A Hierarchical Multi-Stage Coordination of Inverters for Voltage Control in Active Distribution Networks with a µPMU-PDC
Abstract
1. Introduction
- The proposed algorithm does not require an optimization solution or an accurate system model, which reduces the mathematical burden and the overall cost considerably.
- The algorithm effectively postpones the PV power generation curtailment in DERs by incorporating all the DERs in absorbing reactive power using a coordinated strategy predicted in Stage II of the algorithm.
- The algorithm manages power generation curtailment in each DER by monitoring the overall curtailment index (CI) as well as the curtailment distribution (CD) in the entire system and making decisions to improve these indices in Stage III of the algorithm.
- The algorithm ensures the maximum capacity utilization of all the DERs for voltage restoration and avoids other solutions by considering the least power generation curtailment in Stage IV of the algorithm.
2. The Proposed Voltage Regulation Strategy
2.1. The General Framework of the Proposed Algorithm
2.2. DERs Coordination Algorithm
2.3. Assessment of the Impact of Remote DERs on Voltage Control in Local DERs
3. Description of Proposed Communication System
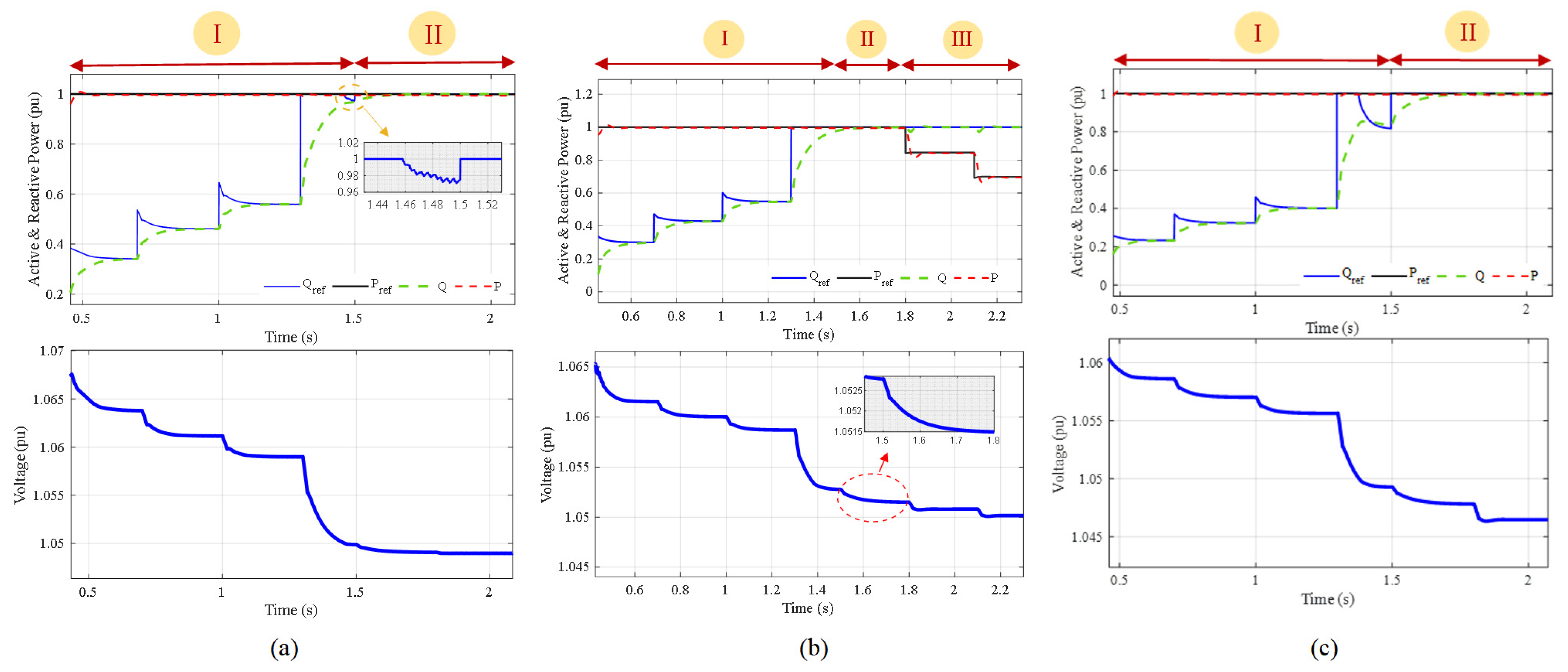
4. Evaluating the Results and Discussion
4.1. Ability of the Proposed Algorithm to Coordinate Voltage Control
4.1.1. Scenario 1
4.1.2. Scenario 2
4.1.3. Scenario 3
4.2. Application of the Algorithm on a Larger Test System
4.3. Accuracy of the Communication System
4.3.1. Influence of the Noise
4.3.2. Impact of Communication Delay
5. Conclusions
Author Contributions
Funding
Data Availability Statement
Conflicts of Interest
References
- ANSIC84.1-2016; American National Standard for Electric Power Systems and Equipment—Voltage Ratings (60 Hz). ANSI: Rosslyn, VA, USA, 2016.
- IEEE Std 1547-2018 (Revision of IEEE Std 1547-2003); IEEE Standard for Interconnection and Interoperability of Distributed Energy Resources with Associated Electric Power Systems Interfaces—Redline. IEEE: New York, NY, USA, 2018; pp. 1–227.
- Afandi, I.; Agalgaonkar, A.P.; Perera, S. Integrated Volt/Var Control Method for Voltage Regulation and Voltage Unbalance Reduction in Active Distribution Networks. Energies 2022, 15, 2225. [Google Scholar] [CrossRef]
- Wang, X.; Wang, L.; Kang, W.; Li, T.; Zhou, H.; Hu, X.; Sun, K. Distributed Nodal Voltage Regulation Method for Low-Voltage Distribution Networks by Sharing PV System Reactive Power. Energies 2023, 16, 357. [Google Scholar] [CrossRef]
- Tang, Z.; Hill, D.J.; Liu, T. Distributed Coordinated Reactive Power Control for Voltage Regulation in Distribution Networks. IEEE Trans. Smart Grid 2021, 12, 312–323. [Google Scholar] [CrossRef]
- Tewari, T.; Mohapatra, A.; Anand, S. Coordinated Control of OLTC and Energy Storage for Voltage Regulation in Distribution Network with High PV Penetration. IEEE Trans. Sustain. Energy 2021, 12, 262–272. [Google Scholar] [CrossRef]
- Guo, Y.; Wu, Q.; Gao, H.; Chen, X.; Østergaard, J.; Xin, H. MPC-Based Coordinated Voltage Regulation for Distribution Networks with Distributed Generation and Energy Storage System. IEEE Trans. Sustain. Energy 2019, 10, 1731–1739. [Google Scholar] [CrossRef]
- Suresh, A.; Bisht, R.; Kamalasadan, S. A Coordinated Control Architecture with Inverter Based Resources and Legacy Controllers of Power Distribution System for Voltage Profile Balance. IEEE Trans. Ind. Appl. 2022, 58, 6701–6712. [Google Scholar] [CrossRef]
- Mehmood, K.K.; Khan, S.U.; Lee, S.J.; Haider, Z.M.; Rafique, M.K.; Kim, C.H. A real-time optimal coordination scheme for the voltage regulation of a distribution network including an OLTC, capacitor banks, and multiple distributed energy resources. Int. J. Electr. Power Energy Syst. 2018, 94, 1–14. [Google Scholar] [CrossRef]
- Bedawy, A.; Yorino, N.; Mahmoud, K.; Lehtonen, M. An Effective Coordination Strategy for Voltage Regulation in Distribution System Containing High Intermittent Photovoltaic Penetrations. IEEE Access 2021, 9, 117404–117414. [Google Scholar] [CrossRef]
- Xu, R.; Zhang, C.; Xu, Y.; Dong, Z.; Zhang, R. Multi-Objective Hierarchically-Coordinated Volt/Var Control for Active Distribution Networks with Droop-Controlled PV Inverters. IEEE Trans. Smart Grid 2022, 13, 998–1011. [Google Scholar] [CrossRef]
- Zhang, Z.; Dou, C.; Yue, D.; Zhang, Y.; Zhang, B.; Li, B. Regional Coordinated Voltage Regulation in Active Distribution Networks with PV-BESS. IEEE Trans. Circuits Syst. II: Express Briefs 2022, 70, 596–600. [Google Scholar] [CrossRef]
- Long, Y.; Elliott, R.T.; Kirschen, D.S. Adaptive Coalition Formation-Based Coordinated Voltage Regulation in Distribution Networks. IEEE Trans. Power Syst. 2022, 37, 2005–2018. [Google Scholar] [CrossRef]
- Hu, X.; Liu, Z.-W.; Wen, G.; Yu, X.; Liu, C. Voltage Control for Distribution Networks via Coordinated Regulation of Active and Reactive Power of DGs. IEEE Trans. Smart Grid 2020, 11, 4017–4031. [Google Scholar] [CrossRef]
- Nazaripouya, H.; Pota, H.R.; Chu, C.-C.; Gadh, R. Real-Time Model-Free Coordination of Active and Reactive Powers of Distributed Energy Resources to Improve Voltage Regulation in Distribution Systems. IEEE Trans. Sustain. Energy 2020, 11, 1483–1494. [Google Scholar] [CrossRef]
- Dusabimana, E.; Yoon, S.-G. A Survey on the Micro-Phasor Measurement Unit in Distribution Networks. Electronics 2020, 9, 305. [Google Scholar] [CrossRef]
- Dong, Q.; Sun, J.; Wu, Q.; Liu, Y. A Method for Filtering Low Frequency Disturbance in PMU Data before Coordinated Usage in SCADA. IEEE Trans. Power Syst. 2017, 32, 2810–2816. [Google Scholar] [CrossRef]
- Blas, L.L.F.; Bundoc, P.E.D.C.; Melchor, K.C.L.; Orillaza, J.R.C. Micro-Synchrophasors for Event Detection in an Electric Power System Simulator. In Proceedings of the IEEE Innovative Smart Grid Technologies—Asia (ISGT Asia), Singapore, 22–25 May 2018; pp. 178–183. [Google Scholar]
- Sun, Y.; Chen, X.; Yang, S.; Tseng, K.J.; Amaratunga, G. Micro PMU Based Monitoring System for Active Distribution Networks. In Proceedings of the IEEE 12th International Conference on Power Electronics and Drive Systems (PEDS), Honolulu, HI, USA, 12–15 December 2017; pp. 518–522. [Google Scholar]
- IEEE Std C37.118.1-2011 (Revision of IEEE Std C37.118-2005); IEEE Standard for Synchrophasor Measurements for Power Systems. IEEE: New York, NY, USA, 2011; pp. 1–61.
- Stewart, E.; Liao, A.; Roberts, C. Open mPMU: A Real World Reference Distribution Micro-Phasor Measurement Unit Data Set for Research and Application Development; Technical Report 1006408; LBNL: Berkeley, CA, USA, 2016. [Google Scholar]
- Gargoom, A.; Elmusrati, M.; Gaouda, A. Enhancing the operation of smart inverters with PMU and data concentrators. Int. J. Electr. Power Energy Syst. 2022, 140, 108077. [Google Scholar] [CrossRef]
- Von Meier, A.; Culler, D.; McEachern, A.; Arghandeh, R. Micro-Synchrophasors for Distribution Systems; ISGT: Washington, DC, USA, 2014; pp. 1–5. [Google Scholar]
- Arghandeh, R. Micro-Synchrophasors for Power Distribution Monitoring, a Technology Review, systems and Control. arXiv 2016, arXiv:1605.02813. [Google Scholar]
- Von Meier, A.; Stewart, E.; McEachern, A.; Andersen, M.; Mehrmanesh, L. Precision Micro-Synchrophasors for Distribution Systems: A Summary of Applications. IEEE Trans. Smart Grid 2017, 8, 2926–2936. [Google Scholar] [CrossRef]
- Liu, Y.; Wu, L.; Li, J. D-PMU based applications for emerging active distribution systems: A review. Electr. Power Syst. Res. 2020, 179, 106063. [Google Scholar] [CrossRef]
- Eto, J.H.; Stewart, E.M.; Smith, T.; Buckner, M.; Kirkham, H.; Tuffner, F.; Schoenwald, D.A. Scoping Study on Research and Development Priorities for Distribution-System Phasor Measurement Units; Lawrence Berkeley National Laboratory: Berkeley, CA, USA, 2015. [Google Scholar]
- IEEE PC37.118.2/D3.2; IEEE Draft Standard for Synchrophasor Data Transfer for Power Systems. IEEE: New York, NY, USA, 2011; pp. 1–54.
- Kersting, W.H. Radial distribution test feeders. IEEE Trans. Power Syst. 1991, 6, 975–985. [Google Scholar] [CrossRef]
- Zurawski, R. From Wireline to Wireless Networks and Technologies. IEEE Trans. Ind. Inform. 2007, 3, 93–94. [Google Scholar] [CrossRef]
- Dolatabadi, S.H.; Ghorbanian, M.; Siano, P.; Hatziargyriou, N.D. An Enhanced IEEE 33 Bus Benchmark Test System for Distribution System Studies. IEEE Trans. Power Syst. 2021, 36, 2565–2572. [Google Scholar] [CrossRef]























| Stage Number | Sending Data | Receiving Data | Number of Communication Loops | ||
|---|---|---|---|---|---|
| Maximum Number of PMUs | Data Type | Maximum Number of PMUs | Data Type | ||
| II | 2 | Voltage and current (Mag. and phase) | 2 | One-bit binary code | 1 |
| III | 3 | Voltage and current (Mag. and phase) | 3 | Real quantities | 1 |
| IV | 2 | Voltage and current (Mag. and phase) | 2 | Real quantities | Maximum 4 |
Disclaimer/Publisher’s Note: The statements, opinions and data contained in all publications are solely those of the individual author(s) and contributor(s) and not of MDPI and/or the editor(s). MDPI and/or the editor(s) disclaim responsibility for any injury to people or property resulting from any ideas, methods, instructions or products referred to in the content. |
© 2023 by the authors. Licensee MDPI, Basel, Switzerland. This article is an open access article distributed under the terms and conditions of the Creative Commons Attribution (CC BY) license (https://creativecommons.org/licenses/by/4.0/).
Share and Cite
Zafari, A.; Gargoom, A.; Hosseinzadeh, N.; Islam, S.; Haque, M.E.; Arif, M.T.; Abdelrazek, M. A Hierarchical Multi-Stage Coordination of Inverters for Voltage Control in Active Distribution Networks with a µPMU-PDC. Energies 2023, 16, 4650. https://doi.org/10.3390/en16124650
Zafari A, Gargoom A, Hosseinzadeh N, Islam S, Haque ME, Arif MT, Abdelrazek M. A Hierarchical Multi-Stage Coordination of Inverters for Voltage Control in Active Distribution Networks with a µPMU-PDC. Energies. 2023; 16(12):4650. https://doi.org/10.3390/en16124650
Chicago/Turabian StyleZafari, Ali, Ameen Gargoom, Nasser Hosseinzadeh, Shama Islam, Md Enamul Haque, Mohammad Taufiqul Arif, and Mohamed Abdelrazek. 2023. "A Hierarchical Multi-Stage Coordination of Inverters for Voltage Control in Active Distribution Networks with a µPMU-PDC" Energies 16, no. 12: 4650. https://doi.org/10.3390/en16124650
APA StyleZafari, A., Gargoom, A., Hosseinzadeh, N., Islam, S., Haque, M. E., Arif, M. T., & Abdelrazek, M. (2023). A Hierarchical Multi-Stage Coordination of Inverters for Voltage Control in Active Distribution Networks with a µPMU-PDC. Energies, 16(12), 4650. https://doi.org/10.3390/en16124650

