Abstract
It is well known that the use of slotted stators in motors produces undesirable effects, such as magnetic flux distortion, additional losses, ripple torque, and vibration. However, a large number of studies pay more attention to stator slots and magnetic slot wedges (MSW) in asynchronous motors and permanent magnet motors, ignoring the same problems in large capacity high voltage line start permanent magnet synchronous motors (HVLSPMSM). In order to disclose the effect of the stator slot on HVLSPMSMs, the no-load air gap magnetic field distribution and stator leakage reactance are studied. Meanwhile, the differences in the starting torque, pull-in torque and pull-out torque of four slot models are compared, and the starting performance is more affected by stator slot. In practical manufacturing, the application of MSWs is the main way to change the electromagnetic performance of stator slots, so the influence of MSWs under different permeabilities on the performance of HVLSPMSMs is investigated. Finally, the effect of a stator slot on the motor starting performance and the rated performance are verified by prototypes and experimental tests, which provide a reference for the application of MSWs in HVLSPMSMs.
1. Introduction
Compared with asynchronous motors, LSPMSMs have the advantage of higher efficiency and power factor within a wide load range, so they have been produced by many motor manufacturing companies and are widely used in the industrial field [1,2,3,4]. However, most studies are more concerned with the starting performance, pull-in torque, new structures and motor temperature rise of it, ignoring the special problems of high-voltage motors [5,6,7,8,9,10]. The difference between high- and low-voltage motors is that the stator core is manufactured in an open slot, resulting in more significant adverse effects of the slot.
Stator slots produce enormous adverse effects, such as magnetic flux distortion, additional losses and ripple torque [11]. The lowest mode of vibration is produced at no-load due to slotting in low-speed permanent magnet motors with concentrated windings [12]. The detriment caused by a stator slot can be compensated by the application of an MSW, and this method is easy to install and realize, so it is an effective way to improve the performance of a motor [13]. On the use of MSWs in axial flux, permanent magnet motors reduce ripple torque, peak cogging torque and magnetic losses in experimental tests [14]. The literature shows that MSWs are able to reduce the vibration acceleration of the rotating armature permanent magnet motor stator effectively [15]. In [16], the innovative MSW is proposed, and its performance is higher than an isotropic magnetic wedge on motor efficiency and thrust ripple.
In [17], salient rotor periphery maximizes the air gap length at the quadrature axis and minimizes it at the direct axis; this is employed to reduce the harmonics of the air gap flux density, but the stator slot remains to be an open slot. An HVLSPMSM is taken as an example to study torque ripple, core loss and eddy-current loss of the motor when MSWs with relative permeabilities of 2, 3 and 3.5 are used [18]. Although the performance improvement of the motor is highlighted, the research scope of the relative permeability of MSWs is small. The influence of MSW defects on the starting performance of HVLSPMSMs is researched, and the starting current ratios are higher than normal operation when failure occurs [19]. To fully understand the performance of MSWs in the motor, it is necessary to analyze the effect of stator slots on the no-load air gap magnetic field distribution and stator leakage reactance.
In this paper, the effect of a stator slot on the distribution and the amplitude of the magnetic field at no-load are investigated. Taking a 630 kW HVLSPMSM as a case study, the influence of the stator slot and a MSW on the starting torque, pull-in torque and pull-out torque is analyzed. Then, the starting process and rated operation of a motor with different relativity permeabilities of the MSWs are researched. The conclusions obtained could provide reference for the application of MSWs on HVLSPMSMs.
2. Slotted and Slotless
Figure 1 shows slotted and slotless models. The slotted slot used in industrial and high-voltage motors is shown on the left, where the winding is embedded into the core. The closed model is shown on the right. A punching machine is used to fabricate a slot in a silicon steel sheet, and windings are inserted into the core through the stator end. The installation method used for winding is completely different from the slot embedding method used in the past. The installation method is used in electric vehicles.
Figure 1.
Motor stator with and without slot.
There are two effects on the motor when stator slot is slotted: the magnetic flux distribution is distorted and the stator leakage reactance is changed. The generation of motor torque is caused by the interaction between the stator and rotor. The analysis of the flux distribution and stator leakage reactance is presented in this section, which provides a reference for the next part of torque research.
2.1. Airgap Flux Density
Models with and without slots are established to study the effect of slots on the airgap magnetic flux density. Figure 2 shows the distortion in the magnetic flux density at no-load for the slotted model.
Figure 2.
Waveform of the radial component of the airgap flux density at no−load.
Fourier decomposition of the airgap magnetic flux density is used to calculate the amplitude of each order at no-load. Figure 3 shows the FFT of Figure 2, the reduction in the amplitude of the magnetic field of the fundamental wave for the slotted model. Additional harmonic orders of the magnetic field can be observed. The harmonic orders of the flux density for the slotted motor can be determined using the following equation [20]:
where and . Z is the number of stators slots. is the number of pole pairs. The slotted harmonic orders can be written as:
where represent slotted harmonic orders, and . The red column shows that the slotted model has the most significant effect on the 26th and 28th harmonics of the no-load airgap magnetic density in Figure 3. There are 54 stator slots, and the number of poles is 4 for the motor model.
Figure 3.
Harmonic spectra of the radial component of the airgap flux density at no−load.
The presence of slots affects the radial airgap flux density waveform and distorts the tangential flux density. Figure 4 shows in the harmonic order for the tangential density component at no-load. The slotted harmonics mainly affect the 26th and 28th harmonics of the tangential magnetic density. For the slotted motor, the 26th and 28th harmonics increase by 2195% and 2218% for the radial airgap magnetic density, respectively, and by 3157% and 4236% for the tangential airgap magnetic density, respectively, compared with the slotless motor.
Figure 4.
Tangential magnetic flux density harmonic order at no−load.
2.2. Airgap and Slot
Slotting affects a magnetic field at no-load in two ways. First, the magnet flux and airgap exhibit a slotted distribution. Second, the total flux per pole is reduced. Slotted harmonics in the airgap results in additional loss, the motor temperature rises, torque fluctuations, and vibrations occur. In actual production, the impact of the slot on a high-voltage machine can be reduced by increasing the airgap length, thereby weakening the harmonic amplitude of the fundamental wave. In this section, different airgap length models are used to analyze the fundamental wave and the harmonic amplitude.
The Carter coefficient is introduced to approximate the effect of the slot on the airgap magnetic density [21]. The Carter coefficient can be expressed in terms of the slot width and the airgap length and is used to measure the impact of the slot. Figure 5 is a schematic of closed and open slots, respectively. The unslotted stator surface is smooth, and the airgap length is denoted by . Inserting a slot into the stator surface changes the airgap length to .
Figure 5.
Carter coefficient model.
In the equations above, is the Carter coefficient, and and are the maximum airgap magnetic densities for a slotless and slotted stator, respectively. is the tooth width. is a coefficient that is given below [22]:
where is the slotted width; can be approximated as:
Substituting (8) into (6), the Carter coefficient is:
In this study, is 30.3 . Figure 6 shows that the rate of increase in the Carter coefficient increases with the slot width. When is 0, the stator is unslotted, and the Carter coefficient is 1. When is 11, the virtual airgap is twice as long as that of the unslotted stator. When an open slot is fabricated for a high-voltage motor, the Carter coefficient decreases as the airgap length increases, thereby reducing the stator slot effect.
Figure 6.
Carter coefficient versus ratio of slot width to airgap length.
The relation between the back EMF and the Carter coefficient reflects the influence of the slot on the overall performance of the motor, and the electromagnetic torque has a direct relation with back EMF. The back EMF can be expressed as:
where is back EMF; is frequency; is fundamental winding coefficient; is back EMF with slotted.
The is inversely proportional to the Carter coefficient. When the width of slot increases continuously from zero, the Carter coefficient increases approximately in the form of a quadratic power. Therefore, the decreases rapidly as the slot width widens. FEA was used to consider the influence of the airgap length and the slot width on the magnetic flux density for different slot models. Figure 7 shows how the airgap length and slot width affect the distortion rate of the magnetic flux density. The airgap length of an open-slot stator can be varied to effectively change the flux distortion of the closed slot. The stator slot severely distorts the airgap flux density, irrespective of the airgap length. The presence of a slot increases the number of harmonics in the airgap flux, and this effect is higher for a narrow gap. An open slot increases the airgap length and does not significantly improve the flux distortion rate compared to the slotless case. Figure 8 shows how the airgap length and the stator slot width impact the amplitude of the airgap flux density. The airgap length has a larger influence on the magnetic density amplitude than the slot width. Increasing the airgap length reduces the distortion rate of the waveform, which affects the magnetic flux amplitude of the main wave. The addition of a permanent magnet to the HVLSPMSM results in a constant rotor flux during practical production. Varying the slot width is an effective method of reducing the airgap flux harmonic distortion and maintaining the flux amplitude. As is shown from Figure 7 and Figure 8, the airgap length determines the importance of the slot width on the motor performance. In order to highlight the influence of the stator slot, the length of the motor airgap is set as a fixed small length when the stator slot is studied in the next section.
Figure 7.
Airgap harmonic distortion rate.
Figure 8.
Amplitude of magnetic flux density.
2.3. Stator Leakage Reactance
The flux leakage caused by an MSW or a semi-closed slot is equivalent to a slot leakage reactance. Figure 9 shows the MSW was embedded in a stator slot in the left figure and in a semi-closed stator slot in the right figure.
Figure 9.
Dimensions of constructed stator slot.
The stator slot leakage in the presence of an MSW can be written as follows [23]:
The stator slot leakage for a semi-closed slot can be written as:
where is one stator slot leakage, is the one slot of conductors, is the core length, is the armature height, and is the slot wedge height.
The slot leakage reactance increases when the permeability of the MSW increases or the width of the slot decreases continuously. An increase in the stator leakage reactance causes the stator flux density amplitude to decrease. This result is contrary to the conclusion in the previous section that increasing the permeability of the MSW causes the airgap magnetic density to increase at no-load. The stator leakage inductance is usually calculated as [24]:
where is the slot leakage inductance, is the tooth tip leakage inductance, is the end winding leakage inductance, and is the skew leakage inductance. The relationship between inductance and reactance is:
where is the stator leakage reactance. According to the paper [25,26], the stator leakage reactance is:
is constant:
With the decrease in , the stator leakage reactance will be increased by three parts in the stator slot leakage, harmonic leakage reactance and tooth tip leakage reactance. The q-axis and d-axis reactance of the motor are related to stator leakage reactance, and the change in the stator slot affects the electromagnetic performance of the motor.
3. Electromagnetic Analysis
Figure 10 shows the finite element model used in this paper to investigated effect of slots on torque performance. The rotor is provided with an axial ventilation hole to reduce the temperature rise in the motor, and the number of meshes is increased to reduce the calculation error because the stator slot is directly connected with the airgap. Table 1 shows the rated parameters of the model HVLS-PMSM. The lumped parameters’ acquisition methods of the motor include a DC test, a single-phase AC test without the rotor, a locked rotor test and an open-circuit test. The dc resistance (R1) per phase of the stator winding is measured by the DC test, the single-phase AC test (rotor not included) measures both the AC resistance and leakage reactance (X1) per phase, the rotor resistance and leakage inductance are measured using the locked rotor test, and the linkage flux of the permanent magnets () on the stator side is measured in the open-circuit test [27].
Figure 10.
HVLSPMSM FEA model.
Table 1.
Parameters of the HVLSPMSM.
Compared with resin slot wedges, MSWs are composed of 70% iron powder, 10% glass material, and 20% epoxy resin. As is shown on Figure 11b, MSW is dark rectangular strip because of the iron powder added to enhance permeability. Figure 12 shows the schematic diagram of an MSW-embedded stator slot.
Figure 11.
Stator slot wedge: (a) resin slot wedge; (b) magnetic slot wedge.
Figure 12.
Stator core and MSW.
In order to study the effect of the stator slot on torque performance, four FEA models were established, and in the subsequent experiments, the influence of the stator slot was verified. Four cases are shown in Figure 13, and is the relative permeability of MSW. The parameters of the case study are shown below:
Figure 13.
Slot models.
- (1)
- Open slot ();
- (2)
- MSW1 ();
- (3)
- MSW2 ();
- (4)
- Semi-closed ().
The MSW reduces the influence of the stator slot on the flux waveform distribution. Figure 14 shows that the use of an MSW can increase the amplitude of the magnetic base wave and decrease the amplitude of the slot harmonics of 26th and 28th harmonics.
Figure 14.
Radial magnetic flux density for different harmonic orders.
3.1. Electromagnetic Torque
There are three stages of HVLSPMSM operations: starting, pull-in and steady state operations. At the initial starting time, the starting capacity is determined by the starting torque. The starting torque consists of the asynchronous torque and the pulsating torque provided by the permanent magnets, for which the average torque over a period is zero. The starting torque can be determined using the formula for the induction motor torque. The starting torque decreases as the stator slot leakage reactance increases:
where is the asynchronous torque. When the motor is starting, s = 1 and . Tst is given by:
where is the starting torque. The starting torque is approximately inversely proportional to the stator leakage reactance, and the change in the parameters of the slot affects the value of the stator leakage reactance, which leads to the starting torque changing. In Figure 15, the black line shows that increasing the MSW’s permeability and reducing the slot width causes the starting torque to decrease. Compared with the open slot model, the starting torque for the MSW with permeabilities of 4 and 8 and the semi-closed is lower than that of the open slot model by 9%, 16% and 6%, respectively. is the rated torque. The maximum torque () is mainly composed of the permanent magnet torque and the reluctance torque during steady-state operation. The asynchronous torque can be neglected when the rotor speed is equal to the synchronous speed. When the motor is running in synchronous state, the motor torque is expressed as [28]:
where is the direct axis reactance, is the quadrature axis reactance, is the direct-axis armature reactive reactance, is the quadrature-axis armature reactive reactance and is the main reactance.
Figure 15.
HVLSPMSM torque ratio.
Varying the slot width and MSW permeability mainly affects the , and of the motor. The maximum torque change rule is similar to the starting torque, for which and increase with decreasing. Meanwhile, is in relation with the maximum torque, and increases with decreasing. At , and work together, and the maximum torque fluctuation less than starting torque. In Figure 15, the red line shows the maximum torque and the blue line shows the pull-in torque (). Compared with the starting torque, the pull-in torque is almost unaffected by the stator slot.
Figure 16 shows the complete starting process of a motor for the four models with the same fan impeller. All the motors easily start initially, but large differences among the speed curves start to appear at 1 s. The open slot model has the highest starting speed. The open slot model requires 1.615 s for the motor speed to reach 1000 RPM. The time for the other models to reach the same speed increases by 10%, 20% and 6.7% compared to the open slot model. Although the maximum speed for all four models is 1530 RPM, the time required to reach this speed is different for each model. The open slot model reaches the maximum speed at 2.83 s. The time required for models 2, 3 and 4 to reach the maximum speed increase by 13%, 18% and 11%, respectively, compared to model 1. Figure 17 shows the motor torque variation with time, and the motor torques of four models have almost no differences between the beginning to 0.5 s, but an MSW can significantly reduce the torque output between 0.5 to 2 s, and the amplitude of torque fluctuation increases between 2 s and the rated operation. Figure 18 shows the apparent power changing with time, and an MSW could reduce the motor’s apparent power demand between 0 and 1.8 s. During the pull-in process between 2.5 and 3 s, the apparent power tends to zero because the phase relationship between the voltage and the back EMF results in a change in the relative position of the current and voltage. It can be concluded from this section analysis that the stator slot has a great influence on the performance of the HVLSPMSM during the starting process.
Figure 16.
Speed vs. time.
Figure 17.
Torque vs. time.
Figure 18.
Apparent power vs. time.
3.2. Different Relative Permeability of MSW
The finite element analysis in the previous section shows that different stator slot models can change the electromagnetic torque, and the stator slot has a deeper influence on the starting torque than the pull-in and maximum torque. In this section, the effect of the MSW under different permeabilities on motor performance is investigated. Five MSW models were selected in this study. In Table 2, MSWs at different permeabilities have obvious effects on the motor starting torque and starting current. Compared to open slot, the starting torque is 24% lower and the starting current is 12% lower when the MSW is at 20 relative permeability. In Figure 19, the drop rate of the starting torque and the current were slow when the MSW’s permeability increases in order.
Table 2.
Motor starting performance for different MSWs.
Figure 19.
Motor starting performance with different MSWs.
To describe the relationship between starting and MSW permeability in detail, a starting quality factor is assumed:
Table 2 shows that decreases by 0.01 for every 5 of MSW permeability. For the LS-PMSM and the asynchronous motor, a higher starting torque and lower starting current are important targets, as the better comprehensive starting performance of the motors occurs at greater values.
Table 3 shows the variation in the electromagnetic performance of motors with MSWs. When an MSW is applied, the effect of decreasing the stator flux leakage is greater than that of the increasing . Compared with the motor without an MSW, the rated torque decreases by 5% at the same current source, and the pull-in torque also decreases by 5%; meanwhile, the maximum torque decreases by 6% and back EMF increases by 3%.
Table 3.
Motor electromagnetic performance for different MSWs.
Figure 20 shows the starting process at MSW with different permeabilities, and the conclusion is that an increase in the MSW’s permeability prolongs the starting time of the motor. Compared to an open slot, the starting times of permeabilities of 5 and 10 are affected by the starting torque and pull-in torque, and the pull-in period is not increased. The starting times of the permeabilities of 15 and 20 are not only related to the starting torque and pull-in torque. From the magnified picture in Figure 20, it can be seen that the first pull-in process does not reach the synchronous speed, but exceeds the synchronous speed in the second pull-in cycle, and the motor finally successful operates.
Figure 20.
Speed curve with different MSWs.
In this section, the effect of the MSW on the starting torque performance was the main reason for prolonging of the motor starting time by investigating MSWs of different permeabilities. The secondary reason is that the application of an MSW with high relative permeability leads to a period of adding pull-in cycles.
4. Experimental Results
An experiment is conducted to study the effect of a stator slot on an HVLSPMSM. Figure 21 shows a stator core with an open slot structure that is used to facilitate winding embedding. The motor is cooled using an air-cooled structure equipped with cooling air ducts. Figure 22 shows that brass rods are inserted into the rotor slot, and copper strips are connected together through end rings to form a squirrel cage structure. Table 4 shows the types of materials and the weight of consumables used in the main structure of the motor. The stator core and rotor core are made of the same material to improve the material utilization; meanwhile, the rotor cage is made of two materials to enhance the motor starting performance. Figure 23 shows that the MSW was inserted into the stator core and seals the winding in the stator. Figure 24 shows that a towing motor is used in the experiment, and an asynchronous motor is used as the load. What needs to be emphasized is that the fan impeller is made of nodular cast iron in the starting experiment. Figure 25 shows the motor console display.
Figure 21.
Stator structure.
Figure 22.
Rotor structure: (a) rotor; (b) top view of rotor.
Table 4.
Introduction of HVLSPMSM consumption materials.
Figure 23.
MSW and stator core.
Figure 24.
Experimental test.
Figure 25.
HVLSPMSM console.
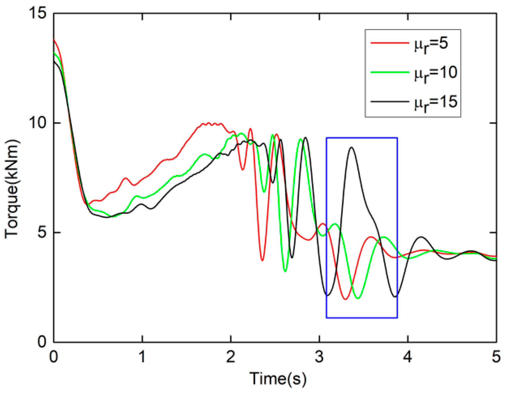
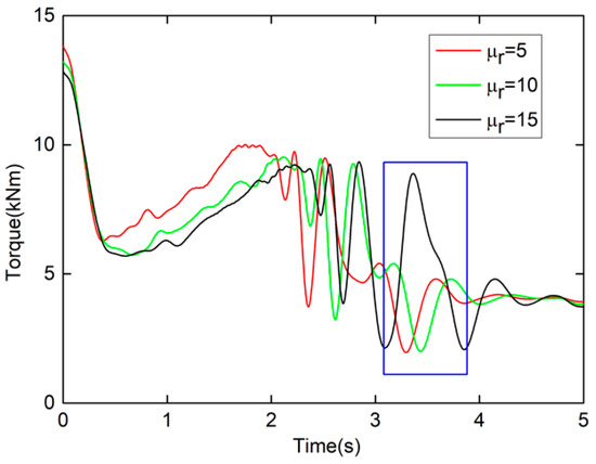
Table 5 shows the time required to reach the maximum speed when the motor uses different MSWs. As the relative permeability increases, the starting time of the motor will be longer. Figure 26 indicates that the starting torque will be weakened and the number of times of the pull-in period is increased, as shown inside the blue box when the relative permeability of the MSW increases successively. The minimum torque of the motor appears in 0.5 s, and the application of an MSW will not cause the starting process to fail because the minimum torque is greater than the load torque. Figure 27 indicates the variation curve of the apparent power versus time, and the smaller apparent power in the starting stage occurs with the greater relative permeability of the MSW. Table 6 shows the rated operating parameters of the motor. To estimate the motor efficiency, the stray losses and the friction loss are approximately estimated to be 0.2% and 0.5% of the rated power, respectively. Under the condition of the same rated output power and the same voltage supply, the table results demonstrate that a higher relative permeability of MSW is beneficial to improve the efficiency of the motor.
Table 5.
The time consumed in the starting process.
Figure 26.
Torque curves with MSW.
Figure 27.
Apparent power with MSW.
Table 6.
Motor performance at rated operation.
5. Discussion
The aim of this research was to investigate the effect of a stator slot on an HVLSPMSM and to mitigate the drawbacks on its electromagnetic performance. MSWs have been considered in the literature mostly for induction motors and permanent magnet motors, but the significance of the HVLSPMSM has been ignored.
The investigation’s main consideration was about the influence of the stator slot on the magnetic field distribution at no-load and stator leakage reactance, and the electromagnetic torque, starting process and apparent power were further studied. The torque and rated operation performance of MSWs with different relative permeabilities are compared, and the effects of starting torque, starting current, back EMF, pull-in torque and rated torque were analyzed. The accuracy of the conclusion was verified by prototype and experimental tests. Although MSWs can improve the performance of the motor, the selection of MSW with too large relative permeability will make the motor have the possibility of starting failure, which was not conducive to starting with load.
6. Conclusions
The effect of the stator slot on the electromagnetic performance characteristics of the HVLSPMSM is investigated. FEA analysis is carried out on a 630 kW/6300 V motor using different slot models and MSWs. A prototype is built, and an experimental test is conducted. It is helpful to HVLSPMSMs on the application of MSW.
The effect of the stator slot on the torque performance of motor mainly changes the starting torque, followed by the maximum torque, and the pull-in torque has a slight influence. The MSW can effectively reduce the apparent power demand of the motor and mitigate the impact to the power grid during the starting process.
According to this paper, decreases by 0.01 when the MSW permeability increases by 5. The effect of MSWs on the rated performance is less than starting. Different from asynchronous motors, the increase in the starting time of the line start permanent magnet synchronous motor includes the increase in pull-in cycle times when the MSW’s relative permeability is greater than 15. It can be concluded from experimental data that compared with the value of 10, the torque and apparent power of the motor increase by a fluctuation cycle when the relative permeability of the MSW is 15. For the overall performance of the HVLSPMSM, the selection of the MSW’s permeability value of 10 is more conducive to the improvement in the motor’s electromagnetic performance.
Author Contributions
D.L. wrote the paper; G.F. supervised all processes; B.Z. analyzed the data; W.L. checked paper format; J.Z. implemented simulation. All authors have read and agreed to the published version of the manuscript.
Funding
This research received no external funding.
Conflicts of Interest
The authors declare no conflict of interest.
References
- Jiamusi Electric Machine Company Limited, Product Center. 2018. Available online: http://www.jemlc.com/product/217.html (accessed on 2 April 2022).
- Mingtengdianji, Company Products. 2017. Available online: http://www.ahmingteng.com/display1691.html?id=1242 (accessed on 2 April 2022).
- Rabbi, S.F.; Rahman, M.A. Critical Criteria for Successful Synchronization of Line-Start IPM Motors. IEEE J. Emerg. Sel. Topics Power Electron. 2014, 2, 348–358. [Google Scholar] [CrossRef]
- Lu, Q.F.; Yun, Y.Y. Design and Analysis of Large Capacity Line-Start Permanent-Magnet Motor. IEEE Trans. Magn. 2008, 44, 4417–4420. [Google Scholar] [CrossRef]
- Cao, Z.; Li, W.; Li, J.; Zhang, X.; Li, D.; Zhang, M. Research on the Temperature Field of High-Voltage High Power Line Start Permanent Magnet Synchronous Machines with Different Rotor Cage Structure. Energies 2017, 10, 1829. [Google Scholar] [CrossRef] [Green Version]
- Baranski, M.; Szelag, W.; Lyskawinski, W. Analysis of the Partial Demagnetization Process of Magnets in a Line Start Permanent Magnet Synchronous Motor. Energies 2020, 13, 5562. [Google Scholar] [CrossRef]
- Yan, B.; Wang, X.; Yang, Y. Starting Performance Improvement of Line-Start Permanent-Magnet Synchronous Motor Using Composite Solid Rotor. IEEE Trans. Magn. 2018, 54, 1–4. [Google Scholar] [CrossRef]
- Sorgdrager, A.J.; Wang, R.-J.; Grobler, A.J. Multiobjective Design of a Line-Start PM Motor Using the Taguchi Method. IEEE Trans. Ind. Applicat. 2018, 54, 4167–4176. [Google Scholar] [CrossRef]
- Eker, M.; Akar, M.; Emeksiz, C.; Dogan, Z. Rotor Design for Line Start AF-PMSM. IET Electr. Power Appl. 2019, 13, 1273–1279. [Google Scholar] [CrossRef]
- Ugale, R.T.; Chaudhari, B.N. Rotor Configurations for Improved Starting and Synchronous Performance of Line Start Permanent-Magnet Synchronous Motor. IEEE Trans. Ind. Electron. 2017, 64, 138–148. [Google Scholar] [CrossRef]
- Dajaku, G.; Gerling, D. Stator Slotting Effect on the Magnetic Field Distribution of Salient Pole Synchronous Permanent-Magnet Machines. IEEE Trans. Magn. 2010, 46, 3676–3683. [Google Scholar] [CrossRef]
- Valavi, M.; Nysveen, A.; Nilssen, R.; Rolvag, T. Slot Harmonic Effect on Magnetic Forces and Vibration in Low-Speed Permanent-Magnet Machine with Concentrated Windings. IEEE Trans. Ind. Applicat. 2014, 50, 3304–3313. [Google Scholar] [CrossRef]
- De Donato, G.; Giulii Capponi, F.; Caricchi, F. On the Use of Magnetic Wedges in Axial Flux Permanent Magnet Machines. IEEE Trans. Ind. Electron. 2013, 60, 4831–4840. [Google Scholar] [CrossRef]
- De Donato, G.; Capponi, F.G.; Caricchi, F. No-Load Performance of Axial Flux Permanent Magnet Machines Mounting Magnetic Wedges. IEEE Trans. Ind. Electron. 2012, 59, 3768–3779. [Google Scholar] [CrossRef]
- Yang, Z.; Wang, S.; Sun, Y.; Cao, H. Vibration Reduction by Magnetic Slot Wedge for Rotating Armature Permanent Magnet Motors. IEEE Trans. Ind. Applicat. 2020, 56, 4882–4888. [Google Scholar] [CrossRef]
- Frosini, L.; Pastura, M. Analysis and Design of Innovative Magnetic Wedges for High Efficiency Permanent Magnet Synchronous Machines. Energies 2020, 13, 255. [Google Scholar] [CrossRef] [Green Version]
- Yan, B.; Yang, Y.; Wang, X. Design of a Large Capacity Line-Start Permanent Magnet Synchronous Motor Equipped With Hybrid Salient Rotor. IEEE Trans. Ind. Electron. 2021, 68, 6662–6671. [Google Scholar] [CrossRef]
- Qiu, H.; Xu, Y.; Liu, Y.; Sun, J.; Yang, C. Influence of Magnetic Slot Wedge on the Performance of 10-kV, 1000-kW Permanent Magnet Synchronous Motor. Int. Trans. Electr. Energy Syst. 2020, 30, e12332. [Google Scholar] [CrossRef]
- Li, W.; Cao, Z.; Li, J.; Zhang, X.; Cao, J. Influence of Magnetic Slot Wedge Defect on Starting Performance of High Voltage Line-Start Permanent Magnet Synchronous Motor. In Proceedings of the 2017 IEEE International Magnetics Conference (INTERMAG), Dublin, Ireland, 24–28 April 2017; pp. 1–3. [Google Scholar]
- Zhu, Z.Q.; Xia, Z.P.; Wu, L.J.; Jewell, G.W. Analytical Modeling and Finite-Element Computation of Radial Vibration Force in Fractional-Slot Permanent-Magnet Brushless Machines. IEEE Trans. Ind. Applicat. 2010, 46, 1908–1918. [Google Scholar] [CrossRef]
- Zhu, Q.; Howe, D. Instantaneous Magnetic Field Distribution in Brushless Permanent Magnet Dc Motors, Part 111: Effect of Stator Slotting. IEEE Trans. Magn. 1993, 29, 9. [Google Scholar]
- Ionel, D.M.; Popescu, M.; McGilp, M.I.; Miller, T.J.E.; Dellinger, S.J. Assessment of Torque Components in Brushless Permanent-Magnet Machines Through Numerical Analysis of the Electromagnetic Field. IEEE Trans. Ind. Applicat. 2005, 41, 1149–1158. [Google Scholar] [CrossRef]
- Yetgin, A.G. Investigation of the Effects of Stator Slot Permeance on Induction Motor and Obtaining the Best Starting Torque Using Permeance Calculation. Can. J. Electr. Comput. Eng. 2020, 43, 25–29. [Google Scholar] [CrossRef]
- Zarko, D.; Ban, D.; Lipo, T.A. Analytical Calculation of Magnetic Field Distribution in the Slotted Air Gap of a Surface Permanent-Magnet Motor Using Complex Relative Air-Gap Permeance. IEEE Trans. Magn. 2006, 42, 1828–1837. [Google Scholar] [CrossRef]
- Talaat, M.E. A New Approach to the Calculation of Synchronous Machine Reactances-Part II [Includes Discussion]. Trans. AIEE Part III Power Appar. Syst. 1956, 75, 4499308. [Google Scholar] [CrossRef]
- Talaat, M.E. A New Approach to the Calculation of Synchronous Machine Reactances-Part I [Includes Discussion]. Trans. AIEE Part III Power Appar. Syst. 1955, 74, 4499068. [Google Scholar] [CrossRef]
- Maraaba, L.S.; Al-Hamouz, Z.M.; Milhem, A.S.; Twaha, S. Comprehensive Parameters Identification and Dynamic Model Validation of Interior-Mount Line-Start Permanent Magnet Synchronous Motors. Machines 2019, 7, 4. [Google Scholar] [CrossRef] [Green Version]
- Salminen, P.; Jokinen, T.; Pyrhönen, J. Pull-out Torque of Fractional-Slot PM-Motors with Concentrated Winding. IEE Proc. Electr. Power Appl. 2005, 152, 1440. [Google Scholar] [CrossRef]
Publisher’s Note: MDPI stays neutral with regard to jurisdictional claims in published maps and institutional affiliations. |
© 2022 by the authors. Licensee MDPI, Basel, Switzerland. This article is an open access article distributed under the terms and conditions of the Creative Commons Attribution (CC BY) license (https://creativecommons.org/licenses/by/4.0/).


























