Next Article in Journal
Study of Methane Fermentation of Cattle Manure in the Mesophilic Regime with the Addition of Crude Glycerine
Next Article in Special Issue
Reservoir Interpretation of Intrusive Rock Buried-Hill with Mud-Logging Data while Drilling—Taking the Y Area in the Qiongdongnan Basin of the South China Sea as an Example
Previous Article in Journal
Power Interference Suppression Method for Measuring Partial Discharges under Pulse Square Voltage Conditions
Previous Article in Special Issue
Identification of High-Quality Transverse Transport Layer Based on Adobe Photoshop Quantification (PSQ) of Reservoir Bitumen: A Case Study of the Lower Cambrian in Bachu-Keping Area, Tarim Basin, China
 
 
Font Type:
Arial Georgia Verdana
Font Size:
Aa Aa Aa
Line Spacing:
Column Width:
Background:
Article

The Relationship between Chlorite and Reservoir Quality in the Huagang Formation, Xihu Depression, China

1
Research Institute of Shanghai Branch CNOOC Ltd., Shanghai 200335, China
2
School of Geosciences, China University of Petroleum, Qingdao 266580, China
*
Authors to whom correspondence should be addressed.
Energies 2022, 15(9), 3438; https://doi.org/10.3390/en15093438
Submission received: 6 April 2022 / Revised: 6 May 2022 / Accepted: 6 May 2022 / Published: 8 May 2022
(This article belongs to the Special Issue Shale Oil and Gas Accumulation Mechanism)

Abstract

:
Low permeability tight gas resources account for 90% of the Xihu Sag. Under the background of extensive development of low permeability and tight reservoirs, the key to economic and effective development is to find sweet reservoir formation. To clarify the origin and distribution of a sweet reservoir in the study area, it is important to study the formation and evolution mechanisms of chlorite. In this study, based on the analysis of thin section, X-ray diffraction and SEM, through the analysis of the key factors in the formation of authigenic chlorite of the Huagang Formation in the middle and north of the central inversion structural belt, we reasoned the formation and evolution process of chlorite in the whole life cycle. According to the sedimentary diagenetic response characteristics of chlorite, two types of favorable sedimentary facies belts of chlorite are identified. The results showed that the development of pore-lined chlorite is a natural advantage of reservoirs in the East China Sea. Chlorite is formed under the joint action of three factors: the source of iron and magnesium ions, the alkaline environment in the early diagenetic stage and the open fluid field. After the formation of pore-lined chlorite, the sweet spots developed under the protection of four mechanisms: inhibiting quartz cementation, enhancing compression resistance, protecting macropore throat and primary pores, and promoting secondary intergranular dissolved pores. When the content of chlorite in the pore lining is high (relative content > 35%), the lining thickness is moderate (4–10 μm). A high degree of wrapping and good crystallization are conducive to the formation and preservation of sweet spots.

1. Introduction

In recent years, abundant oil and gas have been discovered in the thick-bedded sandstone reservoirs with low porosity and permeability in the north-central part of the central inversion structural zone, Xihu Sag, China. However, how to develop oil and gas economically and effectively in low porosity and permeability reservoirs is important for the origin and prediction of sweet spots. With the positive contributions to sweet spot predictions made by many scholars dedicated to the development of the East China Sea by means of sedimentary diagenesis and seismic and logging research, the pace of exploration has gradually come to a microscopic or even micron-level reservoir field. It is found that the sweet spots in the central and northern part of the central inversion structural belt have many microscopic characteristics different from those of non-sweet spots, among which the high content of authigenic chlorite and its good positive correlation with the sweet spots are important characteristics. Based on this phenomenon, a special study of authigenic chlorite minerals in the central and northern part of the central inversion tectonic belt in the East China Sea Basin was carried out for the first time, hoping to “get the cause from the effect”, thus helping to open a breakthrough in the origin of sweet spots in the low permeability background of the East China Sea.
Since the 1950s, the influence of authigenic chlorite minerals on reservoirs has received extensive attention. It has been found by reservoir analysis and experiments that the authigenic chlorite minerals in the reservoir play a positive role by protecting primary pores, inhibiting quartz enlargement, and providing intercrystalline micropores [1,2,3,4]. Chlorite is formed by the flocculation and precipitation of salinity changes in the early sedimentary stage [5,6,7,8,9,10], and chlorite is maintained by the material sources provided by debris alteration, mudstone pressure water release, clay mineral transformation or direct precipitation in the early diagenetic alkaline environment [11,12,13,14]. In addition, the development of chlorite is closely related to the sedimentary environment, and it mainly grows and develops in the transitional facies of underwater distributary channels and mouth bars with strong hydrodynamic force in the delta front [15,16,17,18,19,20,21]. This study is guided by geological origin, through the analysis of several key factors affecting chlorite, combined with the characteristics of chlorite-favorable lithofacies, to clarify the conditions for the formation of chlorite and to reveal the diagenetic evolution process of chlorite in its whole life cycle.

2. Geological Setting

The Xihu Sag is located in the northeast of the East China Sea Shelf Basin, with a total area of about 52,000 km2. It is a large-scale tertiary oil-bearing sag in the East China Sea Shelf Basin. From west to east, it can be divided into three first-order tectonic units: the western slope zone, the central inversion tectonic zone, and the eastern fault terrace zone. Two gas fields, X gas field, and Y gas field, were discovered in the middle and north of the central inversion structural belt. This study takes the X gas field as an example. In the study area, the Oligocene Huagang Formation is the main oil- and gas-bearing formation, and the distributary channel sand body of the braided river delta front is developed with a large thickness (80–160 m). Four sets of sandstone reservoirs are developed, namely H3, H4, H5 and H6. Among them, the main layers H3 and H4 are large sandstone reservoirs, with a buried depth of 3330–4000 m and a thickness of nearly 200 m. They are developed continuously and distributed widely in the horizontal direction, with strong heterogeneity in the horizontal and vertical directions. Five exploratory wells have been drilled, including X-3, X-1, XG, X-4 and X-2 from north to south (Figure 1).

3. Microscopic Characteristics of Sweet Spots

The analysis of core petrophysical properties shows that the main layers H3 and H4 of the Huagang Formation in the X gas field are good reservoirs with medium-low porosity and medium-low permeability developed under the background of overall low-ultra low porosity and ultra-low permeability, and the vertical and horizontal heterogeneity of the reservoirs is strong. The petrophysical properties of the H3 layer are better than those of the H4 layer. As chlorite mainly affects reservoir petrophysical properties, the “sweet spots” referred to in this study are classified based on petrophysical properties, and the core samples with air permeability greater than 1 mD are called sweet spots [22].
Through sorting and analyzing the 5661 samples of test data of the core reservoir of the main formation of four wells in the X gas field, the sweet spots in this area have the following important characteristics (Figure 2):
The rocks at the sweet spots are “pure sandstone”, with high quartz content and low interstitial materials. The rock types of the H3 and H4 reservoirs are mainly lithic arkose and feldspathic litharenite. The lithic fragments are mainly intermediate-acid igneous rocks and metamorphic rocks, and the interstitial materials are mainly argillaceous (mostly less than 5%) and carbonate (mostly less than 3%) cementation. Among them, the sweet spots have less mud (2.9%) and carbonate cement (1.2%) and core observation and microscopic observation of rock purity.
The grain size of sandstone at the sweet point of the petrophysical property is mainly above medium sandstone. Grain size analysis of the core powder shows that there is a good positive correlation between reservoir petrophysical properties and grain size. Taking fine-medium sandstone as the boundary, the grain size of non-sweet spots samples is finer than that of fine-medium sandstone; on the contrary, the grain size of the sweet spots samples is coarser.
The pore throat is thicker at the sweet spots. The big pore and middle throat are developed in the sweet spots of layer H3, while the sweet spots of layer H4 are relatively poor, with micro-small pores and a fine throat as the main part. The median pore throat radius and the average throat radius at the sweet spots are both greater than 0.3 μm.
The content of chlorite is high in the sweet spots. The X-ray diffraction results of clay minerals in the main layer (Table 1) show that chlorite has a good positive correlation with petrophysical properties, while illite has a negative correlation (Figure 3a). The content of chlorite and other clay minerals in the sweet spots have obvious differentiation: chlorite is the most developed (56%), illite (18%) and illite-montmorillonite mixed layer (21%) are relatively low, and kaolinite (6%) is the least. In the non-sweet spots, there is almost no such differentiation: chlorite (37%), illite (28%) and illite-montmorillonite mixed layer (29%) are equivalent, and kaolinite (6%) is still the least. Vertically, the sweet spots are the most developed in the H3 layer, and the clay mineral composition is most similar to that of the sweet spots, while the clay mineral composition of layers H4, H5 and H6 is similar to that of the non-sweet spots. The differentiation of clay mineral composition suggests that there may be different clay mineral transformation relationships between the H3 and H4 layers (and below). In addition, chlorite has a good negative correlation with the content of the illite and illite-montmorillonite mixed layer (Figure 3b,c), indicating that chlorite may have a clay mineral transformation source, which will be further described later.
The chlorite in the study area has complete crystal shape, clear edges and high purity of composition. Authigenic chlorite is identified according to its microscopic and occurrence characteristics.
The above analysis shows that the authigenic chlorite in this area is closely related to the sweet spots and plays a positive role in improving the petrophysical properties of reservoirs.

4. Formation and Evolution Mechanism of Chlorite

Authigenic chlorite is the product of the diagenetic stage, which is often produced in the form of cement. The crystal shape is generally complete, and the edge is clearly discernible. According to the observation of the crystal arrangement and contact relationship with detrital particles under the scanning electron microscope, it is identified that chlorite mainly develops in three occurrence states of particle coating, pore lining (Figure 4a) and pore filling (Figure 4b) in this area, of which the early particle coating chlorite is difficult to identify under the microscope. Layer H3 is dominated by pore lining, and both pore lining and pore filling coexist in layer H4. It is chlorite in the pore lining that plays a major role in improving the petrophysical properties, which is the focus of this study. The study shows that there are three key factors in the formation of chlorite: the source of iron and magnesium ions, the alkaline environment of early diagenesis, and the open fluid field.
Through the analysis of the key factors in the growth process of chlorite, the formation and evolution mechanism of authigenic chlorite in this area is summarized as follows (Table 2 and Figure 5):
(1) The chlorite particle coating was formed when the river flowed into the lake during the sedimentary period. In the stage of fluvial transport, the hydrolysis of Fe-Mg-rich debris or dark unstable minerals (mica, hornblende, et al.) from the parent rocks of intermediate-basic volcanic rocks provided the initial source of iron and magnesium ions. After the river enters the lake, the rapid change of mineral particle concentration leads to a change of salinity, and the iron and magnesium ions flocculate with the electrolyte of the lake water due to the rebalance of positive and negative charges and are adsorbed and wrapped on the surface of smaller microparticles, forming an early iron–magnesium-rich clay shell. In the early stage of burial, with the increase in temperature, the deposits are gradually compacted and dehydrated, and some clay shells may be dissolved and recrystallized into intermediate mineral-berthierine (or corrensite), forming the early chlorite particle coating.
(2) The chlorite pore lining is formed by the injection of compacted released water in mudstone and the transformation of clay minerals in the early diagenetic period. In the early diagenetic stage A, following the hydration of dark mineral debris, light-colored minerals such as feldspar and carbonate debris were hydrated, which made the PH value of the fluid change from neutral or moderately alkaline to alkaline. With the diagenesis occurring and the temperature rising, the early clay membrane rich in iron and magnesium is deformed, dissolved and even recrystallized; however, the injection of compacted released water from the thick mudstone in the surrounding rock and the transformation of clay minerals in the reservoir release abundant iron and magnesium ions, which grow vertically from the surface of the particles to the pores with the early chlorite clay membrane as the substrate, forming a chlorite pore lining. The organic acids begin to intrude in the late stage of the early diagenetic stage B, and the growth power of the lining chlorite gradually weakens, and finally stops when the organic acids are injected on a large scale in the middle diagenetic stage A (but the formed lining does not disappear) (local dissolution may occur).
(3) The chlorite filling was formed by the precipitation of pore fluid in the middle diagenetic stage B. From the end of the middle diagenetic stage A to the early stage B, the organic matter in the source rocks was highly evolved, a large number of condensate oil and wet gas were generated, organic acids were destroyed, decarboxylation was weakened, the sources of CO2 were reduced, and various diagenetic alteration reactions consumed organic acids, resulting in the evolution of pore fluids from acidic to alkaline, and the diagenetic environment became weakly alkaline. At this stage, the dissolution and recrystallization of the particle coating, the pore lining, and the intermediate form of berthierine will occur, resulting in the production of iron and magnesium ions. Conversely, the transformation of montmorillonite to illite in the mudstone of the upper and lower surrounding rocks may also produce iron and magnesium ions, which are injected into the reservoir pores with the compacted released water of mudstone during compaction, such that the pore fluid is rich in magnesium–iron ions, which are directly precipitated on the surface of minerals such as lining, quartz and feldspar (or on the surface of quartz, feldspar, etc.), and continue to grow on the basis of the pore lining until the pores are filled. In addition, the pore fluid rich in iron and magnesium can also precipitate directly to form the filled chlorite. This process mainly occurred in the middle diagenetic stage B, when the temperature was high, the reaction time was sufficient, and the filling chlorite grew and developed completely; thus, it was mostly produced in the form of rosette, lobular or pompon.
Based on the above analysis, it is considered that the formation and evolution of chlorite in this area is controlled by salinity, material source, acidity and alkalinity, diagenetic environment and other factors, in which the H3 layer dominated by lining chlorite is formed by the injection of compacted released water in mudstone or the transformation of clay minerals in the alkaline open environment of the early diagenetic period and the H4 layer, which is dominated by infilled chlorite and is formed mainly by clay mineral transformation or direct precipitation of pore fluids in the late middle diagenetic stage. Under the comprehensive effect of sedimentation and diagenesis, chlorite promotes the development of the H3 layer sweet spots and accelerates the further compaction of the H4 layer.

5. Coupling Relationship between Chlorite and Development of Sweet Spots

5.1. Main Controlling Factors of Chlorite on the Development of Sweet Spots

(1) Type of chlorite: particle coating chlorite has little influence, pore lining chlorite is constructive, and pore filling chlorite is destructive.
The thickness of particle coating chlorite is small, mostly less than 1 micron, and its content is low, and thus its impact on reservoir properties is small. Pore lining chlorite plays an important role in the preservation of reservoir petrophysical properties by inhibiting quartz cementation, enhancing compression resistance (protecting primary pores and secondary intergranular dissolved pores, protecting large pore throats), providing intercrystalline pores, and indicating a favorable diagenetic environment and other mechanisms. The pore-filling chlorite is developed in pores and pore throats, which is composed of multiple crystals, non-directional, large crystals, high automorphism, rosette and pompon shape, blocking pore throats and occupying pore space, and playing a destructive role in reservoir petrophysical properties. It can be seen from the petrophysical property statistics of the reservoirs developed with the pore lining chlorite and the pore filling chlorite that the permeability of the reservoirs developed with chlorite in the pore lining is generally greater than 1 mD and the porosity is generally greater than 10%, while the permeability of the reservoirs with chlorite in the pore filling is mostly less than 1 mD and the porosity is mostly less than 10%, which also proves that the pore lining chlorite plays a constructive role, while the pore filling chlorite plays a destructive role (Figure 6).
(2) The content of chlorite: it is too small to effectively occupy the crystalline basement, and the buffer capacity of chlorite to the pH value of pore fluid is weak, which cannot effectively inhibit the enlargement of quartz. The location of high chlorite content is consistent with the sweet spots (Figure 7). However, if the content is too much, the primary pore will be significantly reduced and the pore throat will be blocked, which is not conducive to the development of secondary porosity in the later period.
(3) Thickness and packing degree of chlorite: 0~4 μm, packing degree is poor, permeability is generally about 1 mD; 4~10 μm, packing degree is high, crystallization is good, permeability is generally more than 1 mD; > 10 μm, the packing turns to plugging, and permeability is generally less than 0.5 mD. The thickness of chlorite in the visible pore lining is between 4 and 10 μm, and the degree of inclusion is high, which is most conducive to the development of sweet spots (Figure 8).
(4) Rock properties: the lower the matrix content and the coarser the grain size, the better the porosity and permeability, which is more conducive to the growth of the pore lining chlorite and the development of secondary porosity in the later period, and which inhibits the generation of secondary quartz. It is better if there is a proper amount of intermediate-basic volcanic rock debris as the material source of chlorite.

5.2. Protection Mechanism of the Pore Lining Chlorite to Sweet Spots

(1) Inhibit quartz cementation: the pore lining chlorite was formed in the early stage of diagenesis, which inhibits quartz cementation by occupying physical space and maintaining a chemical environment, that is, occupying a large amount of quartz crystal basement and maintaining alkaline conditions of pore fluid and particle surface to jointly inhibit the development of quartz overgrowth.
Authigenic quartz has a strong property of outward extension and growth and can be authigenic-enlarged only when there is relatively sufficient space, while the pore lining chlorite makes it difficult for authigenic quartz to nucleate and grow by occupying a large number of quartz crystal basements, thus inhibiting the development of quartz enlargement. Early studies suggested that authigenic chlorite spatially isolates the crystalline basement (grain surface) of authigenic quartz from pore fluids, thus inhibiting authigenic overgrowth of quartz [5,6]. However, it is difficult for chlorite to completely separate pore fluid from the particle surface in space, because there are intercrystalline pores between chlorite crystals in the pore lining, and pore fluid can pass through freely, which is fully illustrated by the fact that feldspar or debris particles covered with chlorite on the surface can be dissolved in large quantities (Figure 9).
The inhibition of quartz cementation by chlorite in the pore lining can be divided into inhibition of quartz augmentation (including grain surface microcrystals) and inhibition of authigenic hedral quartz stromatolite. Although chlorite, illite, montmorillonite, etc., have clay mineral content, between the layers of chlorite is octahedron hydroxide, which has a certain ability to adjust the pH value of the pore fluid. When chlorite content is high in the pore lining of the reservoir, the local environment is slightly alkaline, and the whole pore fluid is basically in an alkaline water medium environment. In addition, the surface of quartz particles covered with chlorite is more alkaline, and the solubility of quartz is higher, which is not beneficial to the development of autogenic quartz. The chlorite pore lining is often formed in a relatively high-permeability, open reservoir., Even if the silica is continuously supplied by pressure dissolution of quartz, alteration of feldspar, and transformation of clay, it can also be carried out in time by pore fluids, and the siliceous material brought out is basically equal to the siliceous material produced, which cannot be enriched in the pores where authigenic chlorite has been developed, making it difficult for SiO2 to reach a supersaturated state; therefore, the contemporaneous authigenic quartz is not developed. If chlorite is developed in a place of poor porosity and permeability, the pore fluid is not active, and it cannot bring out the silica in time, leading to the enrichment of silica in the pore fluid and eventually to the formation of autogenic quartz crystal or even the development of quartz. Along with the increase in buried depth, the strengthening of diagenesis and pore permeability of the sand body are worse, especially in the rock up period to late diagenetic stage B, where pore fluid migration decreased significantly and less and less silicon could be carried away per unit of time; however, the silica provided by quartz pressure dissolution and clay transformation increased. When the silica produced is larger than that taken away by the pore fluid, the silica begins to enrich in the pore fluid, and eventually reaches supersaturation and crystallization, resulting in the formation of autogenic quartz crystals (Figure 10). Thus it can be seen that the pore-lining chlorite changes the properties of the unoccupied crystalline basement by occupying the crystalline basement and by maintaining the alkaline microenvironment, so as to inhibit the growth of quartz enlargement and even affect the growth of autogenic quartz in the late diagenetic period. The growth of quartz crystals is inhibited by the combination with high porosity and permeability and the open diagenetic environment.
(2) Enhance stress resistance: The contact relationship between the particles has been established when the chlorite in the early pore lining began to precipitate. The increasing stiffness of the chlorite continued to grow, counterbalancing the increasing overburden during burial diagenesis (chlorite will continue to grow after precipitation; thus, chlorite growing at different times can have different element composition; see the section on electron probe experiments), which makes the primary intergranular pores and secondary pores of sandstone able to be preserved. Otherwise, the increased overburden in load may cause the structure of the chlorite surrounding the pores similar to the casting holes to collapse (Figure 11).
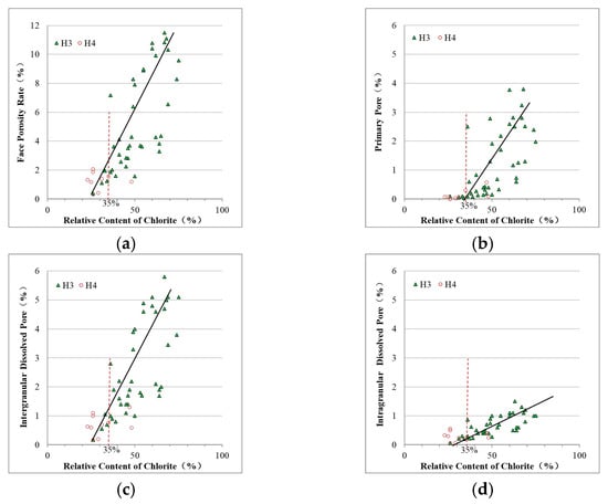
(3) Protect the primary pore, promote the development of secondary intergranular dissolved pores: The development of the pore-lining chlorite can effectively protect the primary pores. Statistics show that the chlorite content is in proportion to the primary pore (Figure 12b); at the same time, the reservoir with the pore-lining chlorite maintains an open fluid field, which is conducive to the invasion of organic acids and ion removal after dissolution, and promotes the development of secondary intergranular dissolution pores. The main reason for the difference in petrophysical properties of H3 and H4 is as follows: when chlorite > 35%, face porosity rate > 2%. Some primary pores were retained, and intergranular pores were developed (Figure 12).
(4) Protect the large orifice throat: the development of the pore-lining chlorite, which makes large larynxes larger than 1 micron, can be preserved (Figure 13). The pore-lining chlorite preserved the primary pore well, and part of the middle-rough throat was preserved (the throat is mainly 2.5–1.6 micron), the 4 micron throat is the biggest contributor to permeability. Chlorite is not developed and the rough throat is not preserved (the throat is usually less than 1 micron), and the dissolution pores are filled with illite. The permeability is mainly from the contribution of the 1.6 micron throat; thus, the permeability is small.

6. Chlorite Favorable Sedimentary Facies Bel

According to previous studies [18,19,20], the place where the pore-lining rim chlorite developed is also the most developed delta region. Particle-coated and the pore-lining chlorite is mainly found in distributary estuary sandbars with strong hydrodynamic force and in the center of underwater distributary channels. The rock types are mainly feldspar lithic sandstone, which is dominant, and lithic feldspar sandstone, which is second. From the point of the sequence evolution process, in the water enters system tract, the influence of atmospheric precipitation and river water is limited, of which it only produces a small amount of chlorite. The highstand system tract (especially the mother rock area of basic volcanic rock or deep metamorphic rock) has a significant effect of atmospheric fresh water in the forced regression stage, where kaolinite and chlorite are ringed. In summary, chlorite development in the environment generally conforms to two characteristics: ① a transitional phase zone with salinity changes (such as delta, etc.); ② a strong hydrodynamic force promotes uniform adhesion of a clay film, ensures a smooth flow of fluid in the later period, and provides good growth space for the chlorite lining.
The X gas field in the Huagang Formation is dominated by braided channel deposition in the braided river delta front, where the diara was developed. At first, from the point of view of the sedimentary location, there was no significant transition phase zone; therefore, the possibility of large salinity changes is small, but local salinity differences caused by climate change or sedimentary heterogeneity cannot be ruled out. Then, fluvial deposits with strong hydrodynamic force provided a good environment for chlorite lining formation. Therefore, there is a sedimentary environment for chlorite formation in this area. According to the particle size of the main layer, X-ray diffraction, microscopic identification, mercury injection analysis and other data in the X gas field, it was found that chlorite developed in some specific sedimentary lithofacies belts, in which there are two favorable chlolitic lithofacies belts:
(1) Type I chloritic lithofacies belt: Coarse grain diara (conglomeratic). The grain size of the chlolitic lithofacies belt is mainly above medium sandstone, it has characteristics of pure rock (less mud and less cement), coarse pore throat and coarse particle size, the chlorite lining is developed (relative content is about 50%), and the mineral morphology is complete. It has moderate thickness uniformity and good inclusion, which is most obvious in response to the sweet spots, with less illite content. For example, the sample of well X-2 at 3627 m is a pebbly coarse-medium sandstone, dominated by a large pore throat, with clay content of 2%, cement content of 0.5%, chlorite content of 79%, and illite content of 5% (Figure 14). According to the drill stem testing results, this type of lithofacies has a good production capacity. The open flow potential calculated by the pseudo-pressure binomial is 2.16 million m3/day (using the test procedure of three openings and two closings, during the test of 15.88 mm nozzle, the gas production is 585,800 m3/day, the water production is 16.8 m3/day, no oil, the production pressure difference is 14.6 MPa, and pressure drop is 38.9%). This kind of lithofacies belt is most developed in the H3 layer, the lower part of the H4 layer, and is most developed in the south central region of the gas field in the plane.
(2) Type II chloritic lithofacies belt: Fine-grained diara and channel bottom retention deposits. This kind of chloritic lithofacies belt is mainly fine powder, fine-medium grain, and has the characteristics of relatively pure rock, relatively large amount of argillaceous content, a micro-pore, and a fine throat. Chlorite lining content is average (relative content about 35%), the mineral morphology is relatively complete, the thickness is thin and the coverage rate is low, the response to the sweet spots is better, and illite content is average. For example, well X-1 at 3825.5 m contains fine-sand sandstone, is mainly pore throat, clay content is 6.7%, cement content is 2.8%, chlorite content is 35%, and illite content is 41% (Figure 15). According to the drill stem testing results, this type of lithofacies has a good production capacity, and the open flow potential calculated by the pseudo-pressure binomial is 208,000 m3/day (using the test procedure of two openings and two closings, during the test of 11.1 mm nozzle, the gas production is 122,300 m3/day, the water production is 3.99 m3/day, no oil, the production pressure difference is 25 MPa, and pressure drop is 73.3%). H3 and H4 strata are developed longitudinally in this type of lithofacies belt, mainly H4 strata, which are mainly distributed in the north central region of the gas field in the plane.
To sum up, Type I chloritic lithofacies felt is mainly distributed in the coarse-grained beach microfacies of the H3 formation in the south central region of the gas field. The type II chloritic lithofacies belt is mainly distributed in fine-grained beach or channel-retained sedimentary microfacies of the H4 formation in the north central region of the gas field. Because the type I chloritic lithofacies belt has the most significant response to chlorite content and sweet spots, it is suggested to focus on the exploration of the type I chloritic lithofacies belt to predict the distribution of sweet spots in this area. According to the distribution characteristics of regional sedimentary microfacies, coarse-grained beach is mainly developed in the south of the X gas field and the north of the Y gas field, revealing favorable exploration and a development direction.

7. Conclusions

(1) The conditions for the formation of chlorite were clarified: the source of iron–magnesium ions, the alkaline environment in the early diagenesis period, and the open fluid field. The diagenetic evolution process of chlorite in its whole life cycle was revealed: The lining chlorite was formed from mudstone pressurized water infusion or clay mineral transformation in an alkaline and open environment in the early diagenesis period, and it stopped growing when organic acids invaded on a large scale. The filling chlorite was formed by the conversion of clay minerals or direct precipitation of pore fluids in the late mid-diagenesis. The mid-diagenetic period A to B (140 °C) is the key point for the change of chlorite from protecting pores to blocking pores in this area.
(2) The pore-lining chlorite has developed into a natural advantage for the East China Sea reservoir, through four such mechanisms that inhibit quartz cementation, enhance compressive resistance, protect large pore throat, protect primary pores to promote secondary intergranular dissolution pores, and sweet spot coupling development. Thus, the sweet spots in the thick heterogeneous reservoir formed. The relationship between chlorite and reservoir quality was not only found in the study area, but also in other areas such as Ordos [17,23], which helped to open a breakthrough in the origin of sweet spots in the low-permeability reservoir.
(3) Chlorite in the study area developed in a fluvial sedimentary environment with strong hydrodynamic force. There are two types of chlorite favorable sedimentary facies zones closely related to sweet spots: Type I is mainly (including gravel) coarse-grained diara, which has tectonic development in the southern region, becoming worse toward the northern region. Type II is mainly fine-grained diara, which is more developed in the northern region. It indicates favorable exploration and development direction.
(4) Studies based on seismic methods can also be used to investigate and delimit the sweet spots, such as studies based on seismic wave attenuation known by their high sensitivity to porosity and permeability [24,25].

Author Contributions

Conceptualization and methodology, X.Z.; investigation, J.L.; data curation, W.W.; writing—original draft preparation, B.L.; writing—review and editing, D.D. All authors have read and agreed to the published version of the manuscript.

Funding

This research was funded by the major science and technology project of CNOOC Ltd. (research and practice on key technology of comprehensive adjustment in middle and late producing oil and gas fields in the Xihu Depression), grant number CNOOC-KJ135ZDXM39SH03.

Conflicts of Interest

The authors declare no conflict of interest.

References

  1. Worden, R.H.; Griffiths, J.; Wooldridge, L.J.; Utley, J.; Lawan, A.; Muhammed, D.; Simon, N.; Armitage, P. Chlorite in sandstones. Earth-Sci. Rev. 2020, 204, 103105. [Google Scholar] [CrossRef]
  2. Lyu, C.; Wang, X.; Lu, X.; Zhou, Q.; Zhang, Y.; Sun, Z.; Xiao, L.; Liu, X. Evaluation of Hydrocarbon Generation Using Struc-tural and Thermal Modeling in the Thrust Belt of Kuqa Foreland Basin, NW China. Geofluids 2020, 2020, 8894030. [Google Scholar] [CrossRef]
  3. Virolle, M.; Brigaud, B.; Luby, S.; Portier, E.; Féniès, H.; Bourillot, R.; Patrier, P.; Beaufort, D. Influence of sedimentation and detrital clay grain coats on chloritized sandstone reservoir qualities: Insights from comparisons between ancient tidal heterolithic sandstones and a modern estuarine system. Mar. Pet. Geol. 2019, 107, 163–184. [Google Scholar] [CrossRef]
  4. Charlaftis, D.; Jones, S.J.; Dobson, K.J.; Crouch, J.; Acikalin, S. Experimental study of chlorite authigenesis and influence on porosity maintenance in sandstones. J. Sediment. Res. 2021, 91, 197–212. [Google Scholar] [CrossRef]
  5. Ehrenberg, S.N. Preservation of anomalously high porosity in deeply buried sandstones by grain-coating chlorite: Examples from the Norwegian continental shelf. AAPG Bull. 1993, 77, 1260–1286. [Google Scholar]
  6. Wang, X.; Hou, J.; Li, S.; Dou, L.; Song, S.; Kang, Q.; Wang, D. Insight into the nanoscale pore structure of organic-rich shales in the Bakken Formation, USA. J. Pet. Sci. Eng. 2019, 176, 312–320. [Google Scholar] [CrossRef]
  7. Aagaard, P.; Jahren, J.S.; Harstad, A.O.; Nilsen, O.; Ramm, M. Formation of grain-coating chlorite in sandstones, laboratory synthesized vs. natural occurrences. Clay Miner. 2000, 35, 261–269. [Google Scholar] [CrossRef]
  8. Saïag, J.; Brigaud, B.; Portier, É.; Desaubliaux, G.; Bucherie, A.; Miska, S.; Pagel, M. Sedimentological control on the diagenesis and reservoir quality of tidal sandstones of the Upper Cape Hay Formation (Permian, Bonaparte Basin, Australia). Mar. Pet. Geol. 2016, 77, 597–624. [Google Scholar] [CrossRef]
  9. Wooldridge, L.J.; Worden, R.H.; Griffiths, J.; Utley, J.E.P. Clay-coat diversity in marginal marine sediments. Sedimentology 2019, 66, 1118–1138. [Google Scholar] [CrossRef]
  10. Leila, M. Clay minerals distribution in the pre-, syn-Messinian salinity crisis sediments of the onshore Nile Delta, Egypt: Mineral origin and implications on the reservoir quality. J. Afr. Earth Sci. 2019, 154, 35–48. [Google Scholar] [CrossRef]
  11. Wang, X.; Liu, Y.; Hou, J.; Li, S.; Kang, Q.; Sun, S.; Ji, L.; Sun, J.; Ma, R. The relationship between Sy sedimentary fault activity and reservoir quality—A case study of the Ek1 formation in the Wang Guantun area, China. Interpretation 2020, 8, SM15–SM24. [Google Scholar] [CrossRef]
  12. Wang, X.; Yu, S.; Li, S.; Zhang, N. Two parameter optimization methods of multi-point geostatistics. J. Pet. Sci. Eng. 2022, 208, 109724. [Google Scholar] [CrossRef]
  13. Wang, X.; Zhou, X.; Li, S.; Zhang, N.; Ji, L.; Lu, H. Mechanism Study of Hydrocarbon Differential Distribution Controlled by the Activity of Growing Faults in Faulted Basins: Case Study of Paleogene in the Wang Guantun Area, Bohai Bay Basin, China. Lithosphere 2022, 2021 (Special 4), 7115985. [Google Scholar] [CrossRef]
  14. Mozherovsky, A.V. Authigenic minerals of paleozoic–cenozoic volcanogenic-sedimentary rocks in the southern Primorye region. Russ. J. Pac. Geol. 2022, 15, 583–601. [Google Scholar] [CrossRef]
  15. Ma, P.; Lin, C.; Zhang, S.; Dong, C.M.; Xu, Y.F. Formation of chlorite rims and the impact of pore-lining chlorite on reservoir quality: A case study from Shiqianfeng sandstones in upper Permian of Dongpu Depression, Bohai Bay Basin, eastern China. Aust. J. Earth Sci. 2017, 64, 825–839. [Google Scholar] [CrossRef]
  16. Tian, J.; Yu, J.; Zhang, Q. The porelining chlorite formation mechanism and its contribution to reservoir quality. J. Jilin Univ. (Earth Sci. Ed.) 2014, 44, 741–748. [Google Scholar]
  17. Zhu, S.; Wang, X.; Qin, Y.; Jia, Y.; Zhu, X.; Zhang, J.; Hu, Y. Occurrence and origin of pore-lining chlorite and its effectiveness on preserving porosity in sandstone of the middle Yanchang Formation in the southwest Ordos Basin. Appl. Clay Sci. 2017, 148, 25–38. [Google Scholar] [CrossRef]
  18. Baker, J.C.; Havord, P.J.; Martin, K.R.; Ghori, K.A.R. Diagenesis and petrophysics of the Early Permian Moogooloo sandstone, southern Carnarvon basin, Western Australia. AAPG Bull. 2000, 84, 250–265. [Google Scholar]
  19. Wang, X.; Zhang, F.; Li, S.; Dou, L.; Liu, Y.; Ren, X.; Chen, D.; Zhao, W. The Architectural Surfaces Characteristics of Sandy Braided River Reservoirs, Case Study in Gudong Oil Field, China. Geofluids 2021, 2021, 8821711. [Google Scholar] [CrossRef]
  20. Hansen, H.N.; Løvstad, K.; Lageat, G.; Clerc, S.; Jahren, J. Chlorite coating patterns and reservoir quality in deep marine depositional systems—Example from the Cretaceous Agat Formation, Northern North Sea, Norway. Basin Res. 2021, 33, 2725–2744. [Google Scholar] [CrossRef]
  21. Sun, X.L.; Lin, C.Y.; Zhang, X.G.; Lin, J.L.; Zhao, Z.X.; Huang, D.W.; Duan, D.P. Characteristics and distribution of clay minerals and their effects on reservoir quality: Huagang Formation in the Xihu Sag, East China Sea Basin. Aust. J. Earth Sci. 2019, 66, 1163–1174. [Google Scholar] [CrossRef]
  22. DZ/T0217-2005; Regulation of Petroleum Reserves Estimation. Geological and Mineral Industry Standards of the People’s Republic of China: Beijing, China, 2005; pp. 1–12.
  23. Li, K.; Xi, K.; Cao, Y.; Niu, X.; Wu, S.; Feng, S.; You, Y. Chlorite authigenesis and its impact on reservoir quality in tight sandstone reservoirs of the Triassic Yanchang formation, southwestern Ordos basin, China. J. Pet. Sci. Eng. 2021, 205, 108843. [Google Scholar] [CrossRef]
  24. Bouchaala, F.; Ali, M.Y.; Matsushima, J.; Bouzidi, Y.; Takam Takougang, E.M.; Aala Mohamed, A.I.; Akmal Sultan, A. Scattering and intrinsic attenuation as a potential tool for studying of a fractured reservoir. J. Pet. Sci. Eng. 2019, 174, 533–543. [Google Scholar] [CrossRef]
  25. Bouchaala, F.; Ali, M.Y.; Matsushima, J.; Bouzidi, Y.; Takam Takougang, E.M.; Mohamed, A.A.I.; Sultan, A. Azimuthal investigation of compressional seismic-wave attenuation in a fractured reservoir. Geophysics 2019, 84, B437–B446. [Google Scholar] [CrossRef]
Figure 1. Location map of the north-central part of the central inversion structural belt in the Xihu Depression.
Figure 1. Location map of the north-central part of the central inversion structural belt in the Xihu Depression.
Energies 15 03438 g001
Figure 2. Histogram of petrophysical property distribution in the study area.
Figure 2. Histogram of petrophysical property distribution in the study area.
Energies 15 03438 g002
Figure 3. Correlation between main clay minerals of the X gas field and their relationship with petrophysical properties. (a) Correlation between relative content of clay minerals and permeability; (b) Correlation between relative content of I-M mixed layer and Chlorite; (c) Correlation between relative content of Illite and Chlorite.
Figure 3. Correlation between main clay minerals of the X gas field and their relationship with petrophysical properties. (a) Correlation between relative content of clay minerals and permeability; (b) Correlation between relative content of I-M mixed layer and Chlorite; (c) Correlation between relative content of Illite and Chlorite.
Energies 15 03438 g003
Figure 4. Occurrence of authigenic chlorite. (a) Pore lining chlorite, perpendicular to the particle surface, enveloping the particle, in H3 of well Y-2. (b) Pore filling chlorite, polymerizing and growing in the pores, no directionality in H3 of well X-2.
Figure 4. Occurrence of authigenic chlorite. (a) Pore lining chlorite, perpendicular to the particle surface, enveloping the particle, in H3 of well Y-2. (b) Pore filling chlorite, polymerizing and growing in the pores, no directionality in H3 of well X-2.
Energies 15 03438 g004
Figure 5. Schematic diagram of formation and evolution mechanism of chlorite mineral in the middle and north of the central inversion tectonic belt.
Figure 5. Schematic diagram of formation and evolution mechanism of chlorite mineral in the middle and north of the central inversion tectonic belt.
Energies 15 03438 g005
Figure 6. Types of chlorite and their effects on the reservoir.
Figure 6. Types of chlorite and their effects on the reservoir.
Energies 15 03438 g006
Figure 7. Correlation between chlorite content and petrophysical properties in the H3 coring section of Well X-2.
Figure 7. Correlation between chlorite content and petrophysical properties in the H3 coring section of Well X-2.
Energies 15 03438 g007
Figure 8. Control of chlorite thickness and inclusion degree on petrophysical properties.
Figure 8. Control of chlorite thickness and inclusion degree on petrophysical properties.
Energies 15 03438 g008
Figure 9. Pore fluid dissolution of feldspar through chlorite lining.
Figure 9. Pore fluid dissolution of feldspar through chlorite lining.
Energies 15 03438 g009
Figure 10. The silicon supersaturated in the pores formed autogenous and idiomorphic quartz (backscatter scanning electron microscopy).
Figure 10. The silicon supersaturated in the pores formed autogenous and idiomorphic quartz (backscatter scanning electron microscopy).
Energies 15 03438 g010
Figure 11. The pore-lining chlorite with chlorite to protect the mold holes (backscatter scanning electron microscopy).
Figure 11. The pore-lining chlorite with chlorite to protect the mold holes (backscatter scanning electron microscopy).
Energies 15 03438 g011
Figure 12. Diagram of correlation between chlorite content and pore development. (a) Correlation between relative content of chlorite and face porosity rate; (b) Correlation between relative content of chlorite and primary pore; (c) Correlation between relative content of chlorite and intergranular dissolved pore; (d) Correlation between relative content of chlorite and intragranular dissolved pore.
Figure 12. Diagram of correlation between chlorite content and pore development. (a) Correlation between relative content of chlorite and face porosity rate; (b) Correlation between relative content of chlorite and primary pore; (c) Correlation between relative content of chlorite and intergranular dissolved pore; (d) Correlation between relative content of chlorite and intragranular dissolved pore.
Energies 15 03438 g012
Figure 13. Controlling effect of chlorite development on laryngeal radius.
Figure 13. Controlling effect of chlorite development on laryngeal radius.
Energies 15 03438 g013
Figure 14. Section and petrographic photographs of type I chlorite sedimentary facies in H3 of well X-2.
Figure 14. Section and petrographic photographs of type I chlorite sedimentary facies in H3 of well X-2.
Energies 15 03438 g014
Figure 15. Section and petrographic photographs of type II chlorite sedimentary facies in H4 of well X-1.
Figure 15. Section and petrographic photographs of type II chlorite sedimentary facies in H4 of well X-1.
Energies 15 03438 g015
Table 1. Data of average relative content of clay minerals in the X gas field.
Table 1. Data of average relative content of clay minerals in the X gas field.
FormationIllite-Montmorillonite Mixed Layer (%)Illite
(%)
Kaolinite
(%)
Chlorite
(%)
Sample
Number
H1451627123
H253209189
H3231875276
H4273143898
H5302943727
H6273043927
sweet spots211855656
non-sweet spots2928637184
Table 2. Similarities and differences of occurrence and formation mechanism of chlorite.
Table 2. Similarities and differences of occurrence and formation mechanism of chlorite.
Pore Lining ChloritePore Filling Chlorite
Diagenetic environmentalkaline diagenetic environment
Material sourcerich in iron and magnesium ion
Fluid fieldopen fluid fieldclosed fluid field
Diagenetic stageearly diagenesis A-B stagemiddle diagenesis A–B stage
Occurrence stateclastic particle surface in contact with pores, foliate vertical to particle surface, mostly 4~10 micronsin the pores, multiple crystal aggregation, non-directional, large crystal, high euhedral shape, rosette and pompon shape
Publisher’s Note: MDPI stays neutral with regard to jurisdictional claims in published maps and institutional affiliations.

Share and Cite

MDPI and ACS Style

Duan, D.; Zhang, X.; Liu, B.; Lin, J.; Wang, W. The Relationship between Chlorite and Reservoir Quality in the Huagang Formation, Xihu Depression, China. Energies 2022, 15, 3438. https://doi.org/10.3390/en15093438

AMA Style

Duan D, Zhang X, Liu B, Lin J, Wang W. The Relationship between Chlorite and Reservoir Quality in the Huagang Formation, Xihu Depression, China. Energies. 2022; 15(9):3438. https://doi.org/10.3390/en15093438

Chicago/Turabian Style

Duan, Dongping, Xianguo Zhang, Binbin Liu, Jianli Lin, and Wenguang Wang. 2022. "The Relationship between Chlorite and Reservoir Quality in the Huagang Formation, Xihu Depression, China" Energies 15, no. 9: 3438. https://doi.org/10.3390/en15093438

APA Style

Duan, D., Zhang, X., Liu, B., Lin, J., & Wang, W. (2022). The Relationship between Chlorite and Reservoir Quality in the Huagang Formation, Xihu Depression, China. Energies, 15(9), 3438. https://doi.org/10.3390/en15093438

Note that from the first issue of 2016, this journal uses article numbers instead of page numbers. See further details here.

Article Metrics

Back to TopTop