 98.5% efficiency at full load. To achieve this level of efficiency, the converter unit employs advanced power electronics technology and control techniques in order to enable the precise control of the DC output voltage and current. In detail, the ac/dc Coil Power Supply CU is composed of two bi-directional six-phase thyristor-controlled rectifiers connected in twelve-phase parallel mode and by an ac/dc converter controller which satisfies the four-quadrant operation requirements. As shown in Figure 5, according to coil current, the 4-quadrant operation is divided into five modes: 6-pulse mode (mode 2 and mode 4), 12-pulse mode (mode 1 and mode 5), and circulating current mode (mode 3). Each mode is changed through gate enable or disable thanks to the firing pulse generator piloted by the CS Converter controllers.
Overall, the ac/dc Coil Power Supply CU is a critical component of the ITER electrical plant and plays a key role in enabling the operation of the ITER superconducting magnets. The effective management and control of the converter unit are essential for ensuring a reliable and stable power supply to the superconducting magnets and for maintaining the safety and efficiency of the ITER facility.
The CS Converter Power Supply grid model, presented in Figure 3, is composed of only one CU. The aim of this paper is to implement a DT with two CUs, which is able to run a real-time simulation at 100 µs without CPU overloads.
The load is modelled as a controlled current source because it represents the TF system which creates the magnetic field starting from a specific DC current profile.
The current generator-controlled input, used for the following simulations, is a trapezoidal wave form depicted in Figure 6, and the DC voltage reference is imposed equal to 1000 V.

4. Strategies to Realize DT’s Real-Time Simulation

Real-time simulation is a crucial tool for studying and analyzing complex systems, such as the CS Converter Power Supply grid. This section proposes some strategies to perform real-time simulations of the considered DT, but the procedure can be extended to a generic complex system. In real-time simulation, it is crucial to ensure that the simulation can run within the time constraints imposed by the system being studied. In detail, the aim is that the DT of the physical system runs at the same rate as the actual physical system.
Considering this specific study, Speedgoat was the hardware platform specifically used for real-time simulation. In particular, it is recommended for real-time testing performed with the Simulink® Real-Time™ tool (R2020b), therefore the DT of the CS Power Supply grid was developed on Simulink. The users can develop and deploy real-time simulations, and the software includes features such as model-based design, automatic code generation, and simulation monitoring and analysis.

4.1. Task Execution Time and Computational Cost

In real-time simulation, a digital real-time simulator solves the model equations for a fixed time step, called sample time, within the same time as a real-world clock.
One of the key components of real-time simulation is the ability to manage and execute individual tasks within the simulation model. These tasks are often defined as discrete computational operations that must be executed within a specific time frame to maintain real-time performance. If the execution time of a task exceeds the system’s constraints, this can lead to overloads and cause the simulation to fail. Indeed, it is recalled that in a real-time simulation, two cases can occur:
(i)
The computational cost is less than the time step, and the outputs are obtained at the same time as the real system response, as reported in Figure 7.
(ii)
The computational cost is greater than the time step, and the outputs are obtained with a delay compared to the real system response, as shown in Figure 8. This second case is called overrun, or overload, and the simulation becomes an offline simulation.
To avoid overloads, it is important to carefully analyze the task execution times and ensure that they are within the specified constraints. Managing and executing these tasks can be challenging, particularly in complex systems where the number of tasks can be very large.

4.2. Decoupling Lines, Explicit Partitioning, and Progressive Approach

The effective management and execution of tasks within a real-time simulation model is essential for achieving accurate and timely results and can have significant implications for the design and development of a DT. To address this challenge, real-time simulation models often employ multiple and different strategies that have to be implemented in a progressive and step-by-step approach. The first adaptations are to simplify the DT, avoiding redundant blocks and logic, and to limit the number of logged and monitored signals because they are interactive procedures that consume memory and processing power. The second action is to implement decoupling lines, which are used to isolate electrical sub-systems and reduce the interdependence between them. In detail, they allow us to model a transmission line with no physical electrical connections between the sending and receiving ends of the line. This technique is used to decouple a large network into smaller sections and to split a computationally heavy task into multiple tasks at the same rate by decreasing the probability of overloads. Therefore, decoupling lines are introduced to model the DT on multi-core real-time computers. In particular, they are implemented in the RPC and CS converter model in order to decouple the grid and RPC power part from the converter power part in the explicit partitioning [16].
The decoupling lines introduce some difficulties from power system modelling in Simulink. Two different issues emerged in the block characterization of the decoupling line (three-phase) block:
  • Definition of current and voltage initial values;
  • Definition of decoupling lines parameters.
Using the Specify Decoupling Lines tool, the distributed parameter line is substituted by decoupling lines and the initial values are calculated by the tool automatically. Indeed, the Specify Decoupling Lines App automatically finds and replaces existing distributed parameters line blocks in the model with equivalent pairs of decoupling line blocks.
Decoupling lines parameters are characterized by the 3 × 3 matrices of resistances [R], inductances [L], and capacitances [C].
The implemented strategy has been reported to introduce decoupling lines into the model without modifying the system response. In detail, the lines are considered no losses, and [R] is simply a zero matrix. A second tool, named power_lineparam, has to be used to determine the [L] 3 × 3 matrix and to obtain a symmetric layout in terms of the current and voltage. The theory of distributed lines states that the product of [L] and [C] provides the speed of the wave form that is the speed of light (c), as described in (1).
[ L ] [ C ] = μ ε [ I ] = 1 c 2 [ I ]
From this, it is possible to calculate the [C] matrix according to relation (2).
[ C ] = 1 c 2 [ L ] 1
In conclusion, the obtained [L] and [C] matrices guarantee a propagation speed equal to light speed.
Once the [L] and [C] matrices are defined, the line distance has to be defined in order to have a travelling period equal to the integration time step, as described by relations (3) and (4).
τ = d c = d L C = T s
d = c T s
When c = 3 · 108 m/s and the sample time Ts is equal to 100 μs, it is possible to determine the line length. The introduced inductance has to be compensated for in the system; in the considered DT, the transformer’s reactance is modified consistently to avoid inductive losses.
Further improvement of the model performance can be achieved by explicit partitioning, as an alternative to implicit partitioning.
The standard approach for RT simulation is based on implicit partitioning: the automated way of creating tasks and mapping them to the processing cores. Considering a multi-core simulator, the simulations tasks can be executed on one or more cores. In the default implicit partitioning, the task assignment is conducted according to the different time rates present in the model. Each time rate in the model corresponds to a partition, and all blocks of a single rate or sample time belong to the same partition. If the model presents only one time rate, with implicit partitioning, only one core will be used. In the CS Converter Power Supply DT, two rates are defined: 100 µs for the power part and 1 ms for the controllers; thus, two of four cores are used in the implicit partitioning without decoupling lines. The choice of two different rates is due to the different response times of the system; the electronic devices, as converters, are characterized by a faster response than the controllers; therefore, in accordance with the ITER, two different rates were defined.
In general, this approach might not be optimized, since it is possible that a frame of the model with the same time step is relevant and thus it saturates one core while the others are not involved in the calculation. This approach can be effective for certain types of systems but may not be suitable for systems with complex interdependencies or those with high levels of communication between sub-systems.
The explicit partitioning allows us to specify how the model is partitioned; therefore, it is possible to define more tasks at the same rate. In explicit partitioning, it is possible to create partitions in the root-level model by using referenced models. Each sample time of the blocks in the referenced model corresponds to a partition.
To split a frame of the model, it is necessary to put one part in a Model Reference and the other in another and so on. Once this is completed, tasks are assigned manually, and each task will run on a dedicated core.
Explicit partitioning can be used in conjunction with decoupling lines to further optimize the performance of real-time simulation and control systems in complex DTs. The application of techniques depends on the specific DT and may involve a trade-off between accuracy, computational complexity, and ease of implementation.
The work conducted for the ITER suggests using a progressive approach to determine the effects of each strategy on the TET profiles and to be able to expand the model in the best way from a real-time simulation point of view. The aim of this paper is to run the CS Converter Power Supply grid with two CUs in a real-time simulation at 100 µs on the Speedgoat target machine, avoiding any CPU overload and studying the effects of the mentioned strategies.

5. Simulation Results

The aim of this section is to perform a real-time simulation of the CS Converter Power Supply DT with two CUs at 100 µs on the Speedgoat target machine. The effects of the proposed strategies are investigated with the following three models:
  • Model with two CUs without decoupling lines in implicit partitioning mode;
  • Model with two CUs with two decoupling lines in implicit partitioning mode;
  • Model with two CUs with two decoupling lines in explicit partitioning mode.
For the sake of confidentiality, it is not possible to further describe the specific implemented components and their interactions; however, this is not relevant, since the models are test cases for which the progressive approach proposed in Section 3 is applied to allow real-time simulation. It is only highlighted that the RPC is modeled in the Simulink environment with both the TCR system and the static filters.
In the models which use the implicit partitioning mode, the second CU is connected in series with the first one, and the load implemented in this analysis is modeled as the current source, controlled with the reference signal shown in Figure 6.
In the second model, decoupling lines were implemented before each CU to split the heavy task at 100 µs of the power part on different cores of the target machine, and consequently, the reactance of the related transformers was modified.
Since decoupling and distributed lines introduce a modification in the model, a comparison between the offline results of a simulation at 100 µs using this model and the model without decoupling lines was carried out.
For the sake of clarity, the results were proposed for the first 30 s, but it should be noted that the response of the model is consistent with the control cycle proposed in Figure 6.
Figure 9 and Figure 10 show that the introduction of the decoupling lines only slightly affects the system’s behavior. In particular, considering the active power profile, it is possible to observe that the grid provides the power required through the CUs by the load, while the RPC active power is around 0 MW as desired. Indeed, the RPC has to compensate for the reactive power of the CUs and load in order to conform to the French grid requirements.
Considering the real-time simulation, it is recalled that there are only two tasks in the implicit mode, corresponding to the two sample rates of the models: 100 µs for the power part and 1 ms for the controllers. Even though the performance of this model is closer to the real-time performance, this configuration was not able to execute a real-time simulation considering task at 100 µs, as reported in Table 1. However, this test was still useful because it proved the introduction of decoupling lines to be beneficial.
Since the implementation of two decoupling line did not allow us to perform a real-time simulation at 100 µs, an explicit partitioning of the model was considered. As reported, three referenced models are used: the first sub-system contains the power part of the grid and RPC and the RPC controller, the second sub-system includes converter power parts, its controller, and the load, and the third one is equal to the second one. In detail, the model with two CUs—two decoupling lines—three Model References, represented in Figure 11, separates the two CUs into two different Model References using the decoupling lines; this means that even though the actual electrical series connection between the two converters is lost, this explicitly partitioned model can be accepted as valid since the two CUs are connected on the DC side to a current generator with the same current reference. The choice of the reference models was made to make the model easily extendable considering the requirements of ITER activity. Indeed, to obtain a model with multiple CUs, it is sufficient to add referenced models equal to the second or third one. In order to perform real-time simulation, two tasks for each referenced model were defined, since each sub-system contains a control part at 1 ms and a power part at 100 µs. Compared to the two tasks of the total model in implicit partitioning mode, six tasks were assigned, which can be split more easily among the four cores.
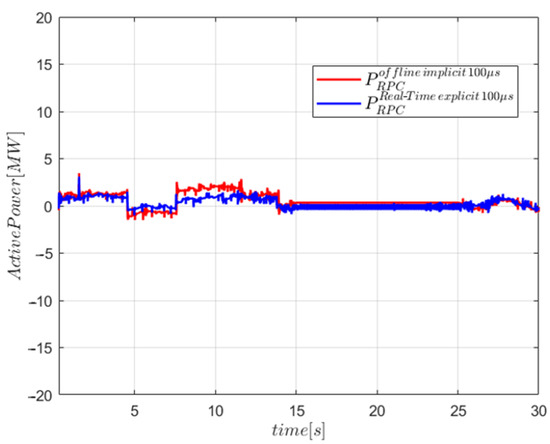
The model was able to run at 100 µs, and the results were consistent with those obtained with the offline simulation at 100 µs of the implicit partitioning model with two decoupling lines. For the sake of completeness, the grid, load, and RPC active power profiles, obtained in the real-time simulation, are reported in Figure 12, Figure 13 and Figure 14, respectively, and compared with the offline simulation results of the implicit model with two decoupling lines. Table 2 reports the maximum TET values of each task; as expected, they are minor at 100 µs and 1 ms; indeed, the real-time simulation was possible.
In order to perform the real-time simulation at 100 µs of the CS ITER Power Supply grid with two CUs, two different strategies were implemented. In the first, the decoupling line was inserted before each CU to decrease the maximum values of tasks at 100 µs and 1 ms. However, this action was not sufficient; therefore, explicit partitioning was adopted in order to create more tasks at the same rates and split them among the four cores. The definition of the referenced model was based on the possibility of further expanding the model, according to IO requirements. The insertion of multiple CUs can be easily managed by adding multiple Model References containing CUs and defining the respective new tasks. However, it is important to highlight that there will be a maximum number of CUs that can be inserted into the DT, established by the computational capacity of the real-time simulator, Speedgoat.

6. Conclusions

In conclusion, the proposed DT models the Central Solenoid ITER Power Supply grid, which is a complex system designed to provide the necessary power and control for plasma experiments. The described DT, coupled with real-time simulation, is a valuable tool in the testing of the electrical plant. In detail, the IO requires the development of a DT of the Central Solenoid ITER Power Supply grid with two CUs on Simulink and the performance of real-time simulations at 100 µs in Speedgoat without overloading. This work analyzed different strategies to allow real-time simulation in complex systems. It proposes a progressive approach, which is firstly based on the implementation of the decoupling lines and secondly on the application of the explicit partitioning mode. Decoupling lines allowed us to decrease the TET of the DT task characterized by the sample rate at 100 µs. However, this strategy was not sufficient to avoid overloads; therefore, it was necessary to implement explicit partitioning and to define the referenced models. The choice of the Model References took into account the future IO requirements of adding multiple CUs in the DT.
In conclusion, the model with two CUs−two decoupling lines—three Model References allowed us to perform real-time simulations in Speedgoat at 100 µs. In summary, the progressive use of decoupling lines and explicit partitioning have been crucial to monitoring the impact of the different strategies in the TET of the different model tasks. Moreover, the combination of these two approaches could be successful since they allow us to perform real-time simulation easily without overloads in the CPU.
In general, this progressive approach must be applied considering the specific characteristic of the analyzed DT, but it could be extended to the real-time modelling of complex systems.

Author Contributions

Methodology, M.M.; Validation, A.B.; Data curation, Y.Y.; Writing—original draft, M.M.; Writing—review & editing, A.B.; Supervision, I.B. and Y.Y.; Project administration, I.B. All authors have read and agreed to the published version of the manuscript.

Funding

This research was funded by ITER Organization.

Data Availability Statement

Data is unavailable due to privacy restrictions.

Conflicts of Interest

The authors declare no conflict of interest.

References

  1. Taylor, N.P. Safety and licensing of nuclear facilities for fusion. In Proceedings of the 2015 IEEE 26th Symposium on Fusion Engineering (SOFE), Austin, TX, USA, 31 May–4 June 2015; pp. 1–8. [Google Scholar]
  2. Steiner, D. Nuclear fusion: Focus on Tokamak: US engineers and physicists will team to attempt commercial demonstration by the year 2000. IEEE Spectr. 1977, 14, 32–39. [Google Scholar] [CrossRef]
  3. Oliva, A.B.; Soto, E.B.; Batista, R.; Bellesia, B.; Robello, E.B.; Buskop, J.; Caballero, J.; Lino, M.C.; Cornelis, M.; Cornella, J.; et al. Progress in Europe of the procurement of the EU ITER TF coils. IEEE Trans. Appl. Supercond. 2016, 26, 4205106. [Google Scholar]
  4. Tao, J.; Benfatto, I.; Goff, J.; Mankani, A.; Milani, F.; Song, I.; Tan, H.; Thomsen, J. ITER coil power supply and distribution system. In Proceedings of the 2011 IEEE/NPSS 24th Symposium on Fusion Engineering, Chicago, IL, USA, 26–30 June 2011; pp. 1–8. [Google Scholar]
  5. Rasheed, A.; San, O.; Kvamsdal, T. Digital twin: Values, challenges and enablers from a modeling perspective. IEEE Access 2020, 8, 21980–22012. [Google Scholar] [CrossRef]
  6. Finotti, C.; Gaio, E.; Song, I.; Tao, J.; Benfatto, I. Improvement of the dynamic response of the ITER Reactive Power Compensation system. Fusion Eng. Des. 2015, 98, 1058–1062. [Google Scholar] [CrossRef]
  7. Haag, S.; Anderl, R. Digital twin—Proof of concept. Manuf. Lett. 2018, 15, 64–66. [Google Scholar] [CrossRef]
  8. Errandonea, I.; Beltrán, S.; Arrizabalaga, S. Digital Twin for maintenance: A literature review. Comput. Ind. 2020, 123, 103316. [Google Scholar] [CrossRef]
  9. Bonfiglio, A.; Cacciacarne, S.; Invernizzi, M.; Lanzarotto, D.; Palmieri, A.; Procopio, R. A Sliding Mode Control Approach for Gas Turbine Power Generators. IEEE Trans. Energy Convers. 2019, 34, 921–932. [Google Scholar] [CrossRef]
  10. Benedetto, G.; Bompard, E.; Mazza, A.; Pons, E.; Bruno, S.; Giannoccaro, G.; La Scala, M.; De Caro, F.; Bonfiglio, A.; Bracco, S.; et al. Ensiel National Energy Transition Real Time Lab: A Novel Tool to Shape the Future Energy System. In Proceedings of the 2022 AEIT International Annual Conference (AEIT), Rome, Italy, 3–5 October 2022. [Google Scholar]
  11. Bruno, S.; La Scala, M.; Stecchi, U. Monitoring and control of a smart distribution network in extended real-time DMS framework. In Proceedings of the CIGRE 2011 Bologna Symposium—The Electric Power System of the Future: Integrating Supergrids and Microgrids, Bologna, Italy, 13–15 September 2011. [Google Scholar]
  12. Bonfiglio, A.; Bracco, S.; D’Agostino, F.; Delfino, F.; Laiolo, P.; Invernizzi, M.; Massucco, S.; Procopio, R.; Saviozzi, M.; Silvestro, F. Real-Time Power System laboratories at the University of Genoa. In Proceedings of the AEIT Annual Conference 2022, Rome, Italy, 3–5 October 2022. [Google Scholar]
  13. Rosini, A.; Mestriner, D.; Labella, A.; Bonfiglio, A.; Procopio, R. A decentralized approach for frequency and voltage regulation in islanded PV-Storage microgrids. Electr. Power Syst. Res. 2021, 193, 106974. [Google Scholar] [CrossRef]
  14. Hourtoule, J.; Neumeyer, C.; Suh, I.; Ding, Y.; Dong, L.; Boyer, C.; Rodrigues, D.C. ITER electrical distribution system. In Proceedings of the 2013 IEEE 25th Symposium on Fusion Engineering (SOFE), San Francisco, CA, USA, 10–14 June 2013; pp. 1–5. [Google Scholar]
  15. Finotti, C.; Gaio, E.; Benfatto, I.; Song, I.; Tao, J. Continuous state space model of the ITER ac/dc converters for stability analysis of the Pulsed Power Electrical Network. In Proceedings of the 2015 IEEE 26th Symposium on Fusion Engineering (SOFE), Austin, TX, USA, 31 May–4 June 2015; pp. 1–6. [Google Scholar]
  16. Lindh, L.; Starner, J.; Furunas, J. From single to multiprocessor real-time kernels in hardware. In Proceedings of the Real-Time Technology and Applications Symposium, Chicago, IL, USA, 15–17 May 1995; pp. 42–43. [Google Scholar]
Figure 1. ITER grid scheme.
Figure 1. ITER grid scheme.
Energies 16 05107 g001
Figure 2. Flowchart of the progressive approach for real-time simulation of complex DTs.
Figure 2. Flowchart of the progressive approach for real-time simulation of complex DTs.
Energies 16 05107 g002
Figure 3. CS Power Supply grid scheme.
Figure 3. CS Power Supply grid scheme.
Energies 16 05107 g003
Figure 4. RPC and CS Converter Unit.
Figure 4. RPC and CS Converter Unit.
Energies 16 05107 g004
Figure 5. Voltage command, coil current, and control modes.
Figure 5. Voltage command, coil current, and control modes.
Energies 16 05107 g005
Figure 6. Current load profile.
Figure 6. Current load profile.
Energies 16 05107 g006
Figure 7. Real-time case.
Figure 7. Real-time case.
Energies 16 05107 g007
Figure 8. Overload case.
Figure 8. Overload case.
Energies 16 05107 g008
Figure 9. Comparison of active power profiles with and without decoupling lines at 100 µs (offline).
Figure 9. Comparison of active power profiles with and without decoupling lines at 100 µs (offline).
Energies 16 05107 g009
Figure 10. Comparison of reactive power profiles with and without decoupling lines at 100 µs (offline).
Figure 10. Comparison of reactive power profiles with and without decoupling lines at 100 µs (offline).
Energies 16 05107 g010
Figure 11. Model with two CUs—two decoupling lines—three Model References.
Figure 11. Model with two CUs—two decoupling lines—three Model References.
Energies 16 05107 g011
Figure 12. Grid active power, model with two CUs−two decoupling lines−three Model References.
Figure 12. Grid active power, model with two CUs−two decoupling lines−three Model References.
Energies 16 05107 g012
Figure 13. Load active power, model with two CUs−two decoupling lines−three Model References.
Figure 13. Load active power, model with two CUs−two decoupling lines−three Model References.
Energies 16 05107 g013
Figure 14. RPC active power, model with two CUs−two decoupling lines−three Model References.
Figure 14. RPC active power, model with two CUs−two decoupling lines−three Model References.
Energies 16 05107 g014
Table 1. Maximum value of TET at 100 µs and 1 ms; models in implicit partitioning mode.
Table 1. Maximum value of TET at 100 µs and 1 ms; models in implicit partitioning mode.
Maximum Value
of TET at 100 µs
Maximum Value
of TET at 1 ms
Model with 2 CUs without decoupling lines in implicit partitioning mode154.5 µs0.015 ms
Model with 2 CUs with two decoupling lines in implicit partitioning mode122.5 µs0.008 ms
Table 2. Maximum value of TET at 100 µs and 1 ms.
Table 2. Maximum value of TET at 100 µs and 1 ms.
Model ReferencesMaximum Value
of TET at 100 µs
Maximum Value
of TET at 1 ms
Grid and RPC59.521 µs0.028 ms
CU 1 59.422 µs0.030 ms
CU 261.162 µs0.029 ms
Disclaimer/Publisher’s Note: The statements, opinions and data contained in all publications are solely those of the individual author(s) and contributor(s) and not of MDPI and/or the editor(s). MDPI and/or the editor(s) disclaim responsibility for any injury to people or property resulting from any ideas, methods, instructions or products referred to in the content.

Share and Cite

MDPI and ACS Style

Minetti, M.; Bonfiglio, A.; Benfatto, I.; Yulong, Y. Strategies for Real-Time Simulation of Central Solenoid ITER Power Supply Digital Twin. Energies 2023, 16, 5107. https://doi.org/10.3390/en16135107

AMA Style

Minetti M, Bonfiglio A, Benfatto I, Yulong Y. Strategies for Real-Time Simulation of Central Solenoid ITER Power Supply Digital Twin. Energies. 2023; 16(13):5107. https://doi.org/10.3390/en16135107

Chicago/Turabian Style

Minetti, Manuela, Andrea Bonfiglio, Ivone Benfatto, and Ye Yulong. 2023. "Strategies for Real-Time Simulation of Central Solenoid ITER Power Supply Digital Twin" Energies 16, no. 13: 5107. https://doi.org/10.3390/en16135107

APA Style

Minetti, M., Bonfiglio, A., Benfatto, I., & Yulong, Y. (2023). Strategies for Real-Time Simulation of Central Solenoid ITER Power Supply Digital Twin. Energies, 16(13), 5107. https://doi.org/10.3390/en16135107

Note that from the first issue of 2016, this journal uses article numbers instead of page numbers. See further details here.

Article Metrics

Back to TopTop