Comprehensive Properties of Grafted Polypropylene Insulation Materials for AC/DC Distribution Power Cables
Abstract
1. Introduction
2. Materials Preparation and Characterization
2.1. Materials Preparation
2.2. Materials Characterization
3. Results and Discussion
3.1. FTIR
3.2. DSC
3.3. Mechanical Tensile Test
3.4. TSDC
3.5. DC Volume Resistivity
3.6. AC and DC Breakdown Strength
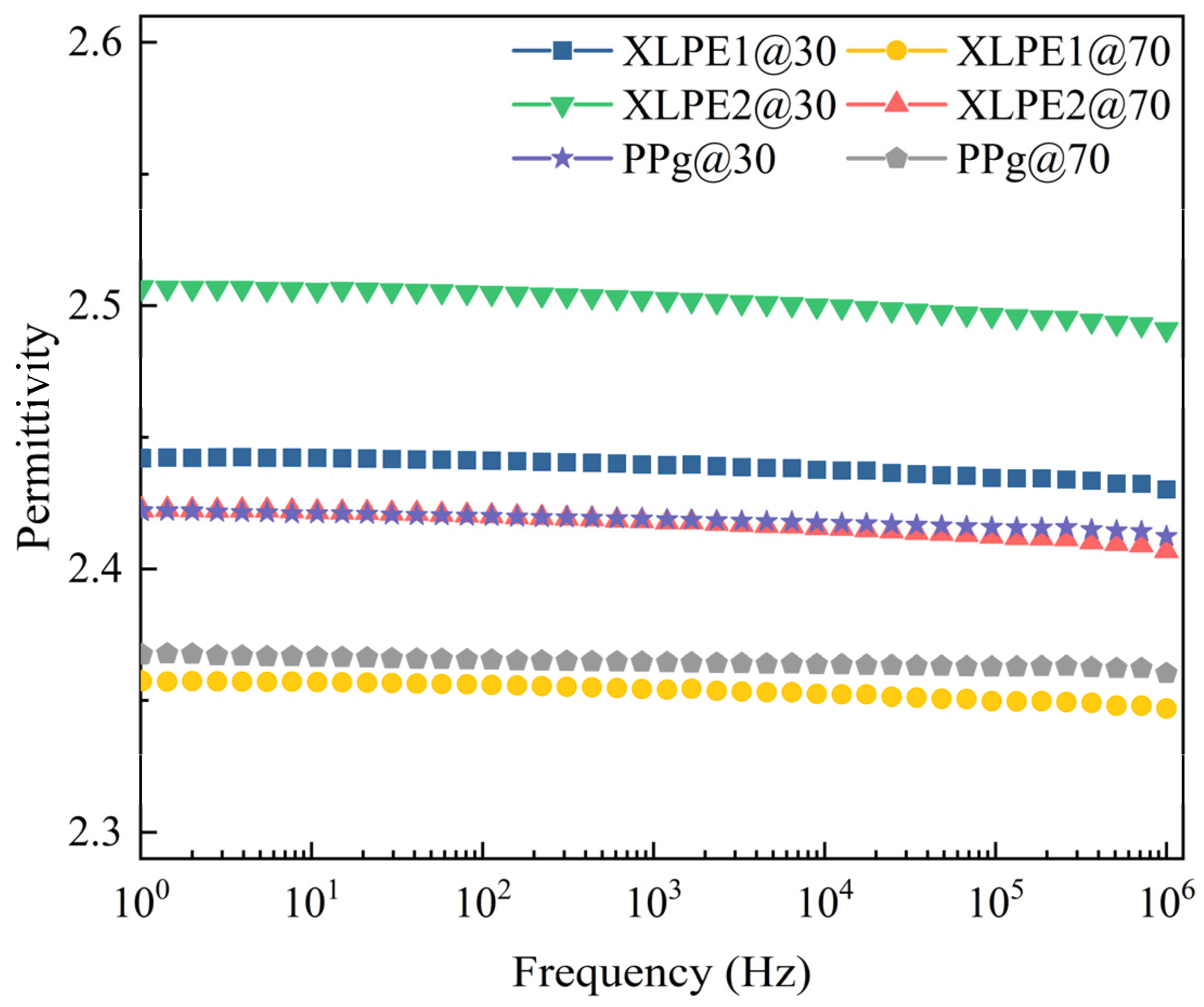
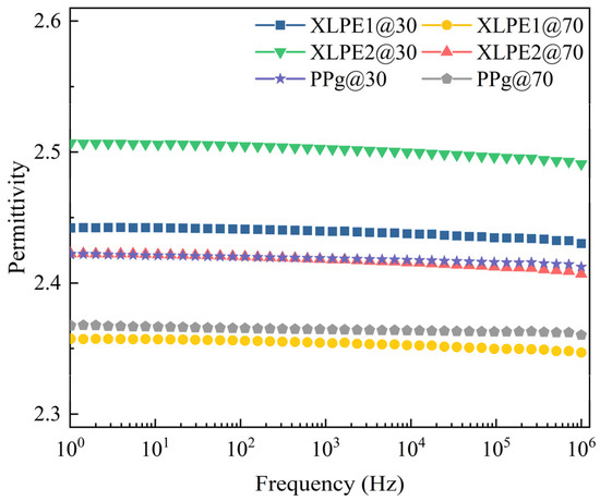
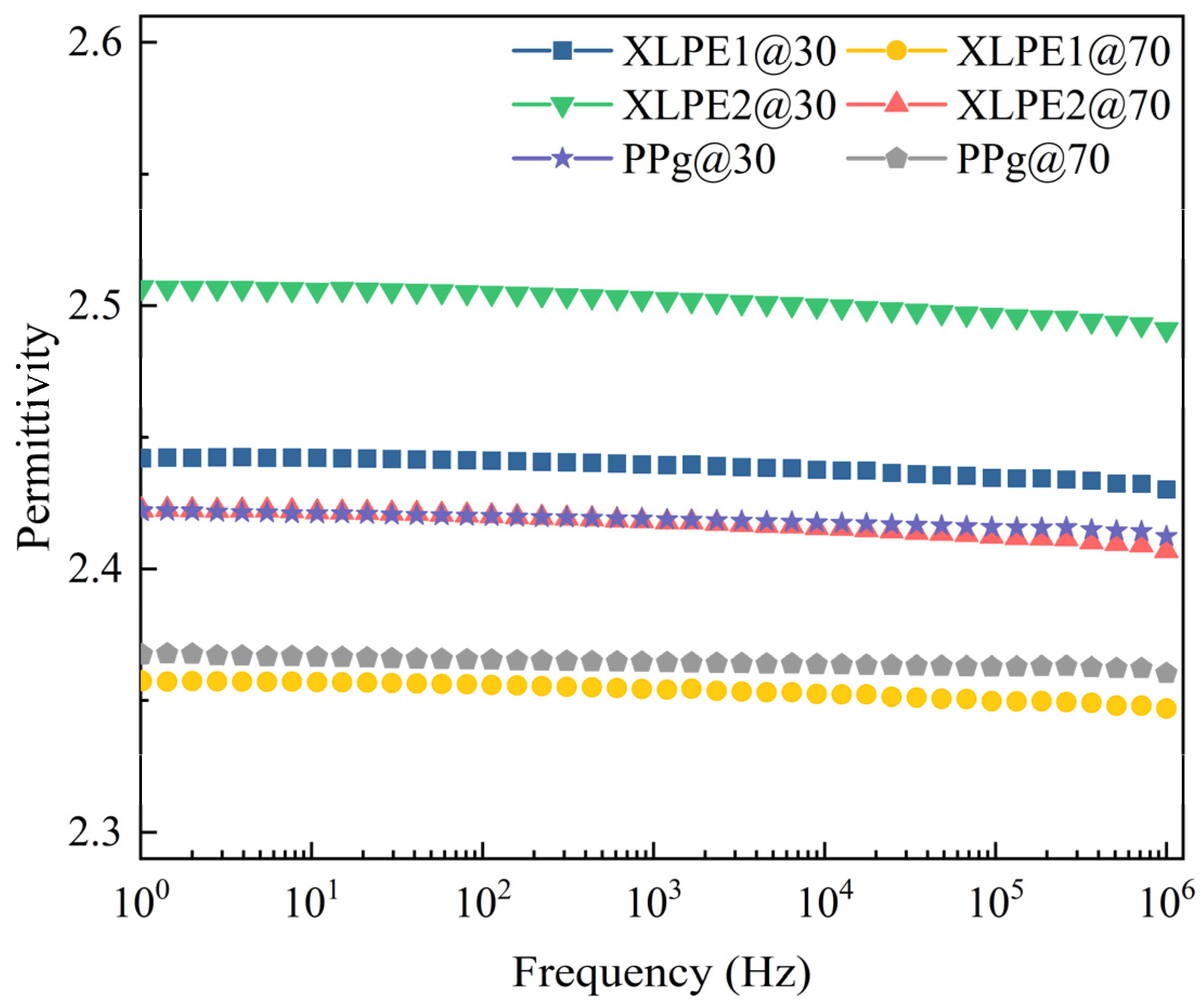
3.7. Dielectric Properties
3.8. Space Charge
4. Conclusions
Author Contributions
Funding
Data Availability Statement
Acknowledgments
Conflicts of Interest
References
- Zhou, Y.; Peng, S.; Hu, J.; He, J. Polymeric Insulation Materials for HVDC Cables: Development, Challenges and Future Perspective. IEEE Trans. Dielectr. Electr. Insul. 2017, 24, 1308–1318. [Google Scholar] [CrossRef]
- Huang, X.; Zhang, J.; Jiang, P.; Tanaka, T. Material progress toward recyclable insulation of power cables part 2: Polypropylene-based thermoplastic materials. IEEE Electr. Insul. Mag. 2020, 36, 8–18. [Google Scholar] [CrossRef]
- Zhang, L.; Wang, Z.; Tian, J.; Meng, S.; Zhou, Y. Thermal Aging Properties of 500 kV AC and DC XLPE Cable Insulation Materials. Polymers 2022, 14, 5400. [Google Scholar] [CrossRef] [PubMed]
- Kim, D.; Lee, S.H.; Kwon, T.H.; Kwon, I.; Han, D.H.; Park, H.; Han, S.W.; Lee, D.H.; Yu, S. Study on high-temperature and high-voltage insulation characteristics of polypropylene blend with highly packed elastomeric domains for power cable applications. Polym. Test. 2023, 120, 107942. [Google Scholar] [CrossRef]
- Hu, S.; Zhou, Y.; Yuan, C.; Wang, W.; Hu, J.; Li, Q.; He, J. Surface-modification effect of MgO nanoparticles on the electrical properties of polypropylene nanocomposite. High Volt. 2020, 5, 249–255. [Google Scholar] [CrossRef]
- Zhou, Y.; He, J.; Hu, J.; Huang, X.; Jiang, P. Evaluation of polypropylene/polyolefin elastomer blends for potential recyclable HVDC cable insulation applications. IEEE Trans. Dielectr. Electr. Insul. 2015, 22, 673–681. [Google Scholar] [CrossRef]
- Bai, L.; Fan, D.; Li, T.; Li, B.; Su, M.; Fan, S.; Zhang, L. Influence of surface discharge on the deterioration characteristics of ethylene-propylene rubber cable insulation under alternating current high voltage. IET Sci. Meas. Technol. 2022, 16, 293–304. [Google Scholar] [CrossRef]
- Qin, S.; Li, Q.; He, M.; Shao, H.; Yu, J.; Guo, J.; Zhang, K.; Yan, W. Study on Thermal Stability and Flame Retardancy of Polymer/Layered Silicate Nanocomposites Based on POE and POE-g-MAH. Polym. Eng. Sci. 2014, 54, 2911–2917. [Google Scholar] [CrossRef]
- Dang, B.; Li, Q.; Zhou, Y.; Hu, J.; He, J. Suppression of elevated temperature space charge accumulation in polypropylene/elastomer blends by deep traps induced by surface-modified ZnO nanoparticles. Compos. Sci. Technol. 2017, 153, 103–110. [Google Scholar] [CrossRef]
- Krentz, T.; Khani, M.M.; Bell, M.; Benicewicz, B.C.; Nelson, J.K.; Zhao, S.; Hillborg, H.; Schadler, L.S. Morphologically dependent alternating-current and direct-current breakdown strength in silica-polypropylene nanocomposites. J. Appl. Polym. Sci. 2017, 134, 44347. [Google Scholar] [CrossRef]
- Hu, S.; Zhang, W.; Wang, W.; Li, J.; Shao, Q.; Zhang, Y.; Zhang, Q.; Huang, S.; Hu, J.; Li, Q.; et al. Comprehensive Comparisons of Grafting-Modified Different Polypropylene as HVDC Cable Insulation Material. IEEE Trans. Dielectr. Electr. Insul. 2022, 29, 1865–1872. [Google Scholar] [CrossRef]
- Yuan, H.; Zhou, Y.; Zhu, Y.; Hu, S.; Yuan, C.; Song, W.; Shao, Q.; Zhang, Q.; Hu, J.; Li, Q.; et al. Origins and effects of deep traps in functional group grafted polymeric dielectric materials. J. Phys. D 2020, 53, 475301. [Google Scholar] [CrossRef]
- Chmela, S.; Fiedlerova, A.; Janigova, I.; Novak, I.; Borsig, E. Grafting of iPP Powder with Methacrylate Monemers in Water Medium. J. Appl. Polym. Sci. 2011, 119, 2750–2758. [Google Scholar] [CrossRef]
- Tian, F.; Bu, W.; Shi, L.; Yang, C.; Wang, Y.; Lei, Q. Theory of modified thermally stimulated current and direct determination of trap level distribution. J. Electrostat. 2011, 69, 7–10. [Google Scholar] [CrossRef]
- Zhang, C.; Wang, T.; Li, C.; Zhao, H.; Wang, X. emperature-Dependent Space Charge and Breakdown Strength of Aromatic Amine Antioxidant Grafted Crosslinked Polyethylene. IEEE Trans. Dielectr. Electr. Insul. 2023, 30, 56–64. [Google Scholar] [CrossRef]
- IEC 60502-2; Power Cables with Extruded Insulation and Their Accessories for Rated Voltages from 1 kV (Um = 1, 2 kV) Up to 30 kV (Um = 36 kV)-Part 2: Cables for Rated Voltages of 6 kV (Um = 7.2 kV) and 30 kV (Um = 36 kV). International Electrotechnical Commission: London, UK, 2021.
- Du, B.; Zhang, J.; Xiao, M.; Liu, H.; Ran, Z. Dielectric Breakdown Performance of Deashed Polypropylene for HVDC Film Capacitors. IEEE Trans. Dielectr. Electr. Insul. 2023, 29, 2209–2217. [Google Scholar] [CrossRef]
- Lee, S.H.; Kim, D.; Kwon, I.; Kwon, T.H.; Park, H.; Han, D.H.; Han, S.W.; Lee, J.H.; Lee, D.H.; Yu, S. Polystyrene: A Self-Dispersing, Ultralow Loading Additive for Improving the Breakdown Strength of Polypropylene for High Voltage Power Cable Applications. ACS Appl. Polym. Mater. 2023, 5, 165–171. [Google Scholar] [CrossRef]
- Hussin, N.; Chen, G. Analysis of space charge formation in LDPE in the presence of crosslinking byproducts. IEEE Trans. Dielectr. Electr. Insul. 2012, 19, 126–133. [Google Scholar] [CrossRef]













| Properties | PP | XLPE |
|---|---|---|
| DC volume resistivity (Ω·m) | 1.7 × 1015 | 0.9 × 1015 |
| DC breakdown strength (MV/m) | 399 | 300 |
| Operation temperature (°C) | Over 90 | 70–90 |
| Thermal nature | Thermoplastic | Thermoset |
| Mechanical property | Hard and brittle | Soft and flexible |
| Thermal Parameters | XLPE1 | XLPE2 | PPg |
|---|---|---|---|
| The temperature of melting peak (°C) | 102.2 | 100.6 | 156.3 |
| Temperature of crystallization peak (°C) | 92.7 | 90.6 | 116.5 |
| Melting enthalpy (J/g) | 104.1 | 102.4 | 49.9 |
| crystallinity (%) | 36.0 | 35.3 | 23.9 |
| Mechanical Properties | XLPE1 | XLPE2 | PPG |
|---|---|---|---|
| Tension modulus (MPPa) | 120.9 ± 7.4 | 127.5 ± 7.3 | 538.3 ± 45.5 |
| Elongation (%) | 555.6 ± 19.7 | 622.1 ± 28.3 | 652.7 ± 32.3 |
| Tensile strength (N/mm2) | 28.8 ± 7.1 | 32.5 ± 1.9 | 31.8 ± 2.1 |
Disclaimer/Publisher’s Note: The statements, opinions and data contained in all publications are solely those of the individual author(s) and contributor(s) and not of MDPI and/or the editor(s). MDPI and/or the editor(s) disclaim responsibility for any injury to people or property resulting from any ideas, methods, instructions or products referred to in the content. |
© 2023 by the authors. Licensee MDPI, Basel, Switzerland. This article is an open access article distributed under the terms and conditions of the Creative Commons Attribution (CC BY) license (https://creativecommons.org/licenses/by/4.0/).
Share and Cite
Huang, S.; Zhou, Y.; Hu, S.; Yuan, H.; Yuan, J.; Yang, C.; Hu, J.; Li, Q.; He, J. Comprehensive Properties of Grafted Polypropylene Insulation Materials for AC/DC Distribution Power Cables. Energies 2023, 16, 4701. https://doi.org/10.3390/en16124701
Huang S, Zhou Y, Hu S, Yuan H, Yuan J, Yang C, Hu J, Li Q, He J. Comprehensive Properties of Grafted Polypropylene Insulation Materials for AC/DC Distribution Power Cables. Energies. 2023; 16(12):4701. https://doi.org/10.3390/en16124701
Chicago/Turabian StyleHuang, Shangshi, Yuxiao Zhou, Shixun Hu, Hao Yuan, Jun Yuan, Changlong Yang, Jun Hu, Qi Li, and Jinliang He. 2023. "Comprehensive Properties of Grafted Polypropylene Insulation Materials for AC/DC Distribution Power Cables" Energies 16, no. 12: 4701. https://doi.org/10.3390/en16124701
APA StyleHuang, S., Zhou, Y., Hu, S., Yuan, H., Yuan, J., Yang, C., Hu, J., Li, Q., & He, J. (2023). Comprehensive Properties of Grafted Polypropylene Insulation Materials for AC/DC Distribution Power Cables. Energies, 16(12), 4701. https://doi.org/10.3390/en16124701

