Next Article in Journal
Investment Timing Analysis of Hydrogen-Refueling Stations and the Case of China: Independent or Co-Operative Investment?
Previous Article in Journal
A Review of the Computational Studies on the Separated Subsonic Flow in Asymmetric Diffusers Focused on Turbulence Modeling Assessment
 
 
Font Type:
Arial Georgia Verdana
Font Size:
Aa Aa Aa
Line Spacing:
Column Width:
Background:
Article

A Computational Study of Chaotic Flow and Heat Transfer within a Trapezoidal Cavity

by
Md. Mahafujur Rahaman
1,2,
Sidhartha Bhowmick
1,*,
Rabindra Nath Mondal
1 and
Suvash C. Saha
3,*
1
Department of Mathematics, Jagannath University, Dhaka 1100, Bangladesh
2
Department of Computer Science and Engineering, Z. H. Sikder University of Science and Technology, Shariatpur 8024, Bangladesh
3
School of Mechanical and Mechatronic Engineering, University of Technology Sydney, Ultimo 2007, Australia
*
Authors to whom correspondence should be addressed.
Energies 2023, 16(13), 5031; https://doi.org/10.3390/en16135031
Submission received: 27 May 2023 / Revised: 20 June 2023 / Accepted: 26 June 2023 / Published: 28 June 2023
(This article belongs to the Section J1: Heat and Mass Transfer)

Abstract

Numerical findings of natural convection flows in a trapezoidal cavity are reported in this study. This study focuses on the shift from symmetric steady to chaotic flow within the cavity. This cavity has a heated bottom wall, a cooled top wall, and adiabatic inclined sidewalls. The unsteady natural convection flows occurring within the cavity are numerically simulated using the finite volume (FV) method. The fluid used in the study is air, and the calculations are performed for different dimensionless parameters, including the Prandtl number (Pr), which is kept constant at 0.71, while varying the Rayleigh numbers (Ra) from 100 to 108 and using a fixed aspect ratio (AR) of 0.5. This study focuses on the effect of the Rayleigh numbers on the transition to chaos. In the transition to chaos, a number of bifurcations occur. The first primary transition is found from the steady symmetric to the steady asymmetric stage, known as a pitchfork bifurcation. The second leading transition is found from a steady asymmetric to an unsteady periodic stage, known as Hopf bifurcation. Another prominent bifurcation happens on the changeover of the unsteady flow from the periodic to the chaotic stage. The attractor bifurcates from a stable fixed point to a limit cycle for the Rayleigh numbers between 4 × 106 and 5 × 106. A spectral analysis and the largest Lyapunov exponents are analyzed to investigate the natural convection flows during the shift from periodic to chaos. Moreover, the cavity’s heat transfers are computed for various regimes. The cavity’s flow phenomena are measured and verified.

1. Introduction

The investigation of natural convection flows within enclosed cavities has gained substantial attention owing to its numerous real-world applications in fields, such as geothermal reservoir fluid flow, nuclear reactor cooling, solar energy collection, sterilization, food processing, electronic device cooling, food drying, double-pane windows, and others. The research works [1,2,3,4] have also addressed practical engineering issues, such as electronic and computer hardware, pollution control, and thermal energy storage systems. Research studies [5,6,7,8,9,10,11,12,13] related to natural convection have focused largely on square and rectangular geometries. Further investigations [14,15,16,17] have explored heat transfer through tending surfaces in an attic space to develop homes that are appropriate for both cold and hot environments. Two thermal boundary conditions have been identified as the primary considerations for modeling attic spaces in building geometry: (i) daytime heating, where the sloped boundaries are heated while the bottom is cooled, as well as (ii) nighttime cooling, where the sloped boundaries are cooled while the bottom is heated.
Earlier studies suggested that the flow within a cavity was symmetrical along its centerline. Holtzman et al. [18] discovered that the natural convection flows within an isosceles triangular cavity changed from symmetric to asymmetric patterns. Their numerical solutions showed that symmetric structures were present at low Grashof numbers, with a single-cell structure on each side of the midline. Once the Grashof number exceeds a critical value, the previously stable symmetric findings turn out to be unstable, and the solutions start exhibiting asymmetrical patterns. Holtzman et al. [18] additionally performed a flow visualization experiment where smoke was gradually injected into the cavity. The flow patterns that they found in the visualization experiment corroborated their numerical solutions, providing evidence for the shift from symmetric to asymmetric as the Grashof number increased. Ridouane and Campo’s [19] numerical calculation further validated this finding. Saha et al. [20] investigated the nature of pitchfork bifurcation under a condition of cyclic thermal forcing on the tending boundaries of an attic space. The study of dynamics and heat transfer inside a V-shaped enclosure was crucial due to their widespread occurrence in both natural and engineering fields. Bhowmick et al. [21,22] conducted a computational analysis to study the shift from steady flow to chaos with a series of bifurcations inside a V-shaped enclosure. Wang et al. [23] experimentally investigated natural convection within a V-shaped enclosure heated from the base and cooled from the top, applying the same boundary conditions as Bhowmick et al. [22].
For many engineering applications, and geological situations, when the enclosure’s geometry differs or has additional sloped surfaces, any triangle, square, or rectangular enclosure is insufficient. Natural convection in enclosed cavities with non-classical geometries, such as trapezoidal shapes, poses a challenge due to the presence of sloped walls and requires accurate code construction and grid generation. Despite this, various studies have been conducted to investigate natural convection flows within trapezoidal cavities. Iyican et al. [24,25] conducted groundbreaking studies of natural convection in a sloped trapezoidal cavity, wherein the upper and base walls were cylindrical and parallel. They studied this phenomenon under various conditions, including different temperatures, adiabatic sidewalls, multiple inclination angles, and Rayleigh numbers. Their experimental findings demonstrated how the angle of inclination affects the natural convection of air in a trapezoidal cavity across an extensive array of Rayleigh numbers. Lam et al. [26] carried out a comprehensive study involving both experimental and computational methods to examine natural convection within a trapezoidal cavity. The cavity had two insulated sidewalls perpendicular to each other, a cold upper wall that sloped downwards, and a hot horizontal base wall. Lee [27] conducted both computational and experimental studies on an incompressible fluid, within a sloped non-rectangular cavity. The findings were reported for a range of Ra = 102 to 105 and Pr = 0.001 to 100. The inclination angles were set at 22.5°, 45°, and 77.5°, while the aspect ratios were 3 and 6. The study found that the heat transfer, as well as fluid flows within the cavity were heavily influenced by both the inclination angle of the cavity as well as the values of the Rayleigh and Prandtl numbers. Perić [28] carried out a similar investigation with thoroughly perfected mashes from 10 × 10 to 160 × 160 and found that the results were independent of the mesh size. Kuyper and Hoogendoorn [29] analyzed laminar natural convection flow inside a trapezoidal enclosure, with a focus on how the tilt angle affects the flow and the extent to which the Nusselt number depends on the Rayleigh number. Natarajan et al. [30] examined the natural convection flow inside a trapezoidal cavity with an evenly heated base wall, a linearly cooled and/or heated perpendicular wall(s), and an insulated top wall. They observed that the flow patterns were symmetrical when the sidewalls were heated linearly, but a secondary circulation was found when the left wall was heated linearly and the right wall was cooled. Varol et al. [31] examined the phenomenon of natural convection inside a trapezoidal cavity that was partially cooled by a sloped wall. Three different scenarios were analyzed, and it was concluded that, as the Rayleigh number raised, both the flow intensity and Nusselt number raised. Additionally, these factors were observed to be highly dependent on the placement of the cooling mechanism. They discovered that the flow intensity was highest when the cooling mechanism was situated near the top wall. The researchers also noted that, in comparison to cases 1 and 2, the local and average Nu values were lower in case 3.
Basak et al. [32] numerically investigated natural convection flows inside a trapezoidal cavity. This cavity had an evenly heated bottom wall, at least one vertical wall that was heated linearly, and an insulated top wall. The findings were shown for various inclination angles of the sidewalls, Pr values (0.7–1000), as well as an array of Ra values (103–105). The researchers noted that the flow patterns exhibited symmetry when the sidewalls were heated linearly, and they discovered that plots of the Nusselt number displayed a greater rate of heat transfer for an inclination angle of 0°. Lasfer et al. [33] conducted a computational investigation on natural convection inside a trapezoidal enclosure that had a heated left inclined sidewall, a cooled perpendicular sidewall, and two horizontal walls that were insulated. The study investigated how the flow patterns and heat transfer were impacted by the tilt angle of the heated wall, the Rayleigh number, and the aspect ratio. Basak et al. [34] also discovered the natural convection flow in a trapezoidal cavity, utilizing a finite element method, where the left sidewall was linearly heated, and the right sidewall was cooled. They noticed that, regardless of the heating patterns of the sidewalls, the square cavity exhibited greater overall heat transfer rates in comparison to other cavity shapes. Mustafa and Ghani [35] applied the FV method to examine the natural convection flows inside a trapezoidal cavity, which was partially heated from the base and cooled symmetrically from the sides. Four different dimensionless heat source lengths were evaluated in the study. The researchers concluded that there was a proportional increase in the average Nusselt number with the increase in the length of the heat source. Recently, Rahaman et al. [36,37] analyzed the unsteady natural convection flows inside a trapezoidal cavity that was initially filled with stratified air and had a heated base and cooled upper horizontal walls. The inclined walls were adiabatic. The findings of the study hold significance for both atmospheric fluid dynamics and the processes of heat transfer and airflow within a thermally stratified atmosphere.
This literature review suggests that there is a dearth of study on natural convection in trapezoidal cavities, particularly in the case of ambient air when the base wall is heated, the top wall is cooled, and the inclined sidewalls are adiabatic. Thus, this study aims to fill this gap by examining the two-dimensional natural convection flow of ambient air within such a cavity by applying numerical methods and appropriate boundary conditions. The FV method is utilized to simulate the Navier–Stokes and Energy equations, and the study focuses on how the heat and mass transfer varies with the Rayleigh number. This study also investigates the shift from a steady to a chaotic state, which takes place through a series of bifurcations. These include a Pitchfork bifurcation when shifting from a state of symmetry to asymmetry and a Hopf bifurcation when shifting from a steady state to a periodic state. The significance of this study lies in the relevance of natural systems, such as the atmosphere and ocean.

2. Computational Procedure

A Newtonian fluid, specifically air with a Prandtl number of 0.71, occupies the trapezoidal cavity. The fluid within the cavity is stationary and maintains a constant temperature of T0. The cavity’s inclined sidewalls are adiabatic, while the top and bottom walls are cooled and heated, respectively, at the beginning (t = 0), and the temperature is kept constant thereafter. To investigate the two-dimensional natural convection flows inside a trapezoidal enclosure with an aspect ratio (AR) = 0.5, a numerical analysis is conducted using the FV method. This method was also employed in references [36,37] for a similar geometric model. The physical domain is depicted in Figure 1, with appropriate boundary conditions, and has horizontal and vertical lengths of 2L and H, respectively, where L = 2H (AR = 0.5). To prevent singularities occurring at the points where the inclined and the top walls intersect, the tips of the two top corners are cut by around 4% of L, and the cutting walls are supposed to be adiabatic. It is anticipated that the minor alteration to the domain will not considerably affect the computed flow and heat transfer characteristics, as observed in earlier studies [19,20,38].
The formation of two-dimensional natural convection flows in a trapezoidal cavity is determined by solving the dimensionless Navier–Stokes and energy equations with the Boussinesq approximation [21,37]:
u x + v y = 0 ,
u τ + u u x + v v y = p x + P r R a 1 / 2 2 u x 2 + 2 u y 2 ,
v τ + u v x + v v y = p y + P r R a 1 / 2 2 u x 2 + 2 u y 2 + P r θ ,
θ τ + u θ x + v θ y = 1 R a 1 / 2 2 θ x 2 + 2 θ y 2 .
The dimensionless parameters are defined in the following manner:
x = X H ,   y = Y H ,   u = U H κ R a 1 / 2 ,   v = V H κ R a 1 / 2 ,   p = P H 2 ρ κ 2 R a ,   θ = T T 0 T h T c ,   τ = t κ R a 1 / 2 H 2 .
The objective is to study the natural convection flows within a trapezoidal cavity under varying temperature conditions. The development of the flow within the cavity is characterized by three dimensionless parameters: Rayleigh number (Ra), Prandtl number (Pr), and aspect ratio (AR). These parameters are defined as follows (see references [37,39]):
Ra = g β T h T c H 3 ν κ ,
Pr = ν κ ,
A R = H L .
The dimensionless governing equations are accompanied by the initial and boundary conditions which are described below:
  • At the beginning of the simulation, the dimensionless initial temperature of the air is set to θi = 0.5, and the air’s velocity is set to zero.
  • The dimensionless temperature at the hot bottom wall is θh = 1, while the cold top wall is θc = 0. Additionally, there is no temperature gradient normal to the sidewalls of the cavity, i.e., θ n = 0. The velocity of air at the bottom, top, and sidewalls of the cavity is zero (no-slip, u = v = 0).
  • The tiny tips are supposed to be rigid, non-slip, and adiabatic.
The FV method with the SIMPLE scheme is applied to solve the governing Equations (1) to (4) with definite initial and boundary conditions. The linear and viscous elements are discretized by applying a second-order central differencing approach while the advection terms are discretized by using a QUICK scheme, as described in Refs. [20,39]. To solve the discretized equations, the method of under-relaxation factors is applied, and a non-uniform, non-staggered rectangular grid is constructed using the commercial software ICEM 17.0. Rahaman et al. [36,37] effectively utilized this numerical method to investigate the unsteady flows within a 2D trapezoidal cavity. Computational methods were successfully employed to model the natural convection process inside the trapezoidal cavities in studies [24,25,26,27,28,29,30,31,32,33,34,35,36,37]. To solve for pressure, momentum, and energy equations, under-relaxation factors of 0.3, 0.7, and 1.0 are, respectively, applied. The convergence criteria for the successive iterative solution are met when the absolute difference between the solution variables of two consecutive iterations is less than a pre-defined small value, which is set to 10−5.

3. Mesh-Dependent Test and Model Validation

A mesh-dependent test is carried out to investigate how the mesh size affected the precision of the computational findings. In order to precisely record the actual flow properties in particular areas of the domain, it is crucial to use a substantial quantity of meshes. The sensitivity of the mesh is evaluated at the highest Rayleigh number, and it is anticipated that the mesh chosen for the highest Ra value will also be suitable for situations with lower Ra values. In the current study, the highest Rayleigh number of Ra = 108 is investigated using three distinct mesh sizes: 225 × 75, 300 × 100, and 375 × 125. Figure 2 illustrates the calculation of the temperature time series at point P2 (0, 0.40), using different meshes to assess the impact of the mesh size on flow phenomena. The results reveal that temperature time series for different meshes are similar in the early stage, but slight variations are observed in the fully developed stage (FDS). In addition, an investigation of time step sensitivity is performed utilizing two distinct dimensionless time steps of 0.01 and 0.005. The temperature sequence at point P2 is compared for two distinct time steps, and it is observed that small changes occurred only during the occurrence of the oscillations.
The impact of the mesh and time step size on the simulation outcomes are also evaluated in terms of the average u-velocity at P3 (0, 0.53) in the FDS, and the findings are presented in Table 1. The table demonstrates that the variance in the average u-velocity computed using distinct meshes is minimal, with a difference of less than 1.4%. This suggests that the size of the mesh has a minimal impact on the simulation outcomes, indicating that the results are not significantly influenced by the mesh size (for more information, see [40]). Additionally, the variation in the average u-velocity obtained using different time steps (0.01 and 0.005) is only about 0.24%, which means that either time step can be used. However, based on computational expense, a mesh size of 300 × 100 and a time step of 0.01 are selected for the current simulation.
To confirm the accuracy of the numerical investigation, model validation is an essential step. Unfortunately, there is an insufficiency of experimental results on cavities with a heated bottom wall, and only a few numerical results can be found for comparison purposes. To validate the current code, the findings are compared with the computational findings of Basak et al. [32] under similar boundary conditions. The streamlines and isotherms show excellent agreement with Basak et al. [32]. The comparison is performed with the same dimensionless parameters: Ra = 105, Pr = 0.7, as well as a trapezoidal angle of φ = 45°. The details of this comparison can be found in the authors’ earlier work [37] and are not included in this paper. Moreover, we have also conducted a comparison between our numerical code outcomes and those obtained by Moukalled and Darwish [41] in the scenario where the trapezoidal cavity does not have any baffles. Please refer to Figure 3 for visual representation. We have observed a favorable agreement between our findings and the outcomes presented in [41] regarding both the streamlines and the Nusselt number.

4. Results and Discussion

The numerical method has been validated and is applied to model the natural convection flows, as well as the heat transfer inside a trapezoidal cavity, where the bottom wall is heated, the top wall is cooled, and the sidewalls are adiabatic. The simulation covers a wide range of Ra values between 100 and 108. The cavity has an AR of 0.5, and the fluid used in the simulation is air, with a Prandtl number of 0.71. As the Ra values increase, a series of bifurcations occurs, causing a shift from a symmetrical flow dominated by conduction at lower Rayleigh numbers to a chaotic flow at higher Rayleigh numbers. The different types of flows have been outlined in the subsequent sections.

4.1. Steady Symmetric Flow

To provide a clear understanding of the reactions happening inside the enclosure, a two-dimensional natural convection flow with streamlines and isotherms is presented in Figure 4. Initially, the air inside the trapezoidal cavity is stationary and isothermal. During the numerical simulation, the bottom boundary is heated, the top boundary is cooled, and the inclined boundaries are adiabatic, resulting in the development of thermal boundary layers (TBL) along the interior boundaries. The TBL adjacent to the bottom boundary is a heating TBL, and the TBL adjacent to the top boundary is a cooling TBL (for details, see [42]). Due to the temperature differences and the gravity field, a flow circulation is generated within the enclosure. The warm air from the lower section travels through the boundary layer (BL) to the cooler upper section, while the cold air from the upper section flows toward the bottom through the BL. Therefore, hot air rises from the bottom and cold air sinks from the top. For small Rayleigh numbers (100 to 103), the results are not reported due to conciseness. Between the Rayleigh numbers 104 and 106, the isotherms and streamlines indicate the initial flow pattern described by weak rotating convective cells. At Ra = 104, the temperature changes within the cavity follow an almost linear pattern, and conduction dominates the heat transfer mode.
However, with the rise in Ra values, the buoyancy force becomes more dominant than the viscous force, leading to an augmentation of the natural convection impact. As a result, the isotherms deviate from a uniform pattern, indicating the strong circulation in the enclosure. Between Rayleigh numbers 105 and 106, a few secondary cells appear with the two primary cells at the transitional stage. In the FDS, the two symmetric primary cells rotate in opposite directions about the mid-plane. Hence, for Ra values ranging from 100 to 106, the flow exhibits symmetry relative to the cavity’s y-axis. Thus, the flow is steady and symmetric at this stage for Ra ≤ 106.

4.2. Asymmetric Flow

As per earlier studies [19,43], a pitchfork bifurcation is responsible for the shift of the flow from symmetry to asymmetry. This section also illustrates the occurrence of this bifurcation in various ways. The isotherms and streamlines illustrated in Figure 5a indicate that the primary 2D flow is steady and symmetric for Ra = 1.5 × 106 at τ = 250. However, as the Ra is increased to 2 × 106, the flow becomes asymmetrical and the convective cell tilts to one side of the cavity’s symmetry line or the other, which may depend on the initial perturbations. Figure 5b presents the numerical results indicating that when Rayleigh–Bénard (RB) convection begins, an asymmetric flow occurs. The phenomenon where a symmetrical solution transforms into an asymmetric solution is referred to as a pitchfork bifurcation, and further information about pitchfork bifurcations can be found in Refs. [19,42].
To explain the pitchfork bifurcation, two temperature time series are analyzed at two points, P5 (0.53, 0.51) and P6 (−0.53, 0.51), for the Rayleigh numbers 1.5 × 106 and 2 × 106. These two points are symmetric with regard to the cavity’s symmetry plane. In Figure 6a, it is evident that the two temperature time series for Ra = 1.5 × 106 coincide for a considerable amount of time, which implies that there is a symmetrical flow with regard to the cavity’s symmetry plane during that time. However, for Ra = 2 × 106, the time series of the temperature at two points start to show discrepancies between τ = 200 and 300, indicating that the pitchfork bifurcation has taken place, and the flow has shifted to an asymmetry state.
In order to obtain a more comprehensive understanding of the pitchfork bifurcation, a bifurcation diagram is produced in the Ra-u plane, depicted in Figure 6b. The diagram shows that, for Rayleigh number Ra ≤ 1.5 × 106, the x-velocity at P4 (0, 0.80) is approximately zero, which implies that the flow maintains symmetry with regard to the cavity’s symmetry plane. However, for Rayleigh numbers greater than 1.5 × 106, the x-velocity increases to the right side, as indicated by the square black line, and decreases to the left side, as indicated by the circular blue line, as shown in Figure 6b. These changes suggest that the pitchfork bifurcation occurs between the Rayleigh numbers 1.5 × 106 and 2 × 106, leading to the flow shifting to asymmetry for Ra = 2 × 106.
The level of asymmetry in the flow from the trapezoidal cavity is quantified by [19]
I = θ x ,   y θ x ,   y 2 d x d y 4 θ x ,   y 2 d x d y .
A value of I = 0 corresponds to a steady state that is symmetrically reflective, whereas a non-zero value of I indicates that the steady state is asymmetric. The value of I is computed for different Ra values ranging from 103 to 108 and is illustrated in Figure 6c. It is apparent that I is roughly zero when Ra is equal to 1.5 × 106. However, for Ra equal to 2 × 106, I substantially increases, implying a transition from symmetry to asymmetry. As depicted in Figure 6c, I continues to increase as the Ra increases.

4.3. Unsteady Flow

As the Ra values rise, the convection flow strengthens, leading to the formation of RB convection, which dominates the heat transfer within the cavity. This rise in the Ra values has a substantial impact on the temperature distribution within the cavity, causing a more pronounced temperature gradient near the hot and cold surfaces.

4.3.1. Hopf Bifurcation

In the FDS for Ra < 2 × 106, as illustrated in Figure 5, the natural convection flow attains an asymmetric steady state. Furthermore, as shown in Figure 7a, the flow also approaches an asymmetric steady state for Ra = 4 × 106 in the FDS. However, for the Ra value of 5 × 106, a couple of tiny cells appear in the upper portions of the cavity, as portrayed in Figure 7b. That is, for Ra = 5 × 106, the flow becomes unsteady in the FDS. This means that Hopf bifurcation occurs between the Ra values of 4 × 106 and 5 × 106.
After the Hopf bifurcation, Figure 8 illustrates the flow patterns with higher Rayleigh numbers, Ra ≥ 5 × 106, which lead to the next findings. The convective flow becomes periodic from Ra = 5 × 106 and chaotic from Ra = 3 × 107 in the FDS. Figure 8a displays that the convective flow is not steady in the FDS for Ra = 5 × 106, characterized by the appearance of small cells in the upper portion of the cavity and the rhythmic oscillation of larger cells in the middle. This indicates that for Ra = 5 × 106 a Hopf bifurcation might occur (see Ref. [44] for more information). Another observation in the FDS is that, when Ra = 2 ×107, two additional tiny cells form in the corner of the cavity, leading to an oscillatory flow (refer to Figure 8b). The flow also becomes more complicated. As the Ra rises, both larger cells in the center cavity migrate continuously toward the left and right sides. In the FDS, a completely chaotic flow develops for Ra = 3 × 107, as depicted in Figure 8c. The chaotic flow gets more complicated as the Rayleigh number rises further.
To understand the unsteady flow, temperature time series are presented in Figure 9. In the FDS, the temperature time series at P1 (0, 0.27) reaches a steady state for Ra = 4 × 106, as depicted in Figure 9a. Conversely, the time series of the temperature becomes periodic when the Ra is increased to 5 × 106, which indicates a Hopf bifurcation between Ra = 4 × 106 and 5 × 106, as depicted in Figure 9b. Essentially, the occurrence of Hopf bifurcation implies that an oscillating solution arises from an unstable steady solution. Figure 9c illustrates the spectral analysis of the temperature time series, revealing a fundamental peak frequency fp = 0.345, and separate harmonic modes are present.
To enhance comprehension of the Hopf bifurcation mechanism, Figure 10 displays the state-space trajectories in the v-θ plane at P3 (0, 0.53) during the time interval τ = 700 and 2000. As shown in Figure 10a, when Ra = 4 × 106, the (v, θ) trajectory converges toward a fixed point (represented by the teal green point), while in Figure 10b, it moves toward a closed limit cycle for Ra = 5 × 106 (represented by the purple orbit). The transition from a limit point to a limit cycle attractor when the Ra changes from 4 × 106 to 5 × 106 indicates the occurrence of a Hopf bifurcation within this range.

4.3.2. Transition to Chaos

The results indicate that a chaotic flow occurs when the Ra value is large enough. The streamlines and isotherms depicted in Figure 7b,c illustrate the transition to chaos. Spectral analysis, phase-space trajectories, and computation of the Lyapunov exponent are performed to demonstrate the generation of complex structures in the flow. Time series of the temperature at P1 (0, 0.27) for two different Ra values (2 × 107 and 3 × 107) are presented in Figure 11a,c, respectively, along with their corresponding spectral analysis, depicted in Figure 11b,d. As portrayed in Figure 11a,b, the temperature sequence remains periodic for Ra = 2 × 107. The temperature sequence becomes chaotic at Ra = 3 × 107, as displayed in Figure 11c, which is consistent with the findings of the spectral analysis presented in Figure 11d. In fact, the power spectral density for Ra = 3 × 107 does not exhibit a distinct dominant frequency, indicating the onset of chaos in the unsteady flow.
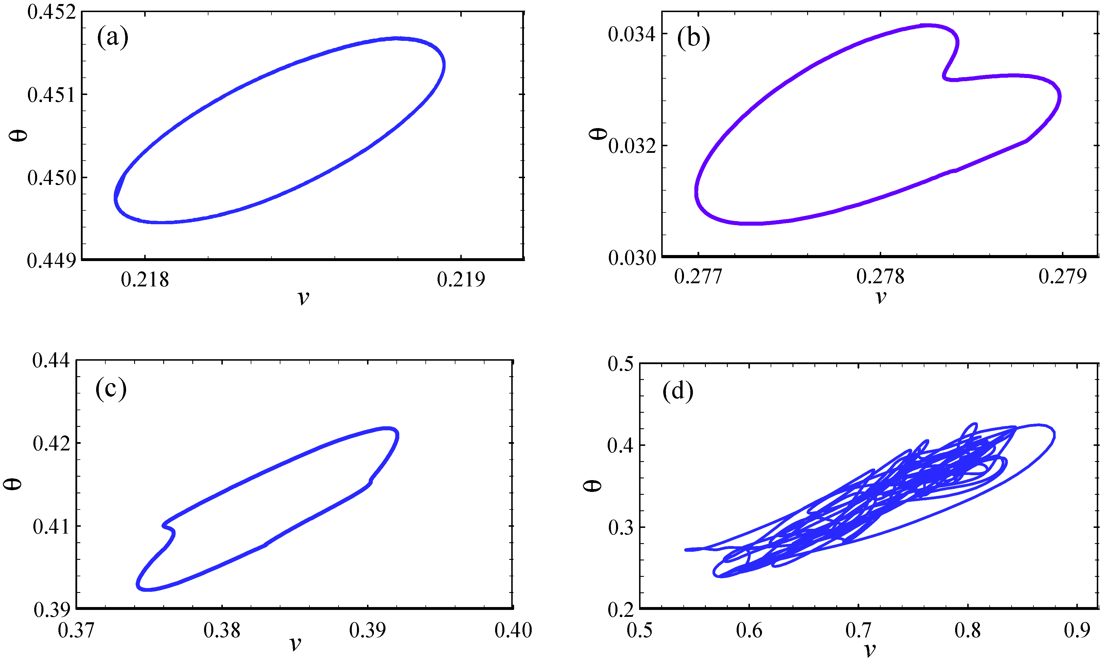
Figure 12 displays phase-space trajectories of v-θ planes at position P3 (0, 0.53) for Ra values of 5 × 106, 107, 2 × 107, and 3 × 107, in order to facilitate additional observations. It is evident from Figure 12a–c that almost identical limit cycles appear. This indicates that for Ra = 5 × 106, 107, and 2 × 107, periodic flows exist. In Figure 12d, the trajectories degenerate into chaos for Ra = 3 × 107. That suggests that between Ra = 2 × 107 and 3 × 107, another bifurcation occurs between the periodic to the chaotic state (for details, see Ref. [45]).
Earlier studies (e.g., [46,47,48]) have shown that the shift to chaos can be defined by the largest Lyapunov exponent (λL). To be precise, ε 0 refers to the distance between two points in the phase space at the beginning time, while ε(t) denotes the distance after a certain number of time steps, and then the following equation holds true [45,47,49].
ε t ε 0 e λ L t .
If λL is greater than zero, then the nonlinear system is classified as chaotic (see Ref. [41]). The most prominent Lyapunov exponent may consider the transition to chaos, which is defined as follows (see also [21]):
λ L = 1 τ n τ 0 j = 1 n ln ε u j ε u j 1 .
where ε(uj) represents the geometric separation between uj and uj−1. In this investigation, the initial time step is τ0 = 1500, and the time step after the time n (= 5 × 104) is τn = 2000, for the fluid with Pr = 0.71. If the exponent is greater than zero, the distance will increase infinitely over time. In other words, a nonlinear system degenerates into chaos when λL is greater than zero. Equation (11) was used to calculate the λL for various Ra, using the x-velocity at P3 (0, 0.53). The outcomes are depicted in Figure 13. As depicted in the figure, when the Ra is greater than or equal to 3 × 107, λL is greater than zero. However, the figure demonstrates that for Ra = 2 × 107, λL is negative. This indicates that the x-velocity becomes chaotic only when the Ra is greater than or equal to 3 × 107. With a further increase in the Ra, λL continues to rise, and the flow exhibits greater degrees of chaos, as depicted in Figure 12d.

5. Heat Transfer

The flow visualization and numerical findings presented earlier unambiguously demonstrate that the natural convection flows within the trapezoidal cavity become stronger as the Rayleigh number rises. To be specific, at higher Rayleigh numbers, the convective instabilities are more pronounced. As the Ra increases, the rate of heat transfer across the cavity also increases. To quantify this heat transfer rate, we use the dimensionless Nusselt number (Nu), which is defined as follows (for details [22,23,50]):
Nu = 1 l l   θ n d s
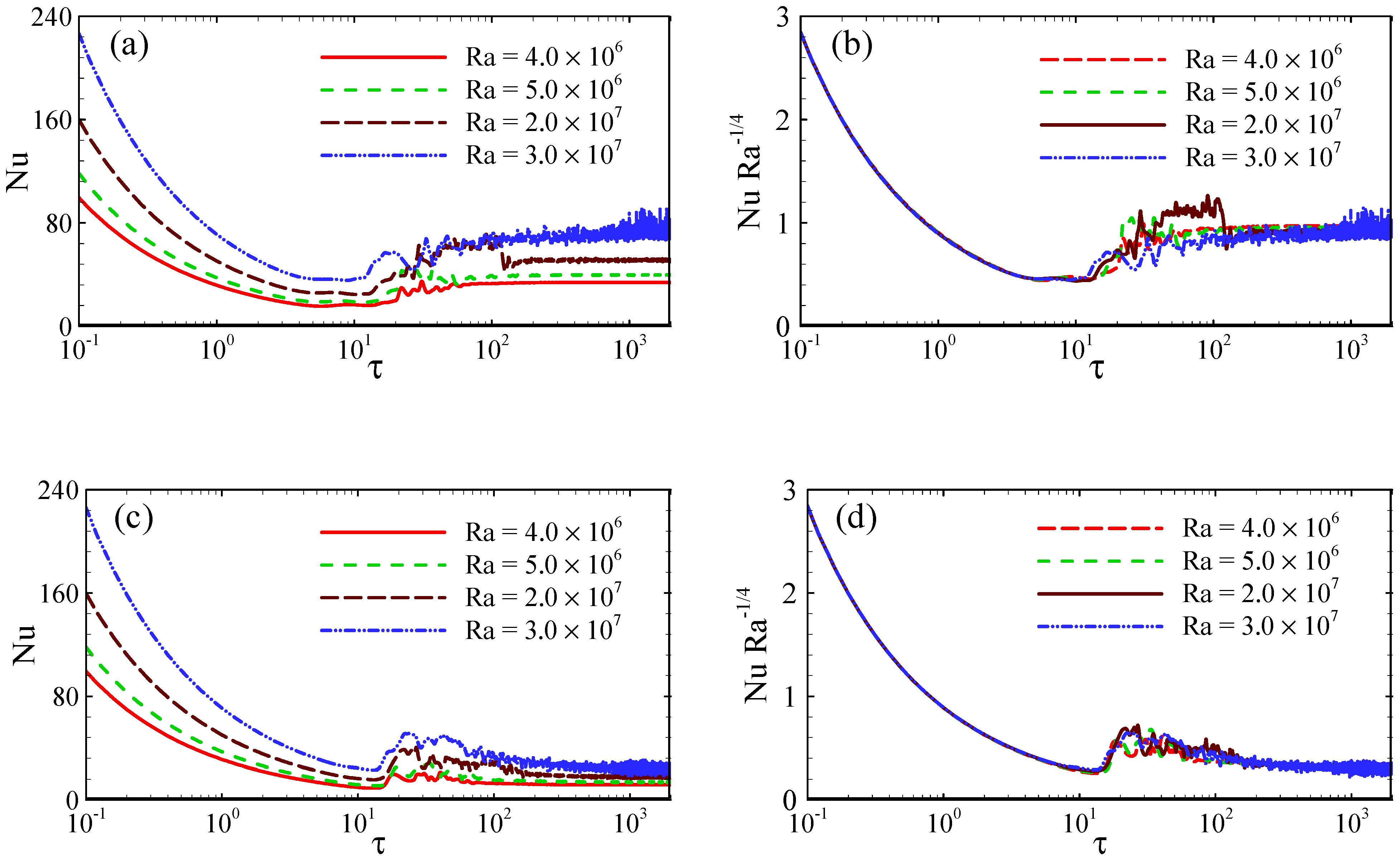
Due to the heating and cooling of the bottom and top walls, there is a substantial heat transfer at the beginning of the process, mainly caused by the considerable temperature variance between the fluid and the walls. In the initial phase, the heat transfer rate decreases considerably and ultimately reaches a steady or oscillatory value, subject to the Ra values, in the FDS. It should be emphasized that the Nu is higher at the bottom wall compared to the top wall, as the bottom has a smaller surface area available for heat transfer. For the lower Rayleigh numbers (Ra = 100 to 105), the heat transfer is dominated by conduction. For the sake of brevity, the results are not presented here. The Nusselt number remains constant for Ra ≤ 4 × 106, periodic for 5 × 106 ≤ Ra ≤ 2 ×107, and chaotic for Ra ≥ 3 × 107 in the FDS depicted in Figure 14. From Figure 14b,d, it is illustrated that the lines coincide together, not shown in Figure 14a,c. Which indicates that in the current investigation, the relation of Nu ~ Ra1/4 is applicable for the Ra values under consideration.

6. Conclusions

The finite volume method is used to numerically simulate the unsteady natural convection inside the trapezoidal cavity, where the bottom wall is heated, the top wall is cooled, and the inclined sidewalls are adiabatic. Calculations were conducted for air utilizing the Prandtl number Pr = 0.71, extensive Ra values ranging from 100 to 108, and an aspect ratio (AR = 0.5).
From the isotherms and streamlines, it is observed that the flow circulation in the trapezoidal cavity is very weak for the lower Ra, because the convection is dominated by conduction. As the Ra rises, there is a distinct change in the shape of the circulating vortices, indicating a significant increase in the dominance of convection over conduction. The convective flow in the cavity undergoes a series of bifurcations that result in a shift from a symmetric to a chaotic state. Between the Ra values 1.5 × 106 and 2 × 106, the first bifurcation happens, which is known as pitchfork bifurcation. With the rise in the Ra values, a Hopf bifurcation happens between Ra = 4 × 106 and Ra = 5 × 106. When the Ra values rise, the flow turns chaotic at Ra = 3 × 107, and as the Ra values continue to rise, the flow becomes even more chaotic. The process of shifting to chaos is characterized by using limit points, limit cycles, attractors, spectral analysis, and the largest Lyapunov exponent.
Additionally, the characteristics of the heat transfer within the cavity have been studied. The Nusselt number has been calculated for both the bottom and top walls, and it has been normalized by using the relation Nu ~ Ra1/4. It is important to mention that heat transfer is more pronounced at the lower wall compared to the upper wall.

Author Contributions

Conceptualization, S.C.S. and S.B.; methodology, M.M.R. and S.B.; validation, M.M.R. and S.B.; formal analysis, M.M.R., S.B. and S.C.S.; investigation, M.M.R. and S.B.; writing—original draft preparation, M.M.R.; writing—review and editing, S.C.S., S.B. and R.N.M.; visualization, M.M.R.; supervision, S.B. and R.N.M.; project administration, S.B. All authors have read and agreed to the published version of the manuscript.

Funding

This research was funded by Jagannath University Research Project 2022–2023/Science/26.

Data Availability Statement

All data produced from the simulations are used in this manuscript.

Conflicts of Interest

The authors declare no conflict of interest.

Nomenclature

ARaspect ratiou, vdimensionless velocity components
Lhalf-length of the cavity (m)fdimensionless frequency
Hheight of the cavity (m)fpdimensionless peak frequency
gacceleration due to gravity (m/s2)λLlargest Lyapunov exponent
ttime (s)βcoefficient of thermal expansion (1/K)
Idegree of asymmetryujx-velocity after j times
ldimensionless length of the surfaceε(vj) geometric distance between vj and vj−1
sdimensionless coordinate along the surfacekthermal conductivity (W/(m.K))
νkinematic viscosity (m2/s)
ndimensionless coordinate normal to the surfaceρdensity of the fluid (kg/m3)
κthermal diffusivity (m2/s)
Ppressure (N/m2)θdimensionless temperature
RaRayleigh numberθhdimensionless temperature of the hot bottom wall
PrPrandtl number
NuNusselt numberθcdimensionless temperature of the cold top wall
Ttemperature (K)
T0initial temperature of the fluid (K)θidimensionless initial temperature of the ambient fluid
Tctemperature of the cold top wall (K)
Thtemperature of the hot bottom wall (K)τdimensionless time
ΔTtemperature difference (K)Δτdimensionless time step
Aarea of the cavity (m2)τ0initial dimensionless time at the fully evolved phase
X, Ycoordinates
x, ydimensionless coordinatesτndimensionless time after n time steps from τ0
U, Vvelocity components (m/s)

References

  1. Bhowmik, H.; Tou, K.W. Experimental study of transient natural convection heat transfer from simulated electronic chips. Exp. Therm. Fluid Sci. 2005, 29, 485–492. [Google Scholar] [CrossRef]
  2. Bianco, N.; Langellotto, L.; Manca, O.; Nardini, S. Thermal design and optimization of vertical convergent channels in natural convection. Appl. Therm. Eng. 2006, 26, 170–177. [Google Scholar] [CrossRef]
  3. Jain, D. Modeling the performance of the reversed absorber with packed bed thermal storage natural convection solar crop dryer. J. Food Eng. 2007, 78, 637–647. [Google Scholar] [CrossRef]
  4. Kwak, C.E.; Song, T.H. Natural convection around horizontal downward-facing plate with rectangular grooves: Experiments and numerical simulations. Int. J. Heat Mass Transf. 2000, 43, 825–838. [Google Scholar] [CrossRef]
  5. Corcione, M. Effects of the thermal boundary conditions at the side walls upon natural convection in rectangular enclosures heated from below and cooled from above. Int. J. Therm. Sci. 2003, 42, 199–208. [Google Scholar] [CrossRef]
  6. Corcione, M.; Habib, E. Buoyant heat transport in fluids across tilted square cavities discretely heated at one side. Int. J. Therm. Sci. 2010, 49, 797–808. [Google Scholar] [CrossRef]
  7. Paroncini, M.; Corvaro, F. Natural convection in a square enclosure with a hot source. Int. J. Therm. Sci. 2009, 48, 1683–1695. [Google Scholar] [CrossRef]
  8. Chen, T.H.; Chen, L.Y. Study of buoyancy-induced flows subjected to partially heated sources on the left and bottom walls in a square enclosure. Int. J. Therm. Sci. 2007, 46, 1219–1231. [Google Scholar] [CrossRef]
  9. Cianfrini, C.; Corcione, M.; Dell’Omo, P.P. Natural convection in tilted square cavities with differentially heated opposite walls. Int. J. Therm. Sci. 2005, 44, 44–451. [Google Scholar] [CrossRef]
  10. Sathiyamoorthy, M.; Basak, T.; Roy, S.; Pop, I. Steady natural convection flows in a square cavity with linearly heated side wall(s). Int. J. Heat Mass Transf. 2007, 50, 766–775. [Google Scholar] [CrossRef]
  11. Wang, H.; Hamed, M.S. Flow mode-transition of natural convection in inclined rectangular enclosures subjected to bidirectional temperature gradients. Int. J. Heat Mass Transf. 2006, 45, 782–795. [Google Scholar] [CrossRef]
  12. Valencia, A.; Frederick, R.L. Heat transfer in square cavities with partially active vertically walls. Int. J. Heat Mass Transf. 1989, 32, 1567–1574. [Google Scholar] [CrossRef]
  13. Almuzaiqer, R.; Ali, M.E.; Al-Salem, K. Tilt angle’s effects on free convection heat transfer coefficient inside a water-filled rectangular parallelepiped enclosure. Processes 2022, 10, 396. [Google Scholar] [CrossRef]
  14. Saha, S.C. Unsteady natural convection in a triangular enclosure under isothermal heating. Energy Build. 2011, 43, 695–703. [Google Scholar] [CrossRef]
  15. Saha, S.C. Scaling of free convection heat transfer in a triangular cavity for Pr > 1. Energy Build. 2011, 43, 2908–2917. [Google Scholar] [CrossRef]
  16. Saha, S.C.; Patterson, J.C.; Lei, C. Natural convection in attics subject to instantaneous and ramp cooling boundary conditions. Energy Build. 2010, 42, 1192–1204. [Google Scholar] [CrossRef]
  17. Saha, S.C.; Patterson, J.C.; Lei, C. Natural convection in attic-shaped spaces subject to sudden and ramp heating boundary conditions. Heat Mass Transf. 2010, 46, 621–638. [Google Scholar] [CrossRef]
  18. Holtzman, G.A.; Hill, R.W.; Ball, K.S. Laminar natural convection in isosceles triangular enclosures heated from below and symmetrically cooled from above. J. Heat Transf. 2000, 122, 485–491. [Google Scholar] [CrossRef]
  19. Ridouane, E.H.; Campo, A. Formation of a pitchfork bifurcation in thermal convection flow inside an isosceles triangular cavity. Phys. Fluids 2006, 18, 074102. [Google Scholar] [CrossRef]
  20. Saha, S.C.; Patterson, J.C.; Lei, C. Natural convection and heat transfer in attics subject to periodic thermal forcing. Int. J. Therm. Sci. 2010, 49, 1899–1910. [Google Scholar] [CrossRef]
  21. Bhowmick, S.; Saha, S.C.; Qiao, M.; Xu, F. Transition to a chaotic flow in a V-shaped triangular cavity heated from below. Int. J. Heat Mass Transf. 2019, 128, 76–86. [Google Scholar] [CrossRef]
  22. Bhowmick, S.; Xu, F.; Molla, M.M.; Saha, S.C. Chaotic phenomena of natural convection for water in a V-shaped enclosure. Int. J. Therm. Sci. 2022, 176, 107526. [Google Scholar] [CrossRef]
  23. Wang, X.; Bhowmick, S.; Tian, Z.F.; Saha, S.C.; Xu, F. Experimental study of natural convection in a V-shape-section cavity. Phys. Fluids 2021, 33, 014104. [Google Scholar] [CrossRef]
  24. Iyican, L.; Bayazitoglu, Y.; Witte, L.C. An analytical study of natural convective heat transfer within a trapezoidal enclosure. J. Heat Transf. 1980, 102, 640–647. [Google Scholar] [CrossRef]
  25. Iyican, L.; Witte, L.C.; Bayazitoglu, Y. An experimental study of natural convection in trapezoidal enclosures. J. Heat Transf. 1980, 102, 648–653. [Google Scholar] [CrossRef]
  26. Lam, S.W.; Gani, R.; Symons, J.G. Experimental and numerical studies of natural convection in trapezoidal cavities. J. Heat Transf. 1989, 111, 372–377. [Google Scholar] [CrossRef]
  27. Lee, T.S. Mixed laminar heat and fluid flow in flow-through opened trapezoidal cooling chambers of low aspect ratios. Int. J. Numer. Methods Heat Fluid Flow 1991, 1, 31–49. [Google Scholar] [CrossRef]
  28. Perić, M. Natural convection in trapezoidal cavities. Numer. Heat Transf. Part A Appl. 1993, 24, 213–219. [Google Scholar] [CrossRef]
  29. Kuyper, R.A.; Hoogendoorn, C.J. Laminar natural convection flow in trapezoidal enclosures. Numer. Heat Transf. Part A Appl. 1995, 28, 55–67. [Google Scholar] [CrossRef]
  30. Natarajan, E.; Roy, S.; Basak, T. Effect of various thermal boundary conditions on natural convection in a trapezoidal cavity with linearly heated side wall(s). Numer. Heat Transf. Part B Fundam. 2007, 52, 551–568. [Google Scholar] [CrossRef]
  31. Varol, Y.; Oztop, H.F.; Pop, I. Natural convection in right-angle porous trapezoidal enclosure partially cooled from inclined wall. Int. Comm. Heat Mass Transf. 2009, 36, 6–15. [Google Scholar] [CrossRef]
  32. Basak, T.; Roy, S.; Singh, A.; Pandey, B. Natural convection flow simulation for various angles in a trapezoidal enclosure with linearly heated side wall(s). Int. J. Heat Mass Transf. 2009, 52, 4413–4425. [Google Scholar] [CrossRef]
  33. Lasfer, K.; Bouzaiane, M.; Lili, T. Numerical study of laminar natural convection in a side-heated trapezoidal cavity at various inclined heated sidewalls. Heat Transf. Eng. 2010, 31, 362–373. [Google Scholar] [CrossRef]
  34. Basak, T.; Ramakrishna, D.; Roy, S.; Matta, A.; Pop, I. A comprehensive heatline based approach for natural convection flows in trapezoidal enclosures: Effect of various walls heating. Int. J. Therm. Sci. 2011, 50, 1385–1404. [Google Scholar] [CrossRef]
  35. Mustafa, A.; Ghani, I. Natural convection in trapezoidal enclosure heated partially from below. Al-Khwarizmi Eng. J. 2012, 8, 76–85. [Google Scholar]
  36. Rahaman, M.M.; Titab, R.; Bhowmick, S.; Mondal, R.N.; Saha, S.C. Unsteady 2D flow in an initially stratified air-filled trapezoid. Jagannath Univ. J. Sci. 2022, 8, 1–6. [Google Scholar]
  37. Rahaman, M.M.; Bhowmick, S.; Mondal, R.N.; Saha, S.C. Unsteady natural convection in an initially stratified air-filled trapezoidal enclosure heated from below. Processes 2022, 10, 1383. [Google Scholar] [CrossRef]
  38. Lei, C.; Armfield, S.W.; Patterson, J.C. Unsteady natural convection in a water-filled isosceles triangular enclosure heated from below. Int. J. Heat Mass Transf. 2008, 51, 2637–2650. [Google Scholar] [CrossRef]
  39. Xu, F.; Patterson, J.C.; Lei, C. Transition to a periodic flow induced by a thin fin on the sidewall of a differentially heated cavity. Int. J. Heat Mass Transf. 2009, 52, 620–628. [Google Scholar] [CrossRef]
  40. Qiao, M.; Tian, Z.F.; Nie, B.; Xu, F. The route to chaos for plumes from a top-open cylinder heated from underneath. Phys. Fluids 2018, 30, 124102. [Google Scholar] [CrossRef]
  41. Moukalled, F.; Darwish, M. Natural convection in a trapezoidal enclosure heated from the side with a baffle mounted on its upper inclined surface. Heat Transf. Eng. 2004, 25, 80–93. [Google Scholar] [CrossRef]
  42. Qiao, M.; Xu, F.; Saha, S.C. Numerical study of the transition to chaos of a buoyant plume from a two-dimensional open cavity heated from below. Appl. Math. Model. 2018, 61, 577–592. [Google Scholar] [CrossRef]
  43. Flack, R.D.; Konopnicki, T.T.; Rooke, J.H. The measurement of natural convective heat transfer in triangular enclosures. J. Heat Transf. Trans. ASME 1979, 101, 648–654. [Google Scholar] [CrossRef]
  44. Patterson, C.; Armfield, S.W. Transient features of natural convection in a cavity. J. Fluid Mech. 1990, 219, 469–497. [Google Scholar] [CrossRef]
  45. McLaughlin, J.B.; Orszag, S.A. Transition from periodic to chaotic thermal convection. J. Fluid Mech. 1982, 122, 123–142. [Google Scholar] [CrossRef]
  46. Jiménez, J. Transition to turbulence in two-dimensional Poiseuille flow. J. Fluid Mech. 1990, 218, 265–297. [Google Scholar] [CrossRef]
  47. Glaz, B.; Mezić, L.; Fonoberova, M.; Loire, S. Quasi-periodic intermittency in oscillating cylinder flow. J. Fluid Mech. 2017, 828, 680–707. [Google Scholar] [CrossRef]
  48. Kitamura, K.; Mitsuishi, A.; Suzuki, T.; Kimura, F. Fluid flow and heat transfer of natural convection induced around a vertical row of heated horizontal cylinders. Int. J. Heat Mass Transf. 2016, 92, 414–429. [Google Scholar] [CrossRef]
  49. Wolf, A.; Swift, J.B.; Swinney, H.L.; Vastano, J.A. Determining Lyapunov exponents from a time series. Phys. D Nonlinear Phenom. 1985, 16, 285–317. [Google Scholar] [CrossRef]
  50. Bhowmick, S.; Xu, F.; Zhang, X.; Saha, S.C. Natural convection and heat transfer in a valley shaped cavity filled with initially stratified water. Int. J. Therm. Sci. 2018, 128, 59–69. [Google Scholar] [CrossRef]
Figure 1. Physical domain with dimensionless boundary conditions, which includes observing points P1 (0, 0.27), P2 (0, 0.40), P3 (0, 0.53), P4 (0, 0.80), P5 (0.40, 0.53), and P6 (−0.40, 0.53), which are used in subsequent figures.
Figure 1. Physical domain with dimensionless boundary conditions, which includes observing points P1 (0, 0.27), P2 (0, 0.40), P3 (0, 0.53), P4 (0, 0.80), P5 (0.40, 0.53), and P6 (−0.40, 0.53), which are used in subsequent figures.
Energies 16 05031 g001
Figure 2. A comparison of the mesh and time step dependent tests in terms of temperature time series at point P2 (0, 0.40) for Ra = 108.
Figure 2. A comparison of the mesh and time step dependent tests in terms of temperature time series at point P2 (0, 0.40) for Ra = 108.
Energies 16 05031 g002
Figure 3. Comparison of our results with Moukalled and Darwish [41] for an air-filled trapezoidal cavity when Pr = 0.7: (a,c,e) represents the findings of the current study, while (b,d,f) represents the results of [41] for streamlines. Additionally, (g) depicts the comparison of Nu values for Ra = 103 to 106.
Figure 3. Comparison of our results with Moukalled and Darwish [41] for an air-filled trapezoidal cavity when Pr = 0.7: (a,c,e) represents the findings of the current study, while (b,d,f) represents the results of [41] for streamlines. Additionally, (g) depicts the comparison of Nu values for Ra = 103 to 106.
Energies 16 05031 g003aEnergies 16 05031 g003b
Figure 4. Steady symmetrical streamlines and isotherms for various Rayleigh numbers performed at different times.
Figure 4. Steady symmetrical streamlines and isotherms for various Rayleigh numbers performed at different times.
Energies 16 05031 g004
Figure 5. Streamlines and isotherms to illustrate pitchfork bifurcation.
Figure 5. Streamlines and isotherms to illustrate pitchfork bifurcation.
Energies 16 05031 g005
Figure 6. Shift to asymmetric state: (a) time series of the temperature at two symmetric points, (b) the u-velocity at point P (0, 0.80), and (c) the degree of asymmetry I.
Figure 6. Shift to asymmetric state: (a) time series of the temperature at two symmetric points, (b) the u-velocity at point P (0, 0.80), and (c) the degree of asymmetry I.
Energies 16 05031 g006
Figure 7. Streamlines and isotherms to illustrate Hopf bifurcation.
Figure 7. Streamlines and isotherms to illustrate Hopf bifurcation.
Energies 16 05031 g007
Figure 8. Unsteady streamlines and isotherms for various Rayleigh numbers appear at different times.
Figure 8. Unsteady streamlines and isotherms for various Rayleigh numbers appear at different times.
Energies 16 05031 g008
Figure 9. Temperature time series and spectral analysis at point P1 (0, 0.27) (a) for Ra = 4 × 106, (b) and (c) for Ra = 5 × 106.
Figure 9. Temperature time series and spectral analysis at point P1 (0, 0.27) (a) for Ra = 4 × 106, (b) and (c) for Ra = 5 × 106.
Energies 16 05031 g009aEnergies 16 05031 g009b
Figure 10. Limit point and limit cycle at point P3 (0, 0.53) for (a) Ra = 4 × 106 and (b) Ra = 5 × 106.
Figure 10. Limit point and limit cycle at point P3 (0, 0.53) for (a) Ra = 4 × 106 and (b) Ra = 5 × 106.
Energies 16 05031 g010
Figure 11. Temperature time series and the equivalent spectral analysis at point P1 (0, 0.27) (a) and (b) for Ra = 2 × 107 and (c) and (d) for Ra = 3 × 107.
Figure 11. Temperature time series and the equivalent spectral analysis at point P1 (0, 0.27) (a) and (b) for Ra = 2 × 107 and (c) and (d) for Ra = 3 × 107.
Energies 16 05031 g011
Figure 12. Phase-space trajectory at point P3 (0, 0.53) for (a) Ra = 5 × 106, (b) Ra = 107, (c) Ra = 2 × 107, and (d) Ra = 3 × 107.
Figure 12. Phase-space trajectory at point P3 (0, 0.53) for (a) Ra = 5 × 106, (b) Ra = 107, (c) Ra = 2 × 107, and (d) Ra = 3 × 107.
Energies 16 05031 g012
Figure 13. Dependency of largest Lyapunov exponent on Rayleigh numbers.
Figure 13. Dependency of largest Lyapunov exponent on Rayleigh numbers.
Energies 16 05031 g013
Figure 14. The Nusselt number and the normalized Nusselt number over time are shown for various Rayleigh numbers, with (a,b) corresponding to the bottom wall and (c,d) to the top wall.
Figure 14. The Nusselt number and the normalized Nusselt number over time are shown for various Rayleigh numbers, with (a,b) corresponding to the bottom wall and (c,d) to the top wall.
Energies 16 05031 g014
Table 1. Quantitative comparison of averaged u-velocity at P3 (0, 0.53) using various meshes and time steps.
Table 1. Quantitative comparison of averaged u-velocity at P3 (0, 0.53) using various meshes and time steps.
Meshes and Time StepsAverage u-VelocityPercentage of the Variance
225 × 75 and Δτ = 0.010.037161.30%
300 × 100 and Δτ = 0.010.03765-
300 × 100 and Δτ = 0.0050.037740.24%
375 × 125 and Δτ = 0.010.037820.45%
Disclaimer/Publisher’s Note: The statements, opinions and data contained in all publications are solely those of the individual author(s) and contributor(s) and not of MDPI and/or the editor(s). MDPI and/or the editor(s) disclaim responsibility for any injury to people or property resulting from any ideas, methods, instructions or products referred to in the content.

Share and Cite

MDPI and ACS Style

Rahaman, M.M.; Bhowmick, S.; Mondal, R.N.; Saha, S.C. A Computational Study of Chaotic Flow and Heat Transfer within a Trapezoidal Cavity. Energies 2023, 16, 5031. https://doi.org/10.3390/en16135031

AMA Style

Rahaman MM, Bhowmick S, Mondal RN, Saha SC. A Computational Study of Chaotic Flow and Heat Transfer within a Trapezoidal Cavity. Energies. 2023; 16(13):5031. https://doi.org/10.3390/en16135031

Chicago/Turabian Style

Rahaman, Md. Mahafujur, Sidhartha Bhowmick, Rabindra Nath Mondal, and Suvash C. Saha. 2023. "A Computational Study of Chaotic Flow and Heat Transfer within a Trapezoidal Cavity" Energies 16, no. 13: 5031. https://doi.org/10.3390/en16135031

APA Style

Rahaman, M. M., Bhowmick, S., Mondal, R. N., & Saha, S. C. (2023). A Computational Study of Chaotic Flow and Heat Transfer within a Trapezoidal Cavity. Energies, 16(13), 5031. https://doi.org/10.3390/en16135031

Note that from the first issue of 2016, this journal uses article numbers instead of page numbers. See further details here.

Article Metrics

Back to TopTop