Physics-Informed Neural Networks for Low Reynolds Number Flows over Cylinder
Abstract
1. Introduction
2. Methodology
2.1. Physics-Informed Neural Network
2.2. Physics Constraints for Fluid Flows
2.3. Implementation of PINN
2.4. PINN Setup
2.5. Validation Setup with Computational Fluid Dynamics
3. Results
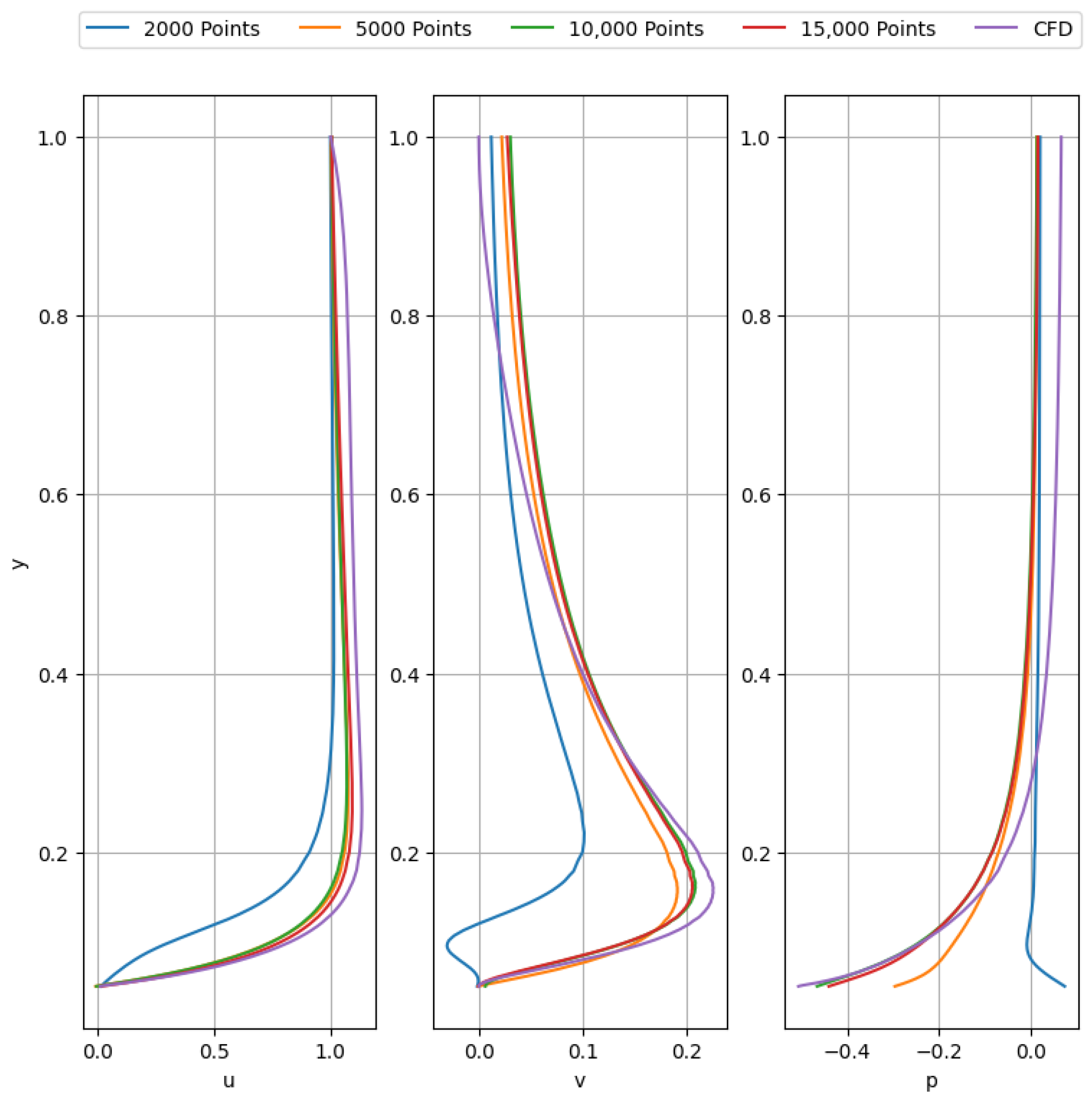
3.1. Effect of Number of Points
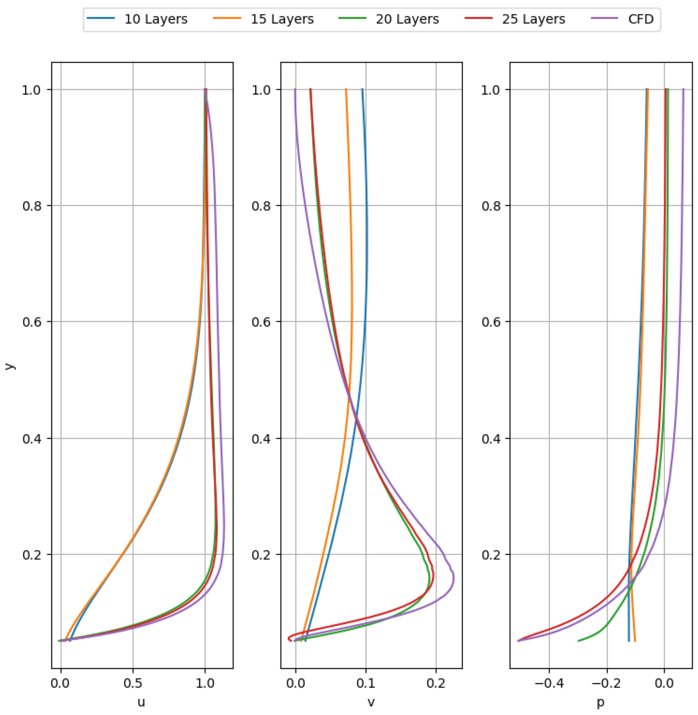
3.2. Effect of Number of Hidden Layers
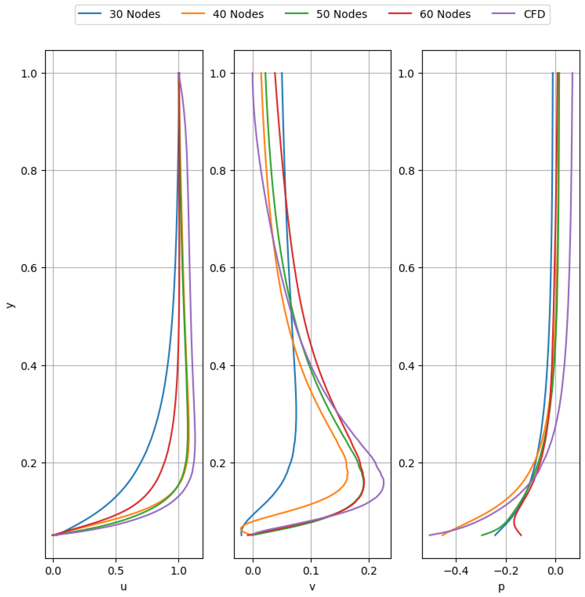
3.3. Effect of Number of Nodes per Hidden Layer
4. Discussions
4.1. Maximum Error between PINN and CFD
4.2. Comparison of Resource Utilzation
5. Conclusions
Author Contributions
Funding
Data Availability Statement
Conflicts of Interest
References
- Shyy, W.; Lian, Y.; Tang, J.; Liu, H.; Trizila, P.; Stanford, B.; Bernal, L.; Cesnik, C.; Friedmann, P.; Ifju, P. Computational aerodynamics of low Reynolds number plunging, pitching and flexible wings for MAV applications. Acta Mech. Sin. 2008, 24, 351–373. [Google Scholar] [CrossRef]
- Shanko, E.S.; van de Burgt, Y.; Anderson, P.D.; den Toonder, J.M. Microfluidic magnetic mixing at low Reynolds number and in stagnant fluids. Micromachines 2019, 10, 731. [Google Scholar] [CrossRef]
- Moukalled, F.; Mangani, L.; Darwish, M. The Finite Volume Method in Computational Fluid Dynamics; Springer: Cham, Switzerland, 2016. [Google Scholar]
- Lindhorst, K.; Haupt, M.C.; Horst, P. Reduced-order modelling of non-linear, transient aerodynamics of the HIRENASD wing. Aeronaut. J. 2013, 120, 601–626. [Google Scholar] [CrossRef]
- Thuerey, N.; Weißenow, K.; Prantl, L.; Hu, X. Deep Learning Methods for Reynolds-Averaged Navier-Stokes Simulations of Airfoil Flows. AIAA J. 2020, 58, 25–36. [Google Scholar] [CrossRef]
- Zhang, Y.; Sung, W.; Mavris, D. Application of Convolutional Neural Network to Predict Airfoil Lift Coefficient. In Proceedings of the 2018 AIAA/ASCE/AHS/ASC Structures, Structural Dynamics, and Materials Conference, Kissimmee, FL, USA, 8–12 January 2018. [Google Scholar]
- Belbute-Peres, F.D.A.; Economon, T.; Kolter, Z. Combining Differentiable PDE Solvers and Graph Neural Networks for Fluid Flow Prediction. In Proceedings of the 37th International Conference on Machine Learning, Virtual, 13–18 July 2020. [Google Scholar]
- Han, R.; Wang, Y.; Zhang, Y.; Chen, G. A novel spatial-temporal prediction method for unsteady wake flows based on hybrid deep neural network. Phys. Fluids 2019, 31, 127101. [Google Scholar]
- Samek, W.; Montavon, G.; Vedaldi, A.; Hansen, L.K.; Muller, K.R. Explainable AI: Interpreting, Explaining and Visualizing Deep Learning; Springer: Cham, Switzerland, 2019. [Google Scholar]
- Raissi, M.; Perdikaris, P.; Karniadakis, G.E. Physics-informed neural networks: A deep learning framework for solving forward and inverse problems involving nonlinear partial differential equations. J. Comput. Phys. 2018, 378, 686–707. [Google Scholar] [CrossRef]
- Chauvin, Y.; Rumelhart, D.E. Backpropagation: Theory, Architectures, and Applications; Lawrence Erlbaum Associates Publishers: Hillsdale, NJ, USA, 1995. [Google Scholar]
- Raissi, M.; Wang, Z.; Triantafyllou, M.S.; Karniadakis, G.E. Deep learning of vortex-induced vibrations. J. Fluid Mech. 2019, 861, 119–137. [Google Scholar] [CrossRef]
- Sun, L.; Gao, H.; Pan, S.; Wang, J.X. Surrogate modeling for fluid flows based on physics-constrained deep learning without simulation data. Comput. Methods Appl. Mech. Eng. 2020, 361, 112732. [Google Scholar] [CrossRef]
- Mao, Z.; Jagtap, A.D.; Karniadakis, G.E. Physics-informed neural networks for high-speed flows. Comput. Methods Appl. Mech. Eng. 2019, 360, 112789. [Google Scholar] [CrossRef]
- Cai, S.; Mao, Z.; Wang, Z.; Yin, M.; Karniadakis, G.R. Physics-informed neural networks (PINNs) for fluid mechanics: A review. Acta Mech. Sin. 2021, 37, 1727–1738. [Google Scholar] [CrossRef]
- Arzani, A.; Wang, J.X.; D’Souza, R.M. Uncovering near-wall blood flow from sparse data with physics-informed neural networks. Phys. Fluids 2021, 33, 071905. [Google Scholar] [CrossRef]
- Eivazi, H.; Tahani, M.; Schlatter, P.; Vinuesa, R. Physics-informed neural networks for solving Reynolds-averaged Navier-Stokes equations. Phys. Fluids 2021, 34, 075117. [Google Scholar] [CrossRef]
- Jin, X.; Cai, S.; Li, H.; Karniadakis, G.E. NSFnets (Navier-Stokes Flow nets): Physics-informed neural networks for the incompressible Navier-Stokes equations. J. Comput. Phys. 2021, 426, 109951. [Google Scholar] [CrossRef]
- Zhu, Q.; Liu, Z.; Yan, J. Machine learning for metal additive manufacturing: Predicting temperature and melt pool fluid dynamics using physics-informed neural networks. Comput. Mech. 2021, 67, 619–635. [Google Scholar] [CrossRef]
- Almajid, M.M.; Abu-Al-Saud, M.O. Prediction of porous media fluid flow using physics informed neural networks. J. Pet. Sci. Eng. 2022, 208, 109205. [Google Scholar] [CrossRef]
- Bararnia, H.; Esmaeilpour, M. On the application of physics informed neural networks (PINN) to solve boundary layer thermal-fluid problems. Int. Commun. Heat Mass Transf. 2022, 132, 105890. [Google Scholar] [CrossRef]
- Aliakbari, M.; Mahmoudi, M.; Vadasz, P.; Arzani, A. Predicting high-fidelity multiphysics data from low-fidelity fluid flow and transport solvers using physics-informed neural networks. Int. J. Heat Fluid Flow 2022, 96, 109002. [Google Scholar] [CrossRef]
- Yang, X.I.A.; Zafar, S.; Wang, J.-X.; Xiao, H. Predictive large-eddy-simulation wall modeling via physics-informed neural networks. Phys. Rev. Fluids 2019, 4, 034602. [Google Scholar] [CrossRef]
- Lucor, D.; Agrawal, A.; Sergent. Simple computational strategies for more effective physics-informed neural networks modeling of turbulent natural convection. J. Comput. Phys. 2022, 456, 111022. [Google Scholar] [CrossRef]
- Haykin, S. Neural Networks: A Comprehensive Foundation; Pearson Education: London, UK, 1999. [Google Scholar]
- Baydin, A.G.; Pearlmutter, B.A.; Radul, A.A.; Siskind, J.M. Automatic Differentiation in Machine Learning: A Survey. J. Mach. Learn. Res. 2018, 18, 1–43. [Google Scholar]
- Caudill, M.; Butler, C. Naturally Intelligent Systems; Massachusetts Institute of Technology: Cambridge, MA, USA, 1992. [Google Scholar]
- PyTorch. PyTorch Documentation. 2019. Available online: https://pytorch.org/docs/stable/index.html (accessed on 2 June 2021).
- Kingma, D.P.; Ba, J.L. Adam: A Method for Stochastic Optimization. In Proceedings of the International Conference on Learning Representations, San Diego, CA, USA, 7–9 May 2015. [Google Scholar]
- OpenFOAM. OpenFOAM Documentation. 22 December 2020. Available online: https://www.openfoam.com/documentation/overview (accessed on 31 May 2021).
- Tritton, D.J. Experiments on the flow past a circular cylinder at low Reynolds numbers. J. Fluid Mech. 1959, 6, 547–567. [Google Scholar] [CrossRef]
- Posdziech, O.; Grundmann, R. A systematic approach to the numerical calculation of fundamental quantities of the two-dimensional flow over a circular cylinder. J. Fluids Struct. 2007, 23, 479–499. [Google Scholar] [CrossRef]
- Cybenko, G. Approximation by Superpositions of a Sigmoidal Function. Math. Control Signals Syst. 1989, 2, 303–314. [Google Scholar] [CrossRef]
- Hornik, K. Approximation Capabilities of Multilayer Feedforward Networks. Neural Netw. 1991, 4, 251–257. [Google Scholar] [CrossRef]
- Ang, E.; Ng, B.F. Physics-Informed Neural Networks for Flow Around Airfoil. In Proceedings of the AIAA SCITECH 2022 Forum, San Diego, CA, USA, Virtual, 3–7 January 2022. [Google Scholar] [CrossRef]
















| Study | Case 1 | Case 2 | Case 3 | Case 4 |
|---|---|---|---|---|
| Number of Points | 2000 | 5000 | 10,000 | 15,000 |
| Number of Nodes | 30 | 40 | 50 | 60 |
| Number of Layers | 10 | 15 | 20 | 25 |
| Meshes | Number of Cells | CD | Difference |
|---|---|---|---|
| Cylinder-1 | 20,392 | 4.5028 | - |
| Cylinder-2 | 41,772 | 4.5030 | 0.0045% |
| Method | CD | |
|---|---|---|
| Tritton [31] | Experiment | 4.467 |
| Posdziech et al. [32] | DNS | 4.1904 |
| Current | CFD | 4.503 |
| Case | No. of Points | No. of Layers | No. of Nodes per Layer |
|---|---|---|---|
| Effect of number of points in point cloud | 2000, 5000, 10,000, 15,000 | 20 | 50 |
| Effects of number of hidden layers | 5000 | 10, 15, 20, 25 | 50 |
| Effects of number of nodes in hidden layer | 5000 | 20 | 30, 40, 50, 60 |
| Study | Number of Cells | CFD Time | PINN Time |
|---|---|---|---|
| Cylinder | 41,772 | 170 | ~500 |
| Airfoil [35] | 100,172 | 1687 | ~500 |
Disclaimer/Publisher’s Note: The statements, opinions and data contained in all publications are solely those of the individual author(s) and contributor(s) and not of MDPI and/or the editor(s). MDPI and/or the editor(s) disclaim responsibility for any injury to people or property resulting from any ideas, methods, instructions or products referred to in the content. |
© 2023 by the authors. Licensee MDPI, Basel, Switzerland. This article is an open access article distributed under the terms and conditions of the Creative Commons Attribution (CC BY) license (https://creativecommons.org/licenses/by/4.0/).
Share and Cite
Ang, E.H.W.; Wang, G.; Ng, B.F. Physics-Informed Neural Networks for Low Reynolds Number Flows over Cylinder. Energies 2023, 16, 4558. https://doi.org/10.3390/en16124558
Ang EHW, Wang G, Ng BF. Physics-Informed Neural Networks for Low Reynolds Number Flows over Cylinder. Energies. 2023; 16(12):4558. https://doi.org/10.3390/en16124558
Chicago/Turabian StyleAng, Elijah Hao Wei, Guangjian Wang, and Bing Feng Ng. 2023. "Physics-Informed Neural Networks for Low Reynolds Number Flows over Cylinder" Energies 16, no. 12: 4558. https://doi.org/10.3390/en16124558
APA StyleAng, E. H. W., Wang, G., & Ng, B. F. (2023). Physics-Informed Neural Networks for Low Reynolds Number Flows over Cylinder. Energies, 16(12), 4558. https://doi.org/10.3390/en16124558

