Next Article in Journal
A Hierarchical Multi-Stage Coordination of Inverters for Voltage Control in Active Distribution Networks with a µPMU-PDC
Next Article in Special Issue
Analysis of Direct Torque Control Response to Stator and Rotor Faults in Permanent Magnet Synchronous Machines
Previous Article in Journal
Alternative Surface-Mounted Permanent Magnet Topology for Reducing Voltage and Torque Harmonics in Shaft Generators
Previous Article in Special Issue
Parameter Identification of Asynchronous Load Nodes
 
 
Font Type:
Arial Georgia Verdana
Font Size:
Aa Aa Aa
Line Spacing:
Column Width:
Background:
Article

Optimization Method Based on Hybrid Surrogate Model for Pulse-Jet Cleaning Performance of Bag Filter

1
School of Mechanical Engineering, Hebei University of Technology, Tianjin 300130, China
2
Key Laboratory of Hebei Province on Scale-Span Intelligent Equipment Technology, Tianjin 300130, China
3
Experimental Training Center, Hebei University of Technology, Tianjin 300401, China
*
Authors to whom correspondence should be addressed.
Energies 2023, 16(12), 4652; https://doi.org/10.3390/en16124652
Submission received: 3 February 2023 / Revised: 17 May 2023 / Accepted: 8 June 2023 / Published: 12 June 2023
(This article belongs to the Special Issue Condition Monitoring and Failure Prevention of Electric Machines)

Abstract

The pulse-jet cleaning process is a critical part of the bag filter workflow. The dust-cleaning effect has a significant impact on the operating stability of bag filters. Aiming at the multi-parameter optimization problem involved in the pulse-jet cleaning process of bag filters, the construction method of hybrid surrogate models based on second-order polynomial response surface models (PRSMs), radial basis functions (RBFs), and Kriging sub-surrogate models is investigated. With four sub-surrogate model hybrid modes, the corresponding hybrid surrogate models, namely PR-HSM, PK-HSM, RK-HSM, and PRK-HSM, are constructed for the multi-parameter optimization involved in the pulse-jet cleaning process of bag filters, and their objective function is the average pressure on the inner side wall of the filter bag at 1 m from the bag bottom. The genetic algorithm is applied to search for the optimal parameter combination of the pulse-jet cleaning process. The results of simulation experiments and optimization calculations show that compared with the sub-surrogate model PRSM, the evaluation indices RMSE, R 2 , and RAAE of the hybrid surrogate model RK-HSM are 9.91%, 4.41%, and 15.60% better, respectively, which greatly enhances the reliability and practicability of the hybrid surrogate model. After using the RK-HSM, the optimized average pressure F on the inner side wall of the filter bag at 1 m from the bag bottom is −1205.1605 Pa, which is 1321.4543 Pa higher than the average pressure value under the initial parameter condition set by experience, and 58.4012 Pa to 515.2836 Pa higher than using the three sub-surrogate models, verifying its usefulness.

1. Introduction

Industrial dust and industrial soot emissions are the main pollution sources affecting the quality of the atmospheric environment [1]. As effective facilities for controlling dust, especially fine particles, bag filters have the characteristics of high efficiency and good economy and are widely used for dust treatment in coal, electric power, steel, cement, and waste incineration industries [2,3]. The pulse-jet cleaning process is an important part of the bag filter workflow, and its performance is directly related to the effect of energy saving and emission reduction. By adopting advanced methods, optimized cleaning parameters can be obtained, thus improving the overall operating efficiency of bag filters.
In order to optimize the pulse-jet cleaning parameters of bag filters, relevant scholars obtained better cleaning parameters by constructing a digital simulation and optimization model for bag filters, which can improve cleaning performance. Kang et al. [2] adopted a numerical simulation for a slit-nozzle optimization design to remove the caked-on dust of the dead zone. Park et al. [4] relied on numerical simulation to study the influence of filter bag length on the distribution of filtration velocity and proposed a scheme to improve the uniformity of filtration velocity. Fan et al. [5] conducted a numerical simulation of the bag filter dust-cleaning process based on fluid dynamics to study the effects of factors such as pulse-jet pressure, nozzle diameter, pulse-jet height, and filter bag length on the flow field distribution inside the bag, established a quadratic polynomial prediction model with four influencing factors, and modified the models to provide theoretical guidance for the optimization of the bag filter dust-cleaning system.
Complex and computationally expensive simulations and physical experiments are often required to quantify the economic and engineering performance of complex products such as bag filters. The surrogate model approach has been widely recognized to avoid the computational burden of directly adopting the finite element model for parameter optimization.
The surrogate model refers to the mapping between the design variables and the optimization objective based on the existing design point data with low computational effort and a short calculation period, while the calculation results are similar to the numerical analysis or physical test results. The focus of surrogate modeling is the construction of approximate models to evaluate system performance and obtain the relationship between the inputs and outputs, so as to obtain the influence of each specific variable on the optimization target, which can bring a more refined design experience to the designers [6]. Common surrogate model methods include the polynomial response surface method (PRSM), radial basis function (RBF), and Kriging.
Xu et al. [7] applied the PRSM surrogate model to the improvement of bentonite in shield construction. The results displayed the optimal parameters for strongly weathered granite strata at different shield advance speeds, thus providing a technical guarantee for efficient construction. Thakre et al. [8] used the PRSM surrogate model in the parameter sensitivity analysis of the selective laser sintering process, which provided conditions for realizing the robust performance of additive manufacturing processes.
Sun et al. [9] introduced the global optimization technique based on the RBF surrogate model into the correction and optimization of key parameters of honeycomb sandwich plates in spacecraft, which reduced the dynamics analysis error. Xu et al. [10] used the RBF surrogate model to optimize the parameters of the annular jet pump to improve its hydraulic performance in submarine trenching and dredging.
Wang et al. [11] employed the Kriging surrogate model to optimize the design of drum brake stability, and it was found that the introduction of Kriging could greatly improve the solution efficiency. Li et al. [12] adopted the Kriging model for the design parameter optimization of a flat-type permanent magnet linear synchronous motor for improving average thrust while reducing thrust fluctuation.
Different surrogate models have their own applicable scenarios [13]. The PRSM is suitable for solving low-order problems in low-dimensional spaces, Kriging is appropriate for solving complex nonlinear problems in low-dimensional spaces and slight nonlinear problems in high-dimensional spaces, and RBF is fit for solving high-order nonlinear problems in high-dimensional spaces. Moreover, the optimization results of a single surrogate model for different problems are highly variable and unpredictable, which brings some risks to engineering optimization.
To address the above issues, a hybrid surrogate model approach based on multiple surrogate models can reduce the risk of using a single surrogate model for optimization while improving the accuracy of the model. Li et al. [14] combined three surrogate models to construct a hybrid surrogate model for the structural design of permanent magnet drives, and the optimization design effect was significantly improved. Xie et al. [15] applied the hybrid surrogate model to the comprehensive dynamic performance optimization of rail vehicles to obtain more reasonable suspension parameters, resulting in significant improvements in both the smoothness and stability of the vehicle operation. He et al. [16] applied the hybrid surrogate model to the shape and structural optimization design of the multi-bubble pressure cabin in an underwater vehicle, which enabled the pressure cabin to have a stronger load capacity and a significantly lower weight.
Compared with different single surrogate models, optimization approaches based on the hybrid surrogate model can combine the superior characteristics of sub-surrogate models to make the model more accurate, thus improving the accuracy of prediction and optimization results. The pulse-jet cleaning process of the bag filter is a complex, nonlinear, dynamic process. In this paper, a more suitable hybrid surrogate model approach will be selected to optimize the pulse-jet cleaning-related parameters to improve the performance of the bag filter.

2. Analysis of the Bag Filter Dust-Cleaning Optimization Problem

The dust-cleaning system of the pulse-jet bag filter is mainly composed of the compressed air cylinder, the clean air chamber, the tube sheet, several filter bags, and the corresponding pulse-jet valves, injection pipes, nozzles, etc. The dust-cleaning process starts with the initiation of the pulse-jet valves, and the pulse-jet time is only roughly 0.1 s to 0.5 s. The schematic diagram of the pulse-jet cleaning state is shown in Figure 1 [17]. When the pulse-jet valve is activated, the high-speed pulse airflow immediately enters the filter bag from the compressed air cylinder through the injection pipe and nozzle. At the same time, it will also cause a low-pressure area at the entrance of the filter bag, thus inducing a secondary airflow into the bag filter, while the secondary airflow rate is several times the initial pulse-jet compressed air [18]. As a large amount of airflow enters the filter bag, the pressure inside the filter bag rises sharply.
The strong airflow impact will make the filter bag vibrate, while the pressure difference between the inside and the outside of the filter bag will make the bag, along with its surface dust cake, move outward in a radial direction. Under the action of tension, the radial velocity of the filter bag will gradually drop to zero, and then the filter bag will shrink inward in a radial direction [19]. Because the dust cake attached to the outer wall of the filter bag is not subject to the tension, the dust cake will overcome the adhesion with the filter bag under the action of inertia and fall into the dust hopper under the action of gravity, thus completing the dust-cleaning process.
In the process of pulse-jet cleaning, there are many factors that affect the dust-cleaning performance [18] such as the air cylinder volume, pulse-jet pressure, pulse-jet height, pulse-jet time, structure of nozzles, filter material type, filter bag diameter and length, clean air chamber volume, and so on.
An optimization model should be established for the pulse-jet system, and then the multiple relevant design parameters can be optimized simultaneously to obtain the optimum dust-cleaning performance. In the study of the optimization of dust-cleaning performance, four parameters which have a significant impact on the dust-cleaning performance, as well as being easily accessible in engineering, were selected. They are the pulse-jet pressure (P), filter bag length (L), filter bag diameter (D), and nozzle diameter (d). According to the actual conditions of engineering, the design intervals of the variables are shown in Table 1.
In previous studies on the optimization of bag filter dust-cleaning performance, dust detachment from the filter bag was mainly evaluated by the sidewall peak pressure. In the process of dust cleaning, the sidewall pressure of the filter bag is unevenly distributed in the axial direction, and the pressure is relatively small in the bottom part of the filter bag, so the effect of dust cleaning is also poor. In other words, when the conditions at the bottom of the filter bag meet the cleaning requirements, the entire bag’s cleaning performance will also be guaranteed. When considering the force required, the dust cake and the filter bag should be considered as a whole. In practical engineering applications, it is difficult to accurately obtain the outer pressure of the filter bag due to the complex characteristics of the dust cake. Therefore, the average pressure on the inner side wall of the filter bag at 1 m from the bag bottom is selected as the optimization target, which is recorded as F. That is, the maximum F is the optimization goal of the cleaning performance. The multi-parameter optimization model for pulse-jet cleaning of the bag filter can be expressed as:
f i n d P , L , D , d max . F s . t . 100 kPa P 400 kPa 6 m L 10 m 130 mm D 160 mm 8 mm d 20 mm

3. Hybrid Surrogate Model for Multi-Parameter Optimization

The surrogate model transforms the black box problem into a smooth and continuous explicit mathematical problem, which greatly reduces the computational complexity while satisfying the accuracy requirements. Different surrogate models have different characteristics and apply to different optimization problems. If they can be combined to build on their strengths and avoid their weaknesses, the optimization results may be better. Therefore, the hybrid surrogate model method is proposed to expect better optimization results.
Set as follows, x = x 1 , , x n is the n-dimensional input variable, y is the output response, and the corresponding response data set is Y = y ( 1 ) , , y ( N ) T for the training sample data set X = x ( 1 ) , , x ( N ) T of size N . The functional relationship between x and y can be expressed as:
y = y ^ x + ε
where y ^ x is the surrogate model output function, and ε is the error when approximating y with y ^ x .
The essence of the hybrid surrogate model is a weighted linear superposition of different single surrogate models called sub-surrogate models [20], which can be expressed as:
y ^ HSM x = i = 1 m α i y ^ i x i = 1 m α i = 1
where y ^ HSM x is the output of the hybrid surrogate model, m is the number of sub-surrogate models, y ^ i x is the output of the i th sub-surrogate model, and a i is the weight of y ^ i x .
Using two sub-surrogate models cannot provide enough sub-surrogate model hybrid modes, and using four or more sub-surrogate models will greatly increase the amount of calculation. In order to make better use of the advantages of each sub-surrogate model and reduce the influence of its defects on the hybrid surrogate model, there are three sub-surrogate models selected by the proposed hybrid surrogate model method, which are the PRSM model, the RBF model, and the Kriging model.

3.1. Sub-Surrogate Model

3.1.1. PRSM

PRSM was first proposed by the mathematicians Box and Wilson in 1951. The process of PRSM is to construct a mapping relationship between the design variables and the target response through least squares regression based on the given input and output values. It can be expressed as:
y = β T f x = β 1 f 1 x + β 2 f 2 x + + β k f k x
where f i x ( i = 1 , 2 , , k ) is the i th polynomial, β i is the corresponding polynomial coefficient to be solved, f x is the polynomial matrix, and β is the coefficient matrix.
The most common usage of PRSM in engineering applications is the second-order PRSM [21]. Its general formula can be expressed as:
y ^ PRSM = β 0 + i = 1 n β i x i + i = 1 n β i i x i 2 + i = 1 n i < j n β i j x i x j
where y ^ PRSM is the estimated value of the response, and x i is the i th component of the n-dimensional variable x . β 0 , β i , β i i , and β i j are the coefficients of the objective function to be solved, respectively, which can be arranged in a certain order to form the column vector β .
The polynomial response surface method uses polynomials with explicit expressions to replace complex simulation analysis models, which are easy to construct. The models constructed by PRSM have good continuity and derivability to reduce the influence of numerical noise. At the same time, the influence of each variable on the output target response can be judged by the coefficient of each component [22]. The engineering practice shows that the PRSM can effectively reduce the number of simulation analyses. However, if there are too many design variables, the number of sample points will increase accordingly, and the computational burden will increase significantly.

3.1.2. RBF

RBF is a method that uses discrete multivariate data to fit unknown functions. The basic principle is to linearly weight the model constructed with a typical radial function as the basis function, transforming the multi-dimensional problem into a one-dimensional problem with the Euclidean distance between the known sample points and the unknown point to be measured as the independent variable [23]. The function value corresponding to the unknown sample point x based on RBF can be expressed as:
y ^ RBF = i = 1 N λ i φ x x i = λ T φ
where is the Euclidean distance, and λ i is the weight coefficient of the radial function for the i th sample point x i .
The response vector [24] can be expressed as:
y = A λ A = φ x ( 1 ) x ( 1 ) φ x ( 1 ) x ( N ) φ x ( N ) x ( 1 ) φ x ( N ) x ( N ) N × N
where φ r is the radial function and r is the Euclidean distance. When the sample points do not coincide and A is positive definite [25], the above equation has a unique solution λ = A 1 y . After that, the function value at the unknown sample point can be predicted.
Among these common radial functions, the multiquadric (MQ) function φ r , c = r 2 + c 2 0.5 shows good effects in terms of accuracy, stability, and computational efficiency [26]. The RBF is an interpolation-type surrogate model, and the approximation accuracy is strongly influenced by the shape coefficient c c > 0 . The optimal value of c depends on the distribution of sample points and approximate targets.
The RBF has the advantages of simple structure, good flexibility, high computational efficiency, and fast convergence, making it suitable for solving problems with multiple variables. However, the model is sensitive to numerical noise, so it is slightly insufficient for fitting strongly non-linear responses [27].

3.1.3. Kriging

Kriging is an unbiased estimation model with minimum estimation variance [28]. This model adds a random process on the basis of the global regression model, which not only considers the influence of the distance relationship between the sample points on the output, but also the influence of the spatial distribution and location relationship between the sample points on the output [29]. It can be generally expressed as:
y = F β , x + z x = f T x β + z x
where F β , x is the global regression model to reflect the overall trend of the system response in the design space, f x is the polynomial function vector, β is the regression coefficient vector, and z x is a stochastic process with a mean of zero, a variance of σ 2 , and a non-zero covariance, which reflects the approximation of local deviation. The covariance satisfies:
Cov z x ( i ) , z x ( j ) = σ 2 R x ( i ) , x ( j )
where R x ( i ) , x ( j ) is a spatial correlation function, indicating the spatial correlation between sample points x ( i ) and x ( j ) , which plays a decisive role in the accuracy of the simulation [30].
R x ( i ) , x ( j ) = k = 1 n R k θ k , d k
where R k θ k , d k is the kernel function of the correlation function R ; d k is the difference between the k th component of the sample points x k ( i ) and x k ( j ) , namely d k = x k ( i ) x k ( j ) ; n is the dimension of the sample points, that is, the number of design variables; and θ k is the model parameter of the kernel function in the k th direction.
The GAUSS model has the characteristics of being smooth and differentiable everywhere [31]; therefore, it is usually adopted in engineering applications to construct the correlation function model.
R x ( i ) , x ( j ) = exp k = 1 n θ k x k ( i ) x k ( j ) 2
The Kriging model needs to minimize the mean square error of prediction φ x under the condition of unbiased estimation.
E y ^ KRG = E y φ x = MSE y ^ KRG = E y ^ KRG y 2
The Kriging model is based on the information of known sample points, fully considering the spatial correlation characteristics of variables. Moreover, the model has both local and global statistical properties. These characteristics make Kriging advantageous in solving problems of high nonlinearity to achieve desirable results [32].

3.2. Method for Determining the Weighting Factor

There are two key aspects of the modeling process of the hybrid surrogate model: one is to choose suitable single surrogate models as its sub-surrogate models, and the other is to determine the hybrid strategy, that is, to determine the weight coefficients through an effective calculation method.
The inverse proportional averaging method regards the accuracy indexes of each sub-surrogate model as irrelevant and has no systematic deviation [33]. The proportion of each sub-surrogate model in the hybrid surrogate model will be calculated according to this method.
ω i = E i 1 i = 1 m E i 1
where E i is the approximate capability evaluation value of the i th sub-surrogate model. In this paper, the root mean square error (RMSE) is picked as E .

3.3. Hybrid Surrogate Model Optimization Algorithm

The optimization algorithm proposed in this paper is a multi-parameter optimization strategy based on a hybrid surrogate model. The initial sample set is obtained through simulation experiments, and the hybrid surrogate model will be constructed. The accuracy of the hybrid surrogate model should be inspected in combination with the actual problem, and if it meets the requirements, the global optimal solution of the model will be obtained by the genetic algorithm; otherwise, the hybrid agent model needs to be updated by selecting a suitable addition strategy until the model accuracy meets the requirements. The process of optimization based on the hybrid surrogate model is displayed in Figure 2.

4. Optimization of Dust-Cleaning Performance of Bag Filter

4.1. Simulation and Modeling

This study relies on the bag filter laboratory, as shown in Figure 3a, and the digital model of the bag filter, as shown in Figure 3b, is constructed based on physical equipment. In order to facilitate the study, a single filter bag is taken as the object, and some simplifications are applied. The finite element analysis model is shown in Figure 3c.
In this paper, the main settings of the numerical simulation are as follows:
  • The pressure inlet boundary condition is adopted at the inlet of the injection pipe. Considering the change of outlet pressure during the opening and closing process of the pulse-jet valve, the user-defined function (UDF) is adopted to define the function of pulse-jet pressure changing with time. According to the physical experiment, the curve of pulse-jet pressure changing with time is shown in Figure 4.
  • The boundary condition of the filter bag is set to the porous-jump medium.
  • The pulse-jet cleaning process satisfies the law of conservation of energy, the law of conservation of mass, and the law of conservation of momentum.
Too few sample points make it difficult to guarantee the surrogate model’s accuracy, while too many sample points will increase the computation cost. To ensure the space-filling of sample points and improve the computational efficiency, the Latin hypercube sampling method [34] based on the maximizing minimum distance criterion is employed to perform the experimental design, and 70 sets of sample points are obtained to construct the surrogate models. To confirm the correctness of the proxy model, 30 sets of validation sample points are obtained using the same method to test the accuracy. The distribution of modeling sample points and validation sample points is shown in Figure 5.
According to the experimental design conditions of 100 sets of sample points, the ANSYS is used to simulate the pulse-jet dust-cleaning process of the bag filter, as shown in Figure 6.
The surrogate models will be constructed based on the data of the 70 sample points. Meanwhile, considering the large range of data variation in each dimension, it is necessary to normalize the input variables to reduce their impact on the accuracy of the surrogate models [35].
x new = x i x i min x i max x i min
where x new is the normalized design variable, x i is the initial design variable, and x i max and x i min are the minimum and maximum values of the initial design variable. It can be obtained:
x P = P 100 300 x L = L 6 4 x D = D 130 30 x d = d 8 12
where x P , x L , x D , and x d are the normalized values of P, L, D, and d, respectively.
According to the normalization and simulation results of the modeling sample points, the sub-surrogate models can be constructed.
  • Second-order PRSM sub-surrogate model
F PRSM x = 0.0430 x P 2 1.2778 x L 2 0.1340 x D 2 3.3243 x d 2 0.2987 x P x L 0.3057 x P x D 3.5838 x P x d 0.0723 x L x D 0.2685 x L x d 0.4268 x D x d + 1.1371 x P + 1.7622 x L + 0.4638 x D + 3.6502 x d 2.9011
2.
RBF sub-surrogate model
In this paper, the MQ function is employed as the kernel function of the RBF sub-surrogate model, which can be expressed as:
F RBF x = i = 1 70 λ i x P x i P 2 + x L x i L 2 + x D x i D 2 + x d x i d 2 + c 2 1 2
where x i P , x i L , x i D , and x i d denote the four-dimensional components of the i th modeling sample point, respectively. The solution can be obtained: c = 0.3457 , λ = 13.8543 , 70.6401 , 9.6336 , 7.0372 , , 13.9376 , 13.0330 .
3.
Kriging sub-surrogate model
In this paper, the quadratic function g x is used as the global approximation function in the Kriging sub-surrogate model.
F KRG x = g x + z x

4.2. Accuracy Evaluation

In order to ensure the validity of sub-surrogate models, error analysis is required. Commonly used indicators for evaluating the model accuracy are root mean square error (RMSE), coefficient of certainty ( R 2 ) [36], and relative average absolute error (RAAE) [37].
RMSE = i = 1 N y i y ^ i 2 N R 2 = 1 i = 1 N y i y ^ i 2 i = 1 N y i y ¯ i 2 RAAE = i = 1 N y i y ^ i N 1 N i = 1 N y i y ¯ i 2
According to the formulas, the accuracy indexes of three sub-surrogate models are shown in Table 2. It can be seen that the accuracy of the RBF sub-surrogate model is better than the other two.

4.3. Construction of Hybrid Surrogate Model

The basic form of the hybrid surrogate model for pulse-jet cleaning performance can be expressed as:
F HSM x = ω PRSM F PRSM + ω RBF F RBF + ω KRG F KRG
Three sub-surrogate models can construct multiple hybrid surrogate models. When the number of sub-surrogate models is 2, there are three hybrid surrogate models. When the number of sub-surrogate models is 3, there is one hybrid surrogate model.
  • Hybrid surrogate model constructed by the second-order PRSM and RBF (PR-HSM)
According to formula 13, the weights of the second-order PRSM model and the RBF model in the hybrid surrogate model RH-HSM are ω PR - PRSM = 0.477680 and ω PR - RBF = 0.522320.
F PR - HSM x = 0.477680 F PRSM x + 0.522320 F RBF x
2.
Hybrid surrogate model constructed by the second-order PRSM and Kriging (PK-HSM)
According to formula 13, the weights of the second-order PRSM model and the Kriging model in the hybrid surrogate model PK-HSM are ω PK - PRSM = 0.488495 and ω PK - KRG = 0.511505.
F PK - HSM x = 0.488495 F PRSM x + 0.511505 F KRG x
3.
Hybrid surrogate model constructed by the RBF and Kriging (RK-HSM)
According to formula 13, the weights of the RBF model and the Kriging model in the hybrid surrogate model RK-HSM are ω RK - RBF = 0.510827 and ω RK - KRG = 0.489173.
F RK - HSM x = 0.510827 F PRSM x + 0.489173 F KRG x
4.
Hybrid surrogate model constructed by three sub-surrogate models (PRK-HSM)
According to formula (13), the weights of the second-order PRSM model, the RBF model, and the Kriging model in the hybrid surrogate model PRK-HSM are ω PRK - PRSM = 0.318415, ω PRK - RBF = 0.348172, and ω PRK - KRG = 0.333413.
F PRK - HSM x = 0.318415 F PRSM x + 0.348172 F RBF x + 0.333413 F KRG x
The accuracy indexes of four hybrid surrogate models are shown in Table 3. It can be seen from Table 3 that the accuracy of the hybrid surrogate model RK-HSM is better than the other three hybrid surrogate models.
The accuracy of the hybrid surrogate model is affected by the accuracy of its sub-surrogate model. Comparing the accuracy of three sub-surrogate models and four hybrid surrogate models, it can be seen that hybrid surrogate models are better, among which the hybrid surrogate model RK-HSM performs best. The model accuracy indexes RMSE, R 2 , and RAAE of RK-HSM are improved by 9.91%, 4.41%, and 15.60%, respectively, compared with the sub-surrogate model PRSM. With RMSE as the overall evaluation metric, the performance of the seven surrogate models is ranked as RK-HSM > RBF > PR-HSM > PRK-HSM > Kriging > PK-HSM > Second-order PRSM; with R 2 as the overall evaluation metric, the ranking is similarly RK-HSM > RBF > PR-HSM > PRK-HSM > Kriging > PK-HSM > Second-order PRSM; and, with RAAE as the overall evaluation metric, the ranking is RK-HSM > PR-HSM > PRK-HSM > RBF > Kriging > PK-HSM > Second-order PRSM. The accuracy metrics of the sub-surrogate model RBF and Kriging are better than some constructed hybrid agent models, which is related to the construction principle of the surrogate model.
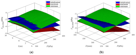
Applying the best-performing hybrid surrogate model RK-HSM in this study, the values of the average pressure F RK - HSM on the inner side wall of the filter bag at 1 m from the bag bottom during the pulse-jet dust-cleaning process under different parameter combinations can be obtained, as shown in Figure 7, which can be used to study the influence of different parameters on the pulse-jet dust-cleaning process. The parameter conditions corresponding to the images in Figure 7 are shown in Table 4.
As can be seen from Figure 7, the output response F RK - HSM is comprehensively affected by the multiple parameters. The change rules of the average pressure on the inner side wall of the filter bag at 1 m from the bag bottom F RK - HSM can be roughly understood through these images. However, as these response surfaces are interlaced, it is difficult to describe the variation completely and accurately. In order to obtain the optimal parameter combination which results in the maximum F, the genetic algorithm is chosen in this paper.

4.4. Genetic Algorithm for Seeking Optimal Parameters

A genetic algorithm [38] is a bionic algorithm conceived to search for the optimal solution based on the principle of biological evolution. As a global search heuristic algorithm, the genetic algorithm is suitable for solving complex optimization problems with strong robustness [39]. In this paper, combining the characteristics of the genetic algorithm and the common experience of parameter setting, the operational parameters of the genetic algorithm are set as shown in Table 5.
Under the initial experience setting condition ( P 0 = 250 kPa, L 0 = 8 m, D 0 = 145 mm, and d 0 = 16 mm), the simulation result of F is −2526.6148 Pa. For the seven surrogate models constructed above, including three sub-surrogate models and four hybrid surrogate models, the genetic algorithm is applied to seek the optimal combination of the four variable parameters (P, L, D, and d) involved in the pulse-jet dust-cleaning process to maximize F. The results are shown in Table 6.
As can be seen from Table 6, the adoption of the genetic algorithm based on surrogate models can increase the simulation result of average pressure F in the pulse-jet dust-cleaning process by more than 30% compared with the result under the initial empirical parameter condition ( P 0 = 250 kPa, L 0 = 8 m, D 0 = 145 mm, and d 0 = 16 mm). In addition, the comprehensive performance of the hybrid surrogate models is better than that of the sub-surrogate models. Among these surrogate models, the hybrid surrogate model RK-HSM performs more outstandingly, increasing the F by 52.30% to −1205.1605 Pa, which significantly improves the dust-cleaning effect of the bag filter. In summary, the hybrid surrogate model RK-HSM performs superiorly in both model accuracy and genetic algorithm seeking, that is, the hybrid surrogate model RK-HSM is more suitable for solving the optimization of bag filter dust-cleaning performance.

5. Conclusions

This paper proposes a hybrid surrogate model construction method based on the second-order PRSM, the RBF, and the Kriging as sub-surrogate models. Based on different hybrid modes, four hybrid surrogate models are constructed, namely PR-HSM, PK-HSM, RK-HSM, and PRK-HSM. On this basis, combined with the genetic algorithm-parameter-seeking strategy, the hybrid surrogate model optimization methods are provided for optimizing the pulse-jet cleaning process of industrial bag filters.
For the multi-parameter optimization of the bag filter pulse-jet cleaning process, the accuracy indexes RMSE, R 2 , and RAAE of the hybrid surrogate model RK-HSM are improved by 9.91%, 4.41%, and 15.60%, respectively, compared with the sub-surrogate model PRSM, which greatly enhances the reliability and practicality of the surrogate model method. What’s more, the accuracy metrics of the sub-surrogate models RBF and Kriging are better than some constructed hybrid agent models, which is related to the construction principle of the surrogate model. Therefore, the choice of the surrogate model should be appropriate to the problem to be solved, rather than aiming at the complexity of the method.
Aiming at maximizing the average pressure F on the inner side wall of the filter bag at 1 m from the bag bottom, the genetic algorithm is used to search for the optimal parameter combination, which includes the pulse-jet pressure (P), filter bag length (L), filter bag diameter (D), and nozzle diameter (d). The simulation results show that among the seven surrogate models, including three sub-surrogate models and four hybrid surrogate models, the hybrid surrogate model RK-HSM performs more prominently, increasing the F by 52.30% to −1205.1605 Pa, compared with the results under the initial empirical parameter condition. The application of the optimization method based on the hybrid surrogate model RK-HSM can greatly improve the dust-cleaning effect.

Author Contributions

Conceptualization, S.S., L.L., Z.Y. and C.Y.; Data curation, S.S., L.L. and Z.Y.; Funding acquisition, L.L. and Z.Y.; Methodology, S.S.; Resources, L.L., Z.Y., C.Y., Y.Z. and Y.C.; Software, S.S. and Y.Z.; Validation, S.S., W.C., C.Y. and Y.C.; Writing—original draft, S.S.; Writing—review and editing, L.L., Z.Y., W.C., C.Y., Y.Z. and Y.C. All authors have read and agreed to the published version of the manuscript.

Funding

This work is partially supported by National Natural Science Foundation of China (Grant number 52175461); Intelligent Manufacturing Project of Tianjin (Grant number 20201199).

Institutional Review Board Statement

Not applicable.

Informed Consent Statement

Not applicable.

Data Availability Statement

Not applicable.

Conflicts of Interest

The authors declare no conflict of interest.

References

  1. Liu, J.; Mao, N.; Sun, X.; Wang, J.; Chang, D.; Lin, X. Review of History, Present Situation and Development Trend of Bag Dust Removal Technology in China. China Environ. Prot. Ind. 2022, 1, 47–58. [Google Scholar]
  2. Kang, F.; Cheng, H.; Leng, H.; Zen, S.; Xu, Z.; Li, X.; Lu, J.; Lin, Y.; Chen, H. Performance Optimization of Rectangular Flat Pleated Filter with Slit Nozzle for Dust Cleaning. Powder Technol. 2020, 376, 320–331. [Google Scholar] [CrossRef]
  3. Chen, L.; Liu, Z.; Sun, Y.; Qian, F.; Han, Y.; Lu, J. Experimental Study on the Dust-Cleaning Performance of New Structure Microporous Membrane Filter Plate. Atmosphere 2022, 13, 817. [Google Scholar] [CrossRef]
  4. Park, S.; Joe, Y.; Shim, J.; Park, H.; Shin, W. Non-uniform Filtration Velocity of Process Gas Passing Through a Long Bag Filter. J. Hazard. Mater. 2019, 365, 440–447. [Google Scholar] [CrossRef] [PubMed]
  5. Fan, B.; Li, F.; Wang, H.; Huang, G. Research on Dust-Cleaning Performance of Pulse Bag Filter by Response Surface Methodology. In Mechanics and Materials Science, Proceedings of the 2016 International Conference on Mechanics and Materials Science MMS 2016, Guangzhou, China, 15–16 October 2016; World Scientific: Singapore, 2016; pp. 412–424. [Google Scholar]
  6. Sun, Z.; Yao, Y.; Guo, D.; Yang, G.; Yao, S.; Zhang, Y.; Chen, D.; Li, G.; Shang, K.; Jia, L. Research Progress in Aerodynamic Optimization of High-speed Trains. Chin. J. Theor. Appl. Mech. 2021, 53, 51–74. [Google Scholar]
  7. Xu, Z.; Guo, X. Optimization of Bentonite Parameters for Shield Tunneling Based on Response Surface Method. Chin. J. Geotech. Eng. 2021, 43, 194–200. [Google Scholar]
  8. Thakre, U.; Mote, R. Uncertainty Quantification and Statistical Modeling of Selective Laser Sintering Process Using Polynomial Chaos Based Response Surface Method. J. Manuf. Process. 2022, 81, 893–906. [Google Scholar] [CrossRef]
  9. Sun, W.; Cheng, W. Material Properties Updating of Honeycomb Sandwich Plates Using a Global Optimization Technique Based on Response Surface Model. J. Mater. Eng. 2019, 47, 159–166. [Google Scholar]
  10. Xu, K.; Wang, G.; Zhang, L.; Wang, L.; Yun, F.; Sun, W.; Wang, X.; Chen, X. Multi-objective Optimization of Jet Pump Based on RBF Neural Network Model. J. Mar. Sci. Eng. 2021, 9, 236. [Google Scholar] [CrossRef]
  11. Wang, W.; Li, J.; Liu, G.; Wei, J.; Zhang, Z.; Cheng, M. Optimization Design of Drum Brake Stability Based on Kriging Surrogate Model. J. Vib. Shock 2021, 40, 134–138. [Google Scholar]
  12. Li, X.; Cui, H.; Hu, C.; Liu, X.; Huang, S. Optimal Design of Thrust Characteristics of Flat-Type Permanent Magnet Linear Synchronous Motor. Trans. China Electrotech. Soc. 2021, 36, 916–923. [Google Scholar]
  13. Jie, H.; Wu, Y.; Ding, J. An Adaptive Metamodel-based Global Optimization Algorithm for Black-box Type Problems. Eng. Optim. 2015, 47, 1459–1480. [Google Scholar] [CrossRef]
  14. Li, Z.; Wang, D.; Shi, T.; Zheng, D. Optimization Design for Permanent Magnet Drive Based on Entropy-weight and Hybrid Surrogate Model. Electr. Mach. Control 2016, 20, 102–108. [Google Scholar]
  15. Xie, H.; Yang, Y.; Tong, L.; Zeng, W.; Xie, S. Multi-objective Optimization of the Suspension Parameters for High Speed Rail Vehicle Based Ona Hybrid Surrogate Model. J. Railw. Sci. Eng. 2016, 13, 2056–2063. [Google Scholar]
  16. He, Y.; Song, B.; Cao, Y. Multi-Step Structural Optimization Design of Multi-Bubble Pressure Cabin in the Autonomous Underwater Vehicle with Blended-Wing-Body. J. Northwestern Polytech. Univ. 2018, 36, 664–670. [Google Scholar] [CrossRef]
  17. Andersen, B.; Nielsen, N.; Walther, J. Numerical and Experimental Study of Pulse-jet Cleaning in Fabric Filters. Powder Technol. 2016, 291, 284–298. [Google Scholar] [CrossRef]
  18. Liu, X.; Shen, H. Effect of Venturi Structures on the Cleaning Performance of a Pulse Jet Baghouse. Appl. Sci. 2019, 9, 3687. [Google Scholar] [CrossRef]
  19. Zhang, Q.; Liu, D.; Wang, M.; Shu, Y.; Xu, H.; Chen, H. Characteristics and Evaluation Index of Pulse-jet Dust Cleaning of Filter Cartridge. Process Saf. Environ. Prot. 2022, 157, 362–374. [Google Scholar] [CrossRef]
  20. Song, X.; Lv, L.; Li, J.; Sun, W.; Zhang, J. An Advanced and Robust Ensemble Surrogate Model: Extended Adaptive Hybrid Functions. J. Mech. Des. 2018, 140, 041402. [Google Scholar] [CrossRef]
  21. Wang, M.; Huang, Q. A New Hybrid Uncertain Analysis Method for Structural-acoustic Systems with Random and Interval Parameters. Comput. Struct. 2016, 175, 15–28. [Google Scholar] [CrossRef]
  22. He, Z.; Xiong, X.; Yang, B.; Li, H. Aerodynamic Optimisation of a High-speed Train Head Shape Using an Advanced Hybrid Surrogate-based Nonlinear Model Representation Method. Optim. Eng. 2020, 23, 59–84. [Google Scholar] [CrossRef]
  23. Yuan, Z.; Kong, L.; Gao, D.; Tong, X.; Feng, Y.; Yang, G.; Yang, Z.; Li, S. Multi-objective Approach to Optimize Cure Process for Thick Composite Based on Multi-field Coupled Model with RBF Surrogate Model. Compos. Commun. 2021, 24, 100671. [Google Scholar] [CrossRef]
  24. Dou, S.; Li, J.; Kang, F. Health Diagnosis of Concrete Dams Using Hybrid FWA with RBF-based Surrogate Model. Water Sci. Eng. 2019, 12, 188–195. [Google Scholar] [CrossRef]
  25. Farazandeh, E.; Mirzaei, D. A Rational RBF Interpolation with Conditionally Positive Definite Kernels. Adv. Comput. Math. 2021, 47, 74. [Google Scholar] [CrossRef]
  26. Chen, W.; Hong, Y.; Lin, J. The Sample Solution Approach for Determination of the Optimal Shape Parameter in the Multiquadric Function of the Kansa Method. Comput. Math. Appl. 2018, 75, 2942–2954. [Google Scholar] [CrossRef]
  27. Long, T.; Liu, J.; Wang, G.; Liu, L.; Shi, R.; Guo, X. Discuss on Approximate Optimization Strategies Using Design of Computer Experiments and Metamodels for Flight Vehicle Design. J. Mech. Eng. 2016, 52, 79–105. [Google Scholar] [CrossRef]
  28. Haeri, A.; Fadaee, M. Efficient Reliability Analysis of Laminated Composites Using Advanced Kriging Surrogate Model. Compos. Struct. 2016, 149, 26–32. [Google Scholar] [CrossRef]
  29. Xing, J.; Luo, Y.; Gao, Z. A Global Optimization Strategy Based on the Kriging Surrogate Model and Parallel Computing. Struct. Multidiscip. Optim. 2020, 62, 405–417. [Google Scholar] [CrossRef]
  30. Hao, P.; Feng, S.; Liu, H.; Wang, Y.; Wang, B.; Wang, B. A Novel Nested Stochastic Kriging Model for Response Noise Quantification and Reliability Analysis. Comput. Methods Appl. Mech. Eng. 2021, 384, 113941. [Google Scholar] [CrossRef]
  31. Noack, M.; Yager, K.; Fukuto, M.; Doerk, G.; Li, R.; Sethian, J. A Kriging-based Approach to Autonomous Experimentation with Applications to X-ray Scattering. Sci. Rep. 2019, 9, 11809. [Google Scholar] [CrossRef] [PubMed]
  32. Yang, Y.; Sun, W.; Su, G. A Novel Support-Vector-Machine-Based Grasshopper Optimization Algorithm for Structural Reliability Analysis. Buildings 2022, 12, 855. [Google Scholar] [CrossRef]
  33. Schwab, B.; Janzen, S.; Magnan, N.; Thompson, W. Constructing a Summary Index Using the Standardized Inverse-covariance Weighted Average of Indicators. Stata J. 2020, 20, 952–964. [Google Scholar] [CrossRef]
  34. Li, W.; Lu, L.; Xie, X.; Yang, M. A Novel Extension Algorithm for Optimized Latin Hypercube Sampling. J. Stat. Comput. Simul. 2017, 87, 2549–2559. [Google Scholar] [CrossRef]
  35. Zhang, L.; Li, T.; Zhang, J.; Piao, R. Optimization on the Crosswind Stability of Trains Using Neural Network Surrogate Model. Chin. J. Mech. Eng. 2021, 34, 86. [Google Scholar] [CrossRef]
  36. Mehdiyev, N.; Enke, D.; Fettke, P.; Loos, P. Evaluating Forecasting Methods by Considering Different Accuracy Measures. Procedia Comput. Sci. 2016, 95, 264–271. [Google Scholar] [CrossRef]
  37. Zhou, Y.; Sun, J.; Wang, S.; Hao, Y.; Liu, C. Risk Assessment of Small-signal Instability for Renewable Power System Based on High-dimensional Model Representation Method. Autom. Electr. Power Syst. 2022, 46, 73–82. [Google Scholar]
  38. Katoch, S.; Chauhan, S.; Kumar, V. A Review on Genetic Algorithm: Past, Present, and Future. Multimed. Tools Appl. 2021, 80, 8091–8126. [Google Scholar] [CrossRef]
  39. Wang, Z.; Wang, H.; Cheng, M. Fuzzing Testing Sample Set Optimization Scheme Based on Heuristic Genetic Algorithm. J. Beijing Univ. Aeronaut. Astronaut. 2022, 48, 217–224. [Google Scholar]
Figure 1. The schematic diagram of the pulse-jet cleaning state.
Figure 1. The schematic diagram of the pulse-jet cleaning state.
Energies 16 04652 g001
Figure 2. The process of optimization based on the hybrid surrogate model.
Figure 2. The process of optimization based on the hybrid surrogate model.
Energies 16 04652 g002
Figure 3. The simplification of bag filter: (a) the bag filter laboratory; (b) the digital model; (c) the finite element analysis model.
Figure 3. The simplification of bag filter: (a) the bag filter laboratory; (b) the digital model; (c) the finite element analysis model.
Energies 16 04652 g003
Figure 4. The curve of pulse-jet pressure changing with time.
Figure 4. The curve of pulse-jet pressure changing with time.
Energies 16 04652 g004
Figure 5. The distribution of modeling sample points and validation sample points: (a) P-L-D, (b) P-L-d, (c) P-D-d, (d) L-D-d.
Figure 5. The distribution of modeling sample points and validation sample points: (a) P-L-D, (b) P-L-d, (c) P-D-d, (d) L-D-d.
Energies 16 04652 g005
Figure 6. The simulation process: (a) the mesh; (b) the iterations and residuals image of the simulation process.
Figure 6. The simulation process: (a) the mesh; (b) the iterations and residuals image of the simulation process.
Energies 16 04652 g006
Figure 7. The variation of F RK - HSM with parameters: (a) P-L- F RK - HSM ; (b) P-D- F RK - HSM ; (c) P-d- F RK - HSM ; (d) L-D- F RK - HSM ; (e) L-d- F RK - HSM ; and (f) D-d- F RK - HSM .
Figure 7. The variation of F RK - HSM with parameters: (a) P-L- F RK - HSM ; (b) P-D- F RK - HSM ; (c) P-d- F RK - HSM ; (d) L-D- F RK - HSM ; (e) L-d- F RK - HSM ; and (f) D-d- F RK - HSM .
Energies 16 04652 g007aEnergies 16 04652 g007b
Table 1. The design intervals of the variables.
Table 1. The design intervals of the variables.
VariableInitial Empirical ValueLower Limit ValueUpper Limit Value
P/kPa250100400
L/m8610
D/mm145130160
d/mm16820
Table 2. Model accuracy of three sub-surrogate models.
Table 2. Model accuracy of three sub-surrogate models.
Sub-Surrogate ModelRMSER2RAAE
Second-order PRSM0.3582110.8103720.353255
RBF0.3275960.8414000.309310
Kriging0.3420970.8270490.331309
Table 3. Model accuracy of four hybrid surrogate models.
Table 3. Model accuracy of four hybrid surrogate models.
Hybrid Surrogate ModelRMSER2RAAE
PR-HSM0.3293140.8397320.303630
PK-HSM0.3486370.8203730.342030
RK-HSM0.3227190.8460870.298155
PRK-HSM0.3304310.8386440.308248
Table 4. The parameter conditions corresponding to the images.
Table 4. The parameter conditions corresponding to the images.
ImageSub-ImageP/kPaL/mD/mmd/mm
(a)initialization100~4006~1014516
maximum16020
minimum1308
(b)initialization100~4008130~16016
maximum1020
minimum68
(c)initialization100~40081458~20
maximum10160
minimum6130
(d)initialization2506~10130~16016
maximum40020
minimum1008
(e)initialization2506~101458~20
maximum400160
minimum100130
(f)initialization2508130~1608~20
maximum40010
minimum1006
Table 5. Genetic algorithm parameters.
Table 5. Genetic algorithm parameters.
Genetic Algorithm ParameterSet Value
Number of populations200
Termination algebra150
Crossover probabilities0.8
Probability of variation 0.05
Table 6. Genetic algorithm-optimization-seeking results.
Table 6. Genetic algorithm-optimization-seeking results.
Surrogate Model ConfigurationOptimized Parameter CombinationSimulation Result/PaPressure
Increase/%
P/kPaL/mD/mmd/mm
Sub-Surrogate modelSecond-order PRSM399.96698.2384143.09938.0004−1723.444131.79
RBF225.30329.1380147.108712.7751−1430.554643.38
Kriging267.33778.0878131.795912.1181−1263.561749.99
hybrid surrogate modelPR-HSM108.18918.6201135.715214.4433−1333.701147.21
PK-HSM100.00948.7184140.981914.5812−1532.951339.33
RK-HSM265.74308.0866130.765612.11737−1205.160552.30
PRK-HSM100.05508.7151135.951214.6379−1331.284347.31
Disclaimer/Publisher’s Note: The statements, opinions and data contained in all publications are solely those of the individual author(s) and contributor(s) and not of MDPI and/or the editor(s). MDPI and/or the editor(s) disclaim responsibility for any injury to people or property resulting from any ideas, methods, instructions or products referred to in the content.

Share and Cite

MDPI and ACS Style

Sun, S.; Liu, L.; Yang, Z.; Cui, W.; Yang, C.; Zhang, Y.; Chen, Y. Optimization Method Based on Hybrid Surrogate Model for Pulse-Jet Cleaning Performance of Bag Filter. Energies 2023, 16, 4652. https://doi.org/10.3390/en16124652

AMA Style

Sun S, Liu L, Yang Z, Cui W, Yang C, Zhang Y, Chen Y. Optimization Method Based on Hybrid Surrogate Model for Pulse-Jet Cleaning Performance of Bag Filter. Energies. 2023; 16(12):4652. https://doi.org/10.3390/en16124652

Chicago/Turabian Style

Sun, Shirong, Libing Liu, Zeqing Yang, Wei Cui, Chenghao Yang, Yanrui Zhang, and Yingshu Chen. 2023. "Optimization Method Based on Hybrid Surrogate Model for Pulse-Jet Cleaning Performance of Bag Filter" Energies 16, no. 12: 4652. https://doi.org/10.3390/en16124652

APA Style

Sun, S., Liu, L., Yang, Z., Cui, W., Yang, C., Zhang, Y., & Chen, Y. (2023). Optimization Method Based on Hybrid Surrogate Model for Pulse-Jet Cleaning Performance of Bag Filter. Energies, 16(12), 4652. https://doi.org/10.3390/en16124652

Note that from the first issue of 2016, this journal uses article numbers instead of page numbers. See further details here.

Article Metrics

Back to TopTop