Impact of Chemical and Physical Pretreatment on Methane Potential of Peanut Shells
Abstract
1. Introduction
2. Materials and Methods
2.1. Substrate Preparation and Inoculum
2.2. Organosolv Pretreatment
2.3. Ultrasounds Pretreatment
2.4. Biochemical Methane Potential Tests and Model Fitting
2.5. Analytical Methods
2.6. Statistical Comparison
3. Results and Discussion
3.1. Characteristics and Potential of Raw Peanut Shells
3.2. Screening of Biomolecule Solubilisation Using Different Ultrasonic Devices
3.3. Organosolv vs. Ultrasound Pretreatment for Biomolecule Solubilisation from Peanut Shells
3.4. Methane Production and Volatile Fatty Acid Accumulation from Raw and Pretreated Peanut Shells
4. Conclusions
Supplementary Materials
Author Contributions
Funding
Data Availability Statement
Acknowledgments
Conflicts of Interest
References
- Priya; Deora, P.S.; Verma, Y.; Muhal, R.A.; Goswami, C.; Singh, T. Biofuels: An Alternative to Conventional Fuel and Energy Source. Mater. Today Proc. 2021, 48, 1178–1184. [Google Scholar] [CrossRef]
- Usmani, Z.; Sharma, M.; Awasthi, A.K.; Sivakumar, N.; Lukk, T.; Pecoraro, L.; Thakur, V.K.; Roberts, D.; Newbold, J.; Gupta, V.K. Bioprocessing of Waste Biomass for Sustainable Product Development and Minimizing Environmental Impact. Bioresour. Technol. 2021, 322, 124548. [Google Scholar] [CrossRef]
- Lama, G.F.C.; Crimaldi, M.; De Vivo, A.; Chirico, G.B.; Sarghini, F. Eco-Hydrodynamic Characterization of Vegetated Flows Derived by UAV-Based Imagery. In Proceedings of the 2021 IEEE International Workshop on Metrology for Agriculture and Forestry (MetroAgriFor), Trento-Bolzano, Italy, 3–5 November 2021; IEEE: Piscataway, NJ, USA, 2021; pp. 273–278. [Google Scholar] [CrossRef]
- Nakatsuka, N.; Kishita, Y.; Kurafuchi, T.; Akamatsu, F. Integrating Wastewater Treatment and Incineration Plants for Energy-Efficient Urban Biomass Utilization: A Life Cycle Analysis. J. Clean. Prod. 2020, 243, 118448. [Google Scholar] [CrossRef]
- Carter, E.; Shan, M.; Zhong, Y.; Ding, W.; Zhang, Y.; Baumgartner, J.; Yang, X. Development of Renewable, Densified Biomass for Household Energy in China. Energy Sustain. Dev. 2018, 46, 42–52. [Google Scholar] [CrossRef]
- Markou, G.; Ilkiv, B.; Brulé, M.; Antonopoulos, D.; Chakalis, L.; Arapoglou, D.; Chatzipavlidis, I. Methane Production through Anaerobic Digestion of Residual Microalgal Biomass after the Extraction of Valuable Compounds. Biomass Convers. Biorefinery 2022, 12, 419–426. [Google Scholar] [CrossRef]
- Luz, F.C.; Cordiner, S.; Manni, A.; Mulone, V.; Rocco, V. Anaerobic Digestion of Coffee Grounds Soluble Fraction at Laboratory Scale: Evaluation of the Biomethane Potential. Appl. Energy 2017, 207, 166–175. [Google Scholar] [CrossRef]
- Kumar, M.; Matassa, S.; Bianco, F.; Oliva, A.; Papirio, S.; Pirozzi, F.; De Paola, F.; Esposito, G. Effect of Varying Zinc Concentrations on the Biomethane Potential of Sewage Sludge. Water 2023, 15, 729. [Google Scholar] [CrossRef]
- Wainaina, S.; Awasthi, M.K.; Sarsaiya, S.; Chen, H.; Singh, E.; Kumar, A.; Ravindran, B.; Awasthi, S.K.; Liu, T.; Duan, Y.; et al. Resource Recovery and Circular Economy from Organic Solid Waste Using Aerobic and Anaerobic Digestion Technologies. Bioresour. Technol. 2020, 301, 122778. [Google Scholar] [CrossRef]
- Bianco, F.; Race, M.; Papirio, S.; Esposito, G. A Critical Review of the Remediation of PAH-Polluted Marine Sediments: Current Knowledge and Future Perspectives. Resour. Environ. Sustain. 2023, 11, 100101. [Google Scholar] [CrossRef]
- Bianco, F.; Race, M.; Forino, V.; Pacheco-Ruiz, S.; Rene, E.R. Bioreactors for Wastewater to Energy Conversion: From Pilot to Full Scale. In Waste Biorefinery; Elsevier Inc.: Amsterdam, The Netherlands, 2021; pp. 103–124. ISBN 9780128218792. [Google Scholar]
- Oliva, A.; Tan, L.C.; Papirio, S.; Esposito, G.; Lens, P.N.L. Use of N-Methylmorpholine N-Oxide (NMMO) Pretreatment to Enhance the Bioconversion of Lignocellulosic Residues to Methane. Biomass Convers. Biorefinery 2022. [Google Scholar] [CrossRef]
- Xu, N.; Liu, S.; Xin, F.; Zhou, J.; Jia, H.; Xu, J.; Jiang, M.; Dong, W. Biomethane Production from Lignocellulose: Biomass Recalcitrance and Its Impacts on Anaerobic Digestion. Front. Bioeng. Biotechnol. 2019, 7, 91. [Google Scholar] [CrossRef]
- Oliva, A.; Papirio, S.; Esposito, G.; Lens, P.N.L. Pretreatment of Lignocellulosic Materials to Enhance Their Methane Potential. In Renewable Energy Technologies for Energy Efficient Sustainable Development, Applied Environmental Science and Engineering for a Sustainable Future; Sinharoy, A., Lens, P.N.L., Eds.; Springer: Berlin/Heidelberg, Germany, 2022; pp. 85–120. ISBN 9783030876333. [Google Scholar]
- Naik, G.P.; Poonia, A.K.; Chaudhari, P.K. Pretreatment of Lignocellulosic Agricultural Waste for Delignification, Rapid Hydrolysis, and Enhanced Biogas Production: A Review. J. Indian Chem. Soc. 2021, 98, 100147. [Google Scholar] [CrossRef]
- Wang, J.; Yin, Y. Fermentative Hydrogen Production Using Various Biomass-Based Materials as Feedstock. Renew. Sustain. Energy Rev. 2018, 92, 284–306. [Google Scholar] [CrossRef]
- Sharma, H.K.; Xu, C.; Qin, W. Biological Pretreatment of Lignocellulosic Biomass for Biofuels and Bioproducts: An Overview. Waste Biomass Valorization 2019, 10, 235–251. [Google Scholar] [CrossRef]
- Sidana, A.; Yadav, S.K. Recent Developments in Lignocellulosic Biomass Pretreatment with a Focus on Eco-Friendly, Non-Conventional Methods. J. Clean. Prod. 2022, 335, 130286. [Google Scholar] [CrossRef]
- Wang, X.; Jiang, C.; Wang, H.; Xu, S.; Zhuang, X. Strategies for Energy Conversion from Sludge to Methane through Pretreatment Coupled Anaerobic Digestion: Potential Energy Loss or Gain. J. Environ. Manag. 2023, 330, 117033. [Google Scholar] [CrossRef]
- Bianco, F.; Şenol, H.; Papirio, S.; Zenk, H.; Kara, A.; Atasoy, S. Combined Ultrasonic–Hydrothermal Pretreatment to Improve the Biomethane Potential of Hazelnut Shell. Biomass Bioenergy 2022, 165, 106554. [Google Scholar] [CrossRef]
- Zhou, Z.; Lei, F.; Li, P.; Jiang, J. Lignocellulosic Biomass to Biofuels and Biochemicals: A Comprehensive Review with a Focus on Ethanol Organosolv Pretreatment Technology. Biotechnol. Bioeng. 2018, 115, 2683–2702. [Google Scholar] [CrossRef]
- Sidiras, D.; Politi, D.; Giakoumakis, G.; Salapa, I. Simulation and Optimization of Organosolv Based Lignocellulosic Biomass Refinery: A Review. Bioresour. Technol. 2022, 343, 126158. [Google Scholar] [CrossRef]
- Bianco, F.; Race, M.; Papirio, S.; Esposito, G. Removal of Polycyclic Aromatic Hydrocarbons during Anaerobic Biostimulation of Marine Sediments. Sci. Total Environ. 2020, 709, 136141. [Google Scholar] [CrossRef]
- Zou, S.; Wang, X.; Chen, Y.; Wan, H.; Feng, Y. Enhancement of Biogas Production in Anaerobic Co-Digestion by Ultrasonic Pretreatment. Energy Convers. Manag. 2016, 112, 226–235. [Google Scholar] [CrossRef]
- American Public Health Association; American Water Works Association; Water Environment Federation. Standard Methods for the Examination of Water and Wastewater, 24th ed.; Lipps, W.C., Braun-Howland, E.B., Baxter, T.E., Eds.; APHA Press: Washington, DC, USA, 2023. [Google Scholar]
- Dubois, M.; Gilles, K.A.; Hamilton, J.K.; Rebers, P.A.; Smith, F. Colorimetric Method for Determination of Sugars and Related Substances. Anal. Chem. 1956, 28, 350–356. [Google Scholar] [CrossRef]
- Singleton, V.L.; Rossi, J.A. Colorimetry of Total Phenolics with Phosphomolybdic-Phosphotungstic Acid Reagents. Am. J. Enol. Vitic. 1965, 16, 144–158. [Google Scholar] [CrossRef]
- Moscariello, C.; Matassa, S.; Pirozzi, F.; Esposito, G.; Papirio, S. Valorisation of Industrial Hemp (Cannabis sativa L.) Biomass Residues through Acidogenic Fermentation and Co-Fermentation for Volatile Fatty Acids Production. Bioresour. Technol. 2022, 355, 127289. [Google Scholar] [CrossRef]
- Poorasgari, E.; Örmeci, B. A Mathematical Model for the Kinetics of Concurrent Volatile Solids Destruction and Water Evaporation during Aerobic and Anaerobic Digestion of Wastewater Sludge under Mesophilic and Thermophilic Temperatures. J. Water Process Eng. 2022, 46, 14–16. [Google Scholar] [CrossRef]
- Gu, Y.; Chen, X.; Liu, Z.; Zhou, X.; Zhang, Y. Effect of Inoculum Sources on the Anaerobic Digestion of Rice Straw. Bioresour. Technol. 2014, 158, 149–155. [Google Scholar] [CrossRef]
- Samoraj, M.; Mironiuk, M.; Izydorczyk, G.; Witek-Krowiak, A.; Szopa, D.; Moustakas, K.; Chojnacka, K. The Challenges and Perspectives for Anaerobic Digestion of Animal Waste and Fertilizer Application of the Digestate. Chemosphere 2022, 295, 133799. [Google Scholar] [CrossRef]
- Sluiter, A.; Ruiz, R.; Scarlata, C.; Sluiter, J.; Templeton, D. Determination of Extractives in Biomass. Lab. Anal. Proced. 2005, 1617, 1–16. [Google Scholar]
- Lim, W.L.; Gunny, A.A.N.; Kasim, F.H.; AlNashef, I.M.; Arbain, D. Alkaline Deep Eutectic Solvent: A Novel Green Solvent for Lignocellulose Pulping. Cellulose 2019, 26, 4085–4098. [Google Scholar] [CrossRef]
- Tajmirriahi, M.; Karimi, K.; Kumar, R. Effects of Pinewood Extractives on Bioconversion of Pinewood. Fuel 2021, 283, 119302. [Google Scholar] [CrossRef]
- Sahoo, A.; Kumar, S.; Mohanty, K. A Comprehensive Characterization of Non-Edible Lignocellulosic Biomass to Elucidate Their Biofuel Production Potential. Biomass Convers. Biorefinery 2022, 12, 5087–5103. [Google Scholar] [CrossRef]
- Jiang, L.; Wu, N.; Zheng, A.; Zhao, Z.; He, F.; Li, H. The Integration of Dilute Acid Hydrolysis of Xylan and Fast Pyrolysis of Glucan to Obtain Fermentable Sugars. Biotechnol. Biofuels 2016, 9, 196. [Google Scholar] [CrossRef]
- Poletto, P.; Pereira, G.N.; Monteiro, C.R.M.; Pereira, M.A.F.; Bordignon, S.E.; Oliveira, D. De Xylooligosaccharides: Transforming the Lignocellulosic Biomasses into Valuable 5-Carbon Sugar Prebiotics. Process Biochem. 2020, 91, 352–363. [Google Scholar] [CrossRef]
- Gao, Z.; Alshehri, K.; Li, Y.; Qian, H.; Sapsford, D.; Cleall, P.; Harbottle, M. Advances in Biological Techniques for Sustainable Lignocellulosic Waste Utilization in Biogas Production. Renew. Sustain. Energy Rev. 2022, 170, 112995. [Google Scholar] [CrossRef]
- Santos, H.M.; Lodeiro, C.; Capelo-Martínez, J.L. The Power of Ultrasound. In Ultrasound in Chemistry: Analytical Applications; Capelo-Martínez, J.-L., Ed.; WILEY-VCH Verlag: Weinheim, Germany, 2009; pp. 1–16. ISBN 9783527319343. [Google Scholar]
- Chavan, S.; Gaikwad, A. Extraction and Recovery of Lignin Derived Phenolic Inhibitors to Enhance Enzymatic Glucose Production. Biomass Bioenergy 2021, 144, 105897. [Google Scholar] [CrossRef]
- Oliva, A.; Tan, L.C.; Papirio, S.; Esposito, G.; Lens, P.N.L. Fed-Batch Anaerobic Digestion of Raw and Pretreated Hazelnut Skin over Long-Term Operation. Bioresour. Technol. 2022, 357, 127372. [Google Scholar] [CrossRef] [PubMed]
- Adhikari, B.; Dhungana, S.K.; Waqas Ali, M.; Adhikari, A.; Kim, I.D.; Shin, D.H. Antioxidant Activities, Polyphenol, Flavonoid, and Amino Acid Contents in Peanut Shell. J. Saudi Soc. Agric. Sci. 2019, 18, 437–442. [Google Scholar] [CrossRef]
- Ferreira, J.A.; Taherzadeh, M.J. Improving the Economy of Lignocellulose-Based Biorefineries with Organosolv Pretreatment. Bioresour. Technol. 2020, 299, 122695. [Google Scholar] [CrossRef]
- Xu, X.; Wang, K.; Zhou, Y.; Lai, C.; Zhang, D.; Xia, C.; Pugazhendhi, A. Comparison of Organosolv Pretreatment of Masson Pine with Different Solvents in Promoting Delignification and Enzymatic Hydrolysis Efficiency. Fuel 2023, 338, 127361. [Google Scholar] [CrossRef]
- Tan, X.; Zhang, Q.; Wang, W.; Zhuang, X.; Deng, Y.; Yuan, Z. Comparison Study of Organosolv Pretreatment on Hybrid Pennisetum for Enzymatic Saccharification and Lignin Isolation. Fuel 2019, 249, 334–340. [Google Scholar] [CrossRef]
- Li, W.; Tan, X.; Miao, C.; Zhang, Z.; Wang, Y.; Ragauskas, A.J.; Zhuang, X. Mild Organosolv Pretreatment of Sugarcane Bagasse with Acetone/Phenoxyethanol/Water for Enhanced Sugar Production. Green Chem. 2023, 25, 1169–1178. [Google Scholar] [CrossRef]
- Das, A.; Mohanty, K. Optimization of Lignin Extraction from Bamboo by Ultrasound-Assisted Organosolv Pretreatment. Bioresour. Technol. 2023, 376, 128884. [Google Scholar] [CrossRef] [PubMed]
- Oliva, A.; Papirio, S.; Esposito, G.; Lens, P.N.L. Ultrasounds Application for Nut and Coffee Wastes Valorisation via Biomolecules Solubilisation and Methane Production. Waste Manag. 2022, 150, 373–382. [Google Scholar] [CrossRef] [PubMed]
- Montenegro-Landívar, M.F.; Tapia-Quirós, P.; Vecino, X.; Reig, M.; Valderrama, C.; Granados, M.; Cortina, J.L.; Saurina, J. Polyphenols and Their Potential Role to Fight Viral Diseases: An Overview. Sci. Total Environ. 2021, 801, 149719. [Google Scholar] [CrossRef] [PubMed]
- Meneses-Quelal, W.O.; Velázquez-Martí, B.; Gaibor-Chávez, J.; Niño-Ruiz, Z. Biochemical Potential of Methane (BMP) of Camelid Waste and the Andean Region Agricultural Crops. Renew. Energy 2021, 168, 406–415. [Google Scholar] [CrossRef]
- Oliva, A.; Tan, L.C.; Papirio, S.; Esposito, G.; Lens, P.N.L. Effect of Methanol-Organosolv Pretreatment on Anaerobic Digestion of Lignocellulosic Materials. Renew. Energy 2021, 169, 1000–1012. [Google Scholar] [CrossRef]
- Gandolfi, S.; Ottolina, G.; Consonni, R.; Riva, S.; Patel, I. Fractionation of Hemp Hurds by Organosolv Pretreatment and Its Effect on Production of Lignin and Sugars. ChemSusChem 2014, 7, 1991–1999. [Google Scholar] [CrossRef]
- Ojha, K.S.; Aznar, R.; O’Donnell, C.; Tiwari, B.K. Ultrasound Technology for the Extraction of Biologically Active Molecules from Plant, Animal and Marine Sources. TrAC-Trends Anal. Chem. 2020, 122, 115663. [Google Scholar] [CrossRef]
- Parvathy Eswari, A.; Ravi, Y.K.; Kavitha, S.; Rajesh Banu, J. Recent Insight into Anaerobic Digestion of Lignocellulosic Biomass for Cost Effective Bioenergy Generation. e-Prime Adv. Electr. Eng. Electron. Energy 2023, 3, 100119. [Google Scholar] [CrossRef]
- Haldar, D.; Purkait, M.K. A Review on the Environment-Friendly Emerging Techniques for Pretreatment of Lignocellulosic Biomass: Mechanistic Insight and Advancements. Chemosphere 2021, 264, 128523. [Google Scholar] [CrossRef]
- Buller, L.S.; Sganzerla, W.G.; Lima, M.N.; Muenchow, K.E.; Timko, M.T.; Forster-Carneiro, T. Ultrasonic Pretreatment of Brewers’ Spent Grains for Anaerobic Digestion: Biogas Production for a Sustainable Industrial Development. J. Clean. Prod. 2022, 355, 131802. [Google Scholar] [CrossRef]
- Qi, N.; Zhao, X.; Zhang, L.; Gao, M.; Yu, N.; Liu, Y. Performance Assessment on Anaerobic Co-Digestion of Cannabis Ruderalis and Blackwater: Ultrasonic Pretreatment and Kinetic Analysis. Resour. Conserv. Recycl. 2021, 169, 105506. [Google Scholar] [CrossRef]
- Zuo, X.; Yuan, H.; Wachemo, A.C.; Wang, X.; Zhang, L.; Li, J.; Wen, H.; Wang, J.; Li, X. The Relationships among SCOD, VFAs, Microbial Community, and Biogas Production during Anaerobic Digestion of Rice Straw Pretreated with Ammonia. Chin. J. Chem. Eng. 2020, 28, 286–292. [Google Scholar] [CrossRef]
- Borth, P.L.B.; Perin, J.K.H.; Torrecilhas, A.R.; Lopes, D.D.; Santos, S.C.; Kuroda, E.K.; Fernandes, F. Pilot-Scale Anaerobic Co-Digestion of Food and Garden Waste: Methane Potential, Performance and Microbial Analysis. Biomass Bioenergy 2022, 157, 106331. [Google Scholar] [CrossRef]
- Wang, D.; Shen, F.; Yang, G.; Zhang, Y.; Deng, S.; Zhang, J.; Zeng, Y.; Luo, T.; Mei, Z. Can Hydrothermal Pretreatment Improve Anaerobic Digestion for Biogas from Lignocellulosic Biomass? Bioresour. Technol. 2018, 249, 117–124. [Google Scholar] [CrossRef] [PubMed]
- Han, Y.; Green, H.; Tao, W. Reversibility of Propionic Acid Inhibition to Anaerobic Digestion: Inhibition Kinetics and Microbial Mechanism. Chemosphere 2020, 255, 126840. [Google Scholar] [CrossRef]
- Ghidotti, M.; Fabbri, D.; Torri, C.; Piccinini, S. Determination of Volatile Fatty Acids in Digestate by Solvent Extraction with Dimethyl Carbonate and Gas Chromatography-Mass Spectrometry. Anal. Chim. Acta 2018, 1034, 92–101. [Google Scholar] [CrossRef] [PubMed]
) and polyphenol (
) solubilisation from peanut shells after ultrasound pretreatment using ultrasonic bath vs. ultrasonic probe.
) and polyphenol (
) solubilisation from peanut shells after ultrasound pretreatment using ultrasonic bath vs. ultrasonic probe.
) and polyphenol (
) solubilisation from peanut shells due to organosolv and ultrasounds pretreatment.
) and polyphenol (
) solubilisation from peanut shells due to organosolv and ultrasounds pretreatment.

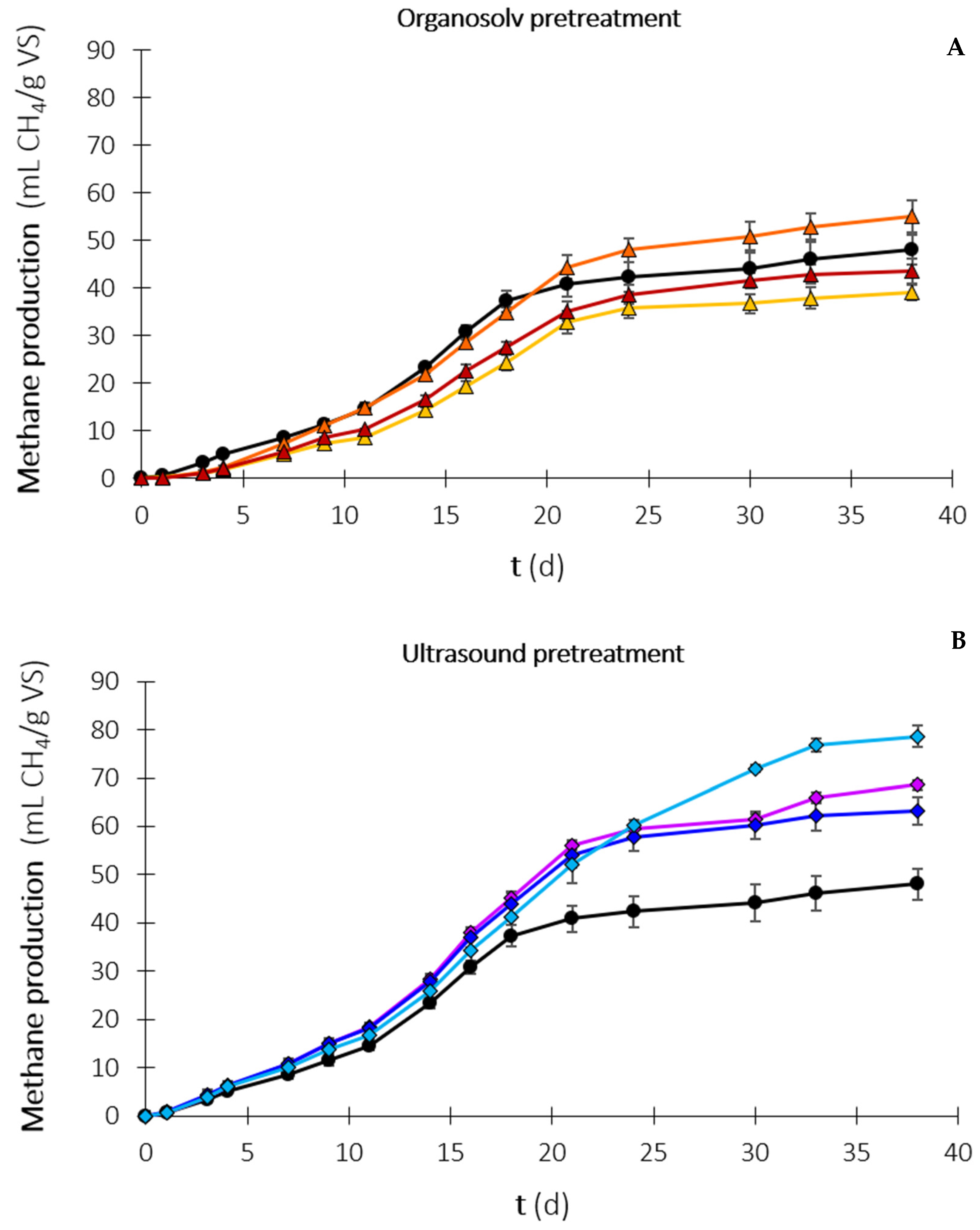
), organosolv-pretreated (A), i.e., substrate-to-solvent ratio of 1:5 (
), 1:10 (
), and 1:20 (
), and ultrasound-pretreated (B), i.e., applied energy density of 30,000 (
), 12,000 (
), and 6000 (
) kJ/kg VS, peanut shells.
), organosolv-pretreated (A), i.e., substrate-to-solvent ratio of 1:5 (
), 1:10 (
), and 1:20 (
), and ultrasound-pretreated (B), i.e., applied energy density of 30,000 (
), 12,000 (
), and 6000 (
) kJ/kg VS, peanut shells.
), acetic acid (
), propionic acid (
), and isovaleric acid (
)) during the anaerobic digestion process: control (A), raw peanut shells (B), organosolv-pretreated peanut shells using a substrate-to-solvent ratio of 1:5 (C), 1:10 (D), and 1:20 (E), ultrasound-pretreated peanut shells applying an energy density of 30,000 (F), 12,000 (G), and 6000 (H) kJ/kg VS.
), acetic acid (
), propionic acid (
), and isovaleric acid (
)) during the anaerobic digestion process: control (A), raw peanut shells (B), organosolv-pretreated peanut shells using a substrate-to-solvent ratio of 1:5 (C), 1:10 (D), and 1:20 (E), ultrasound-pretreated peanut shells applying an energy density of 30,000 (F), 12,000 (G), and 6000 (H) kJ/kg VS.
| Pretreatment Condition | Solvent | Catalyst | Substrate/Solvent (g/g) | Temperature (°C) | Exposure Time (min) |
|---|---|---|---|---|---|
| 1 | 50% Methanol | 0.01 M H2SO4 | 1:20 | 130 | 60 |
| 2 | 50% Methanol | 0.01 M H2SO4 | 1:10 | 130 | 60 |
| 3 | 50% Methanol | 0.01 M H2SO4 | 1:5 | 130 | 60 |
| Pretreatment Condition | Medium | Substrate/Medium (g/g) | Nominal Power (W) | Exposure Time (min) | Energy Density (kJ/kg VS) |
|---|---|---|---|---|---|
| 1 | H2O | 1:20 | 200 | 1 | 6000 |
| 2 | H2O | 1:20 | 200 | 2 | 12,000 |
| 3 | H2O | 1:20 | 200 | 5 | 30,000 |
| Parameter | Peanut Shells | Inoculum |
|---|---|---|
| TS (%) a | 96.14 ± 0.07 | 7.80 ± 0.05 |
| VS (%) a | 93.63 ± 0.09 | 5.38 ± 0.05 |
| VS/TS (g/g) | 0.97 | 0.69 |
| Total extractives (%) b | 9.21 ± 0.12 | - |
| Cellulose (%) b, c | 28.66 ± 0.41 | - |
| Hemicellulose (%) b, d | 11.50 ± 0.20 | - |
| Lignin (%) b, e | 35.10 ± 0.54 | - |
| Pretreatment Condition | Modified Gompertz Parameters | |||
|---|---|---|---|---|
| G = Gm × exp {−exp [(Rm × e/Gm) × (λ − t) + 1]} | ||||
| Gm (mL CH4/g VS) | Rm (mL CH4/g VS∙d) | λ (d) | r2 | |
| PS (raw) | 48.08 ± 0.87 | 2.70 ± 0.17 | 4.06 ± 0.57 | 0.9895 |
| PS (ORG 1:5) | 40.04 ± 0.97 | 2.33 ± 0.19 | 6.40 ± 0.68 | 0.9880 |
| PS (ORG 1:10) | 56.12 ± 0.70 | 3.00 ± 0.13 | 5.63 ± 0.41 | 0.9953 |
| PS (ORG 1:20) | 45.20 ± 0.73 | 2.45 ± 0.13 | 5.99 ± 0.45 | 0.9940 |
| PS (ULT 30 k) | 87.52 ± 2.09 | 3.35 ± 0.13 | 5.29 ± 0.39 | 0.9968 |
| PS (ULT 12 k) | 64.85 ± 1.09 | 3.51 ± 0.22 | 4.40 ± 0.57 | 0.9894 |
| PS (ULT 6 k) | 70.37 ± 1.39 | 3.42 ± 0.20 | 4.40 ± 0.57 | 0.9920 |
Disclaimer/Publisher’s Note: The statements, opinions and data contained in all publications are solely those of the individual author(s) and contributor(s) and not of MDPI and/or the editor(s). MDPI and/or the editor(s) disclaim responsibility for any injury to people or property resulting from any ideas, methods, instructions or products referred to in the content. |
© 2023 by the authors. Licensee MDPI, Basel, Switzerland. This article is an open access article distributed under the terms and conditions of the Creative Commons Attribution (CC BY) license (https://creativecommons.org/licenses/by/4.0/).
Share and Cite
Oliva, A.; Papirio, S.; Esposito, G.; Lens, P.N.L. Impact of Chemical and Physical Pretreatment on Methane Potential of Peanut Shells. Energies 2023, 16, 4698. https://doi.org/10.3390/en16124698
Oliva A, Papirio S, Esposito G, Lens PNL. Impact of Chemical and Physical Pretreatment on Methane Potential of Peanut Shells. Energies. 2023; 16(12):4698. https://doi.org/10.3390/en16124698
Chicago/Turabian StyleOliva, Armando, Stefano Papirio, Giovanni Esposito, and Piet N. L. Lens. 2023. "Impact of Chemical and Physical Pretreatment on Methane Potential of Peanut Shells" Energies 16, no. 12: 4698. https://doi.org/10.3390/en16124698
APA StyleOliva, A., Papirio, S., Esposito, G., & Lens, P. N. L. (2023). Impact of Chemical and Physical Pretreatment on Methane Potential of Peanut Shells. Energies, 16(12), 4698. https://doi.org/10.3390/en16124698

