Analysis of Regular Wave Floating Characteristics of Mono-Column Composite Bucket Foundation during Towing
Abstract
1. Introduction
2. Methods and Measurement Instruments
2.1. Test Model
2.2. Measurement Instruments
3. Results and Discussion
3.1. Analysis of Towing Characteristics Based on Different Wave Periods
3.1.1. Analysis of Towing Force
3.1.2. Analysis of Air Pressure
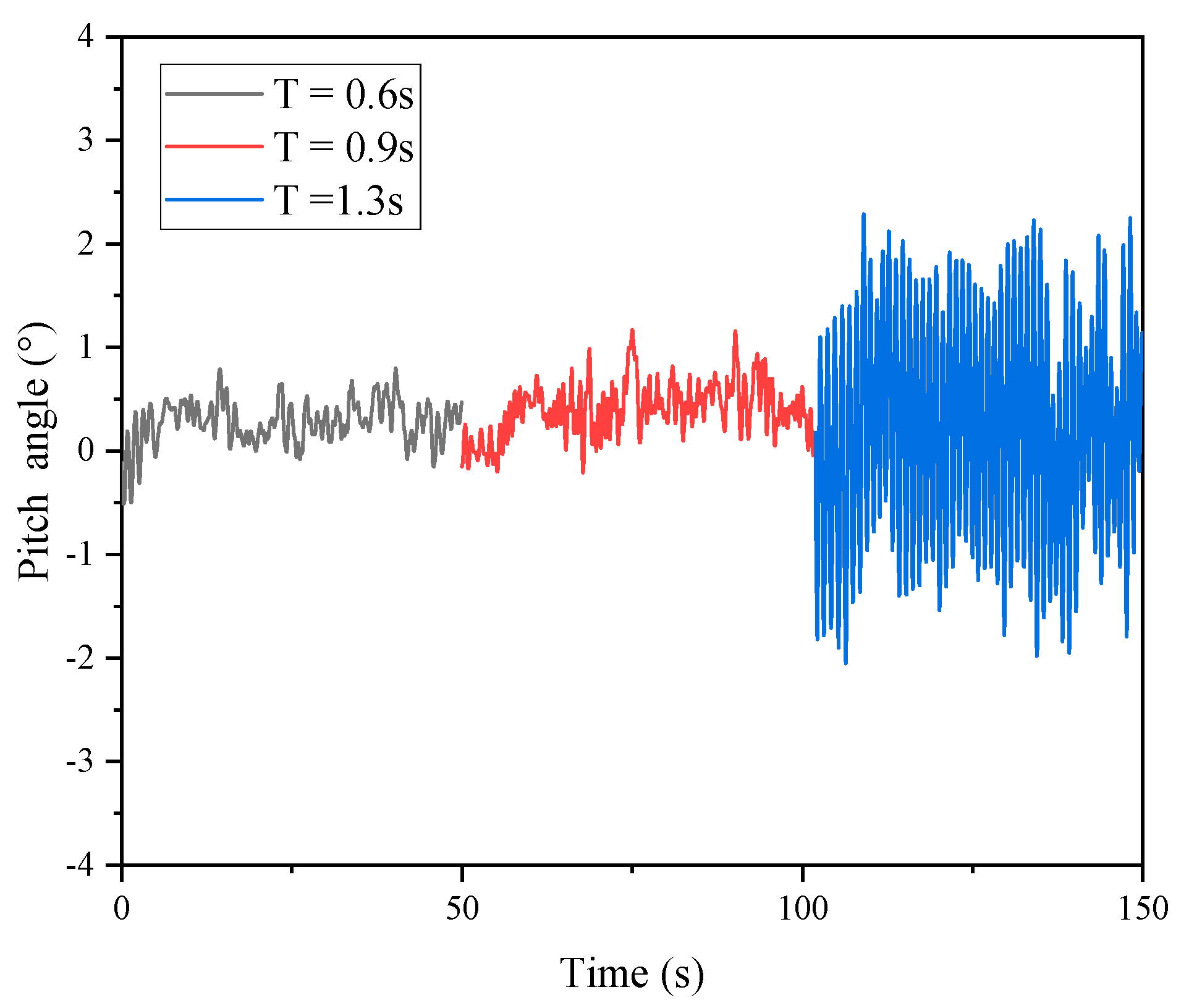
3.1.3. Analysis of Pitch
3.1.4. Analysis of Heave
3.2. Analysis of Towing Characteristics Based on Different Wave Heights
3.2.1. Analysis of Towing Force
3.2.2. Analysis of Air Pressure
3.2.3. Analysis of Pitch
3.2.4. Analysis of Heave
4. Conclusions
- (1)
- The initial stage of towing requires a significant towing force to provide the initial velocity, and the increase in the wave period and wave height gradually increases the initial towing force. Therefore, in practical engineering, appropriate cable materials should be selected based on actual sea conditions to ensure that the cable’s breaking tension meets the requirements of the ultimate towing force.
- (2)
- During the stable towing stage, the towing force also increases with an increase in the wave period and wave height, and the more severe the sea conditions, the greater the fluctuations in the towing force. The changes in cabin pressures also indicate that with an increase in the wave period and wave height, the fluctuations in cabin pressures become more pronounced, but the increase in wave height leads to a decrease in the horizontal values of the cabin pressures.
- (3)
- Both the yawing and heave responses of the structure increase gradually with increases in the wave period and wave height. It is evident that during actual towing operations, attention should be paid to the sea conditions, and appropriate measures should be taken to prevent encountering adverse sea conditions.
Author Contributions
Funding
Data Availability Statement
Conflicts of Interest
References
- Ding, H.; Peng, Y.; Zhang, P.; Nie, L.; Zhai, H. Numerical Simulation of Vacuum Preloading for Reinforcing Soil inside Composite Bucket Foundation for Offshore Wind Turbines. J. Mar. Sci. Eng. 2019, 7, 273. [Google Scholar] [CrossRef]
- Zheng, C.; Song, H.; Liang, F.; Jin, Y.P.; Wang, D.Y.; Tian, Y.C. 21st Century Maritime Silk Road: Wind Energy Resource Evaluation; Springer: Singapore, 2021; pp. 1–3. [Google Scholar]
- Ding, H.; Li, Z.; Lian, J.; Zhang, P.; Huang, X. Soil reinforcement experiment inside large-scale bucket foundation in muddy soil. Trans. Tianjin Univ. 2012, 18, 168–172. [Google Scholar] [CrossRef]
- Zhang, P.Y.; Ding, H.Y.; Le, C.; Huang, X. Towing characteristics of large-scale composite bucket foundation for offshore wind turbines. J. Southeast Univ. 2013, 29, 300–304. [Google Scholar]
- Liu, J.; Ni, D.; Xiao, J.; Zhang, P. Analysis of sinking process of single column composite bucket foundation of offshore wind power. Acta Energ. Sol. Sin. 2023, 44, 239–243. [Google Scholar]
- Fang, M.-C.; Ju, J.-H. The Dynamic Simulations of the Ship Towing System in Random Waves. Mar. Technol. SNAME News 2009, 46, 107–115. [Google Scholar] [CrossRef]
- Gonc¸alves, R.T.; Fujarra, A.L.; Rosetti, G.F.; Nishimoto, K.; Cueva, M.; Siqueira, E.F. Vortex-Induced Motion of a Monocolumn Platform: New Analysis and Comparative Study. In Proceedings of the 28th International Conference on Ocean, Offshore and Arctic Engineering (OMAE2009), Honolulu, HI, USA, 31 May–6 June 2009. [Google Scholar]
- Pan, Y. Floating method of large pipe section of Shanghai Outer Ring immersed immersed Tunnel. Constr. Technol. 2004, 5, 52–54. [Google Scholar]
- Zhang, Y. Modeling and Simulation of Drilling Platform Towing; Dalian Maritime University: Dalian, China, 2010. [Google Scholar]
- Li, L.; Zeng, X.; Li, N.; Wu, H.; Tian, H.; Liu, Y. Research on the ship type design of offshore wind power one-step transportation and installation platform. Marit. Saf. 2022, 5, 49–54. [Google Scholar]
- Fu, X.; Wan, J.; Qu, Z. Analysis and application of the structure and towing stability of the three-pile bucket foundation platform. Offshore Oil 2011, 31, 100–104. [Google Scholar]
- Ding, H.; Feng, Z.; Zhang, P.; Le, C.; Guo, Y. Floating Performance of a Composite Bucket Foundation with an Offshore Wind Tower during Transportation. Energies 2020, 13, 882. [Google Scholar] [CrossRef]
- Zhang, P.; Zhao, X.; Ding, H.; Le, C. The wet-towing resistance of the composite bucket foundation for offshore wind turbines. Mar. Struct. 2021, 80, 103089. [Google Scholar] [CrossRef]
- Le, C.; Ding, H.; Zhang, P. Testing research on the influence of the towline length on air cushion towing of a bucket foundation platform. J. Harbin Eng. Univ. 2012, 33, 811–816. [Google Scholar]
- Ding, H.; Hu, R.; Le, C.; Zhang, P. Towing Operation Methods of Offshore Integrated Meteorological Mast for Offshore Wind Farms. J. Mar. Sci. Eng. 2019, 7, 100. [Google Scholar] [CrossRef]























| Parameter | Prototype | Test Model |
|---|---|---|
| Bucket diameter | 36 m | 0.9 m |
| Bucket height | 13 m | 0.325 m |
| Middle cabin diameter | 10 m | 0.25 m |
| Bulkhead length | 13 m | 0.325 m |
| Gravity center height | 15.6 m | 0.395 m |
| Total mass | 1366 t | 21.35 kg |
| Turning radius, | 16.5 m | 0.412 m |
| Turning radius, | 12.7 m | 0.32 m |
| Wall thickness | - | 5 mm |
| Characteristic Value | Hm (cm) | Tm (s) | HS (cm) | TS (s) | HZ (cm) | TZ (s) | |
|---|---|---|---|---|---|---|---|
| Annual | Average | 142 | 6.3 | 82 | 5.9 | 52 | 4.6 |
| Maximum | 856 | 8.8 | 557 | 10.7 | 350 | 8.5 | |
| Condition | Draft (cm) | Navigational Speed (m/s) | Wave Period (s) | Wave Height (cm) |
|---|---|---|---|---|
| 1 | 20 | 0.2 | 0.6 | 3.5 |
| 2 | 0.9 | |||
| 3 | 1.3 |
| Condition | Draft (cm) | Navigational Speed (m/s) | Wave Height (cm) | Wave Period (s) |
|---|---|---|---|---|
| 1 | 10 | 0.2 | 2.5 | 1 |
| 2 | 5 | |||
| 3 | 7.5 |
Disclaimer/Publisher’s Note: The statements, opinions and data contained in all publications are solely those of the individual author(s) and contributor(s) and not of MDPI and/or the editor(s). MDPI and/or the editor(s) disclaim responsibility for any injury to people or property resulting from any ideas, methods, instructions or products referred to in the content. |
© 2023 by the authors. Licensee MDPI, Basel, Switzerland. This article is an open access article distributed under the terms and conditions of the Creative Commons Attribution (CC BY) license (https://creativecommons.org/licenses/by/4.0/).
Share and Cite
Xiao, J.; Liu, J.; Lin, Y.; Zhang, P.; Gao, Y. Analysis of Regular Wave Floating Characteristics of Mono-Column Composite Bucket Foundation during Towing. Energies 2023, 16, 5076. https://doi.org/10.3390/en16135076
Xiao J, Liu J, Lin Y, Zhang P, Gao Y. Analysis of Regular Wave Floating Characteristics of Mono-Column Composite Bucket Foundation during Towing. Energies. 2023; 16(13):5076. https://doi.org/10.3390/en16135076
Chicago/Turabian StyleXiao, Jiandong, Junfeng Liu, Yifeng Lin, Puyang Zhang, and Yang Gao. 2023. "Analysis of Regular Wave Floating Characteristics of Mono-Column Composite Bucket Foundation during Towing" Energies 16, no. 13: 5076. https://doi.org/10.3390/en16135076
APA StyleXiao, J., Liu, J., Lin, Y., Zhang, P., & Gao, Y. (2023). Analysis of Regular Wave Floating Characteristics of Mono-Column Composite Bucket Foundation during Towing. Energies, 16(13), 5076. https://doi.org/10.3390/en16135076

