Forecasting Charging Point Occupancy Using Supervised Learning Algorithms
Abstract
:1. Introduction
2. Materials
3. Methods
3.1. Data Preparation
3.2. Supervised Learning Algorithms
3.2.1. Naïve Model
3.2.2. Linear Regression
3.2.3. Logistic Regression
3.2.4. K-Nearest Neighbors
3.2.5. Random Forest
3.2.6. XGBoost
3.3. Evaluation Metrics
3.3.1. Classification Metrics
3.3.2. The Regression Metrics
4. Results
4.1. Results Classification
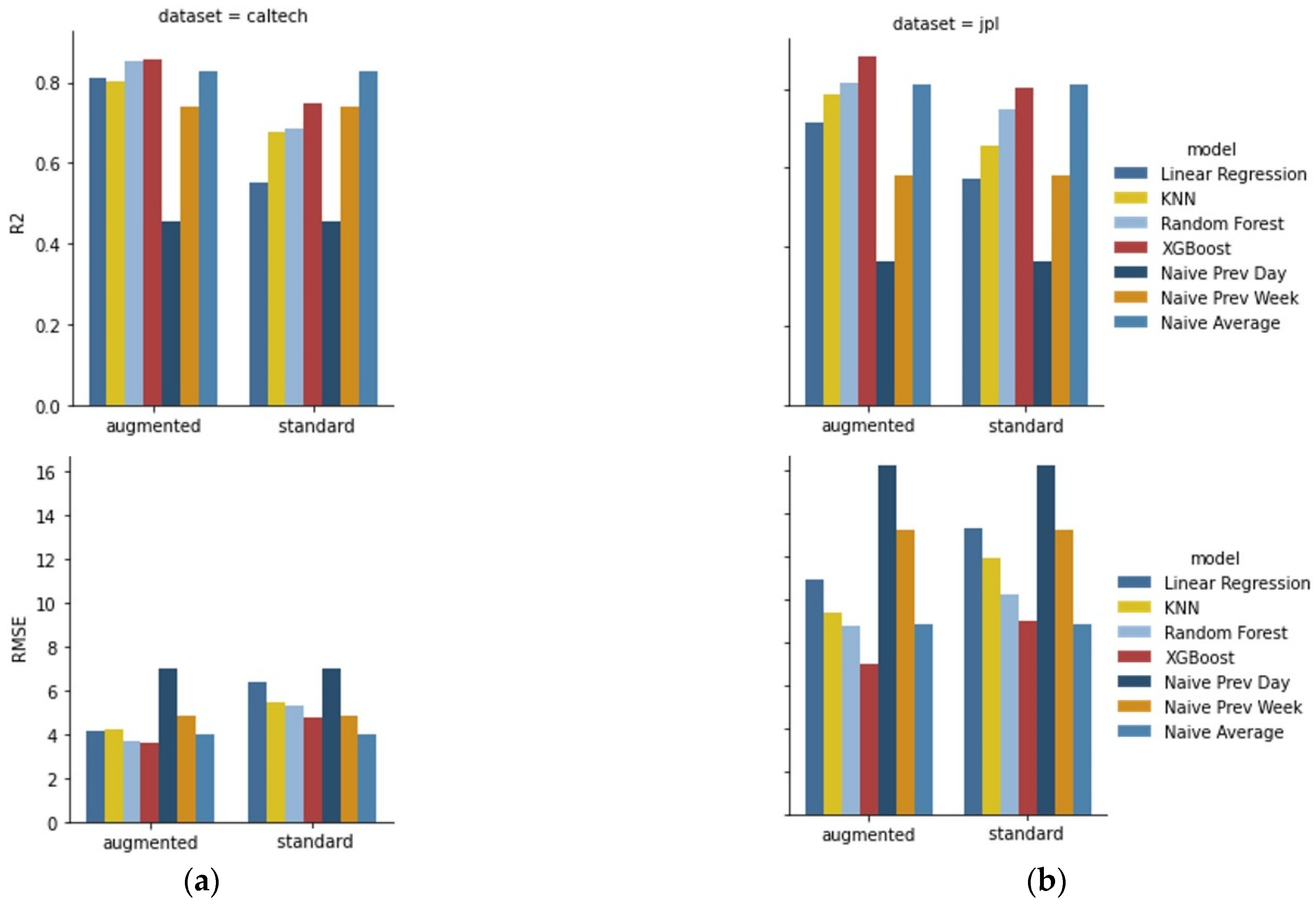
4.2. Results Regression
5. Discussion
6. Conclusions
Author Contributions
Funding
Acknowledgments
Conflicts of Interest
Abbreviations
| ACN | Adaptive Charging |
| AUC | Area under the ROC Curve |
| EU | European Union |
| EV | Electric Vehicle |
| EVSE | Electric Vehicle Supply Equipment |
| FN | False Negative |
| FP | False Positive |
| FPR | False Positive Rate |
| GHG | Green House Gas |
| KNN | k-Nearest Neighbor |
| LinR | Linear Regression |
| LogR | Logistic Regression |
| RF | Random Forest |
| RMSE | Root Mean Square Error |
| ROC | Receiver Operating Characteristic |
| TN | True Negative |
| TP | True Positive |
| TPR | True Positive Rate |
| XGBoost | eXtreme Gradient Boosting |
References
- Paris Agreement. Ausgefertigt am 2015–12, Version vom 2015; United Nations: Paris, France, 2015. [Google Scholar]
- EEA Greenhouse Gases—Data Viewer; European Union: Brussels, Belgium, 2021; Available online: https://www.eea.europa.eu/data-and-maps/data/data-viewers/greenhouse-gases-viewer (accessed on 10 February 2022).
- Mathiesen, B.V.; Lund, H.; Connolly, D.; Wenzel, H.; Østergaard, P.A.; Möller, B.; Nielsen, S.; Ridjan, I.; Karnøe, P.; Sperling, K. Smart Energy Systems for coherent 100% renewable energy and transport solutions. In Applied Energy 145 (2015); Aalborg University: Copenhagen, Denmark, 2015. [Google Scholar] [CrossRef]
- Mathiesen, B.V.; Connolly, D.; Lund, H.; Nielsen, M.P.; Schaltz, E.; Wenzel, H.; Bentsen, N.S.; Felby, C.; Kaspersen, P.; Ridjan, I. CEESA 100% Renewable Energy Transport Scenarios towards 2050—Technical Background Report Part 2; Aalborg University: Copenhagen, Denmark, 2015. [Google Scholar]
- Duscha, V.; Wachsmuth, J.; Eckstein, J.; Pfluger, B. GHG-Neutral EU2050—A Scenario of an EU with Net-Zero Greenhouse Gas Emissions and Its Implications; Umweltbundesamt: Dessau-Roßlau, Germany, 2019. [Google Scholar]
- National Emissions Reported to the UNFCCC and to the EU Greenhouse Gas Monitoring Mechanism; European Environment Agency (EEA): Copenhagen, Denmark, 2020; Available online: https://www.eea.europa.eu/data-and-maps/data/national-emissions-reported-to-the-unfccc-and-to-the-eu-greenhouse-gas-monitoring-mechanism-16 (accessed on 27 February 2022).
- Bieker, G. A Global Comparison of the Life Cycle Greenhouse Gas Emissions of Combustion Engine and Electic Passenger Cars; The International Council on Clean Transportation: Berlin, Germany, 2021. [Google Scholar]
- Infrastructure for Charging Electric Vehicles—More Charging Stations but Uneven Deployment Makes Travel across the EU Complicated; European Court of Auditors: Luxembourg, 2021; Available online: https://www.eca.europa.eu/Lists/ECADocuments/SR21_05/SR_Electrical_charging_infrastructure_EN.pdf (accessed on 10 February 2022).
- Dornoff, J.; Mock, P.; Baldino, C.; Bieker, G.; Díaz, S.; Miller, J.; Sen, A.; Tietge, U.; Wappelhorst, S. Fit for 55: A Review and Evaluation of the European Commission Proposal for Amending the CO2 Targets for New Cars and Vans; The International Council on Clean Transportation: Berlin, Germany, 2021. [Google Scholar]
- Klimaschutzprogramm 2030 der Bundesregierung zur Umsetzung des Klimaschutzplans 2050; Bundesregierung: Berlin, Germany, 2020.
- Directive 2014/94/EU of the European Parliament and of the Council on the Deployment of Alternative Fuels Infrastructure. Ausgefertigt am 2014-10-22, Version vom 2017-11-18; European Parliament and the Council: Brussels, Belgium, 2017.
- Coffman, M.; Bernstein, P.; Wee, S. Electric vehicles revisited: A review of factors that affect adoption. Transp. Rev. 2016, 37, 79–93. [Google Scholar] [CrossRef]
- Liao, F.; Molin, E.; van Wee, B. Consumer preferences for electric vehicles: A literature review. Transp. Rev. 2017, 37, 252–275. [Google Scholar] [CrossRef] [Green Version]
- Rezvani, Z.; Jansson, J.; Bodin, J. Advances in consumer electric vehicle adoption research: A review and research agenda. Transp. Res. Part D Transp. Environ. 2015, 34, 122–136. [Google Scholar] [CrossRef] [Green Version]
- Sierzchula, W.; Bakker, S.; Maat, K.; van Wee, B. The influence of financial incentives and other socio-economic factors on electric vehicle adoption. Energy Policy 2014, 68, 183–194. [Google Scholar] [CrossRef]
- Pevec, D.; Babic, J.; Carvalho, A.; Ghiassi-Farrokhfal, Y.; Ketter, W.; Podobnik, V. A survey-based assessment of how existing and potential electric vehicle owners perceive range anxiety. J. Clean. Prod. 2020, 276, 122779. [Google Scholar] [CrossRef]
- Noel, L.; de Rubens, G.Z.; Sovacool, B.K.; Kester, J. Fear and loathing of electric vehicles: The reactionary rhetoric of range anxiety. Energy Res. Soc. Sci. 2018, 48, 96–107. [Google Scholar] [CrossRef]
- Pevec, D.; Babic, J.; Carvalho, A.; Ghiassi-Farrokhfal, Y.; Ketter, W.; Podobnik, V. Electric Vehicle Range Anxiety: An Obstacle for the Personal Transportation (R)evolution? In Proceedings of the 2019 4th International Conference on Smart and Sustainable Technologies (SpliTech), Split, Croatia, 18–21 June 2019; University of Zagreb: Split, Croatia, 2019. [Google Scholar] [CrossRef]
- Chargehub.com; Mogile Technologies: Pointe-Claire, QC, Canada, 2022; Available online: https://chargehub.com/en/ (accessed on 10 February 2022).
- Openchargemap. Open Source. 2022. Available online: https://openchargemap.org/site (accessed on 10 February 2022).
- Evnavigation; GPS Tuner Systems KFT: Budapest, Hungary, 2022; Available online: https://evnavigation.com/ (accessed on 10 February 2022).
- Go TO-U; GO TO-U Inc.: Los Angeles, CA, USA, 2022; Available online: https://go-tou.com/en/map (accessed on 10 February 2022).
- E-Mobility: Only 1 in 9 Charging Points in EU Is Fast; ACEA: Brussels, Belgium, 2021; Available online: https://www.acea.auto/press-release/e-mobility-only-1-in-9-charging-points-in-eu-is-fast/ (accessed on 10 February 2022).
- Tomasov, M.; Kajanova, M.; Bracinik, P.; Motyka, D. Overview of Battery Models for Sustainable Power and Transport Applications. Transp. Res. Procedia 2019, 40, 548–555. [Google Scholar] [CrossRef]
- Tamilselvi, S.; Gunasundari, S.; Karuppiah, N.; Razak RK, A.; Madhusudan, S.; Nagarajan, V.M.; Sathish, T.; Shamim, M.Z.M.; Saleel, C.A.; Afzal, A. Review on Battery Modelling Techniques. Sustainability 2021, 13, 10042. [Google Scholar] [CrossRef]
- Wang, Y.; Tian, J.; Sun, Z.; Wang, L.; Xu, R.; Li, M.; Chen, Z. A comprehensive review of battery modeling and state estimation approaches for advanced battery management systems. Renew. Sustain. Energy Rev. 2020, 131, 110015. [Google Scholar] [CrossRef]
- Zhang, C.; Li, K.; Mcloone, S.; Yang, Z. Battery modelling methods for electric vehicles—A review. In Proceedings of the 2014 European Control Conference (ECC), Strasbourg, France, 24–27 June 2014. [Google Scholar] [CrossRef]
- Tremblay, O.; Dessaint, L.-A. Experimental Validation of a Battery Dynamic Model for EV Applications. World Electr. Veh. J. 2009, 3, 289–298. [Google Scholar] [CrossRef] [Green Version]
- Zhang, Y.; Lyden, S.; de la Barra, B.L.; Haque, M.E. Optimization of Tremblay’s battery model parameters for plug-in hybrid electric vehicle applications. In Proceedings of the 2017 Australasian Universities Power Engineering Conference (AUPEC), Melbourne, Australia, 19–22 November 2017; pp. 1–6. [Google Scholar] [CrossRef] [Green Version]
- Hu, Y.; de Callafon, R.A.; Tian, N.; Fang, H. Modeling of Lithium-ion Batteries via Tensor-Network-Based Volterra Model. IFAC-PapersOnLine 2021, 54, 509–515. [Google Scholar] [CrossRef]
- Sidorov, D.; Muftahov, I.; Tomin, N.; Karamov, D.; Panasetsky, D.; Dreglea, A.; Liu, F.; Foley, A. A Dynamic Analysis of Energy Storage with Renewable and Diesel Generation using Volterra Equations. IEEE Trans. Ind. Inform. 2020, 16, 3451–3459. [Google Scholar] [CrossRef] [Green Version]
- Sidorov, D.; Sidorov, D.; Zhukov, A.; Foley, A.; Tynda, A.; Muftahov, I.; Panasetsky, D.; Li, Y. Volterra Models in Load Leveling Problem. E3S Web Conf. 2018, 69, 01015. [Google Scholar] [CrossRef]
- Pagany, R.; Camargo, L.R.; Dorner, W. A review of spatial localization methodologies for the electric vehicle charging infrastructure. Int. J. Sustain. Transp. 2018, 13, 433–449. [Google Scholar] [CrossRef] [Green Version]
- Metais, M.O.; Jouini, O.; Perez, Y.; Berrada, J.; Suomalainen, E. Too much or not enough? Planning electric vehicle charging infrastructure: A review of modeling options. Renew. Sustain. Energy Rev. 2021, 153, 111719. [Google Scholar] [CrossRef]
- Micari, S.; Polimeni, A.; Napoli, G.; Andaloro, L.; Antonucci, V. Electric vehicle charging infrastructure planning in a road network. Renew. Sustain. Energy Rev. 2017, 80, 98–108. [Google Scholar] [CrossRef]
- Guo, S.; Zhao, H. Optimal site selection of electric vehicle charging station by using fuzzy TOPSIS based on sustainability perspective. Appl. Energy 2015, 158, 390–402. [Google Scholar] [CrossRef]
- Viswanathan, S.; Appel, J.; Chang, L.; Man, I.V.; Saba, R.; Gamel, A. Development of an assessment model for predicting public electric vehicle charging stations. Eur. Transp. Res. Rev. 2018, 10, 54. [Google Scholar] [CrossRef]
- Flammini, M.G.; Prettico, G.; Julea, A.; Fulli, G.; Mazza, A.; Chicco, G. Statistical characterisation of the real transaction data gathered from electric vehicle charging stations. Electr. Power Syst. Res. 2019, 166, 136–150. [Google Scholar] [CrossRef]
- Hecht, C.; Das, S.; Bussar, C.; Sauer, D.U. Representative, empirical, real-world charging station usage characteristics and data in Germany. eTransportation 2020, 6, 10007. [Google Scholar] [CrossRef]
- Almaghrebi, A.; Aljuheshi, F.; Rafaie, M.; James, K.; Alahmad, M. Data-Driven Charging Demand Prediction at Public Charging Stations Using Supervised Machine Learning Regression Methods. Energies 2020, 13, 4231. [Google Scholar] [CrossRef]
- Xiong, Y.; Wang, B.; Chu, C.C.; Gadh, R. Electric Vehicle Driver Clustering using Statistical Model and Machine Learning. In Proceedings of the 2018 IEEE Power & Energy Society General Meeting (PESGM), Portland, OR, USA, 5–10 August 2018; University of California: Los Angeles, CA, USA, 2018. [Google Scholar] [CrossRef] [Green Version]
- Lucas, A.; Barranco, R.; Refa, N. EV Idle Time Estimation on Charging Infrastructure, Comparing Supervised Machine Learning Regressions. Energies 2019, 12, 269. [Google Scholar] [CrossRef] [Green Version]
- Sørensen, Å.L.; Lindberg, K.B.; Sartori, I.; Andresen, I. Analysis of residential EV energy flexibility potential based on real-world charging reports and smart meter data. Energy Build. 2021, 241, 110923. [Google Scholar] [CrossRef]
- Gerritsma, M.; AlSkaif, T.A.; Fidder, H.A.; van Sark, W.G. Flexibility of Electric Vehicle Demand: Analysis of Measured Charging Data and Simulation for the Future. World Electr. Veh. J. 2019, 10, 14. [Google Scholar] [CrossRef] [Green Version]
- Sadeghianpourhamami, N.; Refa, N.; Strobbe, M.; Develder, C. Quantitive analysis of electric vehicle flexibility: A data-driven approach. Int. J. Electr. Power Energy Syst. 2018, 95, 451–462. [Google Scholar] [CrossRef] [Green Version]
- Bikcora, C.; Refa, N.; Verheijen, L.; Weiland, S. Prediction of availability and charging rate at charging stations for electric vehicles. In Proceedings of the 2016 International Conference on Probabilistic Methods Applied to Power Systems (PMAPS), Beijing, China, 16–20 October 2016; Eindhoven University of Technology: Eindhoven, The Netherlands, 2016. [Google Scholar] [CrossRef]
- Tian, Z.; Jung, T.; Wang, Y.; Zhang, F.; Tu, L.; Xu, C.; Tian, C.; Li, X. Real-Time Charging Station Recommendation System for Electric-Vehicle Taxis. IEEE Trans. Intell. Transp. Syst. 2016, 17, 3098–3109. [Google Scholar] [CrossRef]
- Majidpour, M. Time Series Prediction for Electric Vehicle Charging Load and Solar Power Generation in the Context of Smart Grid; University of California: Los Angeles, CA, USA, 2016. [Google Scholar]
- Motz, M.; Huber, J.; Weinhardt, C. Forecasting BEV charging station occupancy at workplaces. In INFORMATIK 2020; Reussner, R.H., Koziolek, A., Heinrich, R., Eds.; Gesellschaft für Informatik: Bonn, Germany, 2021. [Google Scholar] [CrossRef]
- Lee, Z.J.; Li, T.; Low, S.H. ACN-Data: Analysis and Applications of an Open EV Charging Dataset. In Proceedings of the E-Energy ’19: Tenth ACM International Conference on Future Energy Systems, Phoenix, AZ, USA, 25–28 June 2019; California Institute of Technology: Pasadena, CA, USA, 2019. [Google Scholar] [CrossRef]
- Lee, G.; Lee, T.; Low, Z.; Low, S.H.; Ortega, C. Adaptive charging network for electric vehicles. In Proceedings of the 2016 IEEE Global Conference on Signal and Information, Washington, DC, USA, 7–9 December 2016; California Institute of Technology: Pasadena, CA, USA, 2016. [Google Scholar] [CrossRef]
- Lee, Z.J.; Chang, D.; Jin, C.; Lee, G.S.; Lee, R.; Lee, T.; Low, S.H. Large-Scale Adaptive Electric Vehicle Charging. In Proceedings of the 2018 IEEE International Conference on Communications, Control, and Computing Technologies for Smart Grids, Aalborg, Denmark, 29–31 October 2018; California Institute of Technology: Pasadena, CA, USA, 2018. [Google Scholar] [CrossRef]
- Mahajan, T.; Singh, G.; Bruns, G.; Bruns, G.; Mahajan, T.; Singh, G. An Experimental Assessment of Treatments for Cyclical Data. In Proceedings of the 2021 Computer Science Conference for CSU Undergraduates, Virtual, 6 March 2021; Available online: https://cscsu-conference.github.io/index.html (accessed on 26 February 2022).
- London, I. Encoding Cyclical Continuous Features—24-h Time; Ian London: New York, NY, USA, 2016; Available online: https://ianlondon.github.io/blog/encoding-cyclical-features-24hour-time/ (accessed on 11 February 2022).
- Gareth, J.; Daniela, W.; Trevor, H.; Robert, T. An Introduction to Statistical Learning—With Applications in R; Springer: New York, NY, USA, 2017. [Google Scholar]
- Rebala, G.; Ravi, A.; Churiwala, S. Regressions. In An Introduction to Machine Learning; OpsMx Inc.: San Ramon, CA, USA, 2019. [Google Scholar]
- Bishop, C.M. Pattern Recognition and Machine Learning; Springer: New York, NY, USA, 2006. [Google Scholar]
- Rebala, G.; Ravi, A.; Churiwala, S. Clustering. In An Introduction to Machine Learning; OpsMx Inc.: San Ramon, CA, USA, 2019. [Google Scholar]
- Rebala, G.; Ravi, A.; Churiwala, S. Random Forests. In An Introduction to Machine Learning; OpsMx Inc.: San Ramon, CA, USA, 2019. [Google Scholar]
- Chen, T.; Guestrin, C. XGBoost: A Scalable Tree Boosting System. In Proceedings of the KDD ‘16: 22nd ACM SIGKDD International Conference on Knowledge Discovery and Data Mining, San Francisco, CA, USA, 13–17 August 2016; Association for Computing Machinery: New York, NY, USA, 2016. [Google Scholar]
- Murphy, K.P. Machine Learning: A Probabilistic Perspective (Adaptive Computation and Machine Learning); MIT Press: Cambridge, MA, USA, 2012. [Google Scholar]
- Murphy, K.P. Machine Learning—A Probalistic Perspective; Massachusetts Institute of Technology: Cambridge, MA, USA, 2012. [Google Scholar]
- Chicco, D.; Warrens, M.J.; Jurman, G. The coefficient of determination R-squared is more informative than SMAPE, MAE, MAPE, MSE and RMSE in regression analysis evaluation. PeerJ Comput. Sci. 2021, 7, e623. [Google Scholar] [CrossRef]
- Hoens, R.T.; Polikar, R.; Chawla, N.V. Learning from streaming data with concept drift and imbalance: An overview. Prog. Artif. Intell. 2012, 1, 89–101. [Google Scholar] [CrossRef] [Green Version]
- Zukov, A.V.; Sidorov, D.N.; Foley, A.M. Random Forest Based Approach for Concept Drift Handling. In Analysis of Images, Social Networks and Texts. AIST 2016; Communications in Computer and Information Science; Springer: Cham, Switzerland, 2016; Volume 661. [Google Scholar] [CrossRef] [Green Version]










| Feature Name | Value Range | Cyclic Feature Encoding |
|---|---|---|
| Month | [0, 11] | yes |
| Day of month | [0, 31] | yes |
| Weekday | [0, 6] | yes |
| Interval | [0, 95] | yes |
| Holiday | {0, 1} | no |
| Bridging day | {0, 1} | no |
| Use-Case | Feature Name | Value Range | Cyclic Feature Encoding |
|---|---|---|---|
| Classification | Previous week | {0, 1} | no |
| Previous day | {0, 1} | no | |
| Regression | Previous week | [0, max(num_evse)] | no |
| Previous day | [0, max(num_evse)] | no |
| Predicted | |||
|---|---|---|---|
| 1 | 0 | ||
| Actual | 1 | True Positive (TP) | False Negative (FN) |
| 0 | False Positive (FP) | True Negative (TN) | |
| Model | Parameter | Values Range | Value Caltech (All, Stand.) | Value Caltech (All, Augm.) | Value JPL (All, Stand.) | Value JPL (All, Augm.) |
|---|---|---|---|---|---|---|
| KNN | n neighbors | [50, 300] | 300 | 237 | 300 | 237 |
| LogR | C | [0.1, 20] | 0.1 | 0.1 | 10.005 | 5.075 |
| RF | criterion | {gini, entropy} | entropy | gini | entropy | gini |
| n estimators | [50, 300] | 300 | 50 | 300 | 175 | |
| max_depth | [2, 10] | 10 | 10 | 10 | 8 | |
| XGBoost | n estimators | [50, 300] | 300 | 50 | 50 | 50 |
| max_depth | [2, 10] | 10 | 4 | 4 | 4 |
| Model | Parameter | Values Range | Value Caltech (All, Stand.) | Value Caltech (All, Augm.) | Value JPL (All, Stand.) | Value JPL (All, Augm.) |
|---|---|---|---|---|---|---|
| KNN | n_neighbors | [20, 200] | 110 | 20 | 110 | 20 |
| LinR | alpha | [1 × 10−5, 1] | 1 | 1 × 10−5 | 1 × 10−5 | 1 × 10−5 |
| RF | n_estimators | [50, 300] | 112 | 175 | 50 | 175 |
| max_depth | [2, 10] | 10 | 10 | 6 | 8 | |
| XGBoost | n_estimators | [50, 300] | 50 | 300 | 112 | 300 |
| max_depth | [2, 10] | 6 | 2 | 4 | 2 |
Publisher’s Note: MDPI stays neutral with regard to jurisdictional claims in published maps and institutional affiliations. |
© 2022 by the authors. Licensee MDPI, Basel, Switzerland. This article is an open access article distributed under the terms and conditions of the Creative Commons Attribution (CC BY) license (https://creativecommons.org/licenses/by/4.0/).
Share and Cite
Ostermann, A.; Fabel, Y.; Ouan, K.; Koo, H. Forecasting Charging Point Occupancy Using Supervised Learning Algorithms. Energies 2022, 15, 3409. https://doi.org/10.3390/en15093409
Ostermann A, Fabel Y, Ouan K, Koo H. Forecasting Charging Point Occupancy Using Supervised Learning Algorithms. Energies. 2022; 15(9):3409. https://doi.org/10.3390/en15093409
Chicago/Turabian StyleOstermann, Adrian, Yann Fabel, Kim Ouan, and Hyein Koo. 2022. "Forecasting Charging Point Occupancy Using Supervised Learning Algorithms" Energies 15, no. 9: 3409. https://doi.org/10.3390/en15093409
APA StyleOstermann, A., Fabel, Y., Ouan, K., & Koo, H. (2022). Forecasting Charging Point Occupancy Using Supervised Learning Algorithms. Energies, 15(9), 3409. https://doi.org/10.3390/en15093409

