Investigation of Thermopressor with Incomplete Evaporation for Gas Turbine Intercooling Systems
Abstract
1. Introduction
2. Literature Review
- (1)
- (2)
- Injected water drop separation on the blades and the compressor casing and related possible complications in its operation [46,47]. Due to insufficiently efficient spraying of the injected water, already in the compressor’s first stages (according to the injection area) there is an intensive drop separation on the working blades with the liquid layer formation. Moving layers are torn from the edges of the blades, resulting in the formation of so-called secondary drops, which are separated on the compressor housing [48].
- (3)
- Providing sufficient intensity of injected water evaporation and cooling the compressed airflow [49]. Several times less moisture evaporates from the surface of the droplets in the airflow (the evaporation share from the surface of the droplets is usually less than 20%) than from the liquid layer surface on the blades and compressor housing [50].
- (4)
- Mechanical losses due to the drop acceleration of the flow and rotating blades’ deceleration of the impellers drop by their repeated deposition and surface failure of the blades and housing, as well as friction, liquid layer on the blades’ surface, and compressor housing [22,51]. As a result, the stage’s internal efficiency and the compressor are reduced [52].
- (5)
- (1)
- Cyclic air intercooling the gas turbine by a thermopressor provides an increase in power by increasing the working fluid mass flow rate, increasing efficiency and reducing fuel consumption by reducing the compressed air temperature, and, consequently, reducing the compression power cost.
- (2)
- Intercooling of the gas turbine cycle air by a thermopressor provides increased power due to more efficient liquid spraying in the thermopressor itself by providing incomplete droplet evaporation and reducing droplet diameter (dispersion) to less than 30 μm, consequently decreasing relative fuel consumption by reducing power consumption in the compressor since the compression process is approximately isothermal.
- (3)
- A thermopressor is a multifunctional device that implements three main functions: air (gas) compression–compressor; air (gas) cooling–heat exchanger; and providing an effective liquid (water) spray nozzle. This versatility allows, on the one hand, to increase the power plant efficiency, reduce fuel consumption, and increase power by reducing the cost of compressing the working fluid, therefore increasing the working fluid consumption in the cycle.
3. Materials and Methods
- (1)
- At the entrance in front of the air filter;
- (2)
- After compressing the air in the compressor and cleaning from oil and moisture;
- (3)
- After heating the air in the duct air heater at the entrance of the thermopressor;
- (4)
- In the thermopressor evaporation chamber;
- (5)
- At the thermopressor diffuser outlet (the discharge pipe).
4. Results and Discussion
5. Conclusions
- The use of incomplete evaporation in a thermopressor to provide contact cooling of the cycled air of gas turbines makes it possible to obtain a highly dispersed flow before going into the high-pressure compressor.
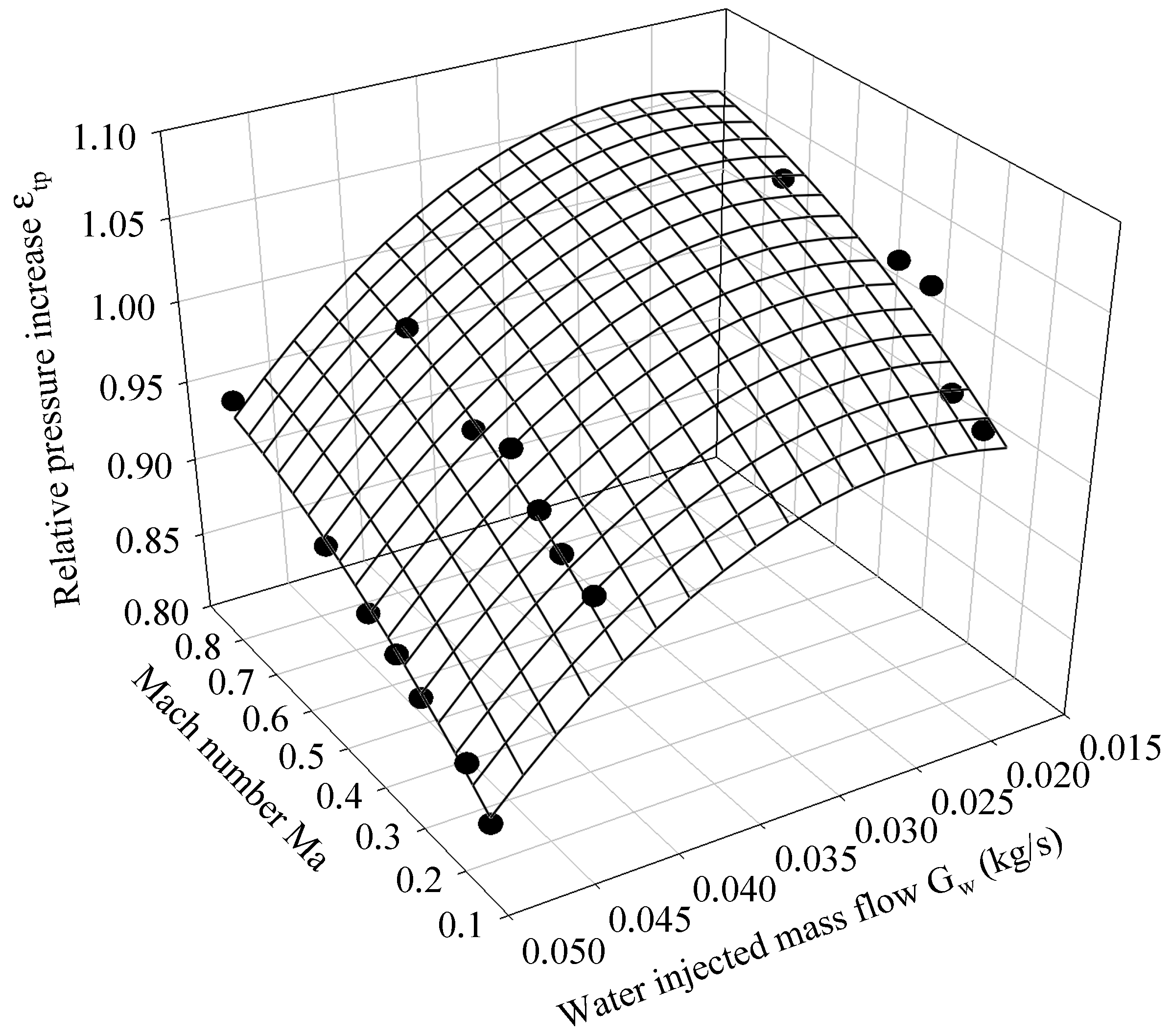
- It was determined that the increase in pressure due to the effect of thermo-gas-dynamic compression depends on the influence of the aerodynamic resistance of the dispersed flow droplets in the thermopressor evaporation chamber. Water injection has a positive effect over the necessary amount for evaporation, but only in the area gw = 4–10% (0.0175–0.0487 kg/s), and a further increase in gw will result in a decrease in relative increase pressure εtp. Moreover, the increased relative velocity in the evaporation chamber (up to Ma = 0.74) shifts the limit value of gw to a narrower range of gw = 6–8%.
- It has been experimentally shown that excessive liquid injection into the thermopressor for air cooling makes it possible to increase the relative pressure in the thermopressor to εtp = 1–3% (5–10 kPa). However, this makes it possible to ensure effective liquid high-dispersion spraying in the airflow with simultaneous air cooling up to 301–307 K.
- The highly dispersed flow thus acquired with the use of the thermopressor can be pre-evaporated in the high-pressure compressor stage. This will allow the compression process to operate closer to an isothermal process.
- The maximum error value of the increased pressure in the thermopressor during measurements, corresponding to the Student’s dispersion, does not exceed δtp = ±4.00%.
- Based on experimental data, empirical equations are obtained for calculating the relative pressure increase in the thermopressor for intercooling systems of power plant engines’ cyclic air. The equation can calculate the thermopressor characteristics under incomplete water evaporation (up to gw = 10%) in the flowing part.
- The obtained data on the optimal amount of water for injection and empirical equations for determining the pressure increase in the thermopressor correspond to low-consumption thermopressors with an airflow rate of up to 0.52 kg/s, evaporation chamber diameters of up to 50 mm (relative flow path length ltp is from 3 to 10), and a Mach number from 0.3 to 0.8.
Author Contributions
Funding
Data Availability Statement
Conflicts of Interest
Nomenclature
| CHAT | Cascaded Humidified Advanced Turbine | |
| GE | General Electric | |
| HAT | Humidified Advanced Turbine or Humidified Air Turbine | |
| WAC | Water Atomization Cooling | |
| Symbols and units | ||
| δw | droplet diameter | μm |
| Ga | air mass flow | kg/s |
| gw | relative water amount | % |
| Gw | water injected mass flow | kg/s |
| ltp | relative flow path length | |
| Ma | Mach number | |
| P | flow pressure | Pa |
| Pw | water pressure at the inlet to the nozzle | MPa |
| Ta | air temperature | °C; K |
| ΔPtp | flow pressure increases in the thermopressor | Pa; % |
| T1/T2 | relative temperature | |
| εtp | thermopressor degree of pressure increase | |
| Subscripts | ||
| 1 | before | |
| 2 | after | |
| a | air | |
| tp | thermopressor | |
| w | water | |
References
- Emberson, D.R.; Wyndorps, J.; Ahmed, A.; Pires Bjørgen, K.O.; Løvås, T. Detailed examination of the combustion of diesel and glycerol emulsions in a compression ignition engine. Fuel 2021, 291, 120147. [Google Scholar] [CrossRef]
- Yang, Z.; Kornienko, V.; Radchenko, M.; Radchenko, A.; Radchenko, R.; Pavlenko, A. Capture of pollutants from exhaust gases by low-temperature heating surfaces. Energies 2022, 15, 120. [Google Scholar] [CrossRef]
- Sandeep, S.; Senthil Kumar, D.; Krishnan, S.; Pandey, S.K. Assessment of atomized water injection in the intake manifold of a heavy duty diesel engine for NOx reduction potential. In Proceedings of the IOP Conference Series: Materials Science and Engineering, Wuhan, China, 10–12 October 2019. [Google Scholar]
- Beltaifa, Y.; Holzberger, S.; Aslan, F.; Kettner, M.; Eilts, P. Optimization of Direct Water Injection Parameters to Improve the Trade-off Between Efficiency and NOx Emissions for a Lean-Burn CHP NG Engine. In Proceedings of the ASME 2020 Internal Combustion Engine Division Fall Technical Conference, Online, 4–6 November 2020. [Google Scholar]
- Block Novelo, D.A.; Igie, U.; Prakash, V.; Szymański, A. Experimental investigation of gas turbine compressor water injection for NOx emission reductions. Energy 2019, 176, 235–248. [Google Scholar] [CrossRef]
- Ayhan, V.; Ece, Y.M. New application to reduce NOx emissions of diesel engines: Electronically controlled direct water injection at compression stroke. Appl. Energy 2020, 260, 114328. [Google Scholar] [CrossRef]
- Kauf, M.; Gern, M.; Seefeldt, S. Evaluation of Water Injection Strategies for NOx Reduction and Charge Cooling in SI Engines. In Proceedings of the 2019 JSAE/SAE Powertrains, Fuels and Lubricants, SAE Technical Papers, Kyoto, Japan, 26–29 August 2019. [Google Scholar]
- Yao, Z.M.; Qian, Z.Q.; Li, R.; Hu, E. Energy efficiency analysis of marine high-powered medium-speed diesel engine base on energy balance and exergy. Energy 2019, 176, 991–1006. [Google Scholar] [CrossRef]
- Kornienko, V.; Radchenko, R.; Radchenko, M.; Radchenko, A.; Pavlenko, A.; Konovalov, D. Cooling Cyclic Air of Marine Engine with Water-Fuel Emulsion Combustion by Exhaust Heat Recovery Chiller. Energies 2022, 15, 248. [Google Scholar] [CrossRef]
- Radchenko, A.; Radchenko, M.; Mikielewicz, D.; Pavlenko, A.; Radchenko, R.; Forduy, S. Energy Saving in Trigeneration Plant for Food Industries. Energies 2022, 15, 1163. [Google Scholar] [CrossRef]
- Radchenko, A.; Radchenko, M.; Mikielewicz, D.; Radchenko, R.; Andreev, A. A novel degree-hour method for rational design loading. Proc. Inst. Mech. Eng. Part A J. Power Energy 2022, (online-first). 09576509221135659. [Google Scholar] [CrossRef]
- Yang, Z.; Radchenko, M.; Radchenko, A.; Mikielewicz, D.; Radchenko, R. Gas Turbine Intake Air Hybrid Cooling Systems and a New Approach to Their Rational Designing. Energies 2022, 15, 1474. [Google Scholar] [CrossRef]
- Zhao, Z.; Wang, Z.; Xie, S.; Zhang, M.; Ouyang, T. A novel design of power-cooling cogeneration system driven by solid oxide fuel cell waste heat in ocean-going vessels. J. Clean. Prod. 2021, 318, 128532. [Google Scholar] [CrossRef]
- Radchenko, A.; Scurtu, I.C.; Radchenko, M.; Radchenko, R.; Forduy, S.; Zubarev, A. Monitoring the efficiency of cooling air at the inlet of gas engine in integrated energy system. Therm. Sci. 2022, 26, 185–194. [Google Scholar] [CrossRef]
- Radchenko, A.; Trushliakov, E.; Kosowski, K.; Mikielewicz, D.; Radchenko, M. Innovative turbine intake air cooling systems and their rational designing. Energies 2020, 13, 6201. [Google Scholar] [CrossRef]
- Yang, Z.; Kornienko, V.; Radchenko, M.; Radchenko, A.; Radchenko, R. Research of Exhaust Gas Boiler Heat Exchange Surfaces with Reduced Corrosion When Water-Fuel Emulsion Combustion. Sustainability 2022, 14, 11927. [Google Scholar] [CrossRef]
- Yang, Z.; Korobko, V.; Radchenko, M.; Radchenko, R. Improving Thermoacoustic Low-Temperature Heat Recovery Systems. Sustainability 2022, 14, 12306. [Google Scholar] [CrossRef]
- Radchenko, M.; Radchenko, A.; Radchenko, R.; Kantor, S.; Konovalov, D.; Kornienko, V. Rational loads of turbine inlet air absorption-ejector cooling systems. Proc. Inst. Mech. Eng. Part A J. Power Energy 2022, 236, 450–462. [Google Scholar] [CrossRef]
- Han, Z.X.; Guo, J.F.; Zhang, H.Y.; Chen, J.L.; Huai, X.L. Study on the Flow and Heat Transfer Characteristics of Pressurized Humid Air in Humidification Cycle Gas Turbine Regenerator. J. Eng. Thermophys. 2021, 42, 2899–2910. [Google Scholar]
- Radchenko, M.; Mikielewicz, D.; Andreev, A.; Vanyeyev, S.; Savenkov, O. Efficient Ship Engine Cyclic Air Cooling by Turboexpander Chiller for Tropical Climatic Conditions. In Lecture Notes in Networks and Systems; Springer: Cham, Switzerland, 2021; pp. 498–507. [Google Scholar]
- De Paepe, W.; Carrerro, M.M.; Bram, S.; Parente, A.; Contino, F. Advanced Humidified Gas Turbine Cycle Concepts Applied to Micro Gas Turbine Applications for Optimal Waste Heat Recovery. Energy Procedia 2017, 105, 1712–1718. [Google Scholar] [CrossRef]
- Salehi, M.; Eivazi, H.; Tahani, M.; Masdari, M. Analysis and prediction of gas turbine performance with evaporative cooling processes by developing a stage stacking algorithm. J. Clean. Prod. 2020, 277, 122666. [Google Scholar] [CrossRef]
- Shukla, A.K.; Singh, O. Impact of Inlet Fogging on the Performance of Steam Injected Cooled Gas Turbine Based Combined Cycle Power Plant. In Proceedings of the Gas Turbine India Conference, Bangalore, India, 7–8 December 2017. [Google Scholar]
- Zeitoun, O. Two-stage evaporative inlet air gas turbine cooling. Energies 2021, 14, 1382. [Google Scholar] [CrossRef]
- Kumar Shukla, A.; Sharma, A.; Sharma, M.; Mishra, S. Performance Improvement of Simple Gas Turbine Cycle with Vapor Compression Inlet Air Cooling. Mater. Today Proc. 2018, 5, 19172–19180. [Google Scholar] [CrossRef]
- Yaïci, W.; Ghorab, M.; Entchev, E. 3D CFD study of the effect of inlet air flow maldistribution on plate-fin-tube heat exchanger design and thermal–hydraulic performance. Int. J. Heat Mass Transf. 2016, 101, 527–541. [Google Scholar] [CrossRef]
- De Paepe, W.; Pappa, A.; Coppitters, D.; Montero Carrero, M.; Tsirikoglou, P.; Contino, F. Recuperator Performance Assessment in Humidified Micro Gas Turbine Applications Using Experimental Data Extended With Preliminary Support Vector Regression Model Analysis. J. Eng. Gas Turbines Power 2021, 143, 071030. [Google Scholar] [CrossRef]
- De Paepe, W.; Delattin, F.; Bram, S.; De Ruyck, J. Water injection in a micro gas turbine—Assessment of the performance using a black box method. Appl. Energy 2013, 112, 1291–1302. [Google Scholar] [CrossRef]
- Yang, Z.; Konovalov, D.; Radchenko, M.; Radchenko, R.; Kobalava, H.; Radchenko, A.; Kornienko, V. Analysis of Efficiency of Thermopressor Application for Internal Combustion Engine. Energies 2022, 15, 2250. [Google Scholar] [CrossRef]
- Sun, J.; Zhou, X.; Liang, Q.; Zuo, Z.; Chen, H. The effect of wet compression on a centrifugal compressor for a compressed air energy storage system. Energies 2019, 12, 906. [Google Scholar] [CrossRef]
- Sun, J.; Hou, H.; Zuo, Z.; Tang, H.; Chen, H. Numerical study on wet compression in a supercritical air centrifugal compressor. Proc. Inst. Mech. Eng. Part A J. Power Energy 2020, 234, 384–397. [Google Scholar] [CrossRef]
- Konovalov, D.; Radchenko, M.; Kobalava, H.; Radchenko, A.; Radchenko, R.; Kornienko, V.; Maksymov, V. Research of characteristics of the flow part of an aerothermopressor for gas turbine intercooling air. Proc. Inst. Mech. Eng. Part A J. Power Energy 2022, 236, 634–646. [Google Scholar] [CrossRef]
- Shapiro, A.H.; Wadleigh, K.R.; Gavril, B.D.; Fowle, A.A. The Aerothermopressor—A Device for Improving the Performance of a Gas-Turbine Power Plant. Trans. Am. Soc. Mech. Eng. 2022, 78, 617–650. [Google Scholar] [CrossRef]
- Fowle, A. An Experimental Investigation of an Aerothermopressor Having a Gas Flow Capacity of 25 Pounds per Second. Ph.D. Thesis, Massachusetts Institute of Technology, Cambridge, MA, USA, 1972. [Google Scholar]
- Dixon, S.L.; Hall, C.A. Fluid Mechanics and Thermodynamics of Turbomachinery, 7th ed.; Butterworth-Heinemann: Oxford, UK, 2013; pp. 1–537. [Google Scholar]
- Sun, J.; Zuo, Z.; Liang, Q.; Zhang, X.; Guo, H.; Chen, H. Theoretical and experimental study on effects of wet compression on centrifugal compressor performance. Appl. Therm. Eng. 2022, 212, 118163. [Google Scholar] [CrossRef]
- Dayyabu, G.K.; Zheng, Q.; Zhang, H.; Sun, L. Effects of water droplets on the numerical simulation of a complete gas turbine. Int. J. Thermodyn. 2018, 21, 7–14. [Google Scholar] [CrossRef]
- Kruzel, M.; Bohdal, T.; Dutkowski, K.; Radchenko, M. The Effect of Microencapsulated PCM Slurry Coolant on the Efficiency of a Shell and Tube Heat Exchanger. Energies 2022, 15, 5142. [Google Scholar] [CrossRef]
- Radchenko, M.; Korobko, V.; Kantor, S.; Zubarev, A.; Girzheva, O. Turbine Intake Air Combined Cooling Systems. In Lecture Notes in Mechanical Engineering; Springer: Cham, Switzerland, 2022; pp. 278–287. [Google Scholar]
- Burger, F.; Jeanne, B.-S.; Uli, R. Combustion Gas Turbine with Cooled Guide Vane Support Structure. US Patent 3408044 A, 29 October 1968. [Google Scholar]
- Bhargava, R.K.; Bianchi, M.; Campanari, S.; de Pascale, A.; di Montenegro, G.N.; Peretto, A. A parametric thermodynamic evaluation of high performance gas turbine based power cycles. J. Eng. Gas Turbines Power 2010, 132, 022001. [Google Scholar] [CrossRef]
- De Biasi, V. LM6000 Sprint Design Enhanced to Increase Power and Efficiency. Gas Turbine World 2000, 30, 16–19. [Google Scholar]
- Boyce, M.P. Gas Turbine Engineering Handbook; Gulf Professional Publishing: Houston, TX, USA, 2017. [Google Scholar]
- De Paepe, W.; Montero Carrero, M.; Bram, S.; Contino, F.; Parente, A. Waste heat recovery optimization in micro gas turbine applications using advanced humidified gas turbine cycle concepts. Appl. Energy 2017, 207, 218–229. [Google Scholar] [CrossRef]
- Zhang, Q.; He, M.; Wang, Y.; Weng, S. Analysis of air humidification process for humid air turbine cycle with a detailed air humidifier model. Appl. Energy 2020, 279, 115833. [Google Scholar] [CrossRef]
- Dolinsky, A.; Basok, B.I.; Nakorchevsky, A.I. Experimental studies of boiling incipience in flow through a contracting-diverging nozzle. Heat Transf. Res. 1997, 28, 510–513. [Google Scholar] [CrossRef]
- Mahmood, M.; Martini, A.; Massardo, A.F.; De Paepe, W. Model based diagnostics of AE-T100 micro humid air turbine cycle. In Proceedings of the ASME Turbo Expo, Lillestrøm, Norway, 11–15 June 2018. [Google Scholar]
- Guangya, Z.; Chow, T.T.; Fong, K.F.; Lee, C.K. Investigation on humidified gas turbine cycles with Maisotsenko-cycle-based air saturator. Energy Procedia 2019, 158, 5195–5200. [Google Scholar] [CrossRef]
- Al-Ansary, H.A.; Orfi, J.A.; Ali, M.E. Impact of the use of a hybrid turbine inlet air cooling system in arid climates. Energy Convers. Manag. 2013, 75, 214–223. [Google Scholar] [CrossRef]
- Kim, K.H.; Ko, H.J.; Kim, K.; Perez-Blanco, H. Analysis of water droplet evaporation in a gas turbine inlet fogging process. Appl. Therm. Eng. 2012, 33–34, 62–69. [Google Scholar] [CrossRef]
- Barabash, P.; Solomakha, A.; Sereda, V. Experimental investigation of heat and mass transfer characteristics in direct contact exchanger. Int. J. Heat Mass Transf. 2020, 162, 120359. [Google Scholar] [CrossRef]
- Chaker, M.; Mee, T.R. Design consideration of fogging and wet compression systems as function of gas turbine inlet duct configurations. In Proceedings of the ASME Turbo Expo, Montreal, QC, Canada, 15–19 June 2015. [Google Scholar]
- Khan, J.R.; Wang, T. Three-dimensional modeling for wet compression in a single stage compressor including liquid particle erosion analysis. J. Eng. Gas Turbines Power 2011, 133, 012001. [Google Scholar] [CrossRef]
- Doerr, T.; Braun, S.; Schuster, S.; Brillert, D. Proof of concept for a novel interstage injection design in axial compressors. J. Eng. Gas Turbines Power 2021, 143, 061030. [Google Scholar] [CrossRef]
- Dutkowski, K.; Kruzel, M. Microencapsulated PCM slurries’ dynamic viscosity experimental investigation and temperature-dependent prediction model. Int. J. Heat Mass Transf. 2019, 145, 118741. [Google Scholar] [CrossRef]
- Mohan, A.; Chidambaram, P.K.; Suryan, A.; Kim, H.D. Energy efficiency analysis of wet compression systems through thermo-fluid dynamic considerations. J. Clean. Prod. 2019, 214, 132–144. [Google Scholar] [CrossRef]
- Palestrant, L.; Andrews H., L. Atomizing nozzle. Patent US 2009/0308953 A1, 17 December 2009. [Google Scholar]
- Wet Compression Power Augmentation. Boost Gas Turbine Power with MeeFog; Mee Industries Inc.: St. Irwindale, CA, USA, 2020; 8p. [Google Scholar]
- Van Liere, J.; Laagland, G.H.M. The tophat® Cycle; VDI Berichte: Düsseldorf, Germany, 2000; pp. 161–175. [Google Scholar]
- Payling, S.R.; Coleman, R.P.; Brown, C.L. Methods and Apparatus for Water Injection in a Turbine Engine. US Patent 6470667 B1, 29 October 2002. [Google Scholar]











| Equation | Coefficient | R | R2 | |||||
|---|---|---|---|---|---|---|---|---|
| y0 | x0 | a | b | c | d | |||
| Plane: | 1.0101 | – | 0.1745 | −3.8608 | – | – | 0.9255 | 0.8566 |
| Paraboloid: | 0.7985 | – | 0.3159 | 9.7491 | −0.1479 | −209.01 | 0.9832 | 0.9667 |
| Gaussian: | 0.0237 | 1.0174 | 1.0859 | 1.7044 | 0.0465 | – | 0.9820 | 0.9533 |
| Lorentzian: | 0.0240 | 0.9934 | 1.0880 | 2.2880 | 0.0611 | – | 0.9820 | 0.9641 |
| Equation | Coefficient | R | R2 | |||||
|---|---|---|---|---|---|---|---|---|
| y0 | x0 | a | b | c | d | |||
| Plane: | 1.0808 | – | 0.0048 | −1.1982 | – | – | 0.9299 | 0.8647 |
| Paraboloid: | 1.0664 | – | 0.0961 | −1.3433 | −0.0869 | 0.6821 | 0.9307 | 0.8663 |
| Gaussian: | −3.0078 | 0.5553 | 6.7176 | 2.1882 | 1.5781 | – | 0.9312 | 0.8672 |
| Lorentzian: | −0.6391 | 0.5568 | 1.8002 | 3.0152 | 0.7955 | – | 0.9313 | 0.8673 |
Disclaimer/Publisher’s Note: The statements, opinions and data contained in all publications are solely those of the individual author(s) and contributor(s) and not of MDPI and/or the editor(s). MDPI and/or the editor(s) disclaim responsibility for any injury to people or property resulting from any ideas, methods, instructions or products referred to in the content. |
© 2022 by the authors. Licensee MDPI, Basel, Switzerland. This article is an open access article distributed under the terms and conditions of the Creative Commons Attribution (CC BY) license (https://creativecommons.org/licenses/by/4.0/).
Share and Cite
Yu, Z.; Løvås, T.; Konovalov, D.; Trushliakov, E.; Radchenko, M.; Kobalava, H.; Radchenko, R.; Radchenko, A. Investigation of Thermopressor with Incomplete Evaporation for Gas Turbine Intercooling Systems. Energies 2023, 16, 20. https://doi.org/10.3390/en16010020
Yu Z, Løvås T, Konovalov D, Trushliakov E, Radchenko M, Kobalava H, Radchenko R, Radchenko A. Investigation of Thermopressor with Incomplete Evaporation for Gas Turbine Intercooling Systems. Energies. 2023; 16(1):20. https://doi.org/10.3390/en16010020
Chicago/Turabian StyleYu, Zidong, Terese Løvås, Dmytro Konovalov, Eugeniy Trushliakov, Mykola Radchenko, Halina Kobalava, Roman Radchenko, and Andrii Radchenko. 2023. "Investigation of Thermopressor with Incomplete Evaporation for Gas Turbine Intercooling Systems" Energies 16, no. 1: 20. https://doi.org/10.3390/en16010020
APA StyleYu, Z., Løvås, T., Konovalov, D., Trushliakov, E., Radchenko, M., Kobalava, H., Radchenko, R., & Radchenko, A. (2023). Investigation of Thermopressor with Incomplete Evaporation for Gas Turbine Intercooling Systems. Energies, 16(1), 20. https://doi.org/10.3390/en16010020

