Research on the Characteristic of the Electrical Contact Resistance of Strap Contacts Used in High Voltage Bushings
Abstract
1. Introduction
2. Establishment and Revision of the G-W Model
2.1. Mathematical Model of ECR in Rough Surface
- (1)
- The surface of the asperities is spherical with the same radius of curvature.
- (2)
- The distribution of the asperities is isotropic, and the heights of all asperities are distributed arbitrarily.
- (3)
- In the process of surface contact, the morphology of the macroscopic matrix does not change. Only the rough peaks are deformed after being compressed. The contact rough peaks do not affect each other.
2.2. ECR Calculation Using G-W Model
2.3. Correction Factor of G-W Model
3. Fractal Model Establishment and ECR Calculation
3.1. Area Distribution Function
3.2. Elastic Deformation Stage
3.3. Elastic–Plastic Deformation Stage
3.4. Fully Plastic Deformation Stage
3.5. ECR Calculation for Fractal Conditions
4. Electrical Contact Micromorphology Parameters
4.1. Calculation of Fractal Dimension D
- (1)
- The three-dimensional structure of the contact area is scanned before and after the test with a laser confocal microscope to obtain real shot, color, and grayscale images.
- (2)
- The grayscale image of 256 × 256 pixels is intercepted, MATLAB is used to identify the image, and the corresponding three-dimensional stereogram is drawn.
- (3)
- The fractal dimension is calculated using the difference box method to obtain D.
4.2. Calculation of Nominal Contact Area, Aa
5. Measurement of Electrical Contact Resistance
5.1. Test Setup
5.2. ECR Measurement
5.3. Experimental and Theoretical Comparisons
5.4. Equivalence and Practicality
6. Conclusions
- (1)
- In this study, the G-W theoretical model and the fractal theoretical model for calculation of the contact resistance of strap contacts used in bushings were investigated. According to the force deflection, the contour correction factor is introduced according to the force of the strap contacts, and the G-W model is further improved.
- (2)
- Using MATLAB and confocal microscopy, the fractal dimension and nominal contact area of the strap contact used in bushing equipment were obtained. Four deformation processes of the strap contacts, elastic, first elastic–plastic, second elastic–plastic, and fully plastic deformation, were added into the fractal theory and the equations were derived.
- (3)
- One strap contact resistance measuring device was designed to carry out the test of contact resistance as a function of the pressure. The actual situation of the force deflection was verified, the thermal resistance increase caused by the contact temperature rise was corrected, and the ECR test value was finally obtained with different loads.
- (4)
- The contact resistances calculated with the two theories were generally higher than the measured data. After the correction, the error of the G-W calculation results was 41%, and the relative error of the fractal theory calculation results was 14% at most. When the load was small (1–3 N), the maximum error of G-W was 41%, and the maximum error of the fractal model method was 9%. As the load increased, the errors of both were within 14%. The error of the fractal model was smaller, and the change trend was closer to the experimental value, which is suitable as a relatively better ECR analytical calculation theory.
- (5)
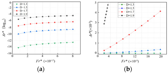
- It is determined that Fr* and Ar*are proportional in the elastic deformation stage of the strap contact. When the first elastic–plastic deformation occurs, the relationship between Fr* and Ar* is linearly proportional. With the increase of the fractal dimension D, the ECR value of the strap contacts decreases.
Author Contributions
Funding
Data Availability Statement
Conflicts of Interest
References
- Liu, Z. UHV AC and DC Power Grid; China Electric Power Press: Beijing, China, 2013. [Google Scholar]
- Xie, G.; Shi, S.; Wang, Q.; Liu, P.; Peng, Z. Simulation and experimental analysis of three-dimensional temperature distribution of +/− 400 kV converter transformer valve-side resin impregnated paper bushing under high current. IET Gener. Transm. Distrib. 2022, 16, 2989–3003. [Google Scholar] [CrossRef]
- Tian, H.D.; Liu, P.; Zhou, S.Y.; Wang, Q.; Wu, Z.; Zhang, J.; Peng, Z. Research on the deterioration process of electrical contact structure inside the ±500 kV converter transformer RIP bushings and its prediction strategy. IET Gener. Transm. Distrib. 2019, 13, 2391–2400. [Google Scholar] [CrossRef]
- Holm, R. Electrical Contacts; Springer: New York, NY, USA, 1979. [Google Scholar]
- Greenwood, J.A.; Williamson, J.B.P. Contact of nominally flat surfaces. Proc. R. Soc. A Math. Phys. Eng. Sci. 1966, 295, 300–319. [Google Scholar]
- Greenwood, J.A.; Tripp, J.H. The elastic contact of rough spheres. J. Appl. Mech. 1967, 1, 153–159. [Google Scholar] [CrossRef]
- Bush, A.W.; Gibson, R.D.; Thomas, T.R. The elastic contact of a rough surface. Wear 1975, 35, 87–111. [Google Scholar] [CrossRef]
- Mccool, J.I. Comparison of models for the contact of rough surfaces. Wear 1986, 107, 37–60. [Google Scholar] [CrossRef]
- Greenwood, J.A. A simplified elliptic model of rough surface contact. Wear 2006, 261, 191–200. [Google Scholar] [CrossRef]
- Carbone, G. A slightly corrected Greenwood and Williamson model predicts asymptotic linearity between contact area and load. J. Mech. Phys. Solids 2009, 57, 1093–1102. [Google Scholar] [CrossRef]
- Persson, B.N.J.; Albohr, O.; Tartaglino, U.; Volokitin, A.I.; Tosatti, E. On the nature of surface roughness with application to contact mechanics, sealing, rubber friction and adhesion. J. Phys. Condens. Matter 2004, 17, R1–R62. [Google Scholar] [CrossRef]
- Zhao, Y.W.; Maietta, D.M.; Chang, L. An asperity microcontact model incorporating the transition from elastic deformation to fully plastic flow. J. Tribol. 2000, 122, 86–93. [Google Scholar] [CrossRef]
- Kucharski, S.; Klimczak, T.; Polijaniuk, A.; Kaczmarek, J. Finite elements model for the contact of rough surfaces. Wear 1994, 177, 1–13. [Google Scholar] [CrossRef]
- Kogut, L.; Etsion, I. Elastic-plastic contact analysis of a sphere and a rigid flat. J. Appl. Mech. 2002, 69, 657–662. [Google Scholar] [CrossRef]
- Zhao, Y.; Lu, Y.; Jiang, J. A new rough surface elastic-plastic contact model. J. Mech. Eng. 2007, 43, 95–101. [Google Scholar] [CrossRef]
- Majumdar, A.; Bhushan, B. Fractal model of elastic-plastic contact between rough surfaces. ASME J. Tribol. 1991, 113, 1–11. [Google Scholar] [CrossRef]
- Berry, M.V.; Lewis, Z.V.; Nye, J.F. On the Weierstrass-Mandelbrot Fractal Function. Proc. R. Soc. 1980, 370, 459–484. [Google Scholar]
- Grossmann, S.; Löbl, H.; Böhme, H. Contact Lifetime of Connections in Electrical Power Systems. In Proceedings of the 16th International Conference on Electrical Contacts, Loughborough, UK, 7–11 September 1992. [Google Scholar]
- Song, S.; Wang, L.; Xue, E. Fractal theory and its application in mechanical joint surface. Machinery 2008, 10, 1–3, 7. [Google Scholar]
- Jiang, Z.; Wang, H.; Fei, B. Research into the application of fractal geometry in characterizing machined surfaces. Int. J. Mach. Tools Manuf. 2001, 41, 2179–2185. [Google Scholar] [CrossRef]
- Kennechj, F. Fractal Geometry-Mathematical Foundations and Applications; John Wiley & Sons: London, UK, 1990. [Google Scholar]
- Majumdar, A.; Bhushan, B. Role of Fractal Geometry in Roughness Characterization and Contact Mechanics of Surfaces. Trans Asme J. Tribol. 1990, 112, 205–216. [Google Scholar] [CrossRef]
- Yang, H.; Fu, W.; Wang, W. Calculation model of the normal contact stiffness of joints based on the fractal geometry and contact theory. J. Mech. Eng. 2013, 49, 102–107. [Google Scholar] [CrossRef]
- Morag, Y.; Etsion, I. Resolving the contradiction of asperities plastic to elastic mode transition in current contact models of fractal roughsurfaces. Wear 2007, 262, 624–629. [Google Scholar] [CrossRef]
- Liou, J.L.; Chi, M.T.; Lin, J.F. A microcontact model developed for sphere- and cylinder-based fractal bodies in contact with a rigid flat surface. Wear 2010, 268, 431–442. [Google Scholar] [CrossRef]
- Zhang, L.; Xiao, H.; Dong, H. Statistical research on rough surfaces. Surf. Technol. 2011, 40, 96–100. [Google Scholar]
- Hertz, H. On the elastic contact of elastic bodies. J. Reine. Angew. Math. 1881, 92, 71–156. [Google Scholar]
- Tian, H. Study on Electrical Contact Characteristics and Thermal Effect of Electrical Connection Structure of HVDC Bushings. Ph.D. Thesis, Xi’an Jiaotong University, Shaanxi, China, 2021. [Google Scholar]
- Chang, W.R.; Etsion, I.; Bogy, D.B. An Elastic-Plastic Model for the Contact of Rough Surfaces. Asme J. Trib. 1987, 109, 257–263. [Google Scholar] [CrossRef]
- Jin, S.; Tian, H.; Wang, H.; Cui, B.; QI, Y.; Liu, P.; Peng, Z. Research on the selection and wear characteristics of UHV GIL electrical contact structure. Power Grid Technol. 2022, 46, 4482–4490. [Google Scholar]
- Liang, X. Research on Mechanical and Electrical Contact Characteristics of Spring Contact Structure; Xi′an University of Technology: Xi′an, China, 2020. [Google Scholar]
- Gangepain, J.J.; Roques-Carmes, C. Fractal approach to two dimensional and three dimensional surface roughness. Wear 1986, 109, 119–126. [Google Scholar]
- Komvopoulos, K.; Ye, N. Three-Dimensional contact analysis of elastic-plastic layered media with fractal surface topographies. J. Tribol. 2001, 123, 632–640. [Google Scholar] [CrossRef]
- Kogut, L.; Komvopoulos, K. Electrical contact resistance theory for conductive rough surfaces. J. Appl. Phys. 2003, 94, 3153–3162. [Google Scholar] [CrossRef]
- Konchits, V.V.; Kim, C.K. Electric current passage and interface heating. Wear 1999, 232, 31–40. [Google Scholar] [CrossRef]

















| Contact Surface Material | Copper | Aluminum Alloy | Silver |
|---|---|---|---|
| Elastic modulus E (GPa) | 128 | 72 | 73 |
| Poisson’s ratio ν | 0.34 | 0.35 | 0.38 |
| Resistivity ρ (Ω·m) | 1.71 × 10−8 | 2.73 × 10−8 | 1.63 × 10−8 |
| Surface roughness Ra (μm) | - | - | 0.8 |
| Numbering | 1 | 2 | 3 | 4 | 5 | 6 | 7 | 8 | 9 | 10 |
| Pressure (N) | 4 | 5 | 6 | 7 | 8 | 9 | 10 | 11 | 12 | 13 |
| Horizontal angle (°) | 40.1 | 37.7 | 34.9 | 31.6 | 28.2 | 24.6 | 19.9 | 17.3 | 15.8 | 15.7 |
| Relative deflection angle (°) | - | 2.4 | 2.8 | 3.3 | 3.4 | 3.6 | 4.7 | 2.6 | 1.5 | 0.1 |
Disclaimer/Publisher’s Note: The statements, opinions and data contained in all publications are solely those of the individual author(s) and contributor(s) and not of MDPI and/or the editor(s). MDPI and/or the editor(s) disclaim responsibility for any injury to people or property resulting from any ideas, methods, instructions or products referred to in the content. |
© 2023 by the authors. Licensee MDPI, Basel, Switzerland. This article is an open access article distributed under the terms and conditions of the Creative Commons Attribution (CC BY) license (https://creativecommons.org/licenses/by/4.0/).
Share and Cite
Cheng, J.; Zhao, L.; Zhou, X.; Ren, T.; Jin, S.; Xie, T.; Liu, P.; Peng, Z.; Wang, Q. Research on the Characteristic of the Electrical Contact Resistance of Strap Contacts Used in High Voltage Bushings. Energies 2023, 16, 4702. https://doi.org/10.3390/en16124702
Cheng J, Zhao L, Zhou X, Ren T, Jin S, Xie T, Liu P, Peng Z, Wang Q. Research on the Characteristic of the Electrical Contact Resistance of Strap Contacts Used in High Voltage Bushings. Energies. 2023; 16(12):4702. https://doi.org/10.3390/en16124702
Chicago/Turabian StyleCheng, Jianwei, Linjie Zhao, Xiaoyu Zhou, Ting Ren, Shoufeng Jin, Tao Xie, Peng Liu, Zongren Peng, and Qingyu Wang. 2023. "Research on the Characteristic of the Electrical Contact Resistance of Strap Contacts Used in High Voltage Bushings" Energies 16, no. 12: 4702. https://doi.org/10.3390/en16124702
APA StyleCheng, J., Zhao, L., Zhou, X., Ren, T., Jin, S., Xie, T., Liu, P., Peng, Z., & Wang, Q. (2023). Research on the Characteristic of the Electrical Contact Resistance of Strap Contacts Used in High Voltage Bushings. Energies, 16(12), 4702. https://doi.org/10.3390/en16124702

