Optimal Planning of Multitype DGs and D-STATCOMs in Power Distribution Network Using an Efficient Parameter Free Metaheuristic Algorithm
Abstract
:1. Introduction
1.1. General
1.2. Related Works
1.3. Motivations
1.4. Contribution
- Three recently surfaced parameter-free metaheuristic algorithms, viz. the student psychology-based optimization, symbiotic organism search optimization, and Harris hawk optimization, are implemented for optimal planning of a power distribution network.
- Optimal allocations of seven different combinations of PV-DGs, gas-turbine-based DGs, and D-STATCOMs are studied.
- Optimal planning combines technical, economic, and environmental indices using suitable weights derived from the analytical hierarchy process.
1.5. Manuscript Organisation
2. Modeling of Devices
2.1. Solar Photo Voltaic DG
2.2. Gas Turbine DG
2.3. D-STATCOM
3. Problem Formulation
3.1. Real Power Loss Minimization Index (RPLMI)
3.2. Bus Voltage Variation Minimization Index (BVVMI)
3.3. System Voltage Stability Maximization Index (SVSMI)
3.4. System Annual Cost Minimization Index (SACMI)
3.5. Multi-Objective Function(MOF)
3.6. Analytical Hierarchy Process (AHP)
4. Parameter-Free Metaheuristic (PFM) Algorithms
4.1. Student Psychology Based Optimization (SPBO)
| Algorithm 1 Pseudocode for SPBO algorithm | ||
| Input: | Class size (N) Maximum number of iterations (Kmax) Number of design variables (D) Upper and lower bound of the design variables | |
| Output: | Best solution (Pbest) | |
| 1. | Randomly initialize the class performance uniformly spread within the upper and lower bound of the design variables. | |
| 2. | Evaluate the objective function. | |
| 3. | Select the best solution Pbest. | |
| 4. | Set the iteration counter: k = 1. | |
| 5. | while k < Kmax. | |
| 6. | for i = 1: D. | |
| 7. | for j = 1: N. | |
| 8. | if student belongs to Group-I. | |
| 9. | Update student performance using Equation (23). | |
| 10. | else if student belongs to Group-II. | |
| 11. | if rand < 0.5. | |
| 12. | Update student performance using Equation (24). | |
| 13. | else. | |
| 14. | Update student performance using Equation (25). | |
| 15. | end if. | |
| 16. | else if student belongs to Group-III. | |
| 17. | Update student performance using Equation (26). | |
| 18. | else. | |
| 19. | Update student performance using Equation (27). | |
| 20. | end if. | |
| 21. | end for. | |
| 22. | Evaluate the objective function using current class. | |
| 23. | if current class is better than previous class. | |
| 24. | Update previous class with current class. | |
| 25. | end if. | |
| 26. | end for. | |
| 27. | end while. | |
4.2. Symbiotic Organisms Search (SOS)
4.2.1. Mutualism Phase
4.2.2. Communalism Phase
4.2.3. Parasitism Phase
| Algorithm 2 Pseudocode for SOS algorithm | ||
| Input: | Ecosystem size (N) Maximum number of iterations (Kmax) Number of design variables (D) Upper and lower bound of the design variables | |
| Output: | Best solution (OGbest) | |
| 1. | Randomly initialize the ecosystem within the upper and lower bound of the design variables. | |
| 2. | Evaluate the objective function. | |
| 3. | Select the best solution OGbes. | |
| 4. | Set the iteration counter: k = 1. | |
| 5. | for k = 1: Kmax. | |
| 6. | for i = 1: N. | |
| 7. | Perform mutualism phase using Equations (30) and (31). | |
| 8. | Update the ecosystem if the current organism is better than previous. | |
| 9. | Perform Communalism phase using Equation (33). | |
| 10. | Update the ecosystem if the current organism is better than previous. | |
| 11. | Perform parasitism phase. | |
| 12. | Update the ecosystem if the current organism is better than previous. | |
| 13. | end for. | |
| 14. | Update OGbest. | |
| 15. | end for. | |
4.3. Harris Hawk Optimization (HHO)
| Algorithm 3 Pseudocode for HHO algorithm | ||
| Input: | Population size (N) Maximum number of iterations (Kmax). Number of design variables (D) Upper and lower bound of the design variables | |
| Output: | Best solution (HHprey) | |
| 1. | Randomly initialize the positions of HH uniformly spread within the upper and lower bound of the design variables. | |
| 2. | Evaluate the objective function. | |
| 3. | Select the best solution HHprey. | |
| 4. | Set the iteration counter: k = 1. | |
| 5. | for k = 1: Kmax. | |
| 6. | for i = 1: N. | |
| 7. | Update E using Equation (36). | |
| 8. | if |E| ≥ 1. | |
| 9. | Update the position of HH using Equation (34). | |
| 10. | else. | |
| 11. | if Pprey ≥ 0.5 and |E| ≥ 0.5. | |
| 12. | Update the position of HH using Equation (37). | |
| 13. | elseif Pprey ≥ 0.5 and |E| < 0.5. | |
| 14. | Update the position of HH using Equation (40). | |
| 15. | elseif Pprey< 0.5 and |E| ≥ 0.5. | |
| 16. | Update the position of HH using Equation (41). | |
| 17. | elseif Pprey< 0.5 and |E| < 0.5. | |
| 18. | Update the position of HH using Equation (44). | |
| 19. | end if | |
| 20. | end if | |
| 21. | end for | |
| 22. | end for. | |
5. Implementation of PFM Algorithms for Simultaneous OA-DG-DS Problem
- Case-1: DN without allocation of any devices;
- Case-2: DN with exclusive D-STATCOMs allocation;
- Case-3: DN with exclusive PV-DGs allocation;
- Case-4: DN with exclusive GT-DGs allocation;
- Case-5: DN with simultaneous D-STATCOMs and PV-DGs allocation;
- Case-6: DN with simultaneous D-STATCOMs and GT-DGs allocation;
- Case-7: DN with simultaneous D-STATCOMs with 2 PV-DGs and 1 GT-DG allocation;
- Case-8: DN with simultaneous D-STATCOMs with 1 PV-DG and 2 GT-DGs allocation.
5.1. Initialization
5.2. Updation
5.3. Implementation Steps
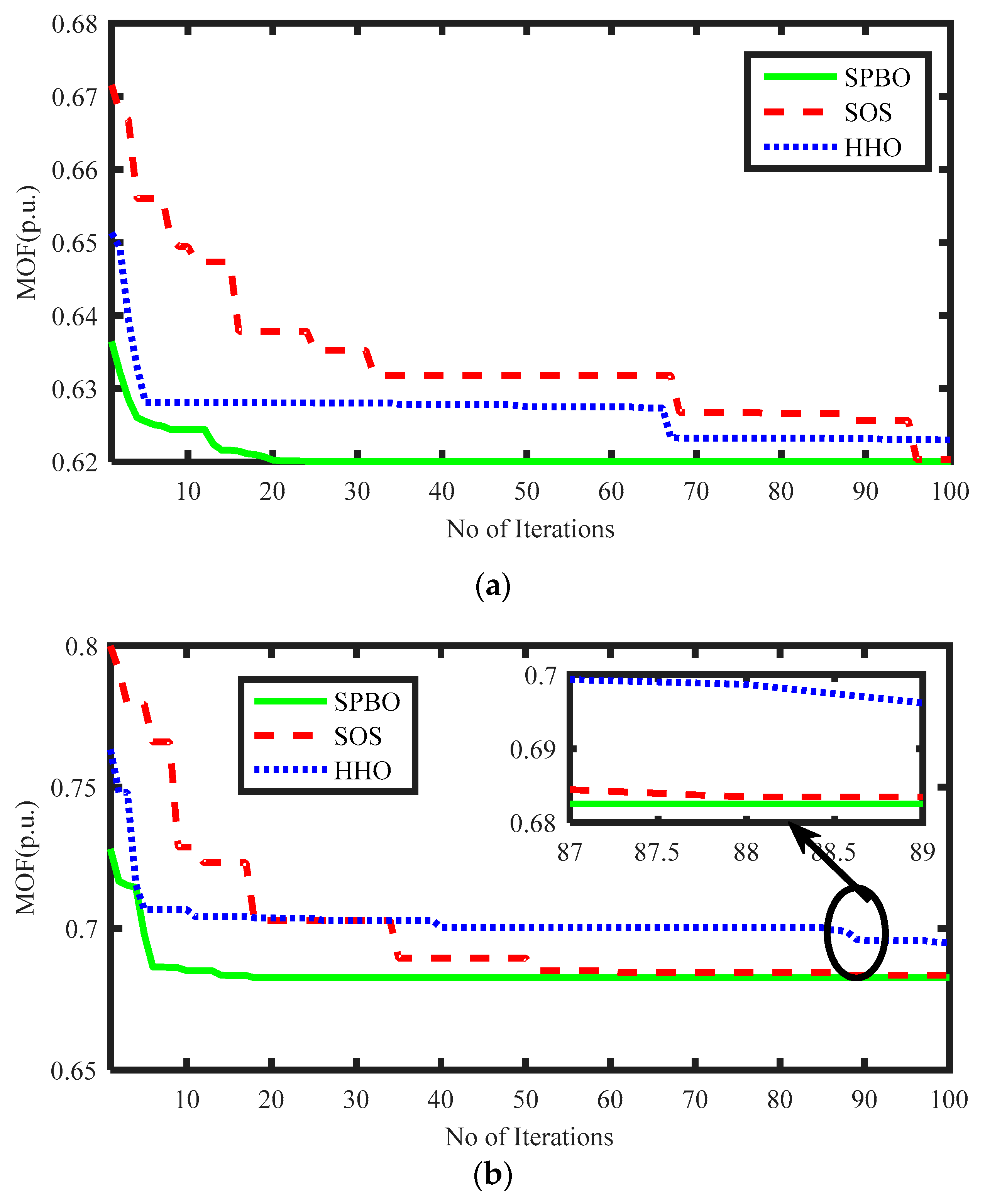
6. Results and Discussions
6.1. Performance Assessment of PFM Algorithms
6.2. Statistical Analysis
7. Conclusions
Author Contributions
Funding
Institutional Review Board Statement
Informed Consent Statement
Data Availability Statement
Conflicts of Interest
References
- Ganguly, S.; Sahoo, N.C.; Das, D. Recent advances on power distribution system planning: A state-of-the-art survey. Energy Syst. 2013, 4, 165–193. [Google Scholar] [CrossRef]
- Shuaibu Hassan, A.; Sun, Y.; Wang, Z. Optimization techniques applied for optimal planning and integration of renewable energy sources based on distributed generation: Recent trends. Cogent Eng. 2020, 7, 1766394. [Google Scholar] [CrossRef]
- Mishra, S.; Das, D.; Paul, S. A comprehensive review on power distribution network reconfiguration. Energy Syst. 2017, 8, 227–284. [Google Scholar] [CrossRef]
- Aman, M.M.; Jasmon, G.B.; Bakar, A.H.; Mokhlis, H.; Karimi, M. Optimum shunt capacitor placement in distribution system—A review and comparative study. Renew. Sustain. Energy Rev. 2014, 30, 429–439. [Google Scholar] [CrossRef]
- Sambaiah, K.S.; Jayabarathi, T. Loss minimization techniques for optimal operation and planning of distribution systems: A review of different methodologies. Int. Trans. Electr. Energy Syst. 2020, 30, e12230. [Google Scholar] [CrossRef] [Green Version]
- Gupta, A.R.; Kumar, A. Deployment of distributed generation with D-FACTS in distribution system: A comprehensive analytical review. IETE J. Res. 2019, 1–8. [Google Scholar] [CrossRef]
- Das, G.; De, M.; Mandal, K.K. Multi-objective optimization of hybrid renewable energy system by using novel autonomic soft computing techniques. Comput. Electr. Eng. 2021, 94, 107350. [Google Scholar] [CrossRef]
- Iweh, C.D.; Gyamfi, S.; Tanyi, E.; Effah-Donyina, E. Distributed Generation and Renewable Energy Integration into the Grid: Prerequisites, Push Factors, Practical Options, Issues and Merits. Energies 2021, 14, 5375. [Google Scholar] [CrossRef]
- Sanam, J.; Ganguly, S.; Panda, A.K. Distribution STATCOM with optimal phase angle injection model for reactive power compensation of radial distribution networks. Int. J. Numer. Model. Electron. Netw. Devices Fields 2017, 30, e2240. [Google Scholar] [CrossRef]
- Montoya, O.D.; Gil-González, W.; Hernández, J.C. Efficient Operative Cost Reduction in Distribution Grids Considering the Optimal Placement and Sizing of D-STATCOMs Using a Discrete-Continuous VSA. Appl. Sci. 2021, 11, 2175. [Google Scholar] [CrossRef]
- Dash, S.K.; Mishra, S.; Abdelaziz, A.Y.; Alghaythi, M.L.; Allehyani, A. Optimal Allocation of Distributed Generators in Active Distribution Networks Using a New Oppositional Hybrid Sine Cosine Muted Differential Evolution Algorithm. Energies 2022, 15, 2267. [Google Scholar] [CrossRef]
- Nguyen, T.P.; Vo, D.N. Improved stochastic fractal search algorithm with chaos for optimal determination of location, size, and quantity of distributed generators in distribution systems. Neural Comput. Appl. 2019, 31, 7707–77032. [Google Scholar] [CrossRef]
- Maheswarapu, S. New hybrid multiverse optimisation approach for optimal accommodation of DGs in power distribution networks. IET Gener. Transm. Distrib. 2019, 13, 2673–2685. [Google Scholar]
- Abo El-Ela, A.A.; Allam, S.M.; Shaheen, A.M.; Nagem, N.A. Optimal allocation of biomass distributed generation in distribution systems using equilibrium algorithm. Int. Trans. Electr. Energy Syst. 2021, 31, e12727. [Google Scholar] [CrossRef]
- Truong, K.H.; Nallagownden, P.; Elamvazuthi, I.; Vo, D.N. A quasi-oppositional-chaotic symbiotic organisms search algorithm for optimal allocation of DG in radial distribution networks. Appl. Soft Comput. 2020, 88, 106067. [Google Scholar] [CrossRef]
- Hemeida, M.G.; Ibrahim, A.A.; Mohamed, A.A.; Alkhalaf, S.; El-Dine, A.M. Optimal allocation of distributed generators DG based Manta Ray Foraging Optimization algorithm (MRFO). Ain Shams Eng. J. 2021, 12, 609–619. [Google Scholar] [CrossRef]
- Hemeida, A.M.; Bakry, O.M.; Mohamed, A.A.; Mahmoud, E.A. Genetic Algorithms and Satin Bowerbird Optimization for optimal allocation of distributed generators in radial system. Appl. Soft Comput. 2021, 111, 107727. [Google Scholar] [CrossRef]
- Shaheen, A.M.; Elsayed, A.M.; El-Sehiemy, R.A.; Abdelaziz, A.Y. Equilibrium optimization algorithm for network reconfiguration and distributed generation allocation in power systems. Appl. Soft Comput. 2021, 98, 106867. [Google Scholar] [CrossRef]
- Yuvaraj, T.; Ravi, K.; Devabalaji, K.R. DSTATCOM allocation in distribution networks considering load variations using bat algorithm. Ain Shams Eng. J. 2017, 8, 391–403. [Google Scholar] [CrossRef] [Green Version]
- Oloulade, A.; Imano, A.M.; Vianou, A.; Tamadaho, H. Optimization of the number, size and placement of D-STATCOM in radial distribution network using Ant Colony Algorithm. Am. J. Eng. Res. Rev. 2018, 1, 12. [Google Scholar]
- Arya, A.K.; Kumar, A.; Chanana, S. Analysis of distribution system with D-STATCOM by gravitational search algorithm (GSA). J. Inst. Eng. (India): Ser. B. 2019, 100, 207–215. [Google Scholar] [CrossRef]
- Balamurugan, P.; Yuvaraj, T.; Muthukannan, P. Optimal allocation of DSTATCOM in distribution network using whale optimization algorithm. Eng. Technol. Appl. Sci. Res. 2018, 8, 3445–3449. [Google Scholar] [CrossRef]
- Kalia Perumal Rukmani, D.; Thangaraj, Y.; Subramaniam, U.; Ramachandran, S.; Madurai Elavarasan, R.; Das, N.; Baringo, L.; Imran Abdul Rasheed, M. A new approach to optimal location and sizing of DSTATCOM in radial distribution networks using bio-inspired cuckoo search algorithm. Energies 2020, 13, 4615. [Google Scholar] [CrossRef]
- Sanam, J. Optimization of planning cost of radial distribution networks at different loads with the optimal placement of distribution STATCOM using differential evolution algorithm. Soft Comput. 2020, 24, 13269–13284. [Google Scholar] [CrossRef]
- Dash, S.K.; Mishra, S. Simultaneous Optimal Placement and Sizing of D-STATCOMs Using a Modified Sine Cosine Algorithm. In Advances in Intelligent Computing and Communication; Springer: Singapore, 2021; pp. 423–436. [Google Scholar]
- Castiblanco-Pérez, C.M.; Toro-Rodríguez, D.E.; Montoya, O.D.; Giral-Ramírez, D.A. Optimal Placement and sizing of D-STATCOM in radial and meshed distribution networks using a discrete-continuous version of the genetic algorithm. Electronics 2021, 10, 1452. [Google Scholar] [CrossRef]
- Khan, B.; Redae, K.; Gidey, E.; Mahela, O.P.; Taha, I.B.; Hussien, M.G. Optimal integration of DSTATCOM using improved bacterial search algorithm for distribution network optimization. Alex. Eng. J. 2022, 61, 5539–5555. [Google Scholar] [CrossRef]
- Thangaraj, Y.; Kuppan, R. Multi-objective simultaneous placement of DG and DSTATCOM using novel lightning search algorithm. J. Appl. Res. Technol. 2017, 15, 477–491. [Google Scholar] [CrossRef]
- Yuvaraj, T.; Ravi, K. Multi-objective simultaneous DG and DSTATCOM allocation in radial distribution networks using cuckoo searching algorithm. Alex. Eng. J. 2018, 57, 2729–2742. [Google Scholar] [CrossRef]
- Ganesh, S.; Kanimozhi, R. Meta-heuristic technique for network reconfiguration in distribution system with photovoltaic and D-STATCOM. IET Gener. Transm. Distrib. 2018, 12, 4524–4535. [Google Scholar] [CrossRef]
- Yuvaraj, T.; Devabalaji, K.R.; Thanikanti, S.B. Simultaneous allocation of DG and DSTATCOM using whale optimization algorithm. Iranian J. Sci. Technol. Trans. Electr. Eng. 2020, 44, 879–896. [Google Scholar] [CrossRef]
- Zellagui, M.; Lasmari, A.; Settoul, S.; El-Sehiemy, R.A.; El-Bayeh, C.Z.; Chenni, R. Simultaneous allocation of photovoltaic DG and DSTATCOM for techno-economic and environmental benefits in electrical distribution systems at different loading conditions using novel hybrid optimization algorithms. Int. Trans. Electr. Energy Syst. 2021, 31, e12992. [Google Scholar] [CrossRef]
- Chinnaraj, S.G.R.; Kuppan, R. Optimal sizing and placement of multiple renewable distribution generation and DSTATCOM in radial distribution systems using hybrid lightning search algorithm-simplex method optimization algorithm. Comput. Intell. 2021, 37, 1673–1690. [Google Scholar] [CrossRef]
- Oda, E.S.; Abd El Hamed, A.M.; Ali, A.; Elbaset, A.A.; Abd El Sattar, M.; Ebeed, M. Stochastic optimal planning of distribution system considering integrated photovoltaic-based DG and DSTATCOM under uncertainties of loads and solar irradiance. IEEE Access 2021, 9, 26541–26555. [Google Scholar] [CrossRef]
- Eid, A.; Kamel, S.; Zawbaa, H.M.; Dardeer, M. Improvement of active distribution systems with high penetration capacities of shunt reactive compensators and distributed generators using Bald Eagle Search. Ain Shams Eng. J. 2022, 13, 101792. [Google Scholar] [CrossRef]
- Ghatak, S.R.; Sannigrahi, S.; Acharjee, P. Optimised planning of distribution network with photovoltaic system, battery storage, and DSTATCOM. IET Renew. Power Gener. 2018, 12, 1823–1832. [Google Scholar] [CrossRef]
- Tolabi, H.B.; Ali, M.H.; Rizwan, M. Simultaneous reconfiguration, optimal placement of DSTATCOM, and photovoltaic array in a distribution system based on fuzzy-ACO approach. IEEE Trans. Sustain. Energy 2015, 6, 210–218. [Google Scholar]
- Das, B.; Mukherjee, V.; Das, D. Student psychology-based optimization algorithm: A new population based optimization algorithm for solving optimization problems. Adv. Eng. Softw. 2020, 146, 102804. [Google Scholar] [CrossRef]
- Kennedy, J.; Eberhart, R. Particle swarm optimization. In Proceedings of the ICNN’95—International Conference on Neural Networks, Perth, WA, Australia, 27 November–1 December 1995; Volume 4, pp. 1942–1948. [Google Scholar]
- Rao, R.V.; Savsani, V.J.; Vakharia, D.P. Teaching–learning-based optimization: A novel method for constrained mechanical design optimization problems. Comput.-Aided Design 2011, 43, 303–315. [Google Scholar] [CrossRef]
- Yang, X.S.; Deb, S. Engineering optimisation by cuckoo search. Int. J. Math. Model. Numer. Optimisation 2010, 1, 330–343. [Google Scholar] [CrossRef]
- Cheng, M.Y.; Prayogo, D. Symbiotic organisms search: A new metaheuristic optimization algorithm. Comput. Struct. 2014, 139, 98–112. [Google Scholar] [CrossRef]
- Tanabe, R.; Fukunaga, A. Success-history based parameter adaptation for differential evolution. In Proceedings of the 2013 IEEE Congress on Evolutionary Computation, Cancun, Mexico, 20–23 June 2013; pp. 71–78. [Google Scholar]
- Mirjalili, S.; Mirjalili, S.M.; Lewis, A. Grey wolf optimizer. Adv. Eng. Softw. 2014, 69, 46–61. [Google Scholar] [CrossRef] [Green Version]
- Dash, S.K.; Mishra, S. Optimal Allocation of Photo-Voltaic Units in Radial Distribution Networks Using a New Student Psychology Based Optimization Algorithm. Int. J. Electr. Eng. Inf. 2021, 13, 318–335. [Google Scholar] [CrossRef]
- Balu, K.; Mukherjee, V. Optimal siting and sizing of distributed generation in radial distribution system using a novel student psychology-based optimization algorithm. Neural Comput. Appl. 2021, 33, 15639–15667. [Google Scholar] [CrossRef]
- Gharehchopogh, F.S.; Shayanfar, H.; Gholizadeh, H. A comprehensive survey on symbiotic organisms search algorithms. Artif. Intell. Rev. 2020, 53, 2265–2312. [Google Scholar] [CrossRef]
- Heidari, A.A.; Mirjalili, S.; Faris, H.; Aljarah, I.; Mafarja, M.; Chen, H. Harris hawks optimization: Algorithm and applications. Future Gener. Comput. Syst. 2019, 97, 849–872. [Google Scholar] [CrossRef]
- Wolpert, D.H.; Macready, W.G. No free lunch theorems for optimization. IEEE Trans. Evol. Comput. 1997, 1, 67–82. [Google Scholar] [CrossRef] [Green Version]
- Mishra, S. A simple algorithm for unbalanced radial distribution system load flow. In Proceedings of the TENCON 2008-2008 IEEE Region 10 Conference, Hyderabad, India, 19–21 November 2019; pp. 1–6. [Google Scholar]














| Ref. | Year | Planning Approach | Methods | Objective Function | Number of ASPs | Selection of Weights in the MOF | Review Remarks |
|---|---|---|---|---|---|---|---|
| [7] | 2021 | OADG | Different PSO variants | Cost and Emission | Refer [7] | w1 = 0, w2 =1 w1 = 1, w2 =0 w1 = 1, w2 =1 | Technical factors are not considered. For MOF, both objectives are given equal priority. Results revealed that hierarchical PSO has performed better. |
| [12] | 2018 | OADG | iSFSA | RPL | Maximum diffusion number = 5 | - | OADG is solved considering single objective only The results are compared with SFS and PSO. The control parameters of PSO are determined experimentally. |
| [13] | 2019 | OADG | HMO | Energy Loss, OVD, OVSM, ENS | Wormhole existence probability = 0.2–1.0 Control parameter (m) = 0.5 Maximum chaotic iterations = 20 | AHP w1 = 0.3940 w2 = 0.2593 w3 = 0.1970 w4 = 0.1497 | AHP is adopted to decide the optimal values of weights in the MOF. DGs operating at UPF and non-unity power factor (N-UPF) are considered. Too many control parameters to be tuned. |
| [14] | 2021 | OADG | AEO | Benefits and cost of utility | Generation rate control parameter (Gp) = 0.5, Constant related to exploration ability (a1) = 2 Constant related to exploitation ability (a2) = 1 | - | Results are compared with GWO, RAO, and DE. Biomass DGs are considered. Too many control parameters to deal with. Technical parameters are not included in the objective function (OF). |
| [15] | 2020 | OADG | QOCSOS | RPL, VD, 1/VSI | Jumping rate (Jr) = 0.4 | w1 = 1 w2 = 0.6 w3 = 0.35 | Weights in the OF are subjectively assigned. DGs operating at UPF and N-UPF are considered. Missing economic analysis. |
| [16] | 2021 | OADG | MRFO | RPL | Somersault factor (SF) | -- | The performance of the MRFO is highly sensitive to the number of search agent, maximum iteration and SF. Only single objective is considered. |
| [17] | 2021 | OADG | Hybrid GA- SBO algorithm (H-GASBO) | RPL, VD, Emission, Cost | Greatest step size(α) = 0.94 Mutation probability(p) = 0.05 Percent of the difference between the upper and lower limit (Z) = 0.02 | NR | Too many control parameters to be tuned. MOF considers, technical, economic and emission factors. |
| [18] | 2020 | OADG and NR | IEO | TPL, 1/TVSI | a1 = 2 a2 = 1 Generation probability (GP) = 0.5 | w1 = 0.7 w2 = 0.3 | Weights in the OF are subjectively assigned. Too many control parameters to be tuned. Economic factor is missing in the MOF. |
| [19] | 2017 | OADS | BA | RPL | Loudness = 0.5 Pulse rate = 0.5 | - | Considers minimization of the RPL only. |
| [20] | 2018 | OADS | ACO | RPL, VD, Cost | α = 1 β =2 | w1 = 0.5 w2 = 0.3 w3 = 0.2 | Weights used to combine multiple objectives are randomly selected. The values of control parameters are not tunned. |
| [21] | 2019 | OADS | GSA | RPL, VD, AEL costs | NR | w1 = 1 w2 = 1 w3 = 1 | Allocation of single D-STATCOM unit is considered. All objectives are given equal importance. |
| [23] | 2020 | OADS | CSO | RPL | 2 (Discovery rate of alien egg, Pa = 0.25, Dimension Search Space = 1or 3) | - | LSF is used to identify the D-STATCOM insertion buses. Empirical analysis is conducted to determine the optimal parameter setting. Only single objective is considered. |
| [24] | 2020 | OADS | DE | Total energy loss cost and total cost of D-STATCOM) | Crossover rate (Cr) = 0.8 Scaling factor (F) = 1 | Penalty factors are set at 0.1 for both the objectives. | Penalty factor is used to handle the constrained optimization problem. Single D-STATCOM is allocated. |
| [25] | 2021 | OADS | mSCA | RPL | a = 2 | - | Considers minimization of the RPL only. |
| [26] | 2021 | OADS | DC-GA | Annual cost function of energy losses and annualized investment cost | NR | NR | Placement and sizing of the D-STATCOM are obtained by the discrete and continuous part of the codification respectively. Technical factors are not considered in the OF |
| [27] | 2021 | OADS | iBFA | PL, VD, 1/VSIk | Run-length unit Step size | w1 = 0.5 w2 = 0.25 w3 = 0.25 | Allocation of single D-STATCOM unit is considered. Weights in the MOF are subjectively assigned. Economic factor is not considered in the MOF. |
| [28] | 2017 | OADGDS | LSA | RPL, TVD, VSI | Maximum channel time | w1 = 0.4 w2 = 0.3 w3 = 0.3 | Optimal allocation of DG and D-STATCOM are carried out by varying feeder loads linearly in the range 0.5 to 1.6. Weights in the MOF are subjectively assigned. Economic factor is not considered in the MOF |
| [29] | 2018 | OADGDS | CSA | RPL and Cumulative voltage deviation (CVD) | Discovery rate of alien egg = 0.25 Dimension search space = 1or 3 | w1 = 0.7 w2 = 0.3 | VSI and LSF are used to pre locate DG and D-STATCOM injection buses respectively. CSA is used to determine the size of the devices. Weights in the MOF are subjectively assigned. Economic factor is not considered in the MOF. |
| [31] | 2019 | OADGDS | WOA | RPL, Operating cost of DGs and D-STATCOMs | Linearly decreasing weight (a) = 2 Coefficient describing spiral shape (b) | w1 = 0.6 w2 = 0.4 | Location is obtained through LSF and size by WOA. Weights in the MOF are subjectively assigned. |
| [32] | 2021 | OADGDS | Hybrid FA with sine cosine acceleration coefficients PSO | RPL level, short circuit level, VD level, Net Saving level, environmental pollution reduction level | Cmin = 0.5 Cmax = 2.5; α = 1/3; c1i = 2.5 c1f = 0.5, c2i =0.5 c2f = 2.5; ci =0.5 cf = 2.5; ∂ = 2, δ = 0.5 | w1 = 0.3 w2 = 0.2 w3 = 0.2 w4 = 0.2 w5 = 0.1 | The values weights in the MOF are based on practical indicators. |
| [33] | 2021 | OADGDS | Hybrid LS-SM optimization algorithm | PL, VD, TOC | Not Reported | w1 = 0.5 w2 = 0.25 w3 = 0.25 | LSF is used to identify the DG & D-STATCOM insertion buses. Simplex method and elite opposite-based learning is incorporated to improve the performance of LSA. Weights in the MOF are subjectively assigned. |
| [34] | 2021 | OADGDS | MALO | cost reduction, VD minimization, and VSI enhancement | Amax = 0.85 Amin = 0.4 | NR | Levy Flight is used to enhance the exploration of the basic ALO algorithm. Variation in solar irradiance and the load are considered for solving the OADGDS. |
| [35] | 2022 | DGs & SRC | BES | RPL | c1, c2, r, α | - | Only single objective is considered. Too many control parameters. Different SRC viz, SCB, SVC & D-STATCOM are considered |
| Test System | TPL, kW | TQL, kVAr | kW | kVAR | Test System | TPL, kW | TQL, kVAr |
|---|---|---|---|---|---|---|---|
| 33-node | 37,150 | 2300 | 210.9824 | 143.0219 | 0.9038 | 2000 | 2000 |
| 118-node | 22,710 | 17,041 | 12,981 | 978.7196 | 0.8688 | 4000 | 3000 |
| Method | DS Size (MVAR) | DS Bus | Ploss (kW) | Vmin (p.u.) | RPLMI | BVVMI | SVSMI | SACMI | MOF |
|---|---|---|---|---|---|---|---|---|---|
| SPBO | 0.8167 | 7 | 146.5795 | 0.9496 | 0.6947 | 0.3050 | 0.5613 | 0.0014 | 0.6201 |
| 0.9799 | 30 | ||||||||
| 0.5465 | 15 | ||||||||
| SOS | 1.0316 | 30 | 146.2087 | 0.9488 | 0.6930 | 0.3073 | 0.5697 | 0.0014 | 0.6203 |
| 0.5275 | 15 | ||||||||
| 0.7850 | 7 | ||||||||
| HHO | 1.0737 | 30 | 146.9252 | 0.9490 | 0.6964 | 0.3109 | 0.5680 | 0.0013 | 0.6230 |
| 0.6580 | 14 | ||||||||
| 0.4773 | 7 |
| Method | DS Size (MVAR) | DS Bus | Ploss (kW) | Vmin (p.u.) | RPLMI | BVVMI | SVSMI | SACMI | MOF |
|---|---|---|---|---|---|---|---|---|---|
| SPBO | 2.7412 | 110 | 936.3917 | 0.9178 | 0.7214 | 0.4673 | 0.6753 | 0.0019 | 0.6825 |
| 3.0000 | 71 | ||||||||
| 3.0000 | 50 | ||||||||
| SOS | 2.7598 | 110 | 929.6233 | 0.9155 | 0.7162 | 0.4795 | 0.6914 | 0.0018 | 0.6835 |
| 2.9322 | 50 | ||||||||
| 2.8516 | 71 | ||||||||
| HHO | 2.8169 | 110 | 939.5813 | 0.9161 | 0.7238 | 0.5137 | 0.6874 | 0.0016 | 0.6950 |
| 1.9906 | 50 | ||||||||
| 2.8887 | 71 |
| Method | DG Size (MW)) | DG Bus | Ploss (kW) | Vmin (p.u.) | RPLMI | BVVMI | SVSMI | SACMI | MOF |
|---|---|---|---|---|---|---|---|---|---|
| SPBO | 1.3114 | 24 | 78.6331 | 0.9803 | 0.3727 | 0.0433 | 0.2296 | 0.1369 | 0.2735 |
| 1.3384 | 30 | ||||||||
| 0.9363 | 13 | ||||||||
| SOS | 1.3503 | 24 | 78.8536 | 0.9801 | 0.3737 | 0.0425 | 0.2318 | 0.1293 | 0.2737 |
| 0.9454 | 13 | ||||||||
| 1.3238 | 30 | ||||||||
| HHO | 1.3778 | 30 | 78.6346 | 0.9807 | 0.3727 | 0.0451 | 0.2249 | 0.1415 | 0.2737 |
| 1.3129 | 24 | ||||||||
| 0.8758 | 14 |
| Method | DG Size (MW) | DG Bus | Ploss (kW) | Vmin (p.u.) | RPLMI | BVVMI | SVSMI | SACMI | MOF |
|---|---|---|---|---|---|---|---|---|---|
| SPBO | 3.8704 | 49 | 686.0218 | 0.9561 | 0.5285 | 0.2346 | 0.3817 | 0.7130 | 0.4652 |
| 3.4615 | 71 | ||||||||
| 3.0589 | 110 | ||||||||
| SOS | 3.2596 | 110 | 685.0649 | 0.9562 | 0.5278 | 0.2349 | 0.3816 | 0.7293 | 0.4660 |
| 3.6949 | 49 | ||||||||
| 3.4665 | 71 | ||||||||
| HHO | 3.2988 | 71 | 682.2693 | 0.9556 | 0.5256 | 0.2394 | 0.3861 | 0.7377 | 0.4666 |
| 3.6066 | 109 | ||||||||
| 3.6130 | 50 |
| Method | DG Size (MW) | DG Bus | Ploss (kW) | Vmin (p.u.) | RPLMI | BVVMI | SVSMI | SACMI | MOF |
|---|---|---|---|---|---|---|---|---|---|
| SPBO | 1.0915 | 24 | 18.9542 | 0.9941 | 0.0898 | 0.0022 | 0.0939 | 0.1973 | 0.1350 |
| 1.3138 | 30 | ||||||||
| 0.8425 | 13 | ||||||||
| SOS | 0.8376 | 13 | 18.6561 | 0.9937 | 0.0884 | 0.0030 | 0.1039 | 0.2097 | 0.1353 |
| 1.0832 | 24 | ||||||||
| 1.2730 | 30 | ||||||||
| HHO | 0.9702 | 12 | 20.9962 | 0.9941 | 0.0995 | 0.0027 | 0.0708 | 0.1934 | 0.1388 |
| 0.9245 | 24 | ||||||||
| 1.3720 | 30 |
| Method | DG Size (MW) | DG Bus | Ploss (kW) | Vmin (p.u.) | RPLMI | BVVMI | SVSMI | SACMI | MOF |
|---|---|---|---|---|---|---|---|---|---|
| SPBO | 3.5252 | 50 | 384.4106 | 0.9603 | 0.2961 | 0.1543 | 0.3474 | 0.7300 | 0.3634 |
| 3.2370 | 71 | ||||||||
| 3.0190 | 110 | ||||||||
| SOS | 2.9805 | 110 | 384.7075 | 0.9603 | 0.2964 | 0.1576 | 0.3473 | 0.7492 | 0.3642 |
| 3.3001 | 50 | ||||||||
| 3.2846 | 71 | ||||||||
| HHO | 3.4403 | 50 | 395.6196 | 0.9605 | 0.3048 | 0.15 79 | 0.3458 | 0.7356 | 0.3680 |
| 3.4589 | 71 | ||||||||
| 2.5994 | 110 |
| Method | DS Size (MVAR) | DS Bus | DG Size (MW) | DG Bus | Ploss (kW) | Vmin (p.u.) | RPLMI | BVVMI | SVSMI | SACMI | MOF |
|---|---|---|---|---|---|---|---|---|---|---|---|
| SPBO | 0.4219 | 25 | 1.1474 | 24 | 12.3286 | 0.9940 | 0.0584 | 0.0030 | 0.1004 | 0.2655 | 0.0656 |
| 0.4862 | 12 | 0.9677 | 30 | ||||||||
| 1.0000 | 30 | 0.8326 | 13 | ||||||||
| SOS | 0.6266 | 8 | 0.8735 | 32 | 18.8355 | 0.9936 | 0.0893 | 0.0022 | 0.0905 | 0.1726 | 0.0771 |
| 0.9076 | 30 | 0.9020 | 13 | ||||||||
| 0.2796 | 25 | 1.5818 | 23 | ||||||||
| HHO | 0.3089 | 7 | 1.1902 | 24 | 17.5064 | 0.9928 | 0.0830 | 0.0043 | 0.0955 | 0.2195 | 0.0774 |
| 0.2515 | 11 | 1.0323 | 30 | ||||||||
| 0.7544 | 30 | 0.9330 | 13 |
| Method | DS Size (MVAR) | DS Bus | DG Size (MW) | DG Bus | Ploss (kW) | Vmin (p.u.) | RPLMI | BVVMI | SVSMI | SACMI | MOF |
|---|---|---|---|---|---|---|---|---|---|---|---|
| SPBO | 2.7327 | 50 | 4.0000 | 35 | 356.7143 | 0.9609 | 0.2748 | 0.1406 | 0.3427 | 0.6873 | 0.2825 |
| 2.3494 | 110 | 3.1050 | 71 | ||||||||
| 1.9191 | 72 | 2.8318 | 110 | ||||||||
| SOS | 1.6192 | 75 | 2.8933 | 112 | 397.2199 | 0.9602 | 0.3060 | 0.1690 | 0.3482 | 0.7775 | 0.3146 |
| 2.1201 | 109 | 3.3768 | 71 | ||||||||
| 1.9244 | 51 | 2.9911 | 34 | ||||||||
| HHO | 2.5026 | 89 | 3.8947 | 71 | 454.8666 | 0.9611 | 0.3504 | 0.1330 | 0.3407 | 0.7609 | 0.3328 |
| 2.7468 | 35 | 3.2659 | 35 | ||||||||
| 1.8199 | 110 | 3.2673 | 109 |
| Method | DS Size (MVAR) | DS Bus | DG Size (MW) | DG Bus | Ploss (kW) | Vmin (p.u.) | RPLMI | BVVMI | SVSMI | SACMI | MOF |
|---|---|---|---|---|---|---|---|---|---|---|---|
| SPBO | 0.1221 | 21 | 1.0814 | 30 | 11.2484 | 0.9956 | 0.0533 | 0.0012 | 0.0542 | 0.9942 | 0.1050 |
| 0.4485 | 7 | 0.8108 | 13 | ||||||||
| 0.2837 | 32 | 1.0657 | 24 | ||||||||
| SOS | 0.1301 | 31 | 0.7209 | 13 | 13.0950 | 0.9934 | 0.0621 | 0.0033 | 0.0843 | 0.9899 | 0.1139 |
| 0.0905 | 9 | 1.1221 | 30 | ||||||||
| 0.6526 | 6 | 0.8086 | 25 | ||||||||
| HHO | 0.1045 | 30 | 0.9969 | 12 | 13.3973 | 0.9934 | 0.0635 | 0.0031 | 0.0790 | 0.9935 | 0.1143 |
| 0.4822 | 30 | 0.9305 | 30 | ||||||||
| 0.6184 | 3 | 0.9628 | 24 |
| Method | DS Size (MVAR) | DS Bus | DG Size (MW) | DG Bus | Ploss (kW) | Vmin (p.u.) | RPLMI | BVVMI | SVSMI | SACMI | MOF |
|---|---|---|---|---|---|---|---|---|---|---|---|
| SPBO | 1.8630 | 40 | 3.4937 | 50 | 317.4696 | 0.9679 | 0.2446 | 0.0902 | 0.2843 | 1.5769 | 0.3057 |
| 1.9242 | 80 | 2.8152 | 72 | ||||||||
| 1.3316 | 96 | 3.0296 | 110 | ||||||||
| SOS | 1.1757 | 99 | 2.8903 | 110 | 328.5501 | 0.9617 | 0.2531 | 0.1027 | 0.3359 | 1.5626 | 0.3180 |
| 1.6938 | 34 | 2.8180 | 72 | ||||||||
| 1.6039 | 83 | 3.3801 | 50 | ||||||||
| HHO | 2.0581 | 86 | 2.7324 | 110 | 338.2096 | 0.9651 | 0.2605 | 0.1021 | 0.3075 | 1.5996 | 0.3220 |
| 2.4914 | 40 | 3.3486 | 50 | ||||||||
| 0.3537 | 113 | 3.3498 | 71 |
| Method | DS Size (MVAR) | DS Bus | DG Size (MW) | DG Bus | Ploss (kW) | Vmin (p.u.) | RPLMI | BVVMI | SVSMI | SACMI | MOF |
|---|---|---|---|---|---|---|---|---|---|---|---|
| SPBO | 0.3886 | 7 | 1.2583 | 24 | 11.8232 | 0.9941 | 0.0560 | 0.0022 | 0.0705 | 0.4469 | 0.0734 |
| 0.8920 | 30 | 0.9603 | 30 | ||||||||
| 0.3569 | 25 | 0.8065 | 13 | ||||||||
| SOS | 0.2659 | 21 | 1.8492 | 3 | 21.4769 | 0.9923 | 0.1018 | 0.0029 | 0.0916 | 0.2791 | 0.0925 |
| 0.9996 | 30 | 1.1064 | 28 | ||||||||
| 0.6385 | 24 | 0.8378 | 13 | ||||||||
| HHO | 0.1932 | 25 | 0.8445 | 13 | 15.2584 | 0.9939 | 0.0723 | 0.0024 | 0.0728 | 0.5691 | 0.0922 |
| 0.8978 | 6 | 0.8708 | 25 | ||||||||
| 0.3390 | 11 | 1.1104 | 30 |
| Method | DS Size (MVAR) | DS Bus | DG Size (MW) | DG Bus | Ploss (kW) | Vmin (p.u.) | RPLMI | BVVMI | SVSMI | SACMI | MOF |
|---|---|---|---|---|---|---|---|---|---|---|---|
| SPBO | 2.7782 | 50 | 4.0000 | 35 | 333.0302 | 0.9619 | 0.2566 | 0.1130 | 0.3348 | 0.9484 | 0.2827 |
| 2.3608 | 79 | 2.8293 | 110 | ||||||||
| 2.3492 | 110 | 2.8887 | 72 | ||||||||
| SOS | 2.2048 | 83 | 3.4071 | 35 | 372.5530 | 0.9609 | 0.2870 | 0.1323 | 0.3430 | 0.9705 | 0.3079 |
| 2.6761 | 111 | 2.4584 | 111 | ||||||||
| 2.2088 | 51 | 2.6265 | 72 | ||||||||
| HHO | 2.0932 | 55 | 2.8687 | 50 | 400.9431 | 0.9604 | 0.3089 | 0.1650 | 0.3468 | 1.0668 | 0.3353 |
| 2.5559 | 70 | 2.4563 | 74 | ||||||||
| 0.9833 | 50 | 3.1374 | 110 |
| Method | DS Size (MVAR) | DS Bus | DG Size (MW) | DG Bus | Ploss (kW) | Vmin (p.u.) | RPLMI | BVVMI | SVSMI | SACMI | MOF |
|---|---|---|---|---|---|---|---|---|---|---|---|
| SPBO | 0.3544 | 31 | 1.2310 | 24 | 11.4939 | 0.9941 | 0.0545 | 0.0018 | 0.0705 | 0.6917 | 0.0892 |
| 0.3790 | 25 | 1.0075 | 30 | ||||||||
| 0.3690 | 7 | 0.8148 | 13 | ||||||||
| SOS | 0.3586 | 6 | 1.7039 | 23 | 18.6746 | 0.9904 | 0.0885 | 0.0066 | 0.1134 | 0.5821 | 0.1082 |
| 0.5685 | 32 | 0.7775 | 13 | ||||||||
| 0.3902 | 32 | 0.8694 | 30 | ||||||||
| HHO | 0.1192 | 32 | 1.0559 | 24 | 19.6031 | 0.9936 | 0.0929 | 0.0033 | 0.0763 | 0.7405 | 0.1174 |
| 0.0235 | 7 | 1.1075 | 30 | ||||||||
| 0.0759 | 31 | 1.0557 | 12 |
| Method | DS Size (MVAR) | DS Bus | DG Size (MW) | DG Bus | Ploss (kW) | Vmin (p.u.) | RPLMI | BVVMI | SVSMI | SACMI | MOF |
|---|---|---|---|---|---|---|---|---|---|---|---|
| SPBO | 3.0000 | 31 | 2.8295 | 110 | 312.6631 | 0.9624 | 0.2409 | 0.1101 | 0.3303 | 1.3042 | 0.2964 |
| 2.3483 | 110 | 3.1552 | 50 | ||||||||
| 2.3581 | 79 | 2.8889 | 72 | ||||||||
| SOS | 1.8613 | 110 | 2.5055 | 113 | 352.0253 | 0.9623 | 0.2712 | 0.1195 | 0.3313 | 1.2840 | 0.3159 |
| 2.2476 | 79 | 2.6688 | 73 | ||||||||
| 2.2888 | 38 | 3.6909 | 50 | ||||||||
| HHO | 0.3557 | 71 | 2.6719 | 73 | 373.8004 | 0.9576 | 0.2880 | 0.1646 | 0.3702 | 1.3422 | 0.3437 |
| 0.4810 | 44 | 3.1776 | 50 | ||||||||
| 0.9369 | 74 | 3.2664 | 110 |
| Cases | Methods | Minimum MOF | Maximum MOF | Average MOF | SD of MOF |
|---|---|---|---|---|---|
| 2 | SPBO | 0.6825 | 0.6825 | 0.6825 | 0.0000 |
| SOS | 0.6835 | 0.6940 | 0.6895 | 0.0028 | |
| HHO | 0.6950 | 0.8223 | 0.7499 | 0.0321 | |
| 3 | SPBO | 0.4652 | 0.4652 | 0.4652 | 0.0000 |
| SOS | 0.4660 | 0.4771 | 0.4698 | 0.0025 | |
| HHO | 0.4666 | 0.6141 | 0.5330 | 0.0546 | |
| 4 | SPBO | 0.3634 | 0.3634 | 0.3634 | 0.0000 |
| SOS | 0.3642 | 0.3780 | 0.3680 | 0.0031 | |
| HHO | 0.3680 | 0.5707 | 0.4489 | 0.0785 | |
| 5 | SPBO | 0.2825 | 0.2902 | 0.2838 | 0.0014 |
| SOS | 0.3146 | 0.3707 | 0.3420 | 0.0151 | |
| HHO | 0.3328 | 0.5394 | 0.4372 | 0.0525 | |
| 6 | SPBO | 0.3057 | 0.3108 | 0.3070 | 0.0014 |
| SOS | 0.3180 | 0.3464 | 0.3314 | 0.0067 | |
| HHO | 0.3220 | 0.5289 | 0.4303 | 0.0607 | |
| 7 | SPBO | 0.2827 | 0.2846 | 0.2832 | 0.0006 |
| SOS | 0.3079 | 0.3420 | 0.3257 | 0.0089 | |
| SPBO | 0.6825 | 0.6825 | 0.6825 | 0.0000 | |
| 8 | SOS | 0.6835 | 0.6940 | 0.6895 | 0.0028 |
| HHO | 0.6950 | 0.8223 | 0.7499 | 0.0321 | |
| SPBO | 0.4652 | 0.4652 | 0.4652 | 0.0000 |
| Cases | Methods | Minimum MOF | Maximum MOF | Average MOF | SD of MOF |
|---|---|---|---|---|---|
| 2 | SPBO | 0.6201 | 0.6201 | 0.6201 | 0.0000 |
| SOS | 0.6203 | 0.6277 | 0.6238 | 0.0021 | |
| HHO | 0.6230 | 0.6594 | 0.6332 | 0.0081 | |
| 3 | SPBO | 0.2735 | 0.2737 | 0.2735 | 0.0000 |
| SOS | 0.2737 | 0.2818 | 0.2768 | 0.0025 | |
| HHO | 0.2737 | 0.3062 | 0.2836 | 0.0081 | |
| 4 | SPBO | 0.1350 | 0.1350 | 0.1350 | 0.0000 |
| SOS | 0.1353 | 0.1460 | 0.1376 | 0.0025 | |
| HHO | 0.1388 | 0.1803 | 0.1571 | 0.0137 | |
| 5 | SPBO | 0.0656 | 0.0757 | 0.0703 | 0.0025 |
| SOS | 0.0771 | 0.1074 | 0.0946 | 0.0076 | |
| HHO | 0.0774 | 0.2266 | 0.1353 | 0.0385 | |
| 6 | SPBO | 0.1050 | 0.1111 | 0.1069 | 0.0015 |
| SOS | 0.1139 | 0.1440 | 0.1253 | 0.0073 | |
| HHO | 0.1143 | 0.2376 | 0.1583 | 0.0299 | |
| 7 | SPBO | 0.0734 | 0.0861 | 0.0801 | 0.0033 |
| SOS | 0.0925 | 0.1268 | 0.1039 | 0.0079 | |
| SPBO | 0.0922 | 0.2156 | 0.1372 | 0.0339 | |
| 8 | SOS | 0.0892 | 0.0989 | 0.0940 | 0.0020 |
| HHO | 0.1082 | 0.1316 | 0.1150 | 0.0064 | |
| SPBO | 0.1174 | 0.3025 | 0.1888 | 0.0475 |
Publisher’s Note: MDPI stays neutral with regard to jurisdictional claims in published maps and institutional affiliations. |
© 2022 by the authors. Licensee MDPI, Basel, Switzerland. This article is an open access article distributed under the terms and conditions of the Creative Commons Attribution (CC BY) license (https://creativecommons.org/licenses/by/4.0/).
Share and Cite
Dash, S.K.; Mishra, S.; Abdelaziz, A.Y.; Hong, J.; Geem, Z.W. Optimal Planning of Multitype DGs and D-STATCOMs in Power Distribution Network Using an Efficient Parameter Free Metaheuristic Algorithm. Energies 2022, 15, 3433. https://doi.org/10.3390/en15093433
Dash SK, Mishra S, Abdelaziz AY, Hong J, Geem ZW. Optimal Planning of Multitype DGs and D-STATCOMs in Power Distribution Network Using an Efficient Parameter Free Metaheuristic Algorithm. Energies. 2022; 15(9):3433. https://doi.org/10.3390/en15093433
Chicago/Turabian StyleDash, Subrat Kumar, Sivkumar Mishra, Almoataz Youssef Abdelaziz, Junhee Hong, and Zong Woo Geem. 2022. "Optimal Planning of Multitype DGs and D-STATCOMs in Power Distribution Network Using an Efficient Parameter Free Metaheuristic Algorithm" Energies 15, no. 9: 3433. https://doi.org/10.3390/en15093433
APA StyleDash, S. K., Mishra, S., Abdelaziz, A. Y., Hong, J., & Geem, Z. W. (2022). Optimal Planning of Multitype DGs and D-STATCOMs in Power Distribution Network Using an Efficient Parameter Free Metaheuristic Algorithm. Energies, 15(9), 3433. https://doi.org/10.3390/en15093433

